Non-Thermal Plasma Reduction of Ag+ Ions into Silver Nanoparticles in Open Atmosphere under Statistically Optimized Conditions for Biological and Photocatalytic Applications
Abstract
:1. Introduction
2. Materials and Methods
2.1. Materials
2.2. Production of Silver Nanoparticles
2.3. Statistical Design for the Synthesis of AgNPs
2.4. Characterization of AgNPs
2.5. Antimicrobial and Antioxidant Activity
2.6. Photocatalytic Degradation
3. Results and Discussions
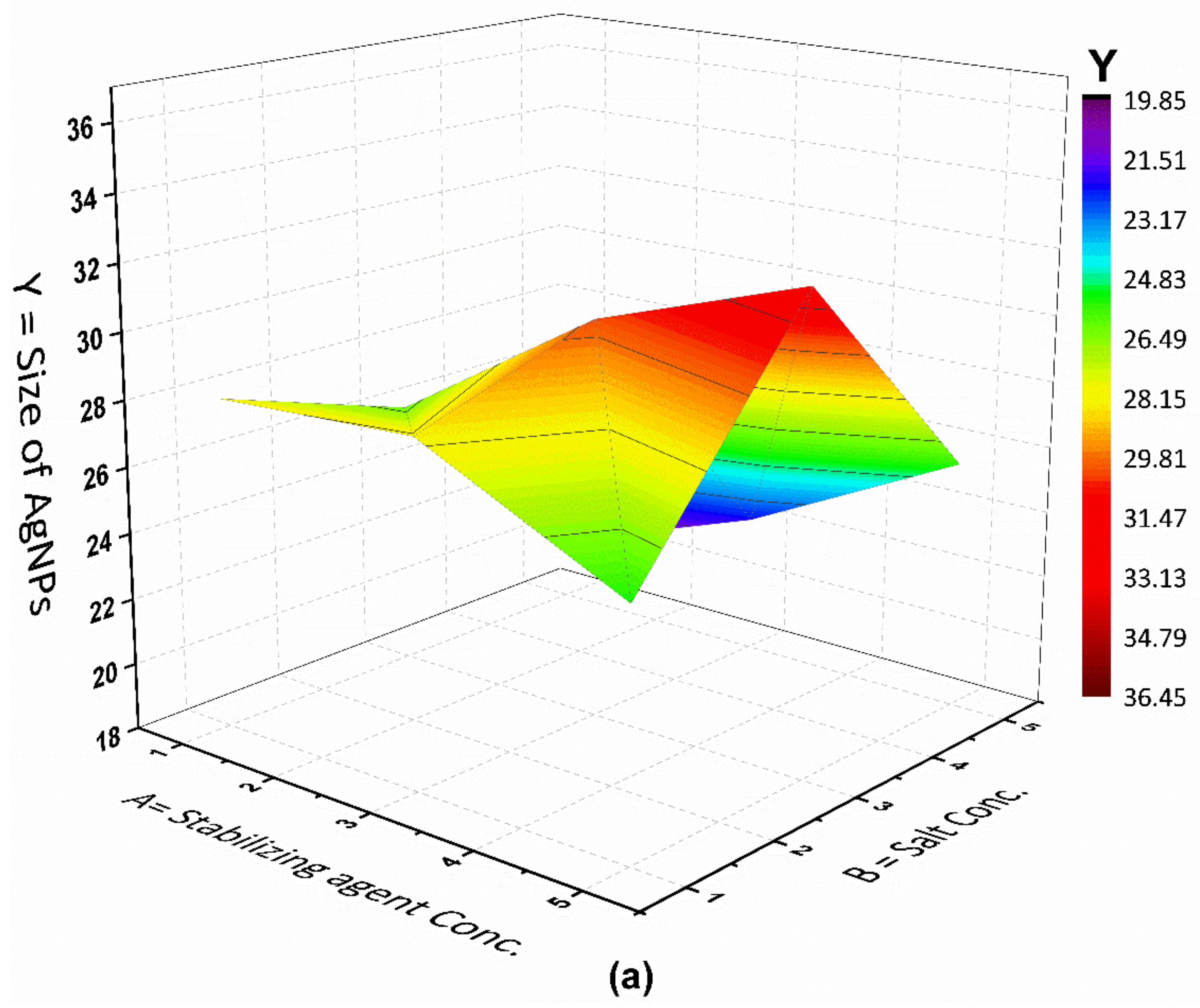
3.1. Optimization of Size of AgNPs through RSM Analysis
3.2. XRD Analysis
3.3. UV–Vis Analysis
3.4. SEM and EDX Analysis
3.5. FTIR Analysis
3.6. Antibacterial
3.7. Antioxidant
3.8. Photodegradation of Methyl Orange (MO) Dye with AgNPs
| Sr No | Material | Method | Size/Shape/Structure | Antibacterial | Antioxidant | Photocatalytic | Reference |
|---|---|---|---|---|---|---|---|
| 1 | Glucose stabilized AgNPs | Plasma reduction method | Size: 19.89 by XRD Shape: spherical | E. coli: 12 mm S. auerus: 18 mm | Antioxidant activity enhanced with rising amount of salt concentration by DPPH assay | 82.3% MO degradation | Present study |
| 2 | fugus Trichoderma harzianum synthesis of extracellular AgNPs | Green synthesis | Size: 21.49 nm by DLS Structure: cubic | S. auerus: 14.6 mm, B. subtilis: 13.86 mm, R. solanacearum: 17.43, E. coli: 15.56 mm | Remarkable antioxidant Properties by DPPH and ferric reducing antioxidant power (FRAP) assay | - | [49] |
| 3 | AgNPs@SEE | biosynthesis | Size: 35–50 nm Shape: spherical Structure: cubic | P. aeruginosa, E. faecalis, E. coli, S. aureus, P. mirabilis, A. baumannii and K. pneumonia | - | MO degrade 95.89% | [62] |
| 4 | AgNPs) using Carissa opaca leaves | Green approach | Size: 8 nm | E. coli: 24 (±0.5 mm) B. subtilis: 20 (±0.8 mm) | Better antioxidant activity by DPPH assay | 97% of MB in 50 min | [59] |
| 5 | chitosan/silver (CS/Ag) nanocomposite | bio-inspired method | Size: 23–78 nm Shape: spherical | B. subtilis and E. coli | Vitro antioxidant by DPPH | 88% MB in 220 min | [20] |
| 6 | AgNPs | Biosynthesis method | Size: 30 nm Structure: microcrystalline | Highest antibacterial activity against S. aureus MTCC 902: (16 ± 0.904 mm) | Antioxidant by DPPH and H2O2 assay | - | [25] |
| 7 | AgNPs | Chemical route | Size: 4, 12 and 40 nm Shape: triangular | E. coli displays good antibacterial activity | - | - | [46,47] |
| 8 | AgNPs | Green synthesis | Size: 30 nm by SEM analysis | E. coli, S. aureus | Higher antioxidant activity using TFC, TPC, TAC, DPPH, FRAP, and IC50 assays | MO degradation in 20 min | [57] |
| 9 | AgNPs | Bio synthesis | Size: 39 ± 4 nm Shape: round plate-like Structure: FCC | Gram-negative low MIC as 5 ppm, Gram-positive 25 ppm | Potential antioxidant activity by using DPPH | - | [58] |
| 10 | AgNPs | Green synthesis by using stem (S), root (R), and leaf (L) | Size: S = 25.55 nm, R = 38.23 nm and L = 45.55 nm Shape: face hexagonal | - | - | MV, S, EMB and MO 30 min degradation | [7] |
4. Conclusions
