Development of a Model for the Estimation of the Energy Consumption Associated with the Transportation of CO2 in Pipelines
Abstract
1. Introduction
2. Methods
2.1. Case Defenition
2.2. Pipeline Elevation Profile and Sea Temperature
2.3. Pipeline Pressure and Temperature Profiles
2.3.1. Well Head Pressure
2.3.2. Minimum Pipeline Operating Pressure
2.3.3. Pipeline Diameter Selection
2.3.4. Calculation of Frictional and Static Pressure Changes
2.3.5. Pipeline Roughness and Friction Factor
2.3.6. Pipeline Temperature Profile
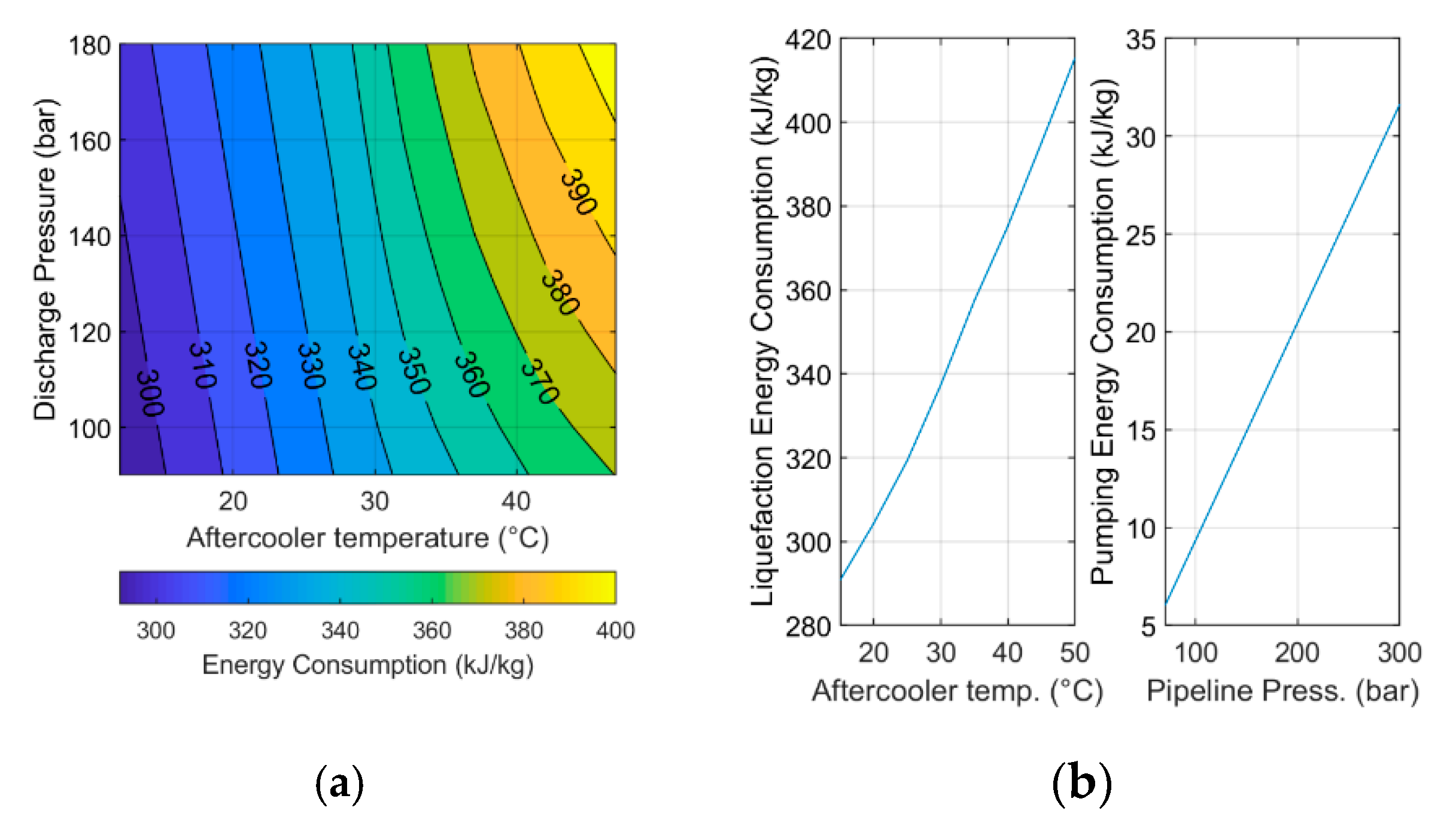
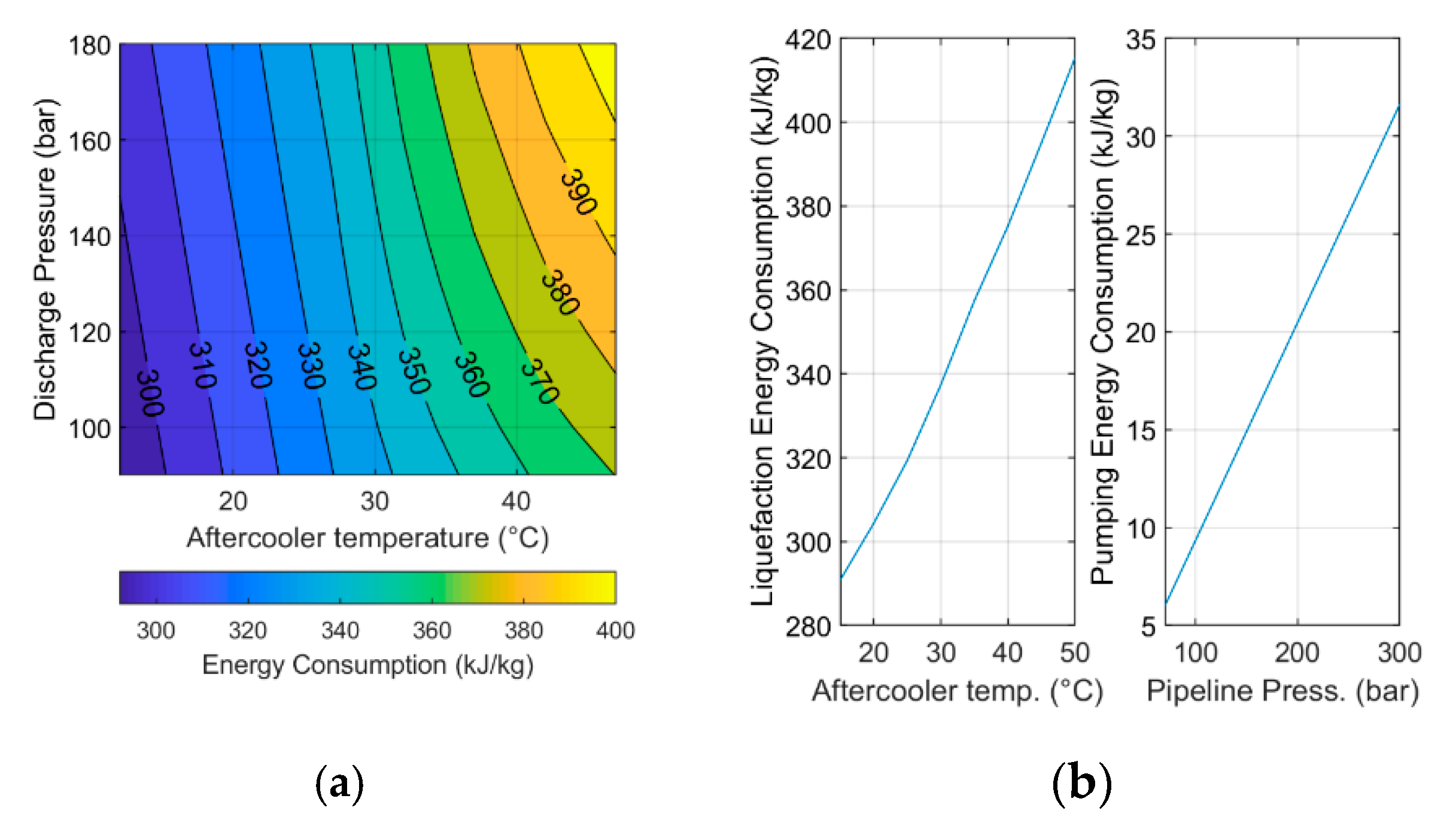
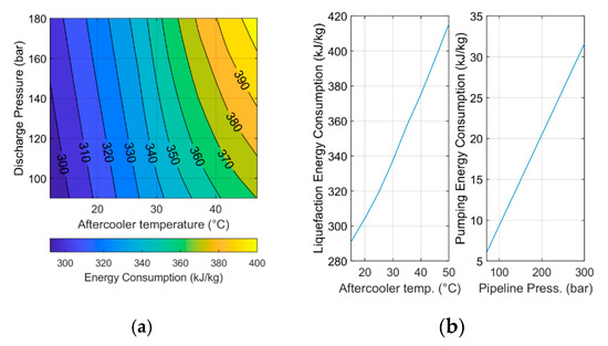
2.3.7. Transportation Energy Consumption
2.4. Model Outputs
2.5. Model Validation
2.6. Sample Case
3. Results
3.1. Validation
3.2. Sample Case
4. Discussions
5. Conclusions
Funding
Acknowledgments
Conflicts of Interest
Nomenclature
| Area based on OD | |
| Erosional velocity factor | |
| C | Model correction factor |
| Heat capacity | |
| Diameter | |
| Absolute roughness | |
| Pipeline joint factor | |
| Pipeline design factor | |
| Fanning friction factor | |
| Gravitational constant | |
| Reservoir depth | |
| Height | |
| Joule-Thompson coefficient | |
| Length | |
| Pressure | |
| Pressure drop | |
| Reservoir overpressure factor | |
| Reynolds number | |
| Min. pipeline yield strength | |
| Pipe wall thickness | |
| Temperature | |
| Velocity | |
| Overall heat transfer coefficient | |
| Well head pressure | |
| Viscosity | |
| Density | |
| Subscripts & Superscripts | |
| av | Average |
| BP | Bubble point |
| e | erosion |
| f | Friction |
| i | Element ‘i’ in the well |
| ID | Based on inside diameter |
| in | Inlet |
| max | Max |
| min | minimum |
| min | Min |
| n | Element ‘n’ in the pipeline |
| o | Overall |
| OD | Based on outside diameter |
| out | Outlet |
| R | Reservoir |
| s | Static |
| sea | Average sea condition |
