Abstract
Developing novel, safe, and efficient proangiogenic drugs is an important approach for the prevention and treatment of cardiovascular diseases. In this study, 4 new compounds, including 3 azaphilones (1–3) and 1 dihydroisocoumarin (4), as well as 13 known compounds (5–17), were isolated from the sea-mud-derived fungus Neopestalotiopsis sp. HN-1-6 from the Beibu Gulf of China. The structures of the new compounds were determined by NMR, MS, ECD, and NMR calculations. Compounds 3, 5, and 7 exhibited noteworthy proangiogenic activities in a zebrafish model at a concentration of 40 μM, without displaying cytotoxicity toward five human cell lines. In addition, some compounds demonstrated antibacterial effects against Staphylococcus aureus, Escherichia coli, and Candida albicans, with MIC values ranging from 64 μg/mL to 256 μg/mL.
1. Introduction
Globally, cardiovascular disease remains the leading cause of death. Although the age-standardized mortality rate for cardiovascular disease has declined, the actual number of deaths from cardiovascular disease has increased, mainly due to global population growth and aging, as well as the impact of preventable metabolic behaviors and environmental risks [1]. Insufficient angiogenesis significantly impacts blood supply, posing a critical factor in maintaining cardiovascular health. When angiogenesis is compromised, the heart and brain may be deprived of adequate blood and oxygen, predisposing them to conditions like myocardial ischemia and cerebral infarction [2,3]. Such pathologies are often a prelude to the development of cardiovascular and cerebrovascular diseases, including angina pectoris, myocardial infarction, and stroke. These diseases inflict immense suffering on patients, often leading to disabling consequences and even fatal outcomes [4]. Furthermore, insufficient angiogenesis can exacerbate the severity of cardiovascular and cerebrovascular diseases. During the progression of these diseases, vascular lesions frequently coexist with angiogenesis insufficiency, further compromising blood supply to the affected areas [5]. This compounding effect can lead to a deterioration in the patient’s condition, increasing the complexity of treatment and heightening the associated risks. Therefore, the prevention and treatment of angiogenesis insufficiency are paramount in reducing the incidence and mortality rates of cardiovascular and cerebrovascular diseases.
The physiological processes exhibited by zebrafish exhibit remarkable similarities to those of humans, particularly in the cardiovascular, nervous, and digestive systems. Consequently, the zebrafish serves as an optimal model for exploring the in vivo mechanisms of drugs [6,7]. By meticulously observing the responses of zebrafish to various drugs, scientists are able to accurately evaluate both the biological activity of these compounds and their potential side effects. Furthermore, the zebrafish model boasts the advantages of high-throughput and comprehensive drug screening. This allows for a swift assessment of the activity and adverse effects of candidate drugs, significantly simplifying the investigation of their dynamic behavior within biological systems and enhancing the efficiency of the screening process [8,9]. Overall, the utilization of the zebrafish model during the early stages of drug development enables a reduction in the developmental risks, substantial cost savings, shortened development cycles, and an increase in the likelihood of success.
Nestled in the semi-enclosed tropical and subtropical regions of southern Guangxi, the Beibu Gulf of China is renowned for harboring an abundant array of microbial resources. Between 2009 and 2023, numerous natural products, including polyketides, terpenoids, nitrogen-containing compounds, and glycosides, have been isolated from the Beibu Gulf, exhibiting significant biological activities in antitumor, antibacterial, and other therapeutic aspects [10]. Notably, Neopestalotiopsis, a microbial species, produces a diverse array of secondary metabolites that possess remarkable antibacterial properties [11].
During our ongoing exploration of bioactive metabolites derived from fungi isolated from the Beibu Gulf, Neopestalotiopsis sp. HN-1-6 was successfully isolated from a sea mud sample. Chemical analysis of the EtOAc extract from its fermentation broth revealed the presence of four novel compounds (Figure 1), including three azaphilones (1–3) and one dihydroisocoumarin (4), along with 13 known compounds (5–17) (Figure S37). We screened the isolated azaphilones (1–3 and 5–7) for their proangiogenic activity using a zebrafish model. The results were particularly noteworthy as compounds 3, 5, and 7 demonstrated remarkable proangiogenic activities. Furthermore, cytotoxicity assays revealed that these compounds exhibited minimal cell toxicity at a concentration of 50 μM, suggesting their potential as safe lead compounds for the development of proangiogenic drugs. Therefore, these compounds merit further systematic investigation. Additionally, the antibacterial activity tests revealed that some compounds demonstrated antibacterial effects against Staphylococcus aureus, Escherichia coli, and Candida albicans, with MIC values ranging from 64 μg/mL to 256 μg/mL. Herein, the isolation, structural elucidation, and bioactivities of these compounds are reported.
