Abstract
An accurate management of the interactions among end user, electric vehicle, and charging station during recharge is fundamental for the diffusion of electric mobility. The paper proposes an extension of the Open Charge Point Protocol standard with the aim of including the user in the charging optimization process. The user negotiates with the central station a recharge reservation giving his/her preference and flexibility. The charging station management system provides different solutions based on user’s flexibility. This negotiation allows the optimization of the power grid management considering the user requests and constraints. The complete architecture has been designed, implemented on a web server and on a smartphone app, and tested. Results are reported in this work.
1. Introduction
Full electric vehicles (FEV) are gaining popularity and market penetration can grow and sustain itself, reducing the cost of FEV. Currently, the most serious limitations to the diffusion of FEV is the lack of a widespread FEV charging infrastructure, in spite of the wide diffusion of electrical infrastructure. This infrastructure will require investment from both the private and public sectors. Although the cost issue of FEVs is expected to subside with their growing diffusion, the limited car autonomy and long battery charging time, much longer if compared to refueling of internal combustion vehicles [1], are still felt by buyers as serious barriers to the purchase [2,3].
The battery recharging time is primarily limited by the capacity of the grid connection. While plug-in recharging can take place overnight at home, a faster charging solution, requiring a high power to the electrical grid, can be made in recharging stations, in commercial or public parking lots, in shopping centers, and along streets or workplaces.
With a mass diffusion of FEV, the battery charges will have a great impact on the configuration and operation of smart grids, considering the high power needed for a fast charge (e.g., 150 kW required to charge a Tesla model S from 20% to 80% in 30 min). Overloading problems may arise when several vehicles in the same neighborhood recharge at the same time, or during the normal peak loads [4,5,6,7,8,9]. The effect of the electric vehicles (EV) charging process on a smart grid can be relevant. A pooling strategy of multiple charge points that could increase the grid stability in case of high fluctuation of renewable energy resources is presented in [10].
The lack of publicly available charging stations contributes to EV sales continues to be low. A review of studies facing the relation among parking spaces and chargers and the cost of charging for EVs on EV sales is reported in [11].
Software services and applications play a role in the transition to electric mobility. A smartphone app with functionalities of battery monitoring, dynamic range prediction, route planning, and station reservation was presented in [2,3] based on Internet-of-Energy (IoE) project [4] toward interoperable services for large-scale EV mobility. According to the currently used standards the reservation of the charging station is allowed from the moment of reservation for a fixed short amount of time. It is not possible to make a reservation in advance defining the time of start of the charge reservation. Therefore in [2] the authors present a complex system of continuous reservation during the trip, calculating the expected time of arrival at the charging station.
In [12,13], extensions of the Open Charge Point Protocol (OCPP) have been proposed. In both papers the extension is mainly the integration of the smartphone in the system and the development of an application to monitor the charging of vehicles in real time. The recharge reservation is not taken into account.
The security issue of OCPP protocol are addressed in [14], where the authors, focusing on 1.6 version of the protocol analysis some threat scenarios that can be configured in the use of the protocol. It is argued that possible subversion or malicious endpoints in the protocol can also lead to destabilization of power networks. The attack may be initiated by a man in the middle, energy theft, or fraud. Countermeasure are recently proposed in [15], specifically against Man-in-the-Middle attacks between a charge point and the central server that may expose sensitive data of special interest to the various stake-holders involved in this context. The OCPP security issue is also addressed in [16] where the problem of network traffic analysis to detect malicious transaction is faced with the use of back-propagation artificial neural network.
Recently the problem of implementing a grid aware electric vehicle charging systems with local load control has been addressed in [17]. Changes to the US National Electric Code (NEC) allow for ‘over subscription’ of more EV charging stations than can be continuously supported if the total load at any time is within the supply system safety limit. Local load control, constrained to only AC charging, from grid to vehicle, in a modestly sized system, is proposed via compact submeter(s) with locally hosted control algorithms with direct communication to the managed EV supply equipment.
The optimization of the energy resources in a global smart grid system is fundamental for the reduction of energy waste. To this aim the integration of energy storage systems and the maximization of the share of renewables can play an important role. Flexibility and demand–supply are a key factor, as proposed in [18]. The consumers’ flexibility on when to use energy could reduce grid stress and their own energy bills [19,20].
The increment of electric vehicles will have an additional strong impact on the actual grid performances. In [21] Horizon 2020 project INVADE proposed a new version of the Open Smart Charging Protocol (OSCP), to implement a smart charging of electric vehicles system integrated in a smart grid. As a result, they verified the possibility to charge the electric vehicles at higher power than is normally available throughout the entire charging period, without any negative impact on the grid.
The optimization of the EV battery charging through a reservation system has been recently studied in [22,23,24,25]. In [22,23] a centralized and decentralized reservation-enabling service of EV battery switch is proposed and simulated.
An online pricing mechanism for parking facility access and for smart charging strategies for admitted vehicles is presented in [24]. A charging reservation system is presented in [25]. Simulation experiments on different scenarios have been carried out and the performances of different algorithms have been evaluated considering the average waiting time, and the average user discontent factor.
The necessity of an Energy Management Systems integrating smart grids and the facilities for EV charging, taking into account the user specific requirements have been outlined in [26,27,28]. These papers evidence the gain that can be achieved using an optimized management system.
Ferro et al. in [26] presented a mathematical model that allows the grid’s manager to find the optimal schedule of the generation plants and storage systems on the basis of user requests and preferences. In [27] a discrete event approach is used for the optimal scheduling of the charging process of EV in a grid connected microgrid including renewable, traditional energy sources and a local storage systems and a local load.
Piazza et al. presented in [28] a mathematical model to find the optimal configuration and the optimal investment cost for a smart energy infrastructure in a specific site.
The solution proposed in [26,27,28] focus more on the optimization strategies of the service provider rather than on how the user flexibility can be useful in the optimization process. Furthermore, a possible integration of the proposed model with the OCPP standard is not considered.
In summary, in [2,3,4,5,6,7,8,9,10,11] the authors evidence the relevant effect of the EV charging process on a smart grid, while in [12,13,14,15,16] extension of the OCPP are proposed, but they do not consider advance reservation possibility. In [17] the problem of the possible excess of energy demand from the charging stations is considered, [18,19,20] addresses consumers’ flexibility impact on grid stress without specific application on EV recharge, and finally [21,22,23,24,25,26,27,28] focus more on the optimization strategies of the service provider rather than on user flexibility.
