Numerical Investigation of Very-Large-Scale Motions in a Turbulent Boundary Layer for Different Roughness
Abstract
1. Introduction
2. Numerical Method
2.1. Wall Model LES (WMLES)
2.2. Simulation Setup
3. Validations
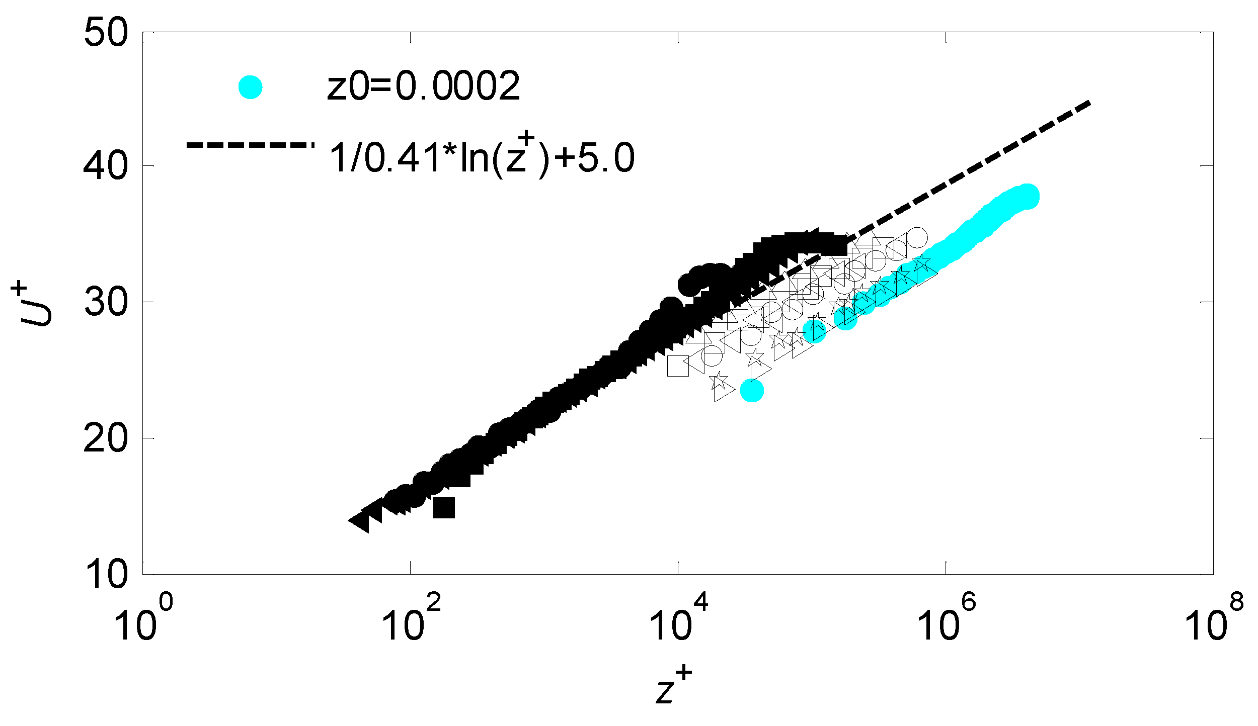
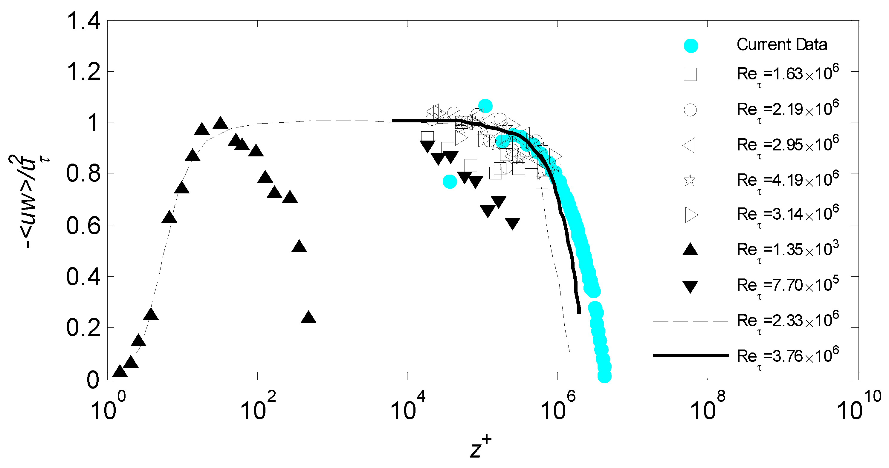
3.1. Validation by Non-Dimensional Inner Variables
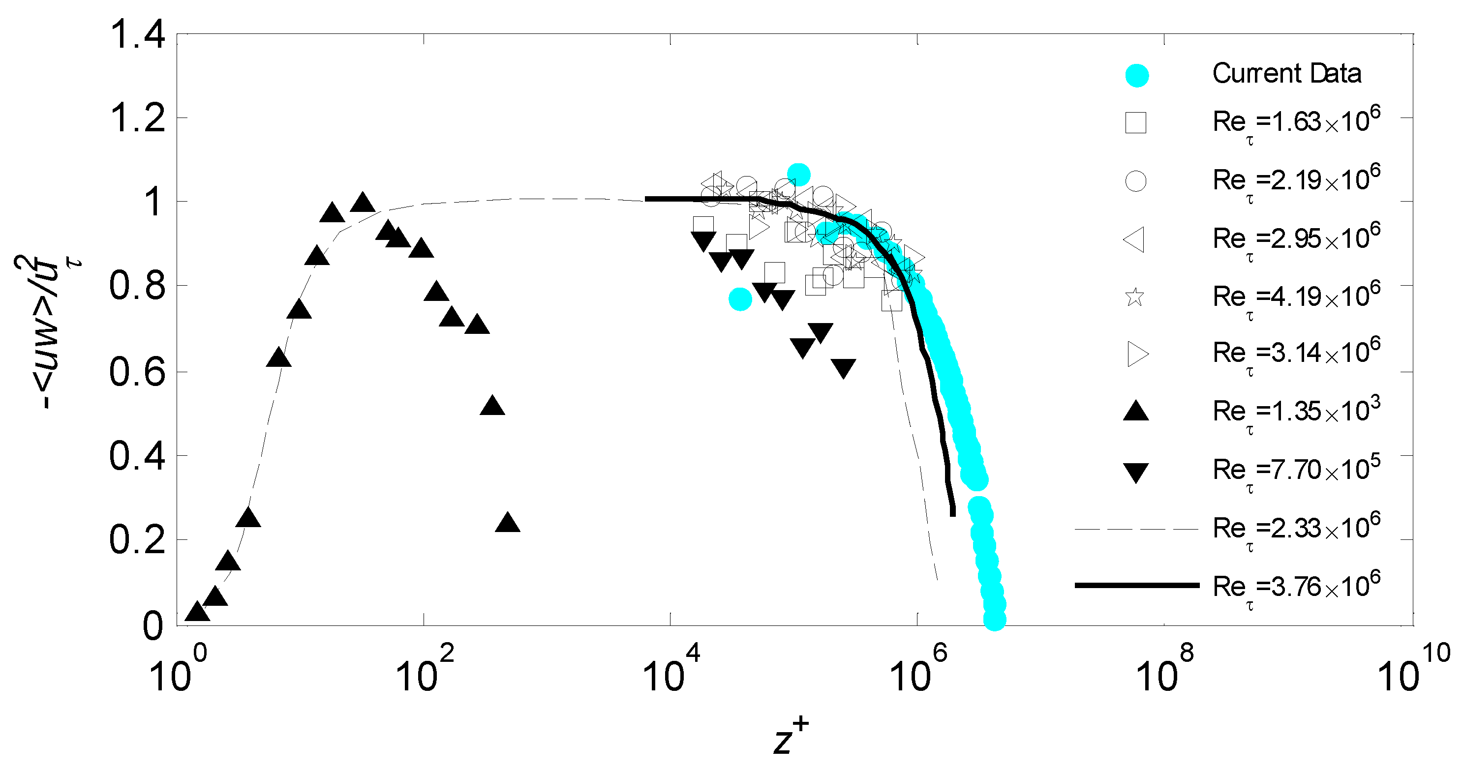
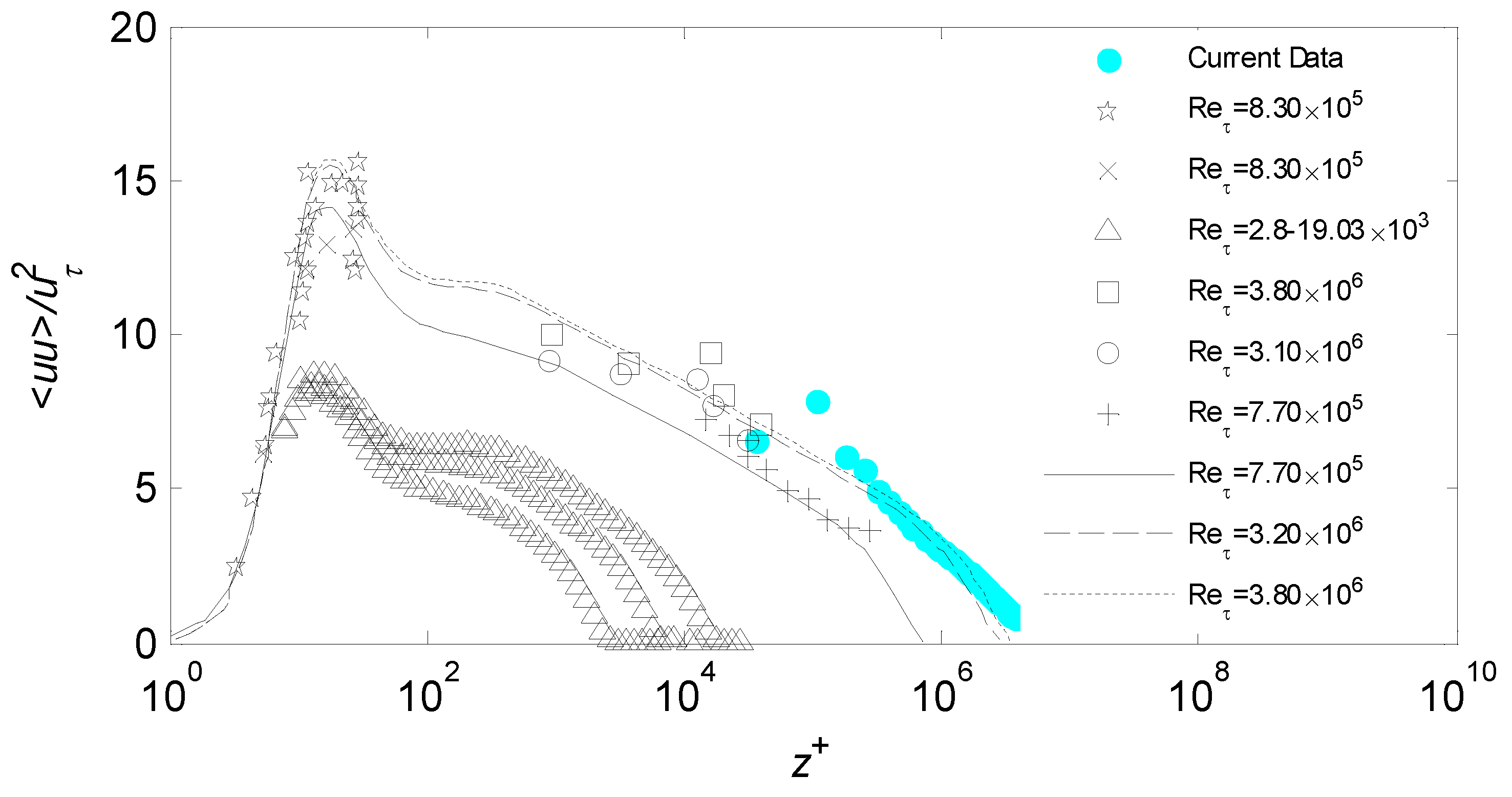
3.2. Validation by Non-Dimensional Outer Variables
4. Results and Discussion
4.1. Velocity Spectra Characteristics under Different Surface Roughnesses
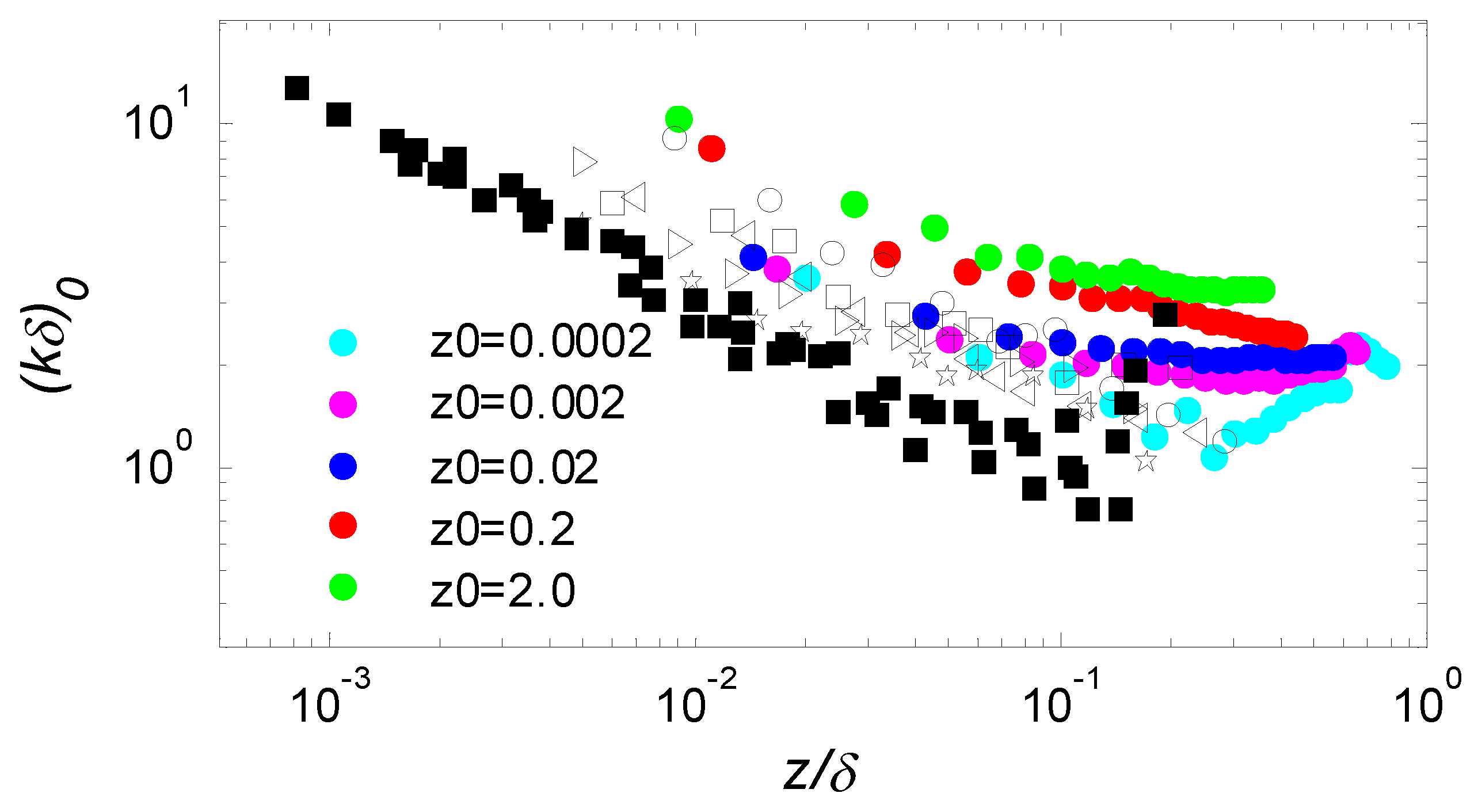
4.1.1. Streamwise Velocity Spectra
4.1.2. Wall-Normal Velocity Spectra Characteristics
4.2. Effects of VLSMs and LSMs on Turbulent Kinetic Energy
4.3. Flow Field Correlation Analysis
4.4. Instantaneous Flow Field Analysis
4.5. The Generation and Development of VLSMs
4.6. Vortices Field Analysis
5. Conclusions
Author Contributions
Funding
Conflicts of Interest
References
- Kovasznay, L.S.G.; Kibens, V.; Blackwelder, R.F. Large-scale motion in the intermittent region of a turbulent boundary layer. J. Fluid Mech. 1970, 41, 283–325. [Google Scholar] [CrossRef]
- Balakumar, B.J.; Adrian, R.J. Large-and very-large-scale motions in channel and boundary-layer flows. Phil. Trans. R. Soc. Lond. A 2007, 365, 665–681. [Google Scholar] [CrossRef]
- Kim, K.C.; Adrian, R.J. Very large-scale motion in the outer layer. Phys. Fluids 1999, 11, 417–422. [Google Scholar] [CrossRef]
- Guala, M.; Hommema, S.E.; Adrian, R.J. Large-scale and very-large-scale motions in turbulent pipe flow. J. Fluid Mech. 2006, 554, 521–542. [Google Scholar] [CrossRef]