| SST | Sea surface temperature |
| w | Water |
References
- Global CCS Institute. Global Status of CCS 2019; Global CCS Institute: Melbourne, Australia, 2019. [Google Scholar]
- IEA. World Energy Outlook 2019; IEA: Paris, France, 2019. [Google Scholar] [CrossRef]
- Peletiri, S.P.; Rahmanian, N.; Mujtaba, I.M. CO2 Pipeline design: A review. Energies 2018, 11, 2184. [Google Scholar] [CrossRef]
- Northern Lights—A European CO2 Transport and Storage Network. Available online: https://northernlightsccs.eu/ (accessed on 5 March 2020).
- Mazzoccoli, M.; Bosio, B.; Arato, E.; Brandani, S. Comparison of equations-of-state with P-p-T experimental data of binary mixtures rich in CO2 under the conditions of pipeline transport. J. Supercrit. Fluids 2014, 95, 474–490. [Google Scholar] [CrossRef]
- Wang, J.; Wang, Z.; Sun, B. Improved equation of CO2 Joule–Thomson coefficient. J. CO2 Util. 2017, 19, 296–307. [Google Scholar] [CrossRef]
- Span, R.E.T.; Herrig, S.; Hielscher, S.; Jäger, A.; Thol, M. TREND. In Thermodynamic Reference and Engineering Data 3.0; Lehrstuhl für Thermodynamik, Ruhr-Universität Bochum: Bochum, Germany, 2016. [Google Scholar]
- Wilhelmsena, Ø.; Skaugena, G.; Jørstadb, O.; Hailong, L. Evaluation of SPUNG# and other Equations of State for use in Carbon Capture and Storage modelling. Energy Procedia 2012, 23, 236–245. [Google Scholar]
- Nazeri, M.; Chapoy, A.; Burgass, R.; Tohidi, B. Viscosity of CO2-rich mixtures from 243 K to 423 K at pressures up to 155 MPa: New experimental viscosity data and modelling. J. Chem. Thermodyn. 2018, 118, 100–114. [Google Scholar] [CrossRef]
- Drescher, M.; Wilhelmsen, Ø.; Aursand, P.; Aursand, E.; de Koeijer, G.; Held, R. Heat Transfer Characteristics of a Pipeline for CO2 Transport with Water as Surrounding Substance. Energy Procedia 2013, 37, 3047–3056. [Google Scholar] [CrossRef][Green Version]