Author Contributions
Funding
Institutional Review Board Statement
Informed Consent Statement
Data Availability Statement
Acknowledgments
Conflicts of Interest
References
- El-Naggar, N.E.-A.; Hussein, M.H.; El-Sawah, A.A. Bio-fabrication of silver nanoparticles by phycocyanin, characterization, in vitro anticancer activity against breast cancer cell line and in vivo cytotxicity. Sci. Rep. 2017, 7, 10844. [Google Scholar] [CrossRef] [PubMed] [Green Version]
- Yazdi, M.E.T.; Darroudi, M.; Amiri, M.S.; Zarrinfar, H.; Hosseini, H.A.; Mashreghi, M.; Mozafarri, H.; Ghorbani, A.; Mousavi, S.H. Antimycobacterial, Anticancer, Antioxidant and Photocatalytic Activity of Biosynthesized Silver Nanoparticles Using Berberis Integerrima. Iran. J. Sci. Technol. Trans. A Sci. 2021, 46, 1–11. [Google Scholar] [CrossRef]
- Kakakhel, M.A.; Saif, I.; Ullah, N.; Faisal, S.; Anwar, Z.; Din, S.Z.U. Waste Fruit Peel Mediated Synthesis of Silver Nanoparticles and Its Antibacterial Activity. BioNanoScience 2021, 11, 469–475. [Google Scholar] [CrossRef]
- Subramaniam, P.; Nisha, K.M.J.; Vanitha, A.; Kiruthika, M.L.; Sindhu, P.; Elesawy, B.H.; Brindhadevi, K.; Kalimuthu, K. Synthesis of silver nanoparticles from wild and tissue cultured Ceropegia juncea plants and its antibacterial, anti-angiogenesis and cytotoxic activities. Appl. Nanosci. 2021, 2021, 1–15. [Google Scholar] [CrossRef]
- Loo, Y.Y.; Rukayadi, Y.; Nor-Khaizura, M.-A.; Kuan, C.H.; Chieng, B.W.; Nishibuchi, M.; Radu, S. In Vitro Antimicrobial Activity of Green Synthesized Silver Nanoparticles Against Selected Gram-negative Foodborne Pathogens. Front. Microbiol. 2018, 9, 1555. [Google Scholar] [CrossRef]
- Keshari, A.K.; Srivastava, R.; Singh, P.; Yadav, V.B.; Nath, G. Antioxidant and antibacterial activity of silver nanoparticles synthesized by Cestrum nocturnum. J. Ayurveda Integr. Med. 2018, 11, 37–44. [Google Scholar] [CrossRef]
- Bhakya, S.; Muthukrishnan, S.; Sukumaran, M.; Muthukumar, M.; Kumar, S.T.; Rao, M.V. Catalytic degradation of organic dyes using synthesized silver nanoparticles: A green approach. J. Bioremediat. Biodegred. 2015, 6, 1. [Google Scholar]
- Pinheiro, S.K.D.P.; Miguel, T.B.A.R.; Chaves, M.D.M.; Barros, F.C.D.F.; Farias, C.P.; de Moura, T.A.; Ferreira, O.P.; Paschoal, A.R.; Filho, A.G.S.; Miguel, E.D.C. Silver nanoparticles (AgNPs) internalization and passage through the Lactuca sativa (Asteraceae) outer cell wall. Funct. Plant Biol. 2021, 48, 1113. [Google Scholar] [CrossRef]
- Sohal, J.K.; Saraf, A.; Shukla, K.K. Silver Nanoparticles (AgNPs): Methods of Synthesis, Mechanism of Antimicrobial Action and Applications. Multidiscip. Res. Dev. 2021, 8, 57. [Google Scholar]
- Nguyen, P.A.; Phan, H.P.; Dang-Bao, T.; Nguyen, V.M.; Duong, N.L.; Huynh, X.T.; Vo, P.P.T.; Pham, T.Y.L.; Bui, T.N.Q.; Nguyen, T. Sunlight irradiation-assisted green synthesis, characteristics and antibacterial activity of silver nanoparticles using the leaf extract of Jasminum subtriplinerve Blume. J. Plant Biochem. Biotechnol. 2021, 31, 202–205. [Google Scholar] [CrossRef]