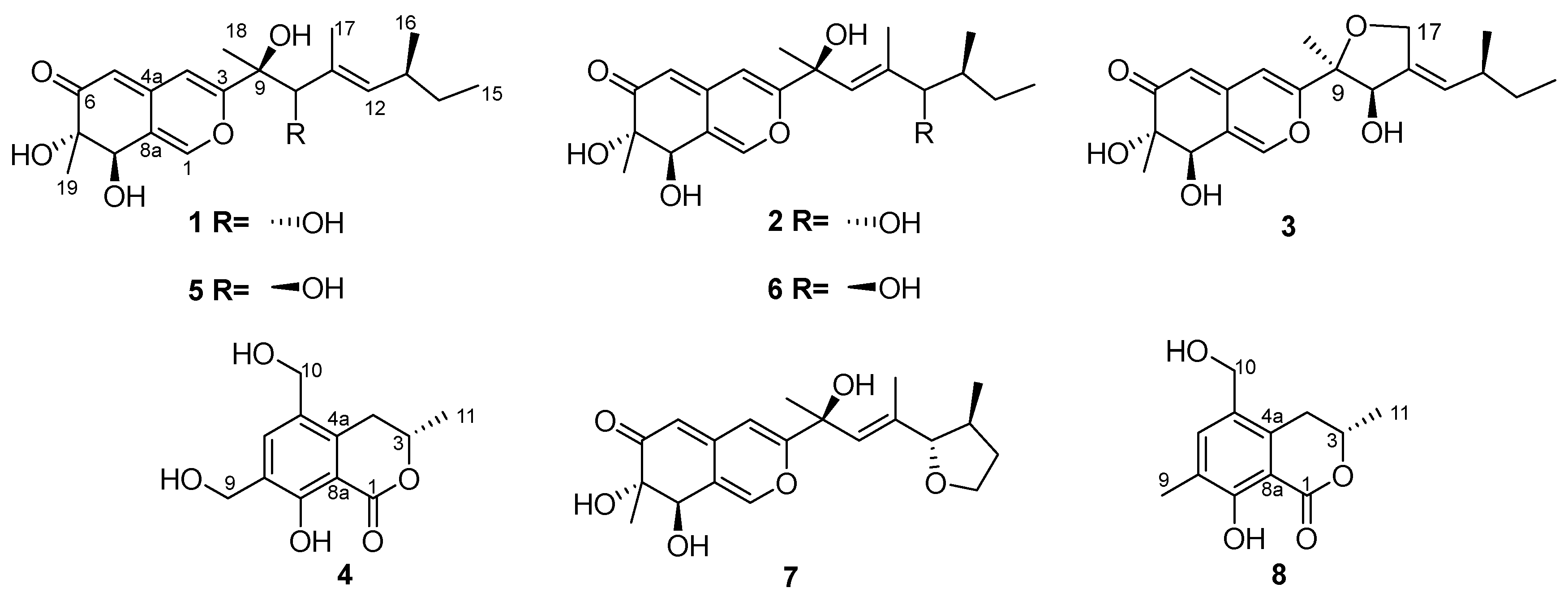
Figure 1.
Chemical structures of 1–8.
2. Results
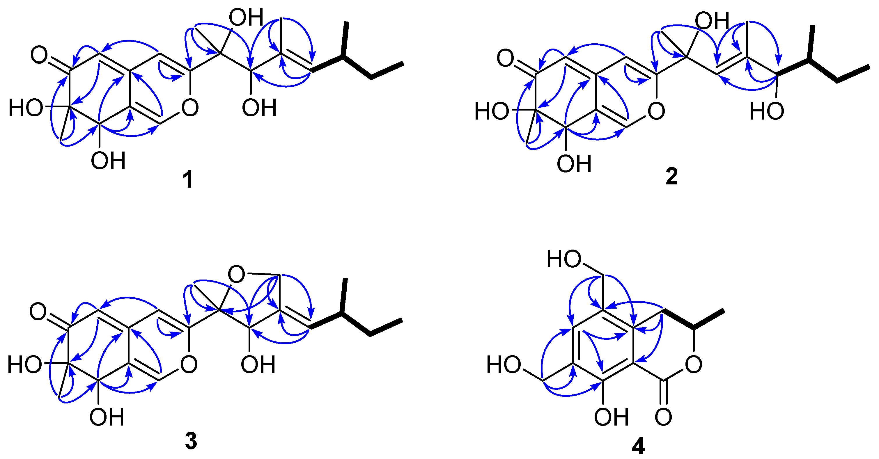
10-epi-Pestaphilone G (1) was determined to have a molecular formula of C20H28O6 according to the HRESIMS data, with an [M + Na]+ ion peak at 387.1782. The 1H, 13C (Table 1), and HSQC NMR (Figure 2) spectra of 1 showed signals for one conjugated ketone carbonyl at δC 201.5, eight olefinic carbons with four protonated (δC/H 146.7/7.50, 106.4/6.55, 105.6/5.36, and 137.8/5.15), three sp3 methines (δC/H 73.6/4.53, 81.8/4.13, and 35.0/2.36) with two oxygenated, two oxygenated sp3 nonprotonated carbons (δC 77.9 and 77.4), one sp3 methylene (δC/H 31.3/1.36 and 1.27), and five methyls (δC/H 12.3/0.88, 21.0/0.93, 19.1/1.15, 23.5/1.32, and 13.3/1.73). The double-bond equivalent (DBE) of compound 1 was calculated to be seven, encompassing four olefinic functionalities and one carbonyl group. This suggests the presence of two additional rings. The 13C NMR data of 1 were nearly identical to those of a previous reported pestaphilone G (5) [12]. However, there are significant differences in their 1H NMR data, particularly in the signals corresponding to protons surrounding the chiral carbon C-10. Specifically, the chemical shifts for H-10, H-12, H3-17, and H3-18 in 1 shifted to δ 4.13, 5.15, 1.73, and 1.32, respectively, compared to the corresponding chemical shifts in pestaphilone G, which were δ 4.06, 4.95, 1.64, and 1.52. These data indicate that both compounds share the same planar structure and are likely a pair of C-10 epimers. The COSY correlations of H3-15/H2-14/H-13/H-12 and H3-16/H-13, as well as HMBC correlations from H3-17 to C-10, C-11, and C-12; from H3-18 to C-3, C-9, and C-10; from H-4 to C-9, C-4a, C-8a, and C-5; from H-5 to C-6, C-7, and C-8a; and from H3-19 to C-6, C-7, and C-8, further confirmed the planar structure of 1. The Δ11 double bond was deduced to be E according to the NOESY (Figure S7) correlations of H-10/H-12.