- Zhou, J.; Adrian, R.J.; Balachandar, S.; Kendall, T.M. Mechanisms for generating coherent packets of hairpin vortices in channel flow. J. Fluid Mech. 1999, 387, 353–396. [Google Scholar] [CrossRef]
- Lee, J.; Lee, J.H.; Choi, J.; Sung, H.J. Spatial organization of large- and very-large-scale motions in a turbulent channel flow. J. Fluid Mech. 2014, 749, 818–840. [Google Scholar] [CrossRef]
- Hutchins, N.; Marusic, I. Evidence of very long meandering features in the logarithmic region of turbulent boundary layers. J. Fluid Mech. 2007, 579, 1–28. [Google Scholar] [CrossRef]
- Lee, J.H.; Sung, H.J. Very-large-scale motions in a turbulent boundary layer. J. Fluid Mech. 2011, 673, 80–120. [Google Scholar] [CrossRef]
- Wang, G.H.; Zheng, X.J. Very large scale motions in the atmospheric surface layer: A field investigation. J. Fluid Mech. 2016, 802, 464–489. [Google Scholar] [CrossRef]
- Monty, J.P.; Stewart, J.A.; Williams, R.C.; Chong, M.S. Large-scale features in turbulent pipe and channel flows. J. Fluid Mech. 2007, 589, 147–156. [Google Scholar] [CrossRef]
- Bailey, S.C.C.; Smits, A.J. Experimental investigation of the structure of large- and very large-scale motions in turbulent pipe flow. J. Fluid Mech. 2010, 651, 339–356. [Google Scholar] [CrossRef]
- Hutchins, N.; Marusic, I. Large-scale influences in near-wall turbulence. Phil. Trans. R. Soc. Lond. A 2007, 365, 647–664. [Google Scholar] [CrossRef]
- Mathis, R.; Hutchins, N.; Marusic, I. Large-scale amplitude modulation of the small-scale structures in turbulent boundary layers. J. Fluid Mech. 2009, 628, 311–337. [Google Scholar] [CrossRef]