- Joshi, P.G.; More, M.S.; Bisht, N.; Phalswal, P.; Dhapte-Pawar, V.; Khanna, P.K. Synthesis of biologically active silver nanoparticles using N-containing compounds: The dual role of semicarbazones. New J. Chem. 2021, 45, 22369–22377. [Google Scholar] [CrossRef]
- Shepida, M.; Kuntyi, O.; Sozanskyi, M.; Sukhatskiy, Y. Sonoelectrochemical Synthesis of Antibacterial Active Silver Nanoparticles in Rhamnolipid Solution. Adv. Mater. Sci. Eng. 2021, 2021, 7754523. [Google Scholar] [CrossRef]
- Hoang, V.-T.; Dinh, N.X.; Pham, T.N.; Hoang, T.V.; Tuan, P.A.; Huy, T.Q.; Le, A.-T. Scalable Electrochemical Synthesis of Novel Biogenic Silver Nanoparticles and Its Application to High-Sensitive Detection of 4-Nitrophenol in Aqueous System. Adv. Polym. Technol. 2021, 2021, 6646219. [Google Scholar] [CrossRef]
- Taib, T.; Johan, M.R.; Basirun, W.J. Plasmonic SERS active nanostructured Ag–SiO2 at optimum volume ratio synthesized via sol-gel technique. Phys. B Condens. Matter 2021, 606, 412638. [Google Scholar] [CrossRef]
- Seku, K.; Hussaini, S.S.; Pejjai, B.; Al Balushi, M.M.S.; Dasari, R.; Golla, N.; Reddy, G.B. A rapid microwave-assisted synthesis of silver nanoparticles using Ziziphus jujuba Mill fruit extract and their catalytic and antimicrobial properties. Chem. Pap. 2020, 75, 1341–1354. [Google Scholar] [CrossRef]
- Sreelekha, E.; George, B.; Shyam, A.; Sajina, N.; Mathew, B. A Comparative Study on the Synthesis, Characterization, and Antioxidant Activity of Green and Chemically Synthesized Silver Nanoparticles. BioNanoScience 2021, 11, 489–496. [Google Scholar] [CrossRef]
- Altaf, N.U.H.; Naz, M.Y.; Shukrullah, S.; Bhatti, H.N.; Irfan, M.; Alsaiari, M.A.; Rahman, S.; Niazi, U.M.; Glowacz, A.; Proniewska, K.; et al. Statistically Optimized Production of Saccharides Stabilized Silver Nanoparticles Using Liquid–Plasma Reduction Approach for Antibacterial Treatment of Water. Materials 2021, 14, 5841. [Google Scholar] [CrossRef]
- Fan, J.; Cheng, Y.; Sun, M. Functionalized Gold Nanoparticles: Synthesis, Properties and Biomedical Applications. Chem. Rec. 2020, 20, 1474–1504. [Google Scholar] [CrossRef]
- Jiang, H.; Chen, Z.; Cao, H.; Huang, Y. Peroxidase-like activity of chitosan stabilized silver nanoparticles for visual and colorimetric detection of glucose. Analyst 2012, 137, 5560–5564. [Google Scholar] [CrossRef]
- Nandana, C.N.; Christeena, M.; Bharathi, D. Synthesis and Characterization of Chitosan/Silver Nanocomposite Using Rutin for Antibacterial, Antioxidant and Photocatalytic Applications. J. Clust. Sci. 2021, 33, 269–279. [Google Scholar] [CrossRef]
- Othman, A.M.; Elsayed, M.A.; Al-Balakocy, N.G.; Hassan, M.M.; Elshafei, A.M. Biosynthesized silver nanoparticles by Aspergillus terreus NRRL265 for imparting durable antimicrobial finishing to polyester cotton blended fabrics: Statistical optimization, characterization, and antitumor activity evaluation. Biocatal. Agric. Biotechnol. 2021, 31, 101908. [Google Scholar] [CrossRef]
