Abstract
The blue alga Spirulina platensis has presented several pharmacological activities, highlighting its actions as an anti-inflammatory and antioxidant. In addition, there are few studies with the influence of strength training on physiological parameters, as intestinal contractility and oxidative cell damage. We evaluated the influence of S. platensis supplementation, strength training, and its association on contractile reactivity of rat ileum, as well as the balance of oxidative stress/antioxidant defenses. Methods: Male Wistar rats were divided into; sedentary (S); S + supplemented with algae at 50 (S50), 150 (S150), and 500 mg/kg (S500); trained (T); and T + supplemented (T50, T150, and T500). Contractile reactivity was analyzed by kymographs; oxidative stress on ileum by the malondialdehyde (MDA) formation; and the antioxidant capacity by 2,2-diphenyl-1-picrylhydrazyl (DPPH) method. S. platensis supplementation reduced the reactivity of rat ileum to carbachol (CCh) and KCl, while training reduced only the CCh efficacy. In addition, association potentiated the reduction on contractile reactivity. Supplementation reduced the oxidative stress and increased oxidation inhibition; training alone did not alter this parameter, however association potentiated this beneficial effect. Therefore, this study demonstrated that both supplementation and its association with strength training promote beneficial effects regarding intestinal contractile reactivity and oxidative stress, providing new insights for intestinal disorders management.
1. Introduction
The use of natural products by humans comes from many years and science that has increasingly recognized its active action, including in modern pharmacotherapy with various drugs of vegetable origin [1,2]. Besides these products, there are those from aquatic origin, which, unlike the plants, are not commonly used in traditional medicine [3].
Despite this, several studies have reported the pharmacological importance of metabolites derived from aquatic products, such as chemotherapeutic, anti-inflammatory, hypoglycemic, and antioxidant activities [4,5,6]. In this way, aquatic bioactive products may be used as a therapeutic tool for many diseases, and therefore should be more studied for new discoveries in the field of pharmacology and therapeutics.
Some aquatic products have been already marketed and used as food supplements, such as the blue-green algae Spirulina platensis. It belongs to the Cyanobacterial phylum and the family Spirulinaceae [7] and has been widely used due its nutritional value. Furthermore, several studies have reported its importance for the treatment of cardiovascular, metabolic, and inflammatory diseases, in addition to its antioxidant properties [8,9,10]. Brito et al., 2018 [11] showed that chronic supplementation with S. platensis decreased contractile reactivity and increased relaxing activity. Also, it was shown that the factors that accompanied this improvement in reactivity involve the release of nitric oxide and reduction in oxidative stress and systemic inflammation. Accordingly, these data demonstrated for the first time that the synergistic action between strength training and S. platensis results in improving vascular reactivity.
Changes in intestinal contractility are responsible for several symptoms like colic, diarrhea, and constipation [12], and S. platensis has presented beneficial effects in gastrointestinal inflammatory diseases, such as colitis [13]. S. platensis was found to have beneficial effects in constipation, enhancing gut peristalsis, curing the inflammatory reaction in the chorionic villus, and modulating the composition of the intestinal microbiota of mice [14]. However, there is a lack of studies about the effect of this algae on the intestinal contractile reactivity.
Physical exercise has been recommended as a therapeutic tool for the prevention and treatment of diseases and disorders of the gastrointestinal tract. The acute and chronic aerobic swimming exercise modifies the contractile gastrointestinal reactivity, thus contributing to the improvement of these gastrointestinal symptoms [15,16]. However, nothing has been demonstrated about the influence of anaerobic exercise of resistance on intestinal contractility, and the effects of the combination of exercise and S. platensis supplementation.
Thus, based on the beneficial effects of S. platensis for health and the influence of physical exercise on organ and body systems functioning, the aim of this study was to evaluate the effect of S. platensis supplementation, strength exercise, and its combination, on the contractile reactivity of rat ileum.