- Chung, D.; Mckeon, B.J. Large-eddy simulation of large-scale structures in long channel flow. J. Fluid Mech. 2010, 661, 341–364. [Google Scholar] [CrossRef]
- Hunt, J.C.R.; Morrison, J.F. Eddy structure in turbulent boundary layers. Eur. J. Mech. B Fluids 2000, 19, 673–694. [Google Scholar] [CrossRef]
- Jimenez, J. Turbulence flows over rough walls. Annu. Rev. Fluid Mech. 2004, 36, 173–196. [Google Scholar] [CrossRef]
- Volino, R.J.; Schultz, M.P.; Flack, K.A. Turbulence structure in rough- and smooth-wall boundary layers. J. Fluid Mech. 2007, 592, 263–293. [Google Scholar] [CrossRef]
- Rosenberg, B.J.; Hultmark, M.; Vallikivi, M.; Bailey, S.C.C.; Smits, A.J. Turbulence spectra in smooth- and rough-wall pipe flow at extreme Reynolds numbers. J. Fluid Mech. 2013, 731, 46–63. [Google Scholar] [CrossRef]
- Kline, S.J.; Reynolds, W.C.; Schraub, F.A.; Rundstadler, P.W. The structure of turbulent boundary layers. J. Fluid Mech. 1967, 30, 741–773. [Google Scholar] [CrossRef]
- Jimenez, J. The Largest Scales of Turbulent Wall Flows. 1998. Available online: https://web.stanford.edu/group/ctr/ResBriefs98/jimenez.pdf (accessed on 7 January 2020).
- Del Alamo, J.C.; Jimenez, J.; Zandonade, P.; Moser, R.D. Scaling of the energy spectra of turbulent channels. J. Fluid Mech. 2004, 500, 135–144. [Google Scholar] [CrossRef]
- Smits, A.J.; Marusic, I. Wall-bounded turbulence. Physics Today 2013, 66, 25–30. [Google Scholar] [CrossRef]
- Moeng, C.H.; Sullivan, P.P. A comparison of shear- and buoyancy-driven planetary boundary layer flows. J. Atmos Sci. 1994, 51, 999–1022. [Google Scholar] [CrossRef]