- Altaf, N.; Naz, M.; Shukrullah, S.; Bhatti, H. Testing of photocatalytic potential of silver nanoparticles produced through nonthermal plasma reduction reaction and stabilized with saccharides. Main Group Chem. 2021, 20, 475–488. [Google Scholar] [CrossRef]
- Skiba, M.; Vorobyova, V. Green synthesis of silver nanoparticles using grape pomace extract prepared by plasma-chemical assisted extraction method. Mol. Cryst. Liq. Cryst. 2018, 674, 142–151. [Google Scholar] [CrossRef]
- Singaram, A.J.V.; Ganesan, N.D. Modeling the influence of extraction parameters on the yield and chemical characteristics of microwave extracted mango (Mangifera indica L.) peel pectin by response surface methodology. Prep. Biochem. Biotechnol. 2021, 20, 1989697. [Google Scholar] [CrossRef]
- Husain, S.; Verma, S.K.; Hemlata; Azam, M.; Sardar, M.; Haq, Q.; Fatma, T. Antibacterial efficacy of facile cyanobacterial silver nanoparticles inferred by antioxidant mechanism. Mater. Sci. Eng. C 2021, 122, 111888. [Google Scholar] [CrossRef]
- Nyakundi, E.O.; Padmanabhan, M.N. Green chemistry focus on optimization of silver nanoparticles using response surface methodology (RSM) and mosquitocidal activity: Anopheles stephensi (Diptera: Culicidae). Spectrochim. Acta Part A Mol. Biomol. Spectrosc. 2015, 149, 978–984. [Google Scholar] [CrossRef]
- Zimmermann, J.C. Probing Ultrafast Electron Dynamics in Helium Nanodroplets with Deep Learning Assisted Diffraction Imaging. Doctoral Dissertation, Technische Universitaet Berlin, Berlin, Germany, 2021. [Google Scholar] [CrossRef]
- Yusof, H.M.; Mohamad, R.; Zaidan, U.H.; Rahman, N.A.A. Microbial synthesis of zinc oxide nanoparticles and their potential application as an antimicrobial agent and a feed supplement in animal industry: A review. J. Anim. Sci. Biotechnol. 2019, 10, 57. [Google Scholar] [CrossRef]
- Khan, M.; Khan, S.T.; Khan, M.; Adil, S.F.; Musarrat, J.; Al-Khedhairy, A.A.; Al-Warthan, A.; Siddiqui, M.R.H.; Alkhathlan, H.Z. Antibacterial properties of silver nanoparticles synthesized using Pulicaria glutinosa plant extract as a green bioreductant. Int. J. Nanomed. 2014, 9, 3551. [Google Scholar]
- Nadar, S.; Rathod, V.K. Magnetic macromolecular cross linked enzyme aggregates (CLEAs) of glucoamylase. Enzym. Microb. Technol. 2016, 83, 78–87. [Google Scholar] [CrossRef]
- Bezza, F.A.; Tichapondwa, S.M.; Chirwa, E.M. Synthesis of biosurfactant stabilized silver nanoparticles, characterization and their potential application for bactericidal purposes. J. Hazard. Mater. 2020, 393, 122319. [Google Scholar] [CrossRef]
- Makvandi, P.; Wang, C.Y.; Zare, E.N.; Borzacchiello, A.; Niu, L.N.; Tay, F.R. Metal-Based Nanomaterials in Biomedical Applications: Antimicrobial Activity and Cytotoxicity Aspects. Adv. Funct. Mater. 2020, 30, 1910021. [Google Scholar] [CrossRef]
- Shahid, M.; Farooqi, Z.H.; Begum, R.; Naseem, K.; Ajmal, M.; Irfan, A. Designed synthesis of silver nanoparticles in responsive polymeric system for their thermally tailored catalytic activity towards hydrogenation reaction. Korean J. Chem. Eng. 2018, 35, 1099–1107. [Google Scholar] [CrossRef]