Considering the relevance of the driver engagement in the charging optimization and the lack of this aspect in the OCPP standard, in this work we propose an extension of the OCPP protocol to the reservation phase considering the user’s wishes.
This work is an extension of the conference paper [29]. With respect to the previous version, in this work we deeply analyzed the state of the art and the features of the different OCPP versions, we verified the lack of the advanced reservation in the recent 2.0.1 version, and we lightly modified the exchange of messages in order to simplify the applicability to the OCPP 2.0. Furthermore, the app and the simulation framework developed has been extensively used to verify the effect of the flexibility in the advanced reservation of the charging station on the performances of the recharging system.
In our proposal, the user can reserve the charging station in advance, negotiating the parameters for the charge: initial time, duration, location, price, percentage of final charge, and power required. The reservation phase allows the optimization of the resources from the power grid side and from the user side. Another important and innovative aspect is the introduction of the flexibility of the user with respect to the charging parameters. Let us consider, as an example, the reservation of a flight: we would like to have information on different possibilities when we have to go from one airport to another. The same airline company or different companies may offer different stops, different costs, different travel duration, different services during the flight, different dates of departure and arrival. The choice of the flight depends on the flexibility of the user on the different requirements. From the airline company side, the price of the flight depends on the free slots available, on the remaining time to departure. Similar to the flight reservation example, the idea we introduced and made compatible with the OCPP standard is the introduction of the flexibility from the user side and the charging station side during the reservation phase. This allows the optimization of the energy management and income from the charging station side, and the cost and customer satisfaction from the user side. The system provides to the user different solutions based on the flexibility on different parameters that the user expresses in the reservation request.
The possibility of an advance reservation proposed by the present work can also help the charging station management system to control the problem of over subscription [17]. The introduction of flexibility provided by the advance reservation in the interaction between user and the charging infrastructure but also at higher level between the charging infrastructure and the grid is a valuable and new, in the recent literature, contribution of the present work.
The complete architecture has been designed, implemented on a web server and on a smartphone app, tested, and the results are reported in this work.
We developed and simulated a system compliant to the OCPP 1.5, but the architecture can be applied to OCPP 2.0. In the OCPP 2.0 the user negotiation of the charging service and the reservation phase is still missing, so the extension proposal is still actual.
2. Open Charge Point Protocol (OCPP) Standard
The standardization of communication protocols for e-mobility is necessary to ensure that the performance, security, and safety are the same as the actual conventional vehicle. The main organizations that developed standards for plug-in electric vehicles are the International Electro-technical Commission (IEC), the Society of Automotive Engineering (SAE) that was an US organization and now it is considered an international organization, and other consortia of public and private electric vehicle companies that develop open standards.
Different standards exist and are under continuous development for what concerns the communication between Electric Vehicles (EV) and Electrical Vehicle Supply Equipment (EVSE). The main standards are [30,31]:
- SAE J2931, SAE J2836, SAE J2847, SAE J1772;
- IEC 61850-7-420, IEC 62196, IEC 61851, IEC 15118;
- OCPP, OICP, OCHP.
In this work we will focus on the OCPP standard. OCPP [31,32] is an open standard introduced by the Open Charge Alliance (OCA), a consortium of public and private organizations.
The OCPP is the industry-supported de facto standard for communication between a Charging Station and a Charging Station Management System (CSMS) and it is designed to accommodate any type of charging technique [32].
The purpose of OCA is to favor the development of a network infrastructure with the creation of an open protocol that is free from the characteristics of each individual manufacturer and that can allow the management of every single factor within the recharging operation. The OCPP is aimed to perform a number of operations between components that typically represents physical devices involved in the recharging operation, such as a “Charge Point” or the “Central System”. These operations are carried out through the exchange of one or more messages called “Protocol Data Unit” (PDU).
The OCPP version 1.5, released in June 2012, allows to:
- monitor and control access to individual charging stations;
- check and manage the recharge status;
- send data to individual users and managers;
- allow the payment procedure;
- allow reservation mechanisms and management of the electricity grid.
In recent years, the OCPP has been modified in order to take into account emerging requirements of smart grids and increase the involvement of the user in the charging process.
One fundamental feature added to the 1.6 version, released in October 2015, is the “Smart Charging”. With “Smart Charging” the Central System can modify the charging power of a specific EV, or the total allowed energy consumption on an entire Charge Point on the basis of the energy availability on the grid. The Central System receives the energy demand/request forecast from the grid operator and accordingly modifies the charging schedules for some or all charging transactions. The Charging characteristics and time schedule are defined in the ChargingProfile type describing the amount of power or current that can be delivered per time interval. Although the ChargingProfile can be related to a single transaction, the user does not have an active role in its definition.
Some of the relevant improvements of OCPP 2.0, released in March 2018, are listed below:
- cyber security;
- support of the ISO 15118 standard;
- different customer authorization options (RFID card/token, ISO 15118-1 Plug and Charge, payment terminals, local mechanical key, smart phones, etc.);
- messages on a Charging Station to be displayed to EV drivers (related to the transaction, on the language to be used, on the applicable tariff before the EV driver starts charging, to show the running cost during and at the end of a charging transaction);
- Extended Smart Charging.
The Extended Smart Charging tries to optimize the energy management, considering the limits of the energy provider or the constraints of a sustainable energy from solar panels, in case of a local supply [32]. Such smart management is obtained through the flexibility of the ChargingProfile. The OCPP 2.0 extends the features of the ChargingProfile. A CSMS can send a charging profile to a Charging Station, using the message SetChargingProfileRequest,
- at the start of a transaction to set the charging profile for the transaction;
- in a RequestStartTransaction request sent to a Charging Station;
- during a transaction to change the active profile for the transaction;
- outside the context of a transaction as a separate message.
Nevertheless, in spite of the sentence “Smart Charging is even ‘smarter’ when the EV driver’s wishes to be part of the solution”, the OCPP 2.0 still does not consider the driver requests in the ChargingProfile setting [32].
OCPP 2.0.1, released in 8 April 2020 [33], replaces OCPP 2.0 and features several bug fixes and improvements based on experiences in the field. Some of these improvements are on message level. Improvements have been made in the area of security, ISO 15118, Smart Charging and the extensibility of OCPP.
- Smart charging: following the smart charging features, the EV provides charging needs (departure time and requested energy), the CSMS can provide up to 3 schedules with different tariffs and the EV chooses a schedule. The Charging profile can be changed during transaction (called “renegotiation”).