- Porte-Agel, F.; Meneveau, C.; Parlange, M.B. A scale-dependent dynamic model for large-eddy simulation: Application to a neutral atmospheric boundary layer. J. Fluid Mech. 2000, 415, 261–284. [Google Scholar] [CrossRef]
- Bou-Zeid, E.; Meneveau, C.; Parlange, M.B. A scale-dependent Lagrangian dynamic model for large eddy simulation of complex turbulent flows. Phys. Fluids 2005, 17, 025105. [Google Scholar] [CrossRef]
- Lu, H.; Porte-Agel, F. A modulated gradient model for large-eddy simulation: Application to a neutral atmospheric boundary layer. Phys. Fluids 2010, 22, 1–12. [Google Scholar] [CrossRef]
- Fang, J.N.; Porte-Agel, F. Large-eddy simulation of very-large-scale motions in the neutrally stratified atmospheric boundary layer. Boundary Layer Meteorol. 2015, 155, 397–416. [Google Scholar] [CrossRef]
- Salesky, S.T.; Anderson, W. Buoyancy effects on large-scale motions in convective atmospheric boundary layers: Implications for modulation of near-wall processes. J. Fluid Mech. 2018, 856, 135–168. [Google Scholar] [CrossRef]
- Piomelli, U.; Balaras, E. Wall-layer models for large-eddy simulations. Annu. Rev. Fluid Mech. 2002, 34, 349–374. [Google Scholar] [CrossRef]
- Schumann, U. Subgrid-scale model for finite-difference simulations of turbulent flow in plane channels and annuli. J. Comput. Phys. 1975, 18, 76–404. [Google Scholar] [CrossRef]
- Yoshizawa, A.; Horiuti, K. A statistically-derived subgrid-scale kinetic energy model for the large-eddy simulation of turbulent flows. J. Phys. Soc. Jpn. 1985, 54, 2834–2839. [Google Scholar] [CrossRef]