2. Results
2.1. Electromechanical Coupling Contractile Reactivity Measurement
Cumulative concentration–response curves to KCl (10−3 to 3 × 10−1 M) (n = 3–5) were attenuated, with reduction on Emax values, by the supplementation with S. platensis at the doses of 50, 150, and 500 mg/kg compared to control (p < 0.05). The strength training did not modify the efficacy of KCl in relation to S; however, the supplementation of trained animals with the algae reduced the efficacy of KCl at doses of 50 and 150 mg/kg (p < 0.05), compared to S, but not at 500 mg/kg. Analysis of pEC50 values showed that the supplementation with the algae at 50 mg/kg increased the potency of KCl (p < 0.05), compared to S; however, this was not observed at doses of 150 and 500 mg/kg. In addition, the training or the association with the algae did not alter this parameter, compared to control group (Figure 1, Table 1).
Figure 1.
Cumulative concentration-response curves to KCl in S, S50, S150, S500 (A), and T, T50, T150, and T500 groups (B) in rat ileum. Symbols and the bars represent the mean and e.p.m., respectively (n = 3–5).Two-way ANOVA followed by Tukey’s post-test: * p < 0.05 (S vs. S50, S500, T50, and T150), # p < 0.05 (S50 and S500 vs. S150; T vs. T50 and T150), γ p < 0.05 (T50 and T150 vs. T500).
Table 1.
Values of Emax (%) and pEC50 of KCl in the S, S50, S150, S500, T, T50, T150, and T500 groups in rat ileum.
2.2. Pharmacomechanical Coupling Contractile Reactivity Measurement