Table 1.
The 1H (400 MHz) and 13C NMR (100 MHz) data of 1–3 (TMS, δ in ppm, methanol-d4).
Figure 2.
Key HMBC and 1H-1H COSY correlations of 1–4.( The meaning of blue arrows is HMBC in figure).
Because of the scarcity of 1 and the presence of multiple chiral carbon atoms within the C-3 side chain, accurately determining its absolute configuration poses significant challenges. In a previous report [12], the single-crystal data of three biosynthetic analogues of pestaphilone G, namely, pestaphilones A–C, were successfully obtained, and their absolute configurations were unambiguously determined based on these data. Subsequently, the absolute configurations of pestaphilone G were assigned through a comparative analysis of its NMR chemical shifts with those of pestaphilones A–C, taking into account biogenetic considerations, as well as NMR and ECD calculations. On the basis of the above, the absolute configurations of C-7, C-8, and C-9 of 1 were deduced to be identical to those of pestaphilone G according to their closely similar NMR chemical shifts from C-1 to C-9 and ECD curves (Figure 3a) [12], because these chiral carbons, located near the 6/6 bicyclic azaphilone chromophore, are the primary contributors to the ECD Cotton effects. According to previous studies [12], all reported Me-16-containing azaphilones have reported the C-13 configuration as S. Therefore, on the basis of a biogenetic analysis, the configuration of C-16 was deduced to be identical to that of pestaphilone G, specifically, the S configuration. Currently, only the absolute configuration of C-10 remains unresolved. To establish the absolute configuration of C-10, the 1H NMR data for the two possible isomers (10S)-1 and (10R)-1 were calculated and compared with the experimental data. The calculated 1H NMR chemical shifts of (10R)-1 showed the best agreement with the experimental values (Figure 4), with a DP4+ probability of nearly 100%, assigning the absolute configuration of C-10 as R. Consequently, compound 1 was assigned as 10-epi-pestaphilone G.
Figure 3.
Experimental ECD spectra of 1 (a) and 2–4 (b).
Figure 4.
Linear regression analysis and DP4 possibility analysis between the experimental and calculated 1H chemical shifts of the diastereomers of (10R)-1/(10S)-1, (12R)-2/(12S)-2, and (9S,10R)-3/(9R,10S)-3.
The molecular formula of 12-epi-pestaphilone H (2) was identical to that of the previously reported azaphilone pestaphilone H (6) [12], as confirmed by HRESIMS data. A thorough analysis of the COSY and HMBC spectra revealed that both compounds shared the same planar structure (Figure 2). The primary NMR differences between them lay in the chemical shifts observed for the H-10, H3-16, and H-12 protons surrounding the C-12 chiral carbon. Specifically, in compound 2, these shifts were observed at 5.59, 0.91, and 3.65, respectively, whereas in pestaphilone H, they were 5.55, 0.80, and 3.57. This suggests that they are a pair of C-12 epimers. The absolute configurations of the remaining chiral carbons in compound 2 were identified to be identical to those in pestaphilone H (6), as evidenced by a comparison of their NMR (Table 1) chemical shifts and ECD curves (Figure 3b), which exhibited remarkable similarity. The NOESY (Figure S15) correlations of H-10/H-12 suggest the E configuration of the Δ10 double bond. In order to confirm the configuration of C-12, the 1H NMR data for (12S)-2 and (12R)-2 were calculated and compared with the experimental data. As shown in Figure 4, the calculated chemical shifts of (12S)- 2 showed better agreement with the experimental data, with a DP4+ possibility of 99.99% compared to 0.01% of those calculated for (12R)-2. Thus, the absolute configuration of C-12 was assigned as S, and compound 2 was determined to be 12-epi-pestaphilone H.
Pestaphilone J (3) was isolated in the form of a yellow oil, and its molecular formula was determined to be C20H26O6 by HRESIMS, exhibiting a deficiency of two hydrogen atoms compared to compound 1. The NMR data for these compounds exhibited significant similarity, with the primary difference being the substitution of the CH3-17 in compound 1 with an oxymethylene group in 3. The HMBC correlations observed from the oxymethylene protons H2-17 to C-9, C-10, C-11, and C-12 confirmed the existence of a C-17/O/C-9 linkage. Through a detailed analysis of the HMBC and COSY data (Figure 2), the remaining substructure of 3 was determined to be identical to that of 1. The NOESY (Figure S24) correlation observed between H-10 and H-12 indicated an E configuration for the Δ11 double bond. Additionally, the correlations between H3-18 and H-10 suggest that these protons share the same orientation. The absolute configurations for C-7 and C-8 of 3 were determined to be the same as those of 5 according to their similar ECD curves. In order to assign the relative relationship of the chiral carbons C-9 and C-10 with C-7 and C-8, the NMR chemical shifts for the two possible structures, (9S,10R)-3 and (9R,10S)-3, were calculated and compared with the experimental data (Figure 4). The calculated chemical shifts for (9S,10R)-3 fit well with the experimental data, thus assigning the absolute configurations of C-9 and C-10 as S and R, respectively.