- Churchfield, M.J.; Moriarty, P.J.; Vijayakumar, G.; Brasseur, J. Wind energy-related atmospheric boundary-layer large-eddy simulation using OpenFOAM. In Proceedings of the 19th Symposium on Boundary Layers and Turbulence, Keystone, CO, USA, 2–6 August 2010. [Google Scholar]
- Marusic, I.; Monty, J.P.; Hultmark, M.; Smits, A.J. On the logarithmic region in wall turbulence. J. Fluid Mech. 2013, 716, R3. [Google Scholar] [CrossRef]
- Chauhan, K.A. Study of Canonical Wall-Bounded Turbulent Flows. PhD Thesis, Illinois Institute of Technology, Chicago, IL, USA, January 2007. [Google Scholar]
- Nagib, H.M.; Chauhan, K.A. Variations of von Kármán coefficient in canonical flows. Phys. Fluids 2008, 20, 1518. [Google Scholar] [CrossRef]
- Hutchins, N.; Chauhan, K.; Marusic, I.; Monty, J.; Klewicki, J. Towards reconciling the large-scale structure of turbulent boundary layers in the atmosphere and laboratory. Bound. Layer Meteorol. 2012, 145, 273–306. [Google Scholar] [CrossRef]
- De Graaff, D.B.; Eaton, J.K. Reynolds-number scaling of the flat-plate turbulent boundary layer. J. Fluid Mech. 2000, 422, 319–346. [Google Scholar] [CrossRef]
- Kunkel, G.J.; Marusic, I. Study of the near-wall-turbulent region of the high-Reynolds-number boundary layer using an atmospheric flow. J. Fluid Mech. 2006, 548, 375–402. [Google Scholar] [CrossRef]
- Metzger, M.M.; Klewicki, J.C.; Bradshaw, K.L.; Sadr, R. Scaling the near-wall axial turbulent stress in the zero pressure gradient boundary layer. Phys. Fluids 2001, 13, 1819–1821. [Google Scholar] [CrossRef]
- Hutchins, N.; Nickels, T.B.; Marusic, I.; Chong, M.S. Hot-wire spatial resolution issues in wall-bounded turbulence. J. Fluid Mech. 2009, 635, 103–136. [Google Scholar] [CrossRef]