Cumulative concentration–response curves to CCh (10−9 to 10−4 M) (n = 3–5) were attenuated, with the reduction of Emax, by supplementation with S. platensis at doses of 150 and 500 mg/kg, but not at 50 mg/kg (p < 0.05). The strength exercise also reduced the efficacy of CCh, as well as its combination with supplementation at all doses (p < 0.05). Regarding the pEC50 values, only 500 mg/kg increased the potency of CCh, without association with training (p < 0.05) (Figure 2, Table 2).
Figure 2.
Cumulative concentration-response curves to CCh in S, S50, S150, and S500 (A), and T, T50, T150, and T500 groups (B) of rat ileum. Symbols and the bars represent the mean and e.p.m., respectively (n = 3–5). One-way ANOVA followed by Tukey’s post-test: * p < 0.05 (S or S50 vs. S150 and S500; S vs. T, T50, T150 and T500), # p < 0.05 (S150 vs. S500; T and T150 vs. T50).
Table 2.
Values of Emax (%) and pEC50 of KCl in the C, C50, C150, C500, T, T50, T150, and T500 groups in rat ileum.
2.3. Lipid Peroxidation Assay
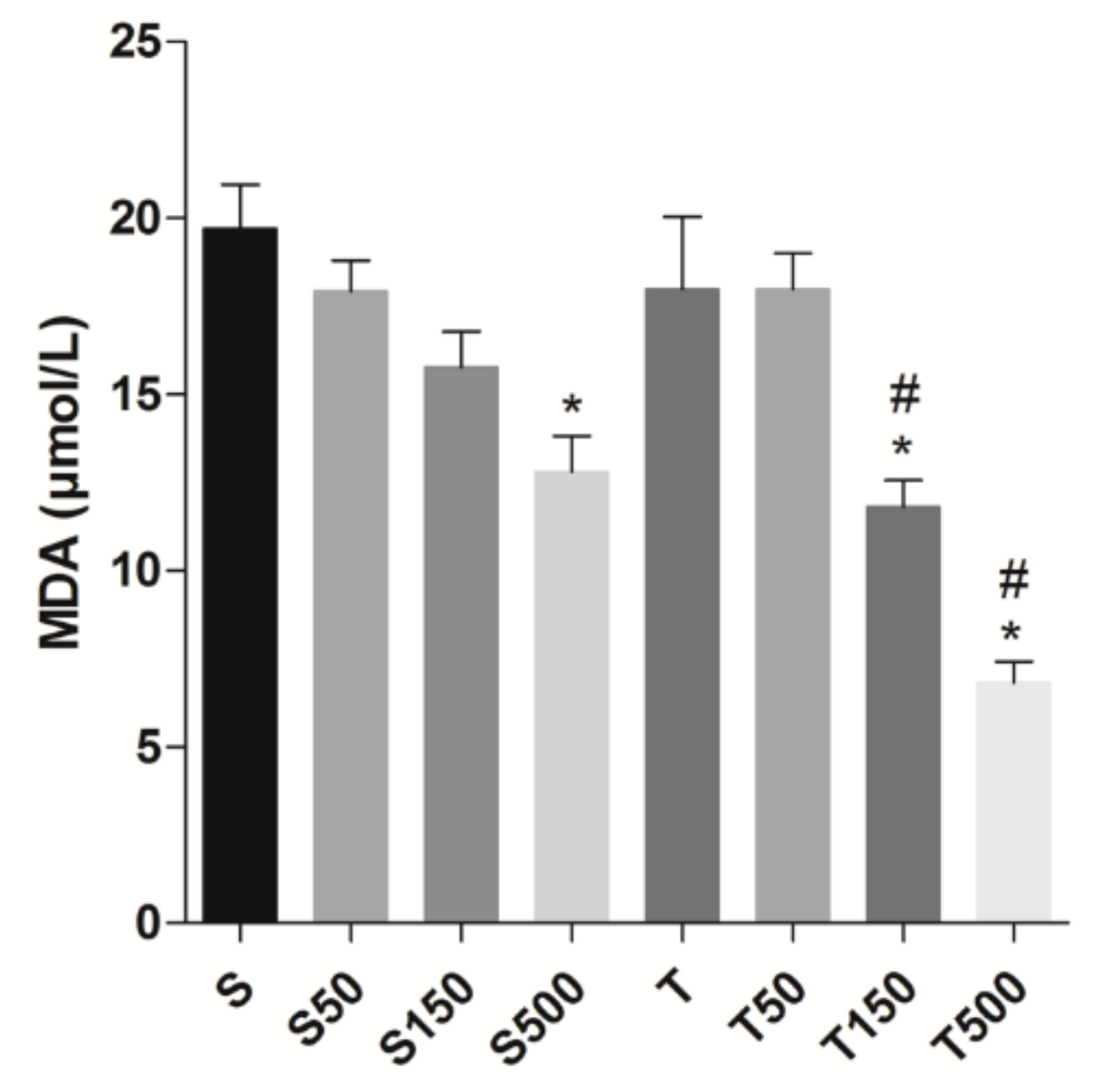
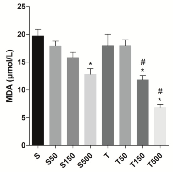
The MDA concentration in rat ileum (n = 5) was decreased from 19.7 ± 1.2 (S) to 12.8 ± 1.0 μmol/L by supplementation with S. platensis only at 500 mg/kg (p < 0.05), but did not differ in S50 (17.9 ± 0.0 μmol/L) and S150 (15.8 ± 1.0 μmol/L). The strength training did not alter the MDA levels in ileum 18.0 ± 2.0 μmol/L, as well as its combination with the algae at 50 mg/kg (18.0 ± 1.0 μmol/L); however, the supplementation of exercised animals at 150 and 500 mg/kg reduced the MDA concentrations to 11.8 ± 0.8 and 6.8 ± 0.6 μmol/L (Figure 3).
Figure 3.
Concentration of MDA (μmol/mL) of S, S50, S150, S500, T, T50, T150, and T500 groups in rat ileum. Columns and vertical bars represent the mean ± S.E.M., respectively (n = 5). Two-way ANOVA followed by Bonferroni’s post-test: * p < 0.05 (S vs. S500; T vs. T150 and T500); # p < 0.05 (T50 vs. T150 and T500).