- Reservation: OCPP allows you to make a reservation of a specific EVSE or a specific connector type. The reservation is made until a certain time. The user can make a reservation on the resources that are available at the moment of the reservation. The user cannot make a reservation in the future (advanced reservation), for example for the next hour for the successive two hours.
- Tariff and Cost: OCPP allows to show the tariff to the user before the transaction, during and at the end of the transaction
In the last version of OCPP 2.0.1, released in 8 April 2020, the CSMS can provide up to 3 schedules with different tariffs, it can show tariffs and can accept short time reservation. The advanced reservation is not allowed, probably due to the complexity of the management of the advanced reservation scheduling and to the priority given to the user actually present at the charging station with respect to a remote reservation.
3. System Architecture
OCPP protocol use WebSocket as a communication protocol between the individual charging stations and the central system. The data passing over WebSocket can be formatted in different formats including the Simple Object Access Protocol (SOAP) or the JSON (JavaScript Object Notation). We used the JSON implementation, which is a format widely used in various fields, and lends itself to interface with Web Applications written in Java language and applications on the Android platform.
The system developed, shown in Figure 1, consists of the Charging Station Management System, the Database storing the data, the Charging Station, the Electric Vehicle (EV), and the EV driver through an app on the smartphone.
Figure 1.
System Architecture proposed.
Electric Vehicle. The EV creates a communication with the charging station through powerline using the ISO/IEC 15118 standard. They exchange information on the capacity of the battery, maximum power allowed, etc.
EV driver. The driver defines the parameters of the recharge and performs the recharge reservation with the CSMS through an interface on the charge spot, the use of the smartphone or with a wide range wireless protocol (e.g., 4G/5G connection) already existing in the EV (like the Tesla models). Furthermore, the driver can define the parameters of the recharge directly with the EVSE, and monitor the actual recharge.
Charging Station. It enables interoperability with all types of electrical vehicles, provides to the user information on the cost, maximum available power directly when the driver is performing a recharge without reservation or through the central system during the reservation, exchanges information with the database through the central system.
DataBase. The database stores the data of all the Charging Stations available in the region, of the users authorized to use the charging stations, of all the reservations, and billing information. The database has been structured on four tables: Charging Stations, EVSE, Connectors, Reservations, and Users. The data base could be provided by the Mobility Service Provider (MSP).
Charging Station Management System (CSMS). It coordinates all the operations. It consists of a Java Web Application that handles the requests from both the Charging Station and the EV driver application and excanges data with the database. Some of the features of the CSMS are specified in the OCPP 1.5 standard, while the reservation functionalities, not included in the standard, have been added as possible extensions. The user service of the central station is responsible for providing and receiving information from the user app. In particular, the application sends HTTP POST requests to the webserver containing the data sent in JSON format (JavaScript Object Notation).
The new functionalities, in addition to the OCPP, implemented by the proposed system are:
- user login;
- creating a reservation for a certain time;
- cancellation of bookings made by the user.
The operations are performed in advance with respect to the charging operation in order to perform an advance reservation of a connector of the Charging Station. The core of the proposed system is to provide to the user a set of possible solutions on the basis of the flexibility of the user, and not only if it is possible to make the reservation of the specific request and the cost of the recharge.
The typical sequence of messages with a specified format exchanged by the agents during a reservation is reported in Figure 2.
Figure 2.
Exchange of data during the reservation.
The EV driver starts the operation sending the UserLoginRequest message to the CSMS. The CSMS sends a query to the DataBase (not highlighted in Figure 2) and replies to the EV driver with the UserLoginResponse. In case of positive response, the EV driver sends the FindBestSolutionsRequest asking information on a possible advance reservation on the basis of his/her requirements. The CSMS replies, consulting the information on the DataBase, with some possible charging solutions using the FindBestSolutionsResponse message. Then the EV driver, if satisfied by the proposal, sends the AdvanceReserveRequest to perform the reservation. The CSMS exchanges information with the Charging Station using the ReserveRequest and ReserveResponse messages. Then, the CSMS replies with the AdvanceReserveResponse to the EV driver concluding with a positive or negative response to the reservation request.
The OCPP 1.5, 1.6, and 2.0 do not define an advance reservation. Reservation is possible in OCPP using the ReserveNow operation. This operation reserves the charging connector from the instant of reservation until a certain expiring time. A reservation is released when the reservation is used on the reserved connector (when specified) or on any connector (when unspecified) or when the expiring time is reached or when the reservation is explicitly cancelled.
The introduction of the advance reservation should modify the OCPP protocol only in the fact that the CSMS should not send a positive response to a ReserveNow operation or a RequestStartTransaction operation in case the charging request could be in conflict with an existing advance reservation of the connector. Another solution could be that the Charging Station has different connectors for advance reservations.
The key messages FindBestSolutionsRequest and FindBestSolutionsResponse will be detailed in the next subsections. Then, the cost and satisfaction functions will be defined. Finally, the charge reservation flow and the developed app will be described.
FindBestSolutionsRequest
It is a message from EV driver to CSMS, in which the user specifies his/her requirements and flexibility. The message contains the booking request with all the recharge parameters set by the user:
- −
- username: username (string)
- −
- androidId: smartphone Id (string)
- −
- chargingStationId: identification of the charging station (string)
- −
- capacity: capacity of the car battery (kWh)
- −
- power: recharge power (kW)
- −
- initialSoC: initial State of Charge of the battery (%)
- −
- finalSoC: final desired State of Charge (%)
- −
- reservationTime: start date and time of recharge (date, time)
- −
- from and to: extremes of the time interval of availability (time)
- −
- flexibilityTime: flexibility on the instant of recharge (integer from 0 to 5)
- −
- flexibilityDuration: flexibility over the duration of the recharge (integer from 0 to 5)
- −
- flexibilityCharge: flexibility on the final charge reached (integer from 0 to 5)
- −
- flexibilityPrice: flexibility on the cost of recharge. (integer from 0 to 5)
The flexibility on time, duration, charge, and price are coefficients representing the flexibility of the request. They are visualized as stars (from 0 to 5), that the user can select on the reservation app, the meaning is the following:
5 stars = maximum flexibility, 0 stars = minimum flexibility
The introduction of the entity EV driver in the communication between CSMS and CS is an extension to the OCPP standard. The extension is necessary to add the flexibility on the user side and a corresponding multiple choice provided by the system. The advantage should be the optimization of the resource management obtained through the demand–supply law used in economic theory.