- Marusic, I.; Kunkel, G.J. Streamwise turbulence intensity formulation for flat-plate boundary layers. Phys. Fluids 2003, 15, 2461–2464. [Google Scholar] [CrossRef]
- Österlund, J.M.; Johansson, A.V.; Nagib, H.M.; Hites, M.H. A note on the overlap region in turbulent boundary layers. Phys. Fluids 2000, 12, 1–4. [Google Scholar] [CrossRef]
- Knobloch, K.; Fernholz, H. Statistics, correlations, and scaling in a turbulent boundary layer at Reδ2 ≤ 1.15 × 105. In Proceedings of the IUTAM Symposium on Reynolds Number Scaling in Turbulent Flow, Princeton, NJ, USA, 11–13 September 2002; pp. 11–16. [Google Scholar]
- Kulandaivelu, V.; Marusic, I. Evolution of zero pressure gradient turbulent boundary layers. In Proceedings of the 17th Australasian Fluid Mechanics Conference, Auckland, New Zealand, 5–9 December 2010. [Google Scholar]
- Balasubramaniam, B.J. Nature of Turbulence in Wall-Bounded Flows. Ph.D. Thesis, University of Illinois at Urbana-Champaign, Urbana/Champaign, IL, USA, January 2005. [Google Scholar]
- Vallikivi, M.; Ganapathisubramani, B.; Smits, A.J. Spectral scaling in boundary layers and pipes at very high Reynolds numbers. J. Fluid Mech. 2015, 771, 303–326. [Google Scholar] [CrossRef]
- Morrison, J.F.; Mckeon, B.J.; Jiang, W.; Smits, A.J. Scaling of the streamwise velocity component in turbulent pipe flow. J. Fluid Mech. 2004, 508, 99–131. [Google Scholar] [CrossRef]
- Lee, J.; Ahn, J.; Sung, H.J. Comparison of large- and very-large-scale motions in turbulent pipe and channel flows. Phys. Fluids 2015, 27, 025101. [Google Scholar] [CrossRef]