- Lee, W.J.; Yun, R. In-tube convective heat transfer characteristics of CO2 mixtures in a pipeline. Int. J. Heat Mass Transf. 2018, 125, 350–356. [Google Scholar] [CrossRef]
- Wetenhall, B.; Race, J.M.; Aghajani, H.; Barnett, J. The main factors affecting heat transfer along dense phase CO2 pipelines. Int. J. Greenh. Gas Control 2017, 63, 86–94. [Google Scholar] [CrossRef]
- Zhang, W.B.; Shao, D.; Yan, Y.; Liu, S.; Wang, T. Experimental investigations into the transient behaviours of CO2 in a horizontal pipeline during flexible CCS operations. Int. J. Greenh. Gas Control 2018, 79, 193–199. [Google Scholar] [CrossRef]
- Mohammadi, M.; Hourfar, F.; Elkamel, A.; Leonenko, Y. Economic Optimization Design of CO2 Pipeline Transportation with Booster Stations. Ind. Eng. Chem. Res. 2019, 58, 16730–16742. [Google Scholar] [CrossRef]
- McCoy, S.; Rubin, E. An engineering-economic model of pipeline transport of CO2 with application to carbon capture and storage. Int. J. Greenh. Gas Control 2008, 2, 219–229. [Google Scholar] [CrossRef]
- Tian, Q.; Zhao, D.; Li, Z.; Zhu, Q. Robust and stepwise optimization design for CO2 pipeline transportation. Int. J. Greenh. Gas Control 2017, 58, 10–18. [Google Scholar] [CrossRef]
- Deng, H.; Roussanaly, S.; Skaugen, G. Techno-economic analyses of CO2 liquefaction: Impact of product pressure and impurities. Int. J. Refrig. 2019, 103, 301–315. [Google Scholar] [CrossRef]
- Aspelund, A.; Mølnvik, M.J.; De Koeijer, G. Ship Transport of CO2: Technical Solutions and Analysis of Costs, Energy Utilization, Exergy Efficiency and CO2 Emissions. Chem. Eng. Res. Des. 2006, 84, 847–855. [Google Scholar] [CrossRef]
- Knoope, M.M.J.; Ramírez, A.; Faaij, A.P.C. Investing in CO2 transport infrastructure under uncertainty: A comparison between ships and pipelines. Int. J. Greenh. Gas Control 2015, 41, 174–5836. [Google Scholar] [CrossRef]
- Jordal, K.; Aspelund, A. Gas conditioning—The interface between CO2 capture and transport. International Int. J. Greenh. Gas Control 2007, 1, 343–354. [Google Scholar]