Compound 4 exhibited a sodium adduct ion peak at m/z 261.0742 corresponding to a molecular formula of C12H14O5 with six indices of hydrogen deficiency. The 1H NMR spectrum showed signals for one aromatic proton at δH 7.65, seven protons corresponding to sp3 methine or methylenes at δH 4.73, 4.58, 4.66, 2.84, and 3.22, and one methyl at δH 1.52 (Table 2). The HSQC spectrum revealed a total of 12 carbons including 6 aromatic carbons corresponding to a benzene moiety, one ester carbonyl, three sp3 methylenes with two hydroxylated, one oxymethine, and one methyl. These data are in accordance with those of versicoisochromane B (8) [13], except that the C-9 methyl in versicoisochromane B was hydroxylated in 4, as corroborated by HMBC correlations from H2-10 to C-4a, C-5, and C-6; H-6 to C-4a, C-8, and C-10; H2-9 to C-6, C-7, and C-8; and H2-4 to C-4a, C-5, and C-8a, as well as the COSY correlations of H3-11/H-3/H2-4 (Figure 2). Thus, compound 4 was assigned as 9-hydroxyl-versicoisochromane B. Furthermore, the absolute configuration of C-3 in compound 4 was assigned to be identical to that of versicoisochromane B [13], as evidenced by their similar ECD curves (Figure 3b) and optical rotation values.
Table 2.
The 1H (500 MHz) and 13C (125 MHz) NMR data of 4 (TMS, δ in ppm, methanol-d4).
The thirteen known compounds were identified as pestaphilone G (5) [12], pestaphilone H (6) [12], pestaphilone I (7) [12], versicoisochromane B (8) [13], (R)-8-hydroxy-3,5,7-trimethylisochroman-1-one (9) [14], (R)-8-hydroxy-7-(hydroxymethyl)-3,5-dimethylisochroman-1-one (10) [14], isochromane lactone (11) [15], pestalotiopyrone G (12) [16], 6-pentyl-4-methoxy-pyran-2-one (13) [17], PC-2 (14) [17], pestalotiopyrone C (15) [16], LL-P880α (16) [18], and LL-P880β (17) [18], respectively, by comparison of their NMR and MS data with those reported in the literature.
Some compounds were assessed for antibacterial activities, including Staphylococcus aureus, Methicillin-resistant Staphylococcus aureus, Escherichia coli, Pseudomonas aeruginosa, and Candida albicans. Compounds 3, 4, and 7–17 showed moderate to weak activities against Staphylococcus aureus, Escherichia coli, and Candida albicans. Among them, 3 inhibited Staphylococcus aureus with the MIC value of 64 μg/mL, and 13 inhibited Staphylococcus aureus and Candida albicans with MIC value of 64 μg/mL (Table S2).
Structurally, compounds 1–3 and 5–7 represent a rare class of azaphilones containing methylated side chains (a methyl group at C-9 in the C-3 side chain). Despite the identification of over 630 azaphilones to date, only 9 methylated side-chain-bearing azaphilones have been reported in the recent literature [12]. Notably, these reported analogues exhibit significant immunosuppressive activity [12]. In the present study, compounds 1–3 and 5–7 were screened for their proangiogenic potential in a zebrafish model, employing a concentration of 40 μM. As depicted in Figure 5, the blank control group exhibited normal growth in intersegmental blood vessels, whereas the model group exhibited significantly inhibited growth, validating the success of the model. Notably, compounds 3, 5, and 7 (at concentrations of 40 µM) demonstrated a statistically significant increase in the number of intersegmental blood vessels in the zebrafish, compared to the model group (Figure 5). This indicates that these compounds possess the ability to promote angiogenesis. In the cytotoxic assay, all of the compounds were inactive against the HepG2, A549, HCT116, Hela, MCF-7, and L02 cell lines.
Figure 5.
Results of the proangiogenic activities: (A) typical images of intersomitic vessels (ISVs) in transgenic fluorescent Tg(flk1:EGFP) zebrafish treated with PTK787 and 40 µM compounds 3, 5, and 7, using Danhong (10 µL/mL) as a positive control. Data are presented as the means ± SEM. ## p < 0.01 compared to the control group; ** p < 0.01 compared to the PTK787 group. (B) Quantitative analysis of the intersegmental blood vessels (ISVs) index (number of intact vessels × 1 + number of defective vessels × 0.5) in zebrafish.