FindBestSolutionsResponse
It is a message from CSMS to the EV driver, in which the central station gives to the user more than one possible solution. Depending on the availability interval, all free slots on the stations specified within that interval are extracted.
The recharge is possible if, in the desired time, there are time slots available for the duration required for recharge. With the flexibility of the user, the constraints are not stringent since the user for example can accept not a full recharge, or the user can be flexible with a slow recharge that requires more time to recharge but less power and therefore reduced cost. On the basis of the user request and on the slot availability, the algorithm evaluates the best solutions to be shown to the user.
The slots required to recharge are calculated according to the following parameters contained in the request: battery capacity, initial charge, and desired final charge.
3.1. Cost Evaluation
To manage the price calculation proposed to the user, a function has been used that takes into account several factors, including the use of the charging network in terms of simultaneous bookings. The idea behind a variable cost is that, like for airlines companies, the service provider would like to be fully booked and increase the prize to the user when they can pay more or when the cost of the energy increases. The different service providers could use different cost functions. As an example, the cost function we have chosen is the following:
It depends on four terms. Each term is weighed by an appropriate β coefficient:
- −
- : (€/kWh) fixed cost of the recharge;
- −
- : (€/kWh·kWh) coefficient multiplied by the chosen power P, it expresses a linear dependence with the power required. The maximum power available for each EVSE is limited and it may depend on time. It is acceptable to think that the price increases when the user requests high recharge power;
- −
- : (€/kWh) coefficient multiplied by a function that increases decreasing the number of free slots;
- −
- : (€/kWh) coefficient multiplied by a function that increases decreasing the power available in the EVSE in the time slot in which the user charges. depends on the time slot required, it may depend on the overload of the power grid or the time and weather dependency of the renewable energies. represents the power that users are simultaneously using;
- −
- : are parameters that change the speed of increment of the function f.
The cost function defines the cost that the service provider proposes to the user. The relationship we used in Equation (1) takes into account the marginal cost of the resources: slot available and power available. When few resources are available, the cost increases.
3.2. Customer Satisfaction
Customer satisfaction means the satisfaction of a customer deriving from the use of a good or a service. In our case, the satisfaction is a way to order the different possible solutions the Central Station can offer to the user on the basis of the explicitly expressed flexibilities. The customer satisfaction function is maximum when the solution proposed matches the user requests: exact desired time of start, minimum cost, minimum recharge duration, maximum recharge. The function should weigh the relevance that the user gives to the different aspects in case the request cannot perfectly be respected. The first solutions (five in our test example) will be sent to the user and the user will select one of them in case they confirm the reservation.
As an example, we used the following relationship for the customer satisfaction
It depends on four terms equally weighed, depending on time start of the recharge, duration, final charge, and cost. The parameters of the function have the following meaning:
- −
- : desired time of start of recharge;
- −
- : effective time of start of recharge;
- −
- : recharge duration;
- −
- : minimum recharge duration;
- −
- : desired percentage of final charge;
- −
- : effective percentage of final charge;
- −
- : recharge cost;
- −
- : minimum fixed cost of the recharge;
- −
- : normalization coefficients;
- −
- : are the flexibility parameters expressed by the user in the reservation request.
The satisfaction function should be defined on the basis of an interview of a large amount of user. The function we have chosen takes into account the fact that the satisfaction decreases when the proposed solution is far from the desired solution. The flexibility parameters can be used to weigh the relevance of the different specifications for the user.
The function that has been chosen both for the cost in Equation (1) and for the customer satisfaction in Equation (2) is the following
where is the independent variable (slot and power in Equation (1) and time, duration, charge, and cost in Equation (2)) and is a parameter that changes the slope of the function.
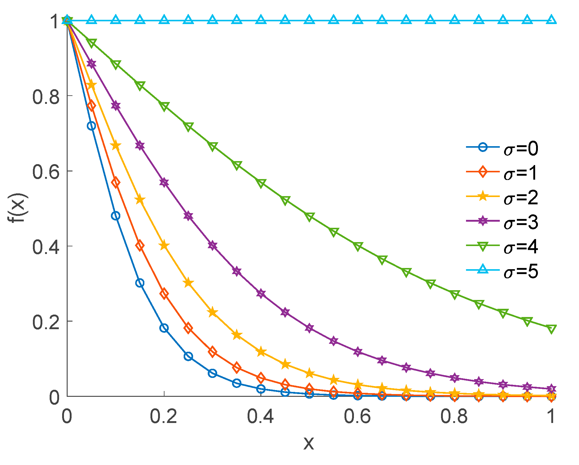
Different functions can be used to define the cost functions and satisfaction function. Usually a linear combination of the variables is used, as for example in the optimization of energy resources [34], or more complex exponential function are used in general resource optimization applications [35]. We used in Equations (1) and (2) a linear combination of nonlinear functions expressed by Equation (3). The advantage of the chosen monotonic function is that it becomes independent on x when , or a rapidly decreasing function if . Figure 3 reports the function for different values of . When the desired choice is respected. means minimum flexibility, that is the consumer satisfaction decreases rapidly when the solution differs from his/her desired choice. means maximum flexibility, that is the consumer is satisfied even if the solution differs from his/her desired choice.
Figure 3.
Customer satisfaction function.
3.3. Charge Reservation Process and APP
The flow chart of the charge reservation decision process is reported in Figure 4. The EV driver makes a reservation to the CSMS. The CSMS sends a query to the Database and, if not fully booked, it replies to the EV with some possible charging solutions. Then the EV driver confirms or deletes the reservation. Consequently, the CSMS sends an update request on resources and reservation to the Database and consequently confirms reservation or cancellation to the EV driver.
Figure 4.
Flowchart of the charge reservation decision process.
The flow chart of the algorithm for finding the best solutions implemented on the CSMS server is reported in Figure 5. Once the booking request is received, the CSMS reads all the parameters set by the user. Then, all the free available slots on the specified station are extracted.
Figure 5.
Flow chart of the algorithm for finding the best solutions implemented on the Charging Station Management System (CSMS) server.
The number of time slots necessary to recharge are calculated according to the parameters contained in the reservation request: battery capacity, initial charge, and desired final charge. This operation is carried out for each group of consecutive free slots (SlotGroup) and for all possible charging powers.