- Jackson, S.; Brodal, E. Optimization of the Energy Consumption of a Carbon Capture and Sequestration Related Carbon Dioxide Compression Processes. Energies 2019, 12, 1603. [Google Scholar] [CrossRef]
- Jackson, S.; Brodal, E. Optimization of the CO2 Liquefaction Process-Performance Study with Varying Ambient Temperature. Appl. Sci. 2019, 9, 4467. [Google Scholar] [CrossRef]
- Alabdulkarem, A.; Hwang, Y.H.; Radermacher, R. Development of CO2 liquefaction cycles for CO2 sequestration. Appl. Therm. Eng. 2012, 33, 144–156. [Google Scholar] [CrossRef]
- Seo, Y.; Huh, C.; Lee, S.; Chang, D. Comparison of CO2 liquefaction pressures for ship-based carbon capture and storage (CCS) chain. Int. J. Greenh. Gas Control 2016, 52, 1–12. [Google Scholar] [CrossRef]
- Øi, L.E.; Eldrup, N.H.; Adhikari, U.; Bentsen, M.H.; Badalge, J.C.L.; Yang, S. Simulation and Cost Comparison of CO2 Liquefaction. Energy Proceida 2016, 86, 500–510. [Google Scholar] [CrossRef]
- Jakobsen, J.; Roussanaly, S.; Anantharaman, R. A techno-economic case study of CO2 capture, transport and storage chain from a cement plant in Norway. J. Clean. Prod. 2017, 144, 523–539. [Google Scholar] [CrossRef]
- Jakobsen, J.P.; Roussanaly, S.; Brunsvold, A.; Anantharaman, R. A Tool for Integrated Multi-criteria Assessment of the CCS Value Chain. Energy Procedia 2014, 63, 7290–7297. [Google Scholar] [CrossRef]
- Mallon, W.; Buit, L.; van Wingerden, J.; Lemmens, H.; Eldrup, N.H. Costs of CO2 Transportation Infrastructures. Energy Procedia 2013, 37, 2969–2980. [Google Scholar] [CrossRef]
- The MathWorks. MATLAB; The MathWorks: Natick, MA, USA, 2018. [Google Scholar]
- GEBCO Compilation Group. GEBCO 2019 Grid. 2019. Available online: https://www.gebco.net/data_and_products/gridded_bathymetry_data/gebco_2019/gebco_2019_info.html (accessed on 27 January 2020).