- Restrepo, C.V.; Villa, C.C. Synthesis of silver nanoparticles, influence of capping agents, and dependence on size and shape: A review. Environ. Nanotechnol. Monit. Manag. 2021, 15, 100428. [Google Scholar] [CrossRef]
- Smiechowicz, E.; Niekraszewicz, B.; Kulpinski, P. Optimisation of AgNP Synthesis in the Production and Modification of Antibacterial Cellulose Fibres. Materials 2021, 14, 4126. [Google Scholar] [CrossRef] [PubMed]
- Wypij, M.; Świecimska, M.; Dahm, H.; Rai, M.; Golinska, P. Controllable biosynthesis of silver nanoparticles using actinobacterial strains. Green Process. Synth. 2018, 8, 207–214. [Google Scholar] [CrossRef]
- Boonyeun, N.; Rujiravanit, R.; Saito, N. Plasma-Assisted Synthesis of Multicomponent Nanoparticles Containing Carbon, Tungsten Carbide and Silver as Multifunctional Filler for Polylactic Acid Composite Films. Polymers 2021, 13, 991. [Google Scholar] [CrossRef]
- Danaei, M.; Motaghi, M.M.; Naghmachi, M.; Amirmahani, F.; Moravej, R. Green synthesis of silver nanoparticles (AgNPs) by filamentous algae extract: Comprehensive evaluation of antimicrobial and anti-biofilm effects against nosocomial pathogens. Biologia 2021, 76, 3057–3069. [Google Scholar] [CrossRef]
- Wang, H.; Zhang, G.; Mia, R.; Wang, W.; Xie, L.; Lü, S.; Mahmud, S.; Liu, H. Bioreduction (Ag+ to Ag0) and stabilization of silver nanocatalyst using hyaluronate biopolymer for azo-contaminated wastewater treatment. J. Alloys Compd. 2021, 894, 162502. [Google Scholar] [CrossRef]
- Daniel, M.-C.; Astruc, D. Gold Nanoparticles: Assembly, Supramolecular Chemistry, Quantum-Size-Related Properties, and Applications toward Biology, Catalysis, and Nanotechnology. Chem. Rev. 2003, 104, 293–346. [Google Scholar] [CrossRef]
- Zayed, M.F.; Eisa, W.; El-Kousy, S.M.; Mleha, W.K.; Kamal, N. Ficus retusa-stabilized gold and silver nanoparticles: Controlled synthesis, spectroscopic characterization, and sensing properties. Spectrochim. Acta Part A Mol. Biomol. Spectrosc. 2019, 214, 496–512. [Google Scholar] [CrossRef]
- Das, R.; Nath, S.S.; Chakdar, D.; Gope, G.; Bhattacharjee, R. Synthesis of silver nanoparticles and their optical properties. J. Exp. Nanosci. 2010, 5, 357–362. [Google Scholar] [CrossRef] [Green Version]
- Jain, S.; Mehata, M.S. Medicinal Plant Leaf Extract and Pure Flavonoid Mediated Green Synthesis of Silver Nanoparticles and their Enhanced Antibacterial Property. Sci. Rep. 2017, 7, 15867. [Google Scholar] [CrossRef] [PubMed]
- Zhao, X.; Li, Q.; Ma, X.; Quan, F.; Wang, J.; Xia, Y. The preparation of alginate–AgNPs composite fiber with green approach and its antibacterial activity. J. Ind. Eng. Chem. 2015, 24, 188–195. [Google Scholar] [CrossRef]
- Agnihotri, S.; Mukherji, S.; Mukherji, S. Size-controlled silver nanoparticles synthesized over the range 5–100 nm using the same protocol and their antibacterial efficacy. RSC Adv. 2014, 4, 3974–3983. [Google Scholar] [CrossRef] [Green Version]