3. Materials and Methods
3.1. General Experimental Procedures
The NMR spectra were measured by a Brucker AVANCE 400 MHz magnetic resonance spectrometer (Bruker, Fallanden, Switzerland) using solvent peaks methanol-d4 (δH 3.31 and δC 49.0) and CDCl3 (δH 7.26 and δC 77.0) as references. The HRESIMS spectra were measured by an Agilent InfinityLab LC/MSD mass spectrometer and Thermo Fisher high-resolution mass spectrometer (Thermo Fisher, Palo Alto, CA, USA). The UV dates were measured by an Agilent Cary60 UV-Vis Spectrophotometer (Agilent Technology, Santa Clara, CA, USA). The FTIR dates were acquired with a Nicolet 10 (Agilent Technology, USA). The ECD spectra were recorded on a Chirascan circular dichroism spectrometer using methanol. The analytical HPLC was tested by a Waters 1525 system with a UV detector and a reversed-phase C18 column (5 μm, 4.6 × 250 mm, Cosmosil, Kyoto, Japan). Semipreparative HPLC was run on a reversed-phase C18 column (5 μm, 10 × 250 mm, Cosmosil, Kyoto, Japan). The reversed-phase silica gel YMC GEL ODS-A-HG (YMC Group, Japan) was used for pressure column chromatography. Chromatography methanol was used for liquid phase analysis. The ethyl acetate, methanol, and dichloromethane used for the extraction and separation were all industrial-grade chemically pure products.
3.2. Fungal Material
In 2021, a fungal strain was isolated from sea mud collected from a specific site in Qinzhou city in the Beibu Gulf, Guangxi Zhuang Autonomous Region, China, at a longitude of 108.87 and a latitude of 21.74. After a thorough comparison of its growth morphology and gene sequencing, the fungus was conclusively identified as Neopestalotiopsis. The sequence data were deposited in DDBJ, EMBL, and GenBank with the accession number OR960964. The samples, designated as HN-1-6, have been archived at the College of Chemistry and Chemical Engineering, Guangxi Minzu University, China, for future reference and study.
3.3. Fermentation and Extraction
The fungal strain was preserved and inoculated into potato dextrose broth (PBD) at 28 °C for 3 days for cultivation. This culture was then transferred to a shaker to produce a seed solution. Two milliliters of this seed solution were inoculated into each of the conical flasks (100 bottles), each containing 80 g of rice and 120 mL of distilled water. After 30 days of culturing at ambient temperature, the fungal growth in one flask was halted by adding 200 mL of ethyl acetate. Subsequently, the flask underwent four rounds of ethyl acetate extraction, resulting in the extraction of a crude extract weight of 35.88 g.
3.4. Isolation and Purification
The crude extract was extracted with petroleum ether and 90% methanol–water to obtain 8.17 g of petroleum ether layer extract and 22.06 g of methanol layer extract. The methanol layer extract was fractionated by silica gel column using petroleum ether-EtOAc to obtain twenty-seven fractions (Fr.1~Fr.27). Fr.1 was separated by semipreparative HPLC to afford 9 (25.8 mg, 55% MeOH/H2O, 4.0 mL/min, tR = 18.4 min). Fr.5 to Fr.7 were purified by semipreparative HPLC to obtain 15 (7.4 mg, 55% MeOH/H2O, 4.0 mL/min, tR = 6.2 min), 11 (30.2 mg, 55% MeOH/H2O, 4.0 mL/min, tR = 10.7 min), 12 (23.4 mg, 55% MeOH/H2O, 4.0 mL/min, tR = 11.8 min), and 13 (14.9 mg, 55% MeOH/H2O, 4.0 mL/min, tR = 11.4 min). Fr.9 was separated by preparative HPLC to obtain 10 (10.7 mg, v/v, 10:90–100:0 MeOH/H2O, 10.0 mL/min, tR = 14.9 min). Fr.14–Fr.16 were subjected to a medium-pressure preparation liquid phase with MeOH-H2O (v/v, 10:90–100:0) to obtain seventeen subfractions (Fr.14.1–14.17). Fr. 14.10 was purified by semipreparative HPLC to obtain 7 (16.1 mg, 35% MeCN/H2O, 4.0 mL/min, tR = 8.9 min) and 16 (2.0 mg, 35% MeCN/H2O, 4.0 mL/min, tR = 5.2 min). Fr.14.12 was separated by semipreparative HPLC to obtain 3 (32.7 mg, 60% MeOH/H2O, 4.0 mL/min, tR = 10.4 min). Fr.11 was subjected to preparative HPLC with MeOH-H2O (v/v, 10:90–100:0) to obtain seven subfractions (Fr.11.1–11.7). Fr. 11.5 was purified by semipreparative HPLC to obtain 2 (2.2 mg, 30% MeCN/H2O, 4.0 mL/min, tR = 11.2 min), 5 (2.6 mg, 30% MeCN/H2O, 4.0 mL/min, tR = 15.5 min), 6 (1.6 mg, 30% MeCN/H2O, 4.0 mL/min, tR = 12.0 min), 8 (8.2 mg, 30% MeCN/H2O, 4.0 mL/min, tR = 22.1 min), and 14 (8.1 mg, 30% MeCN/H2O, 4.0 mL/min, tR = 18.8 min). Fr.11.6 was separated by semipreparative HPLC to afford 1 (1.3 mg, 60% MeOH/H2O, 4.0 mL/min, tR = 7.4 min). Fr.17 was separated by preparative HPLC with MeOH-H2O (v/v, 10:90–100:0) to obtain six subfractions (Fr.17.1–17.6). Fr. 17.3 was purified by semipreparative HPLC to obtain 4 (6.5 mg, 40% MeOH/H2O, 4.0 mL/min, tR = 25.8 min) and 17 (21.8 mg, 40% MeOH/H2O, 4.0 mL/min, tR = 13.2 min).