If the number of slots needed is less than or equal to the number of slots contained in the SlotGroup and the is less or equal to , then the Slotgroup is divided in all possible subgroups, with a length equal to the number of slots required. For each one, the final charge, the price, and the satisfaction are calculated. The first five solutions are returned to the user.
A smartphone app has been developed as an interface between CSMS and EV driver. Figure 6 reports some of the screenshots of the user app during the reservation. The application receives the information in real time from the CSMS on the status of the availability of the charging station.
Figure 6.
Screenshots of the APP.
On the left side of Figure 6 we see the user preferences and its flexibility. Then the CSMS replies with different possible solutions, with the cost that increases for example for a fast recharge or when the slots are almost fully booked. When the user selects the preferred solution, a summary is reported. Once the user confirms the reservation, the CSMS sends back a confirmation.
4. Simulation Results
4.1. Simulation Scenario
A simulation environment based on a Java application has been developed to verify the effect of different types of flexible reservation algorithms on the performances of the charging system.
The database stores the data of all the public Charging Stations available in the Marche region in Italy, but only one charging station is considered in the simulation. It provides both AC and DC connectors. The authorized users, stored in the database, can make a reservation. A sequence of reservation requests by different users, with uniform random distribution over the day, has been applied to the central system.
The following constraints on the parameters of the system have been defined:
- single charging station with 4 connectors;
- three values of power available for each connector: (11, 22, 43) kW;
- total power available for the Charging Station: 172 kW;
- initial SoC for all the users: almost empty;
- desired SoC for all the users: 100%;
- reservation time: the time is divided in slots of 30 min each. The minimum recharge time for a full recharge is 30 min, the maximum is 2 hours;
- the flexibility coefficients are fixed and constant during each simulation and they differ in the different test conditions that will be described in the last part of this subsection: no flex, no choice, flex cost, flex time, var power;
- the user accepts the proposed solution if the satisfaction is above the threshold of 65%, otherwise he/she refuses the reservation. The user can influence the behavior of the service provider only refusing the offer. Using a low threshold in the simulations, the user would accept all the proposed solutions even if not satisfied (as in the no-choice case). We considered the chosen threshold as a good compromise to verify the effect of the user flexibility on the results of the simulations.
- the values of the coefficients used in Equation (1) are , , , . Using Equation (1) the cost of the recharge varies from 28.3 €cent/kWh for a slow recharge in case of free slots to 41.9 €cent/kWh for a fast recharge in case of the charging station being almost full. These are more or less the actual costs in Italy.
During each simulation the user requests have been randomly generated with a random desired initial time of recharge, with uniform random distribution. Each user would like to have a full recharge in the shortest time (1 time slot with 43 kW) at the requested initial time with the lower price, all combined with a “satisfaction function” reported in Equation (2). The user requirements are combined by the flexibility coefficients. The time horizon of the simulation is one day from 8 am to 6 pm, corresponding to 20 time slots for each one of the 4 connectors. The simulation is carried out until all the connectors are reserved or after 80 user requests. A fast recharge requires 1 time slot, therefore a maximum of 80 users can be served per day. If the user requests are not satisfied by the constraint of the charging station, the user is lost. For each test case, 50 simulations have been carried out, corresponding to a simulation scenario of 50 days. The average value and standard deviation over the 50 simulations of the following performance parameters have been evaluated.
- Customer satisfaction (%): value of the customer satisfaction function. The customer accepts the best of the proposed solutions even if it is not his/her desired solution, when the satisfaction value is over the satisfaction threshold.
- Lost users (%): during the simulation, when the Charging Station availability does not match the customer requirements and the proposed solutions have a “satisfaction value” under the defined threshold, the user is lost.
- Used power (%): at the end of the simulation not all the power available to the Charging Station may be used, when the customer does not require a full power recharge (43 kW), if they prefer a longer recharge in order to pay less. A low value “used power” implies that the Charging Station is not using efficiently its potential. It could reduce the cost to stimulate the consumer to speed up the charging.
- Used slots (%): at the end of the simulation not all the connectors available to the Charging Station may be used. A low value used slot implies that the Charging Station is not using its potential in an efficient way.
- Final charge (%): final charge of the EVs charged. The desired charge is 100% for all the simulations.
- Normalized revenue (€): the total daily revenue of the Charging Station normalized to the revenue obtainable selling all the available energy at the minimum constant cost .
- Normalized time for recharge: duration of the charge normalized to the minimum duration of a full charge (30 min).
- Normalized initial time variation: variation of the time of start of recharge with respect to the desired initial recharge time normalized to the minimum duration of a full charge (30 min).
Different test conditions have been simulated:
- No choice: This situation in the only one possible with the actual OCPP standard, the used sends its request to the Charging Station and if the connector is free, they use it with a fast charging (1 time slot) with the cost given by the Charging Station using (1). This is the reference situation. The user does not make any choice and does not express any flexibility to the system; therefore, we consider that its satisfaction is always 100%. If the time slots are not free in the requested connector, the user is lost.
- No flex: all the flexibility coefficients are posed to the minimum value (0). The system provides 5 possible solutions, but the user accepts only small changes with respect to his/her desired specifications. The main difference with the “no choice” condition is that the user tries to minimize the cost, which has an important role in the satisfaction function.
- Flex cost: all the flexibility coefficients are posed to the minimum value (0), the customer shows flexibility only on the cost (). The cost is not important; therefore, the user tries to have a fast recharge.
- Flex time: all the flexibility coefficients are posed to the minimum values (0), the customer shows flexibility only on the time of start charging ().
- Var power: the power available changes during time (simulating the variability of the power availability on the grid): 8:00–11:00 and 16:00–18:00 the power available is 120 kW, 11:00–16:00 the power available is 172 kW. As in the “flex price” simulation, all the strictness coefficients are posed to the maximum values (0), the customer shows flexibility only on the cost (). This test emulates the presence of a photovoltaic power source that provides energy only in the middle of the day.
4.2. Simulation Results
The results of the test conditions have been studied and then compared in Figure 7, Figure 8, Figure 9, Figure 10, Figure 11, Figure 12 and Figure 13.
Figure 7.
Average customer satisfaction as a function of charging slot occupancy.
Figure 8.
Average available power as a function of charging slot occupancy.
Figure 9.
Average cost as a function of charging slot occupancy.
Figure 10.
(a) Customer satisfaction and (b) lost users (mean and std dev) for different test cases.
Figure 11.
(a) Used power and (b) used slots (mean and std dev) for different test cases.
Figure 12.
(a) Final Charge and (b) normalized revenue (mean and std dev) for different test cases.