- Van Dong, P.; Ha, C.H.; Binh, L.T.; Kasbohm, J. Chemical synthesis and antibacterial activity of novel-shaped silver nanoparticles. Int. Nano Lett. 2012, 2, 9. [Google Scholar] [CrossRef] [Green Version]
- Tak, Y.K.; Pal, S.; Naoghare, P.K.; Rangasamy, S.; Song, J.M. Shape-dependent skin penetration of silver nanoparticles: Does it really matter? Sci. Rep. 2015, 5, 16908. [Google Scholar] [CrossRef] [Green Version]
- Gunawan, P.; Guan, C.; Song, X.; Zhang, Q.; Leong, S.S.J.; Tang, C.; Chen, Y.; Chan-Park, M.B.; Chang, M.W.; Wang, K.; et al. Hollow Fiber Membrane Decorated with Ag/MWNTs: Toward Effective Water Disinfection and Biofouling Control. ACS Nano 2011, 5, 10033–10040. [Google Scholar] [CrossRef]
- Konappa, N.; Udayashankar, A.; Dhamodaran, N.; Krishnamurthy, S.; Jagannath, S.; Uzma, F.; Pradeep, C.; De Britto, S.; Chowdappa, S.; Jogaiah, S. Ameliorated Antibacterial and Antioxidant Properties by Trichoderma harzianum Mediated Green Synthesis of Silver Nanoparticles. Biomolecules 2021, 11, 535. [Google Scholar] [CrossRef]
- Betz, A. Improving Analysis and Interpretation of Transcriptomics and Proteomics in Environmental Sciences. Doctoral Dissertation, ETH Zurich, Zurich, Switzerland, 2020. [Google Scholar] [CrossRef]
- Skiba, M.; Pivovarov, A.; Vorobyova, V.; Derkach, T.; Kurmakova, I. Plasma-chemical formation of silver nanoparticles: The silver ions concentration effect on the particle size and their antimicrobial properties. J. Chem. Technol. Metall. 2019, 54, 311–318. [Google Scholar]
- Alavi, M. Bacteria and fungi as major bio-sources to fabricate silver nanoparticles with antibacterial activities. Expert Rev. Anti-infective Ther. 2022, 20, 897–906. [Google Scholar] [CrossRef]
- Sudarsan, S.; Shankar, M.K.; Motatis, A.K.B.; Shankar, S.; Krishnappa, D.; Mohan, C.; Rangappa, K.; Gupta, V.; Siddaiah, C. Green Synthesis of Silver Nanoparticles by Cytobacillus firmus Isolated from the Stem Bark of Terminalia arjuna and Their Antimicrobial Activity. Biomolecules 2021, 11, 259. [Google Scholar] [CrossRef] [PubMed]
- Patil, M.P.; Seong, Y.-A.; Kim, J.-O.; Seo, Y.B.; Kim, G.-D. Synthesis of silver nanoparticles using aqueous extract of Cuscuta japonica seeds and their antibacterial and antioxidant activities. Inorg. Chem. Commun. 2021, 134, 109035. [Google Scholar] [CrossRef]
- Dara, P.K.; Mahadevan, R.; Digita, P.A.; Visnuvinayagam, S.; Kumar, L.R.G.; Mathew, S.; Ravishankar, C.N.; Anandan, R. Synthesis and biochemical characterization of silver nanoparticles grafted chitosan (Chi-Ag-NPs): In vitro studies on antioxidant and antibacterial applications. SN Appl. Sci. 2020, 2, 665. [Google Scholar] [CrossRef] [Green Version]
- Kumar, V.; Singh, D.K.; Mohan, S.; Gundampati, R.K.; Hasan, S.H. Photoinduced green synthesis of silver nanoparticles using aqueous extract of Physalis angulata and its antibacterial and antioxidant activity. J. Environ. Chem. Eng. 2017, 5, 744–756. [Google Scholar] [CrossRef]