Compound 1: yellow oil; [+10 (c 0.0003, CH3OH); UV (CH3OH) λmax (logε): 201 (4.79), 348 (3.52) nm; ECD (1.2 mg/mL, CH3OH) λmax (∆ε) 190 (+2.30), 231 (+0.01), 248 (+0.15), 304 (−0.14), 339 (−0.06), and 369 (−0.12). 1H NMR (CD3OD, 400 MHz) and 13C NMR (CD3OD, 100 MHz) data, see Table 1; HRESIMS m/z 387.1782 [M + Na]+ (calcd. for C20H28NaO6 387.1778).
Compound 2: yellow oil; [−72 (c 0.002, CH3OH); UV (CH3OH) λmax (logε): 204 (3.91), 250 (3.53), 350 (4.05) nm; ECD (1.0 mg/mL, CH3OH) λmax (∆ε) 191 (−2.69), 249 (+4.57), 316 (−1.82), 339 (−1.59), 368 (−2.54); IR (film) νmax 3402, 2948, 2839, 2516, 2040, 1650, 1454, 1409, 1050, 1016, and 567 cm−1. 1H NMR (CD3OD, 400 MHz) and 13C NMR (CD3OD, 100 MHz) data, see Table 1; HRESIMS m/z 365.1958 [M + H]+ (calcd. for C20H29O6 365.1959).
Compound 3: yellow oil; [−57 (c 0.01, CH3OH); UV (CH3OH) λmax (logε): 213 (2.52), 249 (3.98), and 348 (4.39) nm; ECD (0.25 mg/mL, CH3OH) λmax (∆ε) 194 (+7.30), 204 (+0.63), 212 (+2.22), 233 (−0.76), 250 (−1.83), 314 (−2.29), 340 (−1.14), and 369 (−2.42); IR (film) νmax 3439, 2951, 2360, 2335, 1631, 1538, 1163, and 1017 cm−1. 1H NMR (CD3OD, 400 MHz) and 13C NMR (CD3OD, 100 MHz) data, see Table 1; HRESIMS m/z 363.1806 [M + H]+ (calcd. for C20H27O6 363.1802).
Compound 4: yellow feathery crystals; [−28 (c 0.003, CH3OH); UV (CH3OH) λmax (logε): 201 (4.84), 213 (4.64), 250 (4.01), and 320 (3.87) nm; ECD (0.25 mg/mL, CH3OH) λmax (∆ε) 208 (+12.73), 219 (+8.07), 242 (−0.93), and 258 (−5.05); IR (film) νmax 3439, 2971, 2917, 2844, 1653, 1176, 1134, 1030, and 1014 cm−1. 1H NMR (CD3OD, 400 MHz) and 13C NMR (CD3OD, 100 MHz) data, see Table 2; HRESIMS m/z 261.0742 [M + Na]+ (calcd. for C12H14NaO5 261.0733).
3.5. Bioassay Cytotoxic Assay
The HepG2, A549, HCT116, Hela, MCF-7, and L02 cell lines were obtained from the National Collection of Authenticated Cell Cultures (Wuhan, China). The experiment utilized the CCK-8 (Cell Counting Kit-8) method [19], whereby the sample was dissolved in DMSO (dimethyl sulfoxide) at a concentration of 20 mM. Tumor cells in the logarithmic growth phase were diluted to a cell suspension of 8 × 103 cells/mL. Following the inoculation of 100 μL of each well in a 96-well plate, the cells were cultured in a carbon dioxide incubator for 24 h. Following the removal of the original medium and the addition of 100 μL of compound diluent, the cells were incubated for a duration of 48 h. The absorbance was measured at a wavelength of 450 nm, and the inhibition rate was quantified. If the compound exhibited an inhibition rate exceeding 50% at a concentration of 50 μM, it signified significant inhibitory activity against tumor cells, and the half inhibitory concentration (IC50) was determined. Throughout the experiment, three replicates were conducted for each concentration measurement.
3.6. Antibacterial Assay
The bacterial activity of compounds was examined using the two-fold dilution method, employing 96-well plates [20]. Subsequently, 100 μL of Staphylococcus aureus solution was introduced to the 96-well plates, with drug concentrations ranging from 256 μg/mL to 0.5 μg/mL. Simultaneously, the experimental setup included the establishment of both the positive drug group and the negative control group, with three perforations designated for each drug concentration. Following an 18 h incubation period, the bacterial growth was observed and documented, subsequently enabling the determination of the minimum inhibitory concentration.
3.7. Proangiogenic Assay
DMSO was used to dissolve the compound sample to a certain concentration. The transgenic Tg (flk1:EGFP) zebrafish eggs were placed in an incubator at 28 °C for 20–24 hpf. The eggs were collected to remove the fish water and add pronase E (1 μg/mL). The egg membrane was removed to obtain zebrafish embryos. A total of 2 mL of fish water, tyrosine kinase receptor inhibitors vatalanib (PTK787), test samples, and 10 zebrafish embryos were added to 24-well plates, in turn, as the experimental groups. The system of adding fish water, 0.1% DMSO, and zebrafish embryos was used as the normal control group. The system of adding fish water, PTK787 and zebrafish embryos was used as the model group. The system of adding fish water, Danhong (10 μL/mL), PTK787, and zebrafish embryos was used as the positive drug group. Each group underwent three parallel experiments. After the experimental system was cultured at 28 °C for 24 h, the growth in the intersegmental blood vessels of the zebrafish was observed by OLYMPUS fluorescence microscope, and the proangiogenic activity of each sample was determined by GraphPad Prism 5.