2.4. Antioxidant Assay
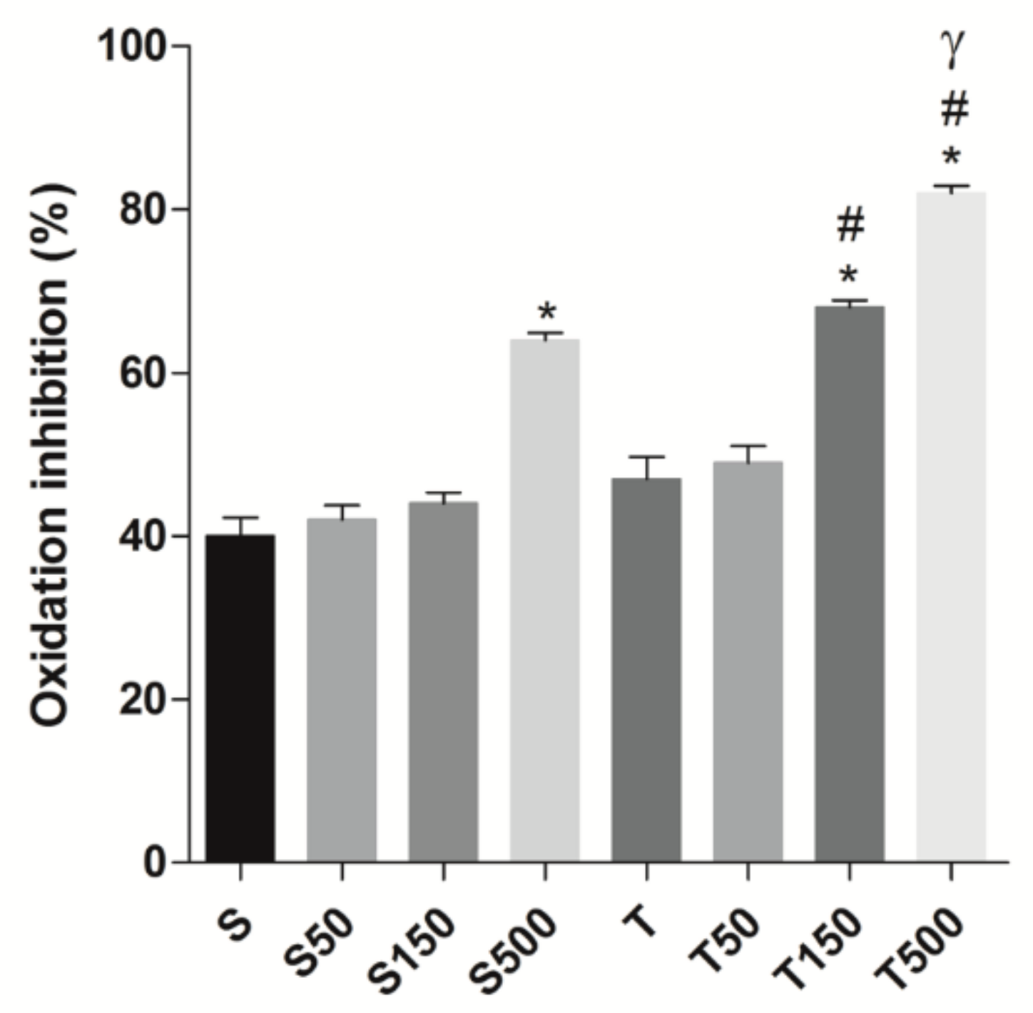
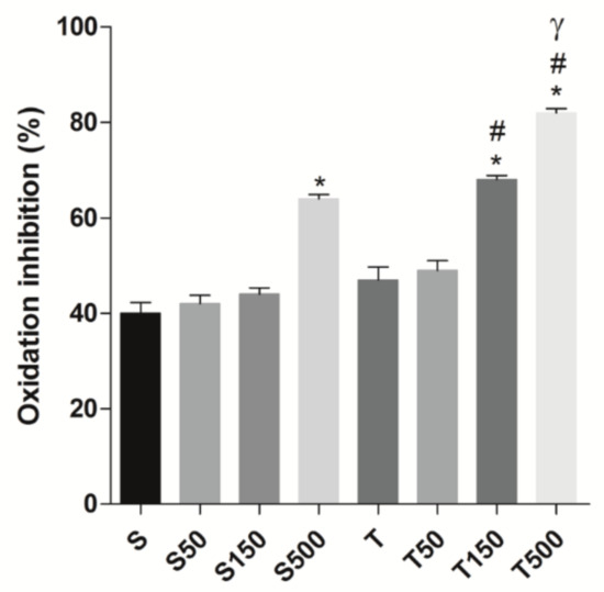
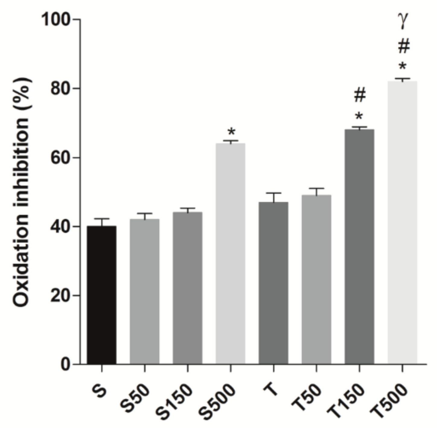
The oxidation inhibition, based on DPPH concentration, in rat ileum (n = 5) from S group (40.0 ± 5.0%) was not altered by supplementation with algae at 50 (42.0 ± 4.0%) and 150 mg/kg (44.0 ± 3.0%); but was increased to 64.0 ± 0.9% at 500 mg/kg. The strength exercise did not alter this parameter (49.0 ± 5.0%), as well as its combination with S. platensis supplementation at 50 mg/kg (49.0 ± 5.0%); however, at 150 (68.0 ± 2.0%) and 500 mg/kg (82.0 ± 2.0%), the supplementation associated with training increased the oxidation inhibition on rat ileum (Figure 4).