- Kandiah, M.; Chandrasekaran, K.N. Green Synthesis of Silver Nanoparticles Using Catharanthus roseus Flower Extracts and the Determination of Their Antioxidant, Antimicrobial, and Photocatalytic Activity. J. Nanotechnol. 2021, 2021, 5512786. [Google Scholar] [CrossRef]
- Dilshad, E.; Bibi, M.; Sheikh, N.A.; Tamrin, K.F.; Mansoor, Q.; Maqbool, Q.; Nawaz, M. Synthesis of Functional Silver Nanoparticles and Microparticles with Modifiers and Evaluation of Their Antimicrobial, Anticancer, and Antioxidant Activity. J. Funct. Biomater. 2020, 11, 76. [Google Scholar] [CrossRef]
- Ullah, I.; Tahir, K.; Khan, A.U.; Albalawi, K.; Li, B.; El-Zahhar, A.A.; Jevtovic, V.; Al-Shehri, H.S.; Asghar, B.H.; Alghamdi, M.M. Facile fabrication of Ag nanoparticles: An advanced material for antioxidant, infectious therapy and photocatalytic applications. Inorg. Chem. Commun. 2022, 141, 109539. [Google Scholar] [CrossRef]
- Frei, M.S.; Mondelli, C.; García-Muelas, R.; Morales-Vidal, J.; Philipp, M.; Safonova, O.V.; López, N.; Stewart, J.A.; Ferré, D.C.; Pérez-Ramírez, J. Nanostructure of nickel-promoted indium oxide catalysts drives selectivity in CO2 hydrogenation. Nat. Commun. 2021, 12, 1960. [Google Scholar] [CrossRef]
- Al-Najar, B.; Younis, A.; Hazeem, L.; Sehar, S.; Rashdan, S.; Shaikh, M.N.; Albuflasa, H.; Hankins, N.P. Thermally induced oxygen related defects in eco-friendly ZnFe2O4 nanoparticles for enhanced wastewater treatment efficiencies. Chemosphere 2021, 288, 132525. [Google Scholar] [CrossRef]
- Hashemi, Z.; Mizwari, Z.M.; Mohammadi-Aghdam, S.; Mortazavi-Derazkola, S.; Ebrahimzadeh, M.A. Sustainable green synthesis of silver nanoparticles using Sambucus ebulus phenolic extract (AgNPs@ SEE): Optimization and assessment of photocatalytic degradation of methyl orange and their in vitro antibacterial and anticancer activity. Arab. J. Chem. 2022, 15, 103525. [Google Scholar] [CrossRef]
- Lin, W.; Cao, E.; Zhang, L.; Xu, X.; Song, Y.; Liang, W.; Sun, M. Electrically enhanced hot hole driven oxidation catalysis at the interface of a plasmon–exciton hybrid. Nanoscale 2018, 10, 5482–5488. [Google Scholar] [CrossRef] [PubMed]















| Runs | A | B | C | Y = Size of AgNPs (nm) Experimental | Predicted |
|---|---|---|---|---|---|
| 1 | 0 | 1 | 1 | 23.05 | 25.07 |
| 2 | 1 | 0 | 1 | 21.40 | 21.5 |
| 3 | 0 | 0 | 0 | 36.45 | 37 |
| 4 | 0 | −1 | 1 | 19.89 | 20.38 |
| 5 | −1 | 0 | 1 | 26.60 | 25.32 |
| 6 | −1 | 0 | −1 | 33.45 | 34 |
| 7 | −1 | 1 | 0 | 25.33 | 24.5 |
| 8 | 1 | −1 | 0 | 28.00 | 28.2 |
| 9 | 0 | 0 | 0 | 32.60 | 32.3 |
| 10 | −1 | −1 | 0 | 26.88 | 27 |
| 11 | 0 | −1 | −1 | 30.40 | 31.2 |
| 12 | 1 | 1 | 0 | 20.22 | 19.8 |
| 13 | 1 | 0 | −1 | 25.33 | 24.5 |
| 14 | 0 | 0 | 0 | 25.55 | 22.36 |
| 15 | 0 | 1 | −1 | 32.02 | 31.33 |
| Source | Sum of Squares | Degree of Freedom | Mean Square (Variance) | F-Value (Fisher’s Function) | p-Value (Level of Significance) | Determination of Coefficient R2 |
|---|---|---|---|---|---|---|
| Model | 306.989 | 9 | 34.10 | 16.039 | 0.002 | 0.96646 |
| Residual | 10.634 | 5 | 2.126 | |||