- Såtendal, S.H.; Laug, R.; Oaland, O. Subsea Pipeline Intervention In the Barents Sea. In Proceedings of the Seventeenth International Offshore and Polar Engineering Conference, Lisbon, Portugal, 1 January 2007; p. 7. [Google Scholar]
- Japan Meteorological Agency. Available online: http://ds.data.jma.go.jp/tcc/tcc/products/elnino/cobesst_doc.html (accessed on 1 November 2019).
- Maldal, T.; Tappel, I.M. CO2 underground storage for Snøhvit gas field development. Energy 2004, 29, 1403–1411. [Google Scholar] [CrossRef]
- Shi, J.-Q.; Imrie, C.; Sinayuc, C.; Durucan, S.; Korre, A.; Eiken, O. Snøhvit CO2 Storage Project: Assessment of CO2 Injection Performance Through History Matching of the Injection Well Pressure Over a 32-months Period. Energy Procedia 2013, 37, 3267–3274. [Google Scholar] [CrossRef]
- Vishal, V.; Singh, T.N. Geologic Carbon Sequestration: Understanding Reservoir Behavior; Springer Nature: Cham, Switzerland, 2016. [Google Scholar] [CrossRef]
- Zhang, Z.X.; Wang, G.X.; Massarotto, P.; Rudolph, V. Optimization of pipeline transport for CO2 sequestration. Energy Convers. Manag. 2006, 47, 702–715. [Google Scholar] [CrossRef]
- Roussanaly, S.; Brunsvold, A.L.; Hognes, E.S. Benchmarking of CO2 transport technologies: Part II – Offshore pipeline and shipping to an offshore site. Int. J. Greenh. Gas Control 2014, 28, 283–299. [Google Scholar] [CrossRef]
- Nimtz, M.; Klatt, M.; Wiese, B.; Kühn, M.; Joachim Krautz, H. Modelling of the CO2 process- and transport chain in CCS systems—Examination of transport and storage processes. Geochemistry 2010, 70, 185–192. [Google Scholar] [CrossRef]
- Forbes, S.M.; Verma, P.; Curry, T.E.; Friedmann, S.J.; Wade, S.M. CCS Guidelines: Guidelines for Carbon Dioxide Capture, Transport, and Storage; World Resources Institute: Washington, DC, USA, 2008. [Google Scholar]
- Zigrang, D.; Sylvester, N. Explicit approximations to the solution of Colebrook’s friction factor equation. AIChE J. 1982, 28, 514–515. [Google Scholar] [CrossRef]
- Winning, H.; Coole, T. Explicit Friction Factor Accuracy and Computational Efficiency for Turbulent Flow in Pipes. Int. J. Publ. Assoc. ERCOFTAC 2013, 90, 1–27. [Google Scholar] [CrossRef]
- Langelandsvik, L.I. Modeling of Natural Gas Transport and Friction Factor for Large-Scale Pipelines: Laboratory Experiments and Analysis of Operational Data; Norwegian University of Science and Technology, Faculty of Engineering Science and Technology, Department of Energy and Process Engineering: Trondheim, Norway, 2008. [Google Scholar]
- Jia, W.; Li, C.; Wu, X. Internal Surface Absolute Roughness for Large-Diameter Natural Gas Transmission Pipelines. Oil Gas. Eur. Mag. 2014, 40, 211–213. [Google Scholar]
- Chandel, M.K.; Pratson, L.F.; Williams, E. Potential economies of scale in CO2 transport through use of a trunk pipeline. Energy Convers. Manag. 2010, 51, 2825–2834. [Google Scholar] [CrossRef]
- Jackson, S. Carbon Dioxide Transportation Energy Model; Version 1, UiT; The Arctic University of Norway, Ed.; DataverseNO: Tromsø, Norway, 2020. [Google Scholar] [CrossRef]










| Functions | Description | Basis Data | Description |
|---|---|---|---|
| CO2TransModel | Main function taking input data from Case, passes data to other functions and formats the results. | Case | The description of the CCS transport scenario considered. User input. |
| PipeProf | Calculated the elevation profile based on Case. | Bath SSTdata | Bathymetry basis data Sea temperature basis data |
| PressProf | Calculates pressure and temperature profiles based on PipeProf & stream properties data. | Post Pre Oxy * | Stream properties data including: compositions, density data, critical constants, dew-point, bubble-point, JT coefficient, heat capacity. |
| PressureDrop | Pressure drop used in PressProf. | ||