4. Conclusions
Insufficient angiogenesis represents one of the most prevalent causes underlying cardiovascular disease. Developing novel, safe, and efficient proangiogenic drugs is an important approach for the prevention and treatment of cardiovascular diseases. Remarkably, from the fungus Neopestalotiopsis sp. HN-1-6, originating from the Beibu Gulf, 3 new azaphilones (1–3), 1 new phenylpropanoid (4), and 13 previously identified compounds (5–17) were isolated. Compounds 3, 5, and 7 exhibited proangiogenic activity in the zebrafish model at a concentration of 40 μM, without displaying cytotoxicity toward five human cell lines. These promising results indicate that these compounds could potentially serve as candidates in the development of innovative therapeutic agents targeting cardiovascular diseases.
Supplementary Materials
The following supporting information can be downloaded at: https://www.mdpi.com/article/10.3390/md22060241/s1, Figures S1–S37: the calculation results of 1H NMR chemical shifts, the results of antibacterial activity, HRESIMS, IR, 1D and 2D NMR spectra of all new compounds 1–4. Table S1. The calculated 1H NMR chemical shifts for (10R)-1/(10S)-1, (12R)-2/(12S)-2, and (9S,10R)-3/(9R,10S)-3. Table S2. Antibacterial activities of 3, 4 and 7-17 (MIC, μg/mL, n = 3).
Author Contributions
T.F. and Y.W. performed the isolation and structural determination of the compounds and wrote the manuscript; T.F., R.W., and L.Z. performed the cytotoxic assay, antimicrobial bioassays, and proangiogenic assay; C.W. revised the manuscript; P.W. performed the ECD calculations; F.K. supervised the manuscript. All authors have read and agreed to the published version of the manuscript.
Funding
This work was supported by Guangxi Natural Science Foundation under Grant (2021GXNSFBA220040), the Specific Research Project of Guangxi for Research Bases and Talents (AD22035018), the Natural Science Foundation of China (82360699), the Talent Scientific Research Initiation Project of Guangxi Minzu University (2020KJQD09 and 2021KJQD09), the Xiangsi Lake Youth Innovation Team Project of Guangxi Minzu University (2021RSCXSHQN01), the National Natural Science Foundation of China (No. 82204276), and the Guangxi Scholarship Fund of Guangxi Education Department.
Institutional Review Board Statement
The animal study protocol was approved by the Ethics Committee of the Biology Institute of Shandong Academy of Science (SWS20240204, 4 March 2024).
Data Availability Statement
The original data presented in the study are included in the article/Supplementary Material; further inquiries can be directed to the corresponding author.
Acknowledgments
We thank Peihai Li from Zebrafish Models for Human Diseases and Drug Screening of Shandong Province, Biology Institute, Qilu University of Technology (Shandong Academy of Sciences), for the evaluation of the proangiogenic activity for compounds in a zebrafish model.
Conflicts of Interest
The authors declare no conflicts of interest.
Correction Statement
This article has been republished with a minor correction to the Funding statement. This change does not affect the scientific content of the article.
References
- Zhao, D.; Liu, J.; Wang, M.; Zhang, X.; Zhou, M. Epidemiology of cardiovascular disease in China: Current features and implications. Nat. Rev. Cardiol. 2019, 16, 203–212. [Google Scholar] [CrossRef] [PubMed]
- Bernanke, D.; Velkey, J. Development of the coronary blood supply: Changing concepts and current ideas. Anat. Rec. 2002, 269, 198–208. [Google Scholar] [CrossRef] [PubMed]
- Pandya, N.; Dhalla, N.; Santani, D. Angiogenesis—A new target for future therapy. Vasc. Pharmacol. 2006, 44, 265–274. [Google Scholar] [CrossRef] [PubMed]
- Zahn, R.; Schiele, R.; Schneider, S.; Gitt, A.; Seidl, K.; Bossaller, C.; Schuler, G.; Gottwik, M.; Altmann, E.; Rosahl, W.; et al. Effect of preinfarction angina pectoris on outcome in patients with acute myocardial infarction treated with primary angioplasty (results from the Myocardial Infarction Registry. Am. J. Cardiol. 2001, 87, 1–6. [Google Scholar] [CrossRef] [PubMed]
- Tarvainen, S.; Wirth, G.; Juusola, G.; Hautero, O.; Kalliokoski, K.; Sjöros, T.; Nikulainen, V.; Taavitsainen, J.; Hytönen, J.; Frimodig, C.; et al. Critical limb-threatening ischaemia and microvascular transformation: Clinical implications. Eur. Heart J. 2024, 45, 255–264. [Google Scholar] [CrossRef] [PubMed]