- Marusic, I.; Heuer, W.D. Reynolds number invariance of the structure inclination angle in wall turbulence. Phys. Rev. Lett. 2007, 99, 114504. [Google Scholar] [CrossRef] [PubMed]
- Christensen, K.T.; Wu, Y. Characteristics of vortex organization in the outer layer of wall turbulence. In Proceedings of the Fourth International Symposium on Turbulence and Shear Flow Phenomena, Williamsburg, VA, USA, 27–29 June 2005; pp. 1025–1030. [Google Scholar]
- Head, M.R.; Bandyopadhyay, P. New aspects of turbulent boundary-layer structure. J. Fluid Mech. 1981, 107, 297–337. [Google Scholar] [CrossRef]
- Christensen, K.T.; Adrian, R.J. Statistical evidence of hairpin vortex packets in wall turbulence. J. Fluid Mech. 2001, 431, 433–443. [Google Scholar] [CrossRef]
- Adrian, R.J.; Meinhart, C.D.; Tomkins, C.D. Vortex organization in the outer region of the turbulent boundary layer. J. Fluid Mech. 2000, 422, 1. [Google Scholar] [CrossRef]
- Tomkins, C.D.; Adrian, R.J. Spanwise structure and scale growth in turbulent boundary layers. J. Fluid Mech. 2003, 490, 37–74. [Google Scholar] [CrossRef]
- Nakagawa, S.; Hanratty, T.J. Particle image velocimetry measurements of flow over a wavy wall. Phys. Fluids 2001, 13, 3504–3507. [Google Scholar] [CrossRef]
- Krogstad, P.A.; Antonia, R.A. Structure of turbulent boundary layers on smooth and rough walls. J. Fluid Mech. 1994, 277, 1–21. [Google Scholar] [CrossRef]
- Dennis, D.J.C.; Nickels, T.B. Experimental measurement of large-scale three-dimensional structures in a turbulent boundary layer. Part 1. Vortex packets. J. Fluid Mech. 2011, 673, 180–217. [Google Scholar] [CrossRef]