| fFact | Friction factor used in PressureDrop. | ||
| Visc | Viscosity calculation. | ||
| TransEnergy | Calculates energy consumption for compression OR liquefaction and pumping based on PressProf and the SSTdata. | CompPost CompPre CompOxy * Liq_Power | Data relating to the energy consumption for compression, liquefaction and pumping of CO2 at different pressure and temperature conditions. |
| Name | Description |
|---|---|
| POI | Geographic reference points (decimal degrees) describing the pipeline route ** |
| Opt | Transport type: 1 = pipeline *; 2 = ship |
| LiqLoc | Location of the liquefaction process (Opt = 2 only) in decimal degrees |
| WH_loc | Wellhead location: 0 = sub-sea * and 1 = surface wellheads |
| Res_Depth | Reservoir depth in meters ** |
| Pipe_e | Roughness in µm, default is 15 µm |
| Stream | ‘Post’ *, ‘Pre’ or ‘Oxy’ composition |
| T_inlet | Pipeline inlet temperature |
| U | Heat transfer coefficient, default value is 6 W/m2-K |
| Flow | Case flowrate in Mtpa ** |
| T_sea | Sea water temperature in °C *** |
| Pipe_prof | Elevation profile *** |
| Component | Post | Pre | Oxyfuel |
|---|---|---|---|
| CO2 mole % | 99.99 | 99.50 | 96.16 |
| N2 mole % | 0.01 | - | 2.45 |
| CH4 mole % | - | 0.50 | - |
| Ar mole % | - | - | 0.96 |
| O2 mole % | - | - | 0.43 |
| Name | Profiles |
|---|---|
| Elevation | Pipeline element length & element elevation change |
| Pressure | Pressure profile for 10%, 30% & 50% overpressure |
| Temperature | Pressure profile for 10%, 30% & 50% overpressure |
| Name | Performance |
| Inlet Pressure | Inlet pressure for each pipeline size & overpressure case |
| WHP | Well head pressure for each overpressure case |
| Av. Frictional DP | Simple mean of frictional pressure drop component for each case |
| Av. Velocity | Simple mean of gas velocity pressure drop component for each case |
| Energy | Summary of energy consumption for each pipeline size & overpressure case. |
| Name | Description |
|---|---|
| Map | Location map for the pipeline/liquefaction location |
| Conditions | Plot of temperature vs pressure for all pipe sizes and overpressure cases |
| Profiles | Pressure and temperature profiles for the smallest line size that operates under 200 bar under all conditions |
| Energy | Sum of pipeline and liquefaction energy consumption for all pipe sizes and overpressure cases |
| Length (km) | Elevation (m) | Length (km) | Elevation (m) |
|---|---|---|---|
| 0.0 | 0.0 | 58.7 | −310 |
| 0.4 | −1.2 | 65.1 | −371 |
| 0.5 | −99.1 | 76.1 | −384 |
| 3.1 | −127 | 91.4 | −435 |
| 18.0 | −228 | 107 | −343 |
| 21.3 | −230 | 126 | −363 |
| 25.5 | −338 | 133 | −344 |
| 39.7 | −65.4 | 145 | −341 |
| 47.1 | −102 | 149 | −321 |
| 53.7 | −317 | 152 | −322 |
© 2020 by the author. Licensee MDPI, Basel, Switzerland. This article is an open access article distributed under the terms and conditions of the Creative Commons Attribution (CC BY) license (http://creativecommons.org/licenses/by/4.0/).
Share and Cite
Jackson, S. Development of a Model for the Estimation of the Energy Consumption Associated with the Transportation of CO2 in Pipelines. Energies 2020, 13, 2427. https://doi.org/10.3390/en13102427
Jackson S. Development of a Model for the Estimation of the Energy Consumption Associated with the Transportation of CO2 in Pipelines. Energies. 2020; 13(10):2427. https://doi.org/10.3390/en13102427
Chicago/Turabian StyleJackson, Steven. 2020. "Development of a Model for the Estimation of the Energy Consumption Associated with the Transportation of CO2 in Pipelines" Energies 13, no. 10: 2427. https://doi.org/10.3390/en13102427
APA StyleJackson, S. (2020). Development of a Model for the Estimation of the Energy Consumption Associated with the Transportation of CO2 in Pipelines. Energies, 13(10), 2427. https://doi.org/10.3390/en13102427