Figure 4.
Oxidation inhibition (%) in the S, S50, S150, S500, T, T50, T150, and T500 groups in rat ileum. Columns and vertical bars represent the mean ± S.E.M. respectively (n = 5). Two-way ANOVA followed by Bonferroni’s post-test: * p < 0.05 (S vs. S500; T vs. T150 and T500); # p < 0.05 (T50 vs. T150 and T500); γ p < 0.05 (T150 vs. T500).
3. Discussion
In this work, we investigated the modulation of contractile reactivity of rat ileum by food supplementation with the blue algae Spirulina platensis, strength exercise and the association of supplementation with training, as well as its effects on the balance between oxidative stress and antioxidant defenses. As a result, we demonstrated that algae supplementation reduces the maximum amplitude of the intestinal contractile response to both electro- and pharmaco-mechanical stimulation, in sedentary animals or those submitted to strength exercise. However, the physical exercise alone negatively modifies only the reactivity to pharmacomechanical coupling of contraction. Additionally, although the exercise program did not promote alterations in the overall balance between reactive oxygen species (ROS) production and antioxidant defenses in the intestine, algae supplementation reduced oxidative stress as well as improved intestinal antioxidant defenses in both sedentary and trained rats.
The importance of natural products as a therapeutic choice for numerous diseases has been already described. Among these natural products, the aquatic algae Spirulina platensis is highlighted, having presented some pharmacological activities, such as hypoglycemic, anti-inflammatory and antioxidant, contributing to the prevention and treatment of cardiovascular, metabolic, and inflammatory diseases [12]. Indeed, studies with animals and humans have demonstrated that the supplementation with the algae prevents oxidative stress, as well as the endothelial dysfunction [17,18].
We postulated that oral supplementation with S. platensis could alter, in some way, the intestinal contractile reactivity, which modifies the gastrointestinal functioning. For this, CCh, a muscarinic agonist, was used as pharmacomechanical contractile agent mimicking the acetylcholine (ACh) effects, as it is released from myenteric autonomic nerves to regulate intestinal smooth muscle motility [19,20]. This agonist binds to M3 receptors, which leads to Gq/11 protein pathway activation, and stimulation of phospholipase C, resulting on Ca2+ influx and release from sarcoplasmic reticulum and, then, intestinal muscle contraction [21,22,23,24]. Additionally, to simulate the electric pacemaker of interstitial cells of Cajal located at the boundaries and in the substance of the inner smooth muscle layer, from which they spread to the outer longitudinal smooth muscle layer, KCl was employed, as it depolarizes the cell membrane, resulting in Ca2+ influx by voltage-sensitive Ca2+ channels (CaV) [25,26].