Figure 13.
(a) Time for recharge and (b) initial time variation (mean and std dev) for different test cases.
Figure 7 reports the satisfaction of the customer that accepts the reservation, on average over the 50 simulations, as a function of the slot occupancy of the Charging Station for the different test cases. For the “no choice” test, the customer satisfaction cannot be properly defined, it has been fixed to 100% since the solution proposed to the user is the only one they desire, if it is possible, and the user accepts the price fixed by the Charging Station. In general, the consumer satisfaction decreases increasing the slot occupancy, being more probable that the user request cannot be satisfied without modifications. In the case of maximum cost flexibility, the satisfaction is always high since the user does not care for the cost. In the “no flex” case user the flexibility on their specifications is low. The average satisfaction is the lowest with respect to the other tests. The user accepts the solution when the satisfaction is above the threshold. In the “flex time” case, the satisfaction is not high but independent on the slot occupancy since the user accepts a delayed recharge. The satisfaction decreases only when the cost increases due to the lack of slots.
Figure 8 reports the average power available as a function of the slot occupancy. The power available reduces when the slot occupancy increases. In the tests “no choice” and “flex price”, the power available is lower with respect to the other tests. In fact, in those cases, the cost of the recharge is not relevant and therefore the customer accepts fast and more expensive recharge with 43 kW.
Figure 9 reports the normalized average cost as a function of the slot occupancy. The cost increases increasing the slot occupancy, being the user forced to accept higher cost for the recharge. In the cases of maximum cost flexibility (“no choice” and “flex price”), the cost is always higher with respect to the other cases. The average income of the Charging Station increases, being the customer more interested on other aspects and not on the price.
Figure 10, Figure 11, Figure 12 and Figure 13 show the mean value and the standard deviation of the performances considered: customer satisfaction, lost users, used power, used slots, final charge, normalized revenue, normalized time for recharge, and initial time variation. Additional considerations can be carried out analyzing the results reported in Figure 10, Figure 11, Figure 12 and Figure 13.
- No choice: The customer satisfaction is maximum since the customer is not interested in the price and the Charging Station gives a solution only if it perfectly fits the requirements. The customer is lost (average value is 27%) if no slots are available for the required time. The average price is high and the recharge is always a full charge with the fastest recharge speed, since the consumer is not interested in the price. Due to the random request of the time of recharge, sometime not all the slots are used: 85% slots are used and 85% power available is used. In spite of the high recharge price, the total revenue is not maximum, due to the unused slots.
- No flex: the customer satisfaction is the lowest, since his/her flexibility is low. The power used is low in spite of the fact that the slot usage is high (92%). In fact, to reduce the cost the user prefers to use slow charging (11 kW or 22 kW), with a consequent high recharge duration. The average recharge price is low and, as a consequence, the total revenue for the Charging Station is low. The number of lost customers is high (31%).
- Flex cost: the customer is completely flexible only on the price. The satisfaction is high (94%). All the power available and the slots are used, meaning that all the customers obtain a fast full charge. No customer is lost since they accept an average delay of 27 min on the desired initial charge time. The average cost is high and total revenue is maximum due to the full utilization of the Charging Station.
- Flex time: the customer accepts to recharge at any time in order to have a low cost recharge, that is reached with a slow (always 120 min to recharge) and low power recharge (11 kW). The slots are fully used and the minimum cost per kWh is obtained. All the customers succeeded in finding a recharge slot, since they accept a delay on the initial time of recharge. Therefore, the average delay with respect to the desired recharge time is high, on average more than 100 min, as shown in Figure 13.
The objective of the simulation environment developed is twofold: verify the effect of the flexibility of the charging station and of the user on performances of the recharging system. The case “no choice” corresponds to a non-flexible charging station and a user who accepts all the conditions imposed by the market. The case “no flex” corresponds to a flexible charging station and a user with strong specifications and a high inclination to save money. The case “flex price” and “flex time” correspond to a flexible charging station and a user with flexibility on the price or when recharged.
Figure 10a shows the customer satisfaction in the different scenarios. In the no choice case, the satisfaction cannot be properly defined, therefore the value of 100% is used. When the charging station is almost full, the cost increases and a high value of the average satisfaction is obtained only in the case of a user profile not too much interested on the cost.
The results reported in Figure 10b show that users are not lost when both user and system are flexible (“flex price” and “flex time”). The no choice scenario is equivalent to the actual case of no reservation: if all the connectors are occupied the user goes away. This situation is critical when the number of connectors is low, 4, with respect to the possible users, like in the example of this simulation.
The optimization of the power and slots available is possible when the system is flexible and the user is more interested in the fast charge with respect to the cost (“flex cost”) as shown in Figure 11. The 100% use of the available power (scenario flex cost) in Figure 11a corresponds to the fact that all the users make fast recharge and all the slots are reserved, as shown in Figure 11b.
In all the test scenarios the desired full charge is reached, as shown in Figure 12a. The revenue of the charging station in Figure 12 increases if the flexibility of the system is introduced.
Figure 13a shows that a fast recharge is used when the system is not flexible (“no choice”) or the user is less interested in the cost (“flex cost”). In the “no flex” and “no choice” scenario the start recharge time is the desired time as shown in Figure 13b. This result confirms the fact that many users are lost if the desired time slot is not available, as shown in Figure 10b.
Figure 14 and Figure 15 report the results of the “var power” compared to the “flex cost” and “no choice” tests. The customer profile of “var power” and “flex cost” is identical.
Figure 14.
Average lost users as a function of charging slot occupancy.
Figure 15.
Average recharge power as a function of charging slot occupancy.
In the “var power” case limits are posed on the number of users requests not only due to the limited number of connectors but to the limited power also. In the time period in which the maximum power is 120 kW, the limit on the type of recharge is 43 kW + 43 kW + 22 kW + 11 kW.
The variability of the power available does not allow to reach the same results of the “flex cost” test, but similar. The users are “flexible” and they adapt lightly to the initial time of recharge in order to use the available slots, but the additional limit of power forces using a slower recharge when the connectors are still available. For this reason, the maximum of 80 users per day is not reachable and some users are lost in the “var power” case as shown in Figure 14. The users are lost only when the charging slot occupancy is high. The number of lost users is much higher in the “no choice” case, as commented in Figure 10b.