| Total | 317.623 | 14 |
| Variables | Main Effects | Coefficients | T-Value | p-Value Prob > F | Confidence Interval (C.I) |
|---|---|---|---|---|---|
| Intercept | 461.962 | 230.981 | 4.441 | 0.000 | 100 |
| A | –100.416 | –50.208 | –4.017 | 0.010 | 99.12 |
| B | –2.002 | –1.00097 | –2.061 | 0.094 | 91.40 |
| C | –5.791 | 2.895 | 1.762 | 0.138 | 86.06 |
| AB | –0.084 | –0.042 | –0.869 | 0.424 | 58.14 |
| AC | −1.597 | –0.798 | –4.560 | 0.005 | 99.343 |
| BC | −0.00059 | –0.00029 | –0.026 | 0.980 | 1.99 |
| AA | 7.099 | 3.549 | 4.602 | 0.004 | 99.49 |
| BB | 0.040 | 0.0201 | 5.105 | 0.002 | 99.67 |
| CC | 0.448 | 0.224 | 3.309 | 0.021 | 98.14 |
| Sample Code | Average Particle Size (nm) by XRD Analysis | Average Particle Size (nm) by SEM Analysis |
|---|---|---|
| Run 4 | 19.89 | 82 |
| Run 6 | 33.45 | 102 |
| Samples | Size of AgNPs (nm) | Inhibition Zone (mm) E. coli | S. aureus |
|---|---|---|---|
| S1 (Run 1) | 23.05 | 5 | 8 |
| S2 (Run 2) | 21.40 | 6 | 10 |
| S3 (Run 12) | 20.22 | 9 | 12 |
| S4 (Run 4) | 19.89 | 12 | 18 |
Publisher’s Note: MDPI stays neutral with regard to jurisdictional claims in published maps and institutional affiliations. |
© 2022 by the authors. Licensee MDPI, Basel, Switzerland. This article is an open access article distributed under the terms and conditions of the Creative Commons Attribution (CC BY) license (https://creativecommons.org/licenses/by/4.0/).
Share and Cite
Altaf, N.U.H.; Naz, M.Y.; Shukrullah, S.; Ghamkhar, M.; Irfan, M.; Rahman, S.; Jakubowski, T.; Alqurashi, E.A.; Glowacz, A.; Mahnashi, M.H. Non-Thermal Plasma Reduction of Ag+ Ions into Silver Nanoparticles in Open Atmosphere under Statistically Optimized Conditions for Biological and Photocatalytic Applications. Materials 2022, 15, 3826. https://doi.org/10.3390/ma15113826
Altaf NUH, Naz MY, Shukrullah S, Ghamkhar M, Irfan M, Rahman S, Jakubowski T, Alqurashi EA, Glowacz A, Mahnashi MH. Non-Thermal Plasma Reduction of Ag+ Ions into Silver Nanoparticles in Open Atmosphere under Statistically Optimized Conditions for Biological and Photocatalytic Applications. Materials. 2022; 15(11):3826. https://doi.org/10.3390/ma15113826
Chicago/Turabian StyleAltaf, Noor Ul Huda, Muhammad Yasin Naz, Shazia Shukrullah, Madiha Ghamkhar, Muhammad Irfan, Saifur Rahman, Tomasz Jakubowski, Esam A. Alqurashi, Adam Glowacz, and Mater H. Mahnashi. 2022. "Non-Thermal Plasma Reduction of Ag+ Ions into Silver Nanoparticles in Open Atmosphere under Statistically Optimized Conditions for Biological and Photocatalytic Applications" Materials 15, no. 11: 3826. https://doi.org/10.3390/ma15113826
APA StyleAltaf, N. U. H., Naz, M. Y., Shukrullah, S., Ghamkhar, M., Irfan, M., Rahman, S., Jakubowski, T., Alqurashi, E. A., Glowacz, A., & Mahnashi, M. H. (2022). Non-Thermal Plasma Reduction of Ag+ Ions into Silver Nanoparticles in Open Atmosphere under Statistically Optimized Conditions for Biological and Photocatalytic Applications. Materials, 15(11), 3826. https://doi.org/10.3390/ma15113826