Our data showed that S. platensis, at 50, 150, and 500 mg/kg, reduced the ileum reactivity to KCl (Figure 1A, Table 1). On the other hand, supplementation reduced, in a dose-dependent manner, the ileum reactivity for CCh at 50 and 150 mg/kg, however, at 500 mg/kg, this effect was not observed (Figure 2A, Table 2). These data indicate that algae supplementation reduces the Ca2+ influx through CaV on smooth muscle or on myenteric nerves, which additionally could reduce the release of neurotransmitters, as ACh, explaining the reduced efficacy of the agonist in the animals supplemented with the algae. Furthermore, the contractile potency of KCl and CCh was increased, despite the reduced efficacy, at 50 and 500 mg/kg, respectively, since its pEC50 was increased at these doses. Since the increased potency of stimulation is associated by an augment in the number of receptors on cell membrane [27], this find can be explained by an increase expression of CaV and M3 (or a combination of both) promoted by the algae, probably as a compensatory mechanism for the reduced ACh release. However, the elucidation of the obtained results requires additional research; such statement can be confirmed by the examination of ACh levels in the ileum.
Physical exercise is characterized by removing the organism from homeostasis, due to the increased energy expenditure by the musculature, leading to physiological responses [28]. During exercise, the blood flow is diverted in greater quantities for the musculature and skin to oxygenate these tissues, leading to the splanchnic ischemia-reperfusion process. Because of this, these processes can generate reactive oxygen species, which disrupts normal cellular functioning due to the oxidative stress, which alters the function of macromolecules [29]. However, just as reactive oxygen species are generated, there is the antioxidant defense that fights these free radicals, and the body returns to homeostasis.
Some studies which have focused on the effects of strength training on organ functioning, especially vascular beds, have demonstrated vascular function improvement by strength exercise [30,31,32,33]. In addition, these studies showed a reduction on vascular reactivity by this modality of exercise [34]. However, concerning the gastrointestinal tract, little is known about the effects of physical exercise. The exercise promotes ischemia and motor changes in the intestine and intestinal mucosa [35], and shows that swimming as an acute and chronic aerobic exercise reduces ileum reactivity to both KCl and CCh [15,16]; however the influence of anaerobic exercise of resistance was not evaluated so far.
Then, we evaluated the influence of strength exercise on ileum reactivity and the combination with S. platensis supplementation, in view of a possible potentiation on the beneficial effects when associated; however, initially we confirmed the effectiveness of exercise by observing an increase in the time to perform the exercise sessions, and that the program of strength exercise with progressive loads does not promote an overtraining [36], observing that the activity of lactate dehydrogenase (LDH) and creatine kinase (CK) were not increased (data not showed).
We observed that the training decreased the reactivity of rat ileum to CCh, but not to KCl, indicating a preferential effect on ACh release than on CaV expression or activity. Additionally, when combined with the algae, there was a potentiation on the reduction on contractile reactivity, since this effect was observed at lower doses than occurred on sedentary rats (Figure 1 and Figure 2, Table 1 and Table 2), for both contractile agents. Therefore, these data reinforce a potentiation promoted by the algae on the effects of strength exercise on rat ileum contractility.
Despite these hypotheses, the data obtained do not allow an in-depth analysis of the mechanisms involved in these alterations, and additional studies are necessary to mechanistically elucidate these findings.
Studies of acute and chronic swimming exercise have shown that acute exercise does not promote oxidative stress in rat ileum. Furthermore, there is an increase after four weeks of exercise, but after six to eight weeks, oxidative stress is reduced, showing that the body underwent physiological changes to adapt to exercise and returned to homeostasis [15,16]. However, regarding the strength exercise, there are not data showing its effect on the balance oxidative stress and antioxidant defenses.
Literature data shows that S. platensis presents antioxidant activity due to the pigment phycocyanin, a very stable molecule and free radical scavenger [37], beyond its inhibitory effect on the production of superoxide anion [38,39]. In addition, other constituents contribute to the antioxidant benefits of the algae, as carotenoids, that regulate superoxide dismutase (SOD) and catalase (CAT), as well as block free radicals by chelation of metal ions, preventing lipid peroxidation; and vitamins B and E, that act as antioxidants via capture of radicals and metal chelating agents [40].
Our data showed that food supplementation with the algae, at the higher dose (500 mg/kg), decreased the level of oxidative stress in rat ileum, since there was a reduction in the MDA concentration measured; an oxidative damage marker formed by oxidation of lipid of cell membrane [41]. Differently, the strength training did not alter the formation of ROS, but the association of exercise and S. platensis supplementation reduced this parameter at 150 and 500 mg/kg (Figure 3), indicating that this combination promotes beneficial effect regarding the prevention of cell oxidative damage. Confirming these data, it was observed that both supplementation (500 mg/kg) and the association, at the same doses, improved the antioxidant capacity of rat ileum (Figure 4).