Figure 15 reports the average value of the recharge power as a function of charging slot occupancy. In the “no choice” case the user is forced to a fast charge, in the “flex cost” case the user prefers a fast charge since they have no problems on the cost, in the “var power” case the user prefers a fast charge but is forced to a slower 22 kW or 11 kW charge, when in the desired recharge time the power limit is reached.
The results reported up to now show how the introduction of flexibility could improve de efficiency of the charging station. The simulation environment developed can been used to optimize the number of connectors of the charging station in scenario with a flexible reservation system or without reservation.
As an example, Figure 16 compares the results in terms of lost users and average slot occupancy for the “no choice” and “flex price” scenario as a function of the number of connectors installed in the charging station.
Figure 16.
Lost users and percentage of occupancy as a function of the number of connectors for two test cases. (a) Lost users; (b) average occupancy.
In the “flex price” scenario the user accepts a high-cost fast-charge using only one time slot and accepts a change in time of charge using the free time slots. In this case, the connector occupancy is always 100% and decreases if more than four connectors are used since in the simulations the number of users has been fixed.
In the “no choice” scenario the user is lost if its request does not perfectly fit the charging station availability. Therefore, the number of lost users is high even when increasing the number of connectors and the average occupancy of the connector is always lower than the “flex price” scenario.
5. Discussion and Conclusions
The diffusion of EV requires the creation of a pervasive recharging station network, the definition of standards, and the definition of strategies to integrate the EV recharge requests with the power grid specifications. To this aim, we propose an extension of the OCPP protocol to the reservation phase.
The user negotiates with the central station a recharge reservation giving his/her preference and flexibility. The central station provides different solutions on the basis of the user flexibility. This negotiation allows the optimization of the power grid management and user requests and constraint.
An app on an android smartphone has been developed to allow the user to interact with the reservation system.
Furthermore, a simulation framework has been developed, to verify the different behaviors of the system with different values of the parameters of the system. The system has been tested in different test conditions, simulating the reservations of many users in the same charging station: different capacity, power, initial and final charge, reservation time and flexibility on time, duration, price, and final charge.
The simulation framework allows verifying the effect of the flexibility of the charging station on the performances of the recharging system. Furthermore, the effect of different behaviors and inclinations of the user on the recharging system can be verified.
In conclusion, the efficiency of the recharge system is obtained by building a flexible reservation system available to the user needs, and when the user themselves does not have strong constraints, especially on the cost. To the first aim we proposed the modification of the OCPP standard, to the second aim we think that a diffusion of the culture of green economy and energy saving is necessary. The availability of flexible recharge system could help in the diffusion of the culture of green economy.
Author Contributions
Conceptualization, M.C.; Formal analysis, S.O. and M.C.; Investigation, S.O. and M.C.; Software, M.C.; Validation, S.O. and M.C.; Visualization, S.O. and M.C.; Writing—original draft, M.C.; Writing—review and editing, S.O. and M.C. All authors have read and agreed to the published version of the manuscript.
Funding
This research received no external funding.
Acknowledgments
The authors would like to thank Edoardo Frapiccini, Matteo Tomassetti and Mirko Marconi for their contribution in the development of the work.
Conflicts of Interest
The authors declare no conflict of interest.
References
- Saalfeld, C. E-Mobility–Vehicle2Grid Interface. In Vector-Kongress. 2010. Available online: https://wenku.baidu.com/view/cff013104431b90d6c85c7e9.html (accessed on 3 June 2020).
- Bedogni, L.; Bononi, L.; Di Felice, M.; D’Elia, A.; Cinotti, T.S. A Route Planner Service with Recharging Reservation: Electric Itinerary with a Click. IEEE Intell. Transp. Syst. Mag. 2016, 8, 75–84. [Google Scholar] [CrossRef]
- Bedogni, L.; Bononi, L.; D’Elia, A.; Di Felice, M.; Rondelli, S.; Cinotti, T.S. A Mobile Application to Assist Electric Vehicles’ Drivers with Charging Services. In Proceedings of the 2014 Eighth International Conference on Next Generation Mobile Apps, Services and Technologies, Oxford, UK, 10–12 September 2014; pp. 78–83. [Google Scholar]
- ARTEMIS European Project. Project, “Internet of Energy (IoE)”. Available online: http://www.artemis-ioe.eu/ (accessed on 3 June 2020).
- Clement-Nyns, K.; Haesen, E.; Driesen, J. The Impact of Charging Plug-In Hybrid Electric Vehicles on a Residential Distribution Grid. IEEE Trans. Power Syst. 2010, 25, 371–380. [Google Scholar] [CrossRef]
- Etezadi-Amoli, M.; Choma, K.; Stefani, J. Rapid-charge electric-vehicle stations. IEEE Trans. Power Deliv. 2010, 25, 1883–1887. [Google Scholar] [CrossRef]
- Moslehi, K.; Kumar, R. A reliability perspective of the smart grid. IEEE Trans. Smart Grid 2010, 1, 57–64. [Google Scholar] [CrossRef]
- Masoum, A.S.; Deilami, S.; Moses, P.S.; Abu-Siada, A. Impacts of battery charging rates of plug-in electric vehicle on smart grid distribution systems. In Proceedings of the IEEE PES Innovative Smart Grid Technologies Conference Europe, ISGT Europe, Gothenberg, Sweden, 11–13 October 2010. [Google Scholar]
- Conti, M.; Fedeli, D.; Virgulti, M. B4V2G: Bluetooth for electric vehicle to smart grid connection. In Proceedings of the Ninth Workshop on Intelligent Solutions in Embedded Systems (WISES), Regensburg, Germany, 7–8 July 2011; pp. 13–18. [Google Scholar]