- Löhr, H.; Hammerschmidt, M. Zebrafish in endocrine systems: Recent advances and implications for human disease. Annu. Rev. Physiol. 2011, 73, 183–211. [Google Scholar] [CrossRef] [PubMed]
- Gut, P.; Reischauer, S.; Stainier, D.; Arnaout, R. Little Fish, Big Data: Zebrafish as a Model for Cardiovascular and Metabolic Disease. Physiol. Rev. 2017, 97, 889–938. [Google Scholar] [CrossRef] [PubMed]
- Isogais, S.; Horiguchi, M.; Weinstein, B. The vascular anatomy of the developing zebrafish: An atlas of embryonic and early larval development. Dev. Biol. 2001, 230, 278–301. [Google Scholar] [CrossRef] [PubMed]
- Liao, S.; Han, L.; Zheng, X.; Wang, X.; Zhang, P.; Wu, J.; Liu, R.; Fu, Y.; Sun, J.; Kang, X.; et al. Tanshinol borneol ester, a novel synthetic small molecule angiogenesis stimulator inspired by botanical formulations for angina pectoris. Br. J. Pharmacol. 2019, 176, 3143–3160. [Google Scholar] [CrossRef] [PubMed]
- Wang, J.; Qin, Y.; Lin, M.; Song, Y.; Lu, H.; Xu, X.; Liu, Y.; Zhou, X.; Gao, C.; Luo, X. Marine natural products from the Beibu Gulf: Sources, chemistry, and bioactivities. Mar. Drugs 2023, 21, 63. [Google Scholar] [CrossRef] [PubMed]
- Tanapichatsakul, C.; Khruengsai, S.; Monggoot, S.; Pripdeevech, P. Production of eugenol from fungal endophytes Neopestalotiopsis sp. and Diaporthe sp. isolated from Cinnamomum loureiroi leaves. PeerJ 2019, 7, e6427. [Google Scholar] [CrossRef] [PubMed]
- Deng, M.; Chen, X.; Qiao, Y.; Shi, Z.; Wang, J.; Zhu, H.; Gu, L.; Qi, C.; Zhang, Y. Isolation, absolute configurations and bioactivities of pestaphilones A–I: Undescribed methylated side chain containing-azaphilones from Pestalotiopsis oxyanthi. Phytochemistry 2022, 194, 113045. [Google Scholar] [CrossRef]
- Deng, M.; Liu, Y.; Huang, Y.; Yin, X.; Zhou, Y.; Duan, Y.; Xie, S.; Guo, Y.; Qiao, Y.; Shi, Z.; et al. New bioactive secondary metabolites from the Anoectochilus roxburghii endophytic fungus Aspergillus versicolor. Fitoterapia 2020, 143, 104532. [Google Scholar] [CrossRef] [PubMed]
- Huang, C.; Xiong, J.; Guan, H.D.; Wang, C.H.; Lei, X.; Hu, J.F. Discovery, synthesis, biological evaluation and molecular docking study of (R)-5-methylmellein and its analogs as selective monoamine oxidase A inhibitors. Bioorg. Med. Chem. 2019, 27, 2027–2040. [Google Scholar] [CrossRef] [PubMed]
- Deng, M.; Chen, X.; Shi, Z.; Xie, S.; Qiao, Y.; Chen, G.; Tan, X.; Lu, Y.; Qi, C.; Zhang, Y. New immunosuppressive secondary metabolites from the endophytic fungus Aspergillus sp. Fitoterapia 2021, 151, 104882. [Google Scholar] [CrossRef] [PubMed]
- Xu, J.; Aly, A.H.; Wray, V.; Proksch, P. Polyketide derivatives of endophytic fungus Pestalotiopsis sp. isolated from the Chinese mangrove plant Rhizophora mucronata. Tetrahedron Lett. 2011, 52, 21–25. [Google Scholar] [CrossRef]
- Evidente, A.; Zonno, M.C.; Andolfi, A.; Troise, C.; Cimmino, A.; Vurro, M. Phytotoxic α-pyrones produced by Pestalotiopsis guepinii, the causal agent of hazelnut twig blight. J. Antibiot. 2012, 65, 203–206. [Google Scholar] [CrossRef] [PubMed]
- Ma, Z.; Yao, G.; Wang, C. Study on α-pyrone derivatives from marine-derived fungus Metarhizium sp. P2100. Chin. J. Mar. Drugs 2023, 42, 12–18. [Google Scholar]
- Wang, C.; Wang, L.; Fan, J.; Sun, K.; Zhu, W. Cytotoxic compounds from the deep-sea sediment-derived Streptomyces malaysiensis OUCMDZ-2167. Chin. J. Org. Chem. 2017, 37, 658–666, (In Chinese with English abstract). [Google Scholar] [CrossRef]
- Wu, M.; Liu, Y.; Yan, X.; Zhang, N.; Li, S.; Wang, S.; Shen, C.; Zhao, J. Antibacterial activities of flavonoid extracts of tartarybuckwheat bran and its effective components. J. Food Sci. Biotechnol. 2021, 40, 77–83, (In Chinese with English abstract). [Google Scholar]
Disclaimer/Publisher’s Note: The statements, opinions and data contained in all publications are solely those of the individual author(s) and contributor(s) and not of MDPI and/or the editor(s). MDPI and/or the editor(s) disclaim responsibility for any injury to people or property resulting from any ideas, methods, instructions or products referred to in the content. |
© 2024 by the authors. Licensee MDPI, Basel, Switzerland. This article is an open access article distributed under the terms and conditions of the Creative Commons Attribution (CC BY) license (https://creativecommons.org/licenses/by/4.0/).