Taken together, these data point to a possible beneficial effect of food supplementation with S. platensis, as well as its association with strength training—this is preliminary data that needs further testing, including in humans to confirm possible effects such the reduction of oxidative damage in the intestine, which may contribute for a better intestinal functioning, especially during exposure to stress.
4. Material and Methods
4.1. Animals
Wistar rats (Rattus norvegicus), initially 2-months-old, weighing 200–300 g, were obtained from animal production unit of UFPB. The animals were kept under restricted food control with balanced diet (Labina®, São Paulo, Brazil), to avoid large differences in body weight and density, and had access to water ad libitum. They were maintained in rooms at 21 ± 1 °C and submitted to a 12 h light-dark cycle (light on from 6 to 18 h). Forty-eight hours after the last exercise session, the animals were fasted for 18 h (receiving only water ad libitum during this period), to avoid the influence of substances released during digestion, and then euthanized by cervical dislocation followed by cervical vessels section to proceed with the experimental analysis.
All experimental procedures were performed following the principles of animal care of the Guidelines for the ethical use of animals in applied etiology studies [42] and previously approved by UFPB Ethics Committee on Animal Use (Protocol/CEUA 0511/13).
4.2. Drugs
Calcium chloride bihydrate (CaCl2·2H2O), magnesium chloride hexahydrate (MgCl2·6H2O), and glucose (C6H12O6) were purchased from Vetec (Darmstadt, Germany). Sodium bicarbonate (NaHCO3) was purchased from Fmaia (Belo Horizonte, Brazil). Sodium chloride (NaCl) and potassium chloride (KCl) were purchased from Química Moderna (São Paulo, Brazil). Monosodium dihydrogen orthophosphate (NaH2PO4), sodium hydroxide (NaOH) and hydrochloric acid (HCl) were purchased from Nuclear (Brazil). These substances were employed in the physiological Tyrode solution for functional experiments. Carbamylcholine hydrochloride (CCh) was purchased from Merck (Darmstadt, Germany). Thiobarbituric acid, tetramethoxypropane and perchloric acid were purchased from Sigma-Aldrich (St. Louis, MO, USA). Carbogen mixture (95% O2 and 5% CO2) was obtained from White Martins (Danbury, CT, USA).
4.3. Spirulina Platensis
S. platensis was obtained as powder from the Dongtai Top Bio Engineering Co., Ltd. (Nanjing, China) (lot 20130320). A sample was analyzed for quality control by Farma Nostra laboratory (Anápolis, Goiás, Brazil) (Lot 1308771A) and handled by Dilecta pharmacy (João Pessoa, Paraíba, Brazil) (lot 20121025).
4.4. Experimental Protocol
Animals were divided into eight groups (five animals in each): Sedentary (S), trained (T), sedentary and supplemented with S. platensis at 50 (S50), 150 (S150), and 500 mg/kg (S500), and a combination of training and supplementation at 50 (T50), 150 (T150), and 500 mg/kg (T500).
Animals of trained groups were submitted to a specific program of water jumping; for this, water was heated to around 32 °C [43]. The week of adaptation was consisted of three alternating sessions of exercise (1st day: 2 sets × 5 jumps, 2nd day: 4 sets × 5 jumps, and 3rd day: 4 sets × 5 jumps), with an overload of 50% of the body weight. The strength training program consisted of 4 sets of 12 repetitions, with a 30 second interval between sets; a progressive load was adjusted according to the animal weight, being 50% (1st and 2nd week), 60% (3th and 4th week), and 80% of body weight (5th to 8th week), anchored in the trunk of the animals by a vest. After 48 h from the end of the training, the animals were euthanized and the ileum was isolated (Figure 5).
Figure 5.
Strength training program. Adaptation period: 1–3 days; and strength training protocol: 1–8 weeks.
For supplementation with S. platensis, the algae was dissolved in saline solution and orally administrated by gavage (volume: 2.5 mL/animal) along 8 weeks [44]. For trained + supplemented animals, administration was performed 30 min before exercise session and sedentary animals received saline solution [45].