- Lewandowski, C.; Bocker, S.; Wietfeld, C. An ICT solution for integration of Electric Vehicles in grid balancing services. In Proceedings of the 2013 International Conference on Connected Vehicles and Expo (ICCVE), Las Vegas, NV, USA, 2–6 December 2013; pp. 195–200. [Google Scholar]
- Bonges, H.A.; Lusk, A.C. Addressing electric vehicle (EV) sales and range anxiety through parking layout, policy and regulation. Transp. Res. Part A Policy Pract. 2016, 83, 63–73. [Google Scholar] [CrossRef]
- Ritrovati, G.; de Maso-Gentile, G.; Scavongelli, C.; Conti, M. Active role of a NFC enabled smartphone in EV-EVSE charging process. In Proceedings of the 2014 IEEE International Electric Vehicle Conference (IEVC), Florence, Italy, 17–19 December 2014; pp. 1–8. [Google Scholar]
- Rodriguez-Serrano, A.; Torralba, A.; Rodriguez-Valencia, E.; Tarifa-Galisteo, J. A communication system from EV to EV Service Provider based on OCPP over a wireless network. In Proceedings of the IECON 2013—39th Annual Conference of the IEEE Industrial Electronics Society, Vienna, Austria, 10–13 November 2013; pp. 5434–5438. [Google Scholar]
- Alcaraz, C.; Lopez, J.; Wolthusen, S. OCPP Protocol: Security Threats and Challenges. IEEE Trans. Smart Grid 2017, 8, 2452–2459. [Google Scholar] [CrossRef]
- Rubio, J.E.; Alcaraz, C.; Lopez, J. Addressing Security in OCPP: Protection Against Man-in-the-Middle Attacks. In Proceedings of the 2018 9th IFIP International Conference on New Technologies, Mobility and Security (NTMS), Paris, France, 26–28 February 2018; pp. 1–5. [Google Scholar]
- Morosan, A.G.; Pop, F. OCPP security—Neural network for detecting malicious traffic. In Proceedings of the International Conference on Research in Adaptive and Convergent Systems; Association for Computing Machinery: New York, NY, USA, 2017; pp. 190–195. [Google Scholar]
- Bohn, T.; Cortes, C.; Glenn, H. Local automatic load control for electric vehicle smart charging systems extensible via OCPP using compact submeters. In Proceedings of the 2017 IEEE Transportation Electrification Conference and Expo (ITEC), Chicago, IL, USA, 22–24 June 2017; pp. 724–731. [Google Scholar]
- Munné-Collado, I.; Aprà, F.M.; Olivella-Rosell, P.; Villafáfila-Robles, R. The potential role of flexibility during peak hours on greenhouse gas emissions: A life cycle assessment of five targeted national electricity grid mixes. Energies 2019, 12, 4443. [Google Scholar] [CrossRef]
- USEF Foundation. The Framework Explained. Available online: http://www.globalsmartgridfederation.org/wp-content/uploads/2016/10/USEF_TheFrameworkExplained-18nov15.pdf (accessed on 3 June 2020).
- Munné-Collado, Í.; Bullich-Massagué, E.; Aragüés-Peñalba, M.; Olivella-Rosell, P. Local and Micro Power Markets. In Micro and Local Power Markets; Wiley: Hoboken, NJ, USA, 2019; pp. 37–96. [Google Scholar]
- Zweistra, M.; Janssen, S.; Geerts, F. Large scale smart charging of electric vehicles in practice. Energies 2020, 13, 298. [Google Scholar] [CrossRef]
- Cao, Y.; Wang, T.; Zhang, X.; Kaiwartya, O.; Eiza, M.H.; Putrus, G. Toward anycasting-driven reservation system for electric vehicle battery switch service. IEEE Syst. J. 2019, 13, 906–917. [Google Scholar] [CrossRef]
- Cao, Y.; Kaiwartya, O.; Zhuang, Y.; Ahmad, N.; Sun, Y.; Lloret, J. A Decentralized Deadline-Driven Electric Vehicle Charging Recommendation. IEEE Syst. J. 2019, 13, 3410–3421. [Google Scholar] [CrossRef]
- Tucker, N.; Alizadeh, M. An Online Admission Control Mechanism for Electric Vehicles at Public Parking Infrastructures. IEEE Trans. Smart Grid 2020, 11, 161–170. [Google Scholar] [CrossRef]
- Vaidya, B.; Mouftah, H.T. Smart electric vehicle charging management for smart cities. IET Smart Cities 2020, 2, 4–13. [Google Scholar] [CrossRef]
- Ferro, G.; Laureri, F.; Minciardi, R.; Robba, M. An optimization model for electrical vehicles scheduling in a smart grid. Sustain. Energy Grids Netw. 2018, 14, 62–70. [Google Scholar] [CrossRef]
- Ferro, G.; Laureri, F.; Minciardi, R.; Robba, M. A predictive discrete event approach for the optimal charging of electric vehicles in microgrids. Control Eng. Pract. 2019, 86, 11–23. [Google Scholar] [CrossRef]
- Piazza, G.; Bracco, S.; Siri, S.; Delfino, F. Integration of electric mobility services within an existing polygeneration microgrid. In Proceedings of the IEEE International Conference on Environment and Electrical Engineering and 2019 IEEE Industrial and Commercial Power Systems Europe (EEEIC/I&CPS Europe), Genova, Italy, 11–14 June 2019. [Google Scholar]
- Orcioni, S.; Buccolini, L.; Ricci, A.; Conti, M. Electric vehicles charging reservation based on OCPP. In Proceedings of the 2018 IEEE International Conference on Environment and Electrical Engineering and 2018 IEEE Industrial and Commercial Power Systems Europe (EEEIC/I&CPS Europe), Palermo, Italy, 12–15 June 2018; pp. 1–6. [Google Scholar]
- Buamod, I.; Abdelmoghith, E.; Mouftah, H.T. A review of OSI-based charging standards and eMobility open protocols. In Proceedings of the 2015 International Conference on the Network of the Future, NOF 2015, Montreal, QC, Canada, 30 September–2 October 2015. [Google Scholar]
- Schmutzler, J.; Andersen, C.A.; Wietfeld, C. Evaluation of OCPP and IEC 61850 for smart charging electric vehicles. World Electr. Veh. J. 2013, 6, 863–874. [Google Scholar] [CrossRef]
- Home—Open Charge Alliance. Available online: https://www.openchargealliance.org/ (accessed on 27 September 2018).
- OCPP 2.0.1. Available online: https://www.openchargealliance.org/protocols/ocpp-201/ (accessed on 24 May 2020).
- Essiet, I.O.; Sun, Y.; Wang, Z. Analysis of the effect of parameter variation on a dynamic cost function for distributed energy resources: A DER-CAM case study. Appl. Sci. 2018, 8, 884. [Google Scholar] [CrossRef]
- Albert, E.; Arenas, P.; Genaim, S.; Puebla, G. A practical comparator of cost functions and its applications. Sci. Comput. Program. 2015, 111, 483–504. [Google Scholar] [CrossRef]
© 2020 by the authors. Licensee MDPI, Basel, Switzerland. This article is an open access article distributed under the terms and conditions of the Creative Commons Attribution (CC BY) license (http://creativecommons.org/licenses/by/4.0/).