- Dennis, D.J.C.; Nickels, T.B. Experimental measurement of large-scale three-dimensional structures in a turbulent boundary layer. Part 2. Long structures. J. Fluid Mech. 2011, 673, 218–244. [Google Scholar] [CrossRef]
- Baltzer, J.R.; Adrian, R.J.; Wu, X. Structural organization of large and very large scales in turbulent pipe flow simulation. J. Fluid Mech. 2013, 720, 236–279. [Google Scholar] [CrossRef]
- Jeong, J.; Hussain, F. On the definition of a vortex. J. Fluid Mech. 1995, 285, 69–94. [Google Scholar] [CrossRef]
























© 2020 by the authors. Licensee MDPI, Basel, Switzerland. This article is an open access article distributed under the terms and conditions of the Creative Commons Attribution (CC BY) license (http://creativecommons.org/licenses/by/4.0/).
Share and Cite
Ren, H.; Laima, S.; Li, H. Numerical Investigation of Very-Large-Scale Motions in a Turbulent Boundary Layer for Different Roughness. Energies 2020, 13, 659. https://doi.org/10.3390/en13030659
Ren H, Laima S, Li H. Numerical Investigation of Very-Large-Scale Motions in a Turbulent Boundary Layer for Different Roughness. Energies. 2020; 13(3):659. https://doi.org/10.3390/en13030659
Chicago/Turabian StyleRen, Hehe, Shujin Laima, and Hui Li. 2020. "Numerical Investigation of Very-Large-Scale Motions in a Turbulent Boundary Layer for Different Roughness" Energies 13, no. 3: 659. https://doi.org/10.3390/en13030659
APA StyleRen, H., Laima, S., & Li, H. (2020). Numerical Investigation of Very-Large-Scale Motions in a Turbulent Boundary Layer for Different Roughness. Energies, 13(3), 659. https://doi.org/10.3390/en13030659