4.5. Contractile Reactivity Measurement
Animals were euthanized. The ileum was immediately removed, cleaned of fat and connective tissue, and immersed in physiological solution at room temperature and bubbled with carbogen mixture. To register isotonic contractions, ileum segments (2–3 cm) were suspended by cotton yarn in organ bath (5 mL) and recorded on smoked drum through levers coupled to kymographs (DTF) under resting tension of 1.0 g at 37 °C [46]. The organ baths were warmed by a thermostatic pump Polystat 12,002 Cole-Palmer (Vernon Hills) and bathed by a Tyrode solution (pH 7.4) with the following composition (in mM): NaCl (150.0), KCl (2.7), CaCl2 (1.8), MgCl2 (2.0), NaHCO3 (12.0), NaH2PO4 (0.4), and d-glucose (5.5). After 30 min of stabilization period, an isotonic contraction was induced with KCl 30 mM, to verify the functionality of the organ, and 15 min after two similar cumulative concentration-response curves to KCl or CCh were obtained, as electro- and pharmaco-mechanical coupling contractile agents. The reactivity of ileum to that agents was assessed and compared between groups based on the values of maximum effect (Emax) and negative logarithm of the concentration of contractile agents producing 50% of its maximal effect.
4.6. Lipid Peroxidation Assay
Lipid peroxidation in ileum was determined measuring the chromogenic product of 2-thiobarbituric acid (TBA) reaction with malondialdehyde (MDA), which is one of the products formed because of membrane lipid peroxidation [47]. Ileum segments from each animal were homogenized with KCl (1:1) and 250 μL of tissue homogenate were incubated at 37 °C for 60 min. Then, the mixture was precipitated with 35% perchloric acid and centrifuged at 1.207 g for 20 min at 4 °C. The supernatant was transferred to Eppendorf® tubes and 400 μL of TBA 0.6% were added and incubated at 95–100 °C for 1 h. After cooling, the samples were read in spectrophotometer at wavelength of 532 nm. The results were expressed in μmol/L per gram of dry tissue.
4.7. Antioxidant Assay
Ileum segments from each animal were homogenized with KCl (1:1), centrifuged at 1.198× g for 10 min and 250 μL of supernatant were incubated at 37 °C for 60 min. Then, 100 μL of the tissue was added in an Eppendorf® tube with 2 mL of 2,2-diphenyl-1-picrylhydrazyl (DPPH) solution (1.25 mL DPPH dissolved in 100 mL ethanol). The tubes were vortexed and allowed to stand for 30 min. They were centrifuged at 7.489× g at 20 °C for 15 min. Then, the samples were read in spectrophotometer at a wavelength of 515 nm.
The results were expressed as a percentage of oxidation inhibition, following the equation:
where (DPPH-R)S and (DPPH-R)W correspond to the concentration of DPPH- remaining after 30 min, measured in the sample (S) and white (W) prepared with distilled water [48].
AOA = 100 − [(DPPH-R)S/(DPPH-R)W × 100]
4.8. Statistical Analysis
Data were expressed as mean ± standard error of mean (S.E.M.). Cumulative concentration-response curves were fitted and pEC50 values were obtained by non-linear regression [28]. Multiple comparisons were performed by one- or two-way ANOVA followed by Tukey or Bonferroni’s post-test. The differences were considered significant when p < 0.05. All data were analyzed using GraphPad Prism® software version 5.01 (GraphPad Software Inc., California, LA, USA).
5. Conclusions
An experimental model of smooth muscle is important for studying its functioning and new pharmacological and non-pharmacological strategies for the treatment of disorders, such as those affecting the intestinal tract. Our data point to a possible beneficial effect of food supplementation with S. platensis, as well as its association with strength training on oxidative stress and contractile reactivity. This is preliminary data needs further testing, including in humans, to confirm possible effects of the reduction of oxidative damage in the intestine, which may contribute for a better intestinal functioning, especially during exposure to stress.
Author Contributions
L.C.C.A. performed the experiments and performed the original draft of manuscript; A.F.B. participated in the strength training protocol an biochemical assays acquisition; I.L.L.S. performed part of the intestinal contractile reactivity experiments and participated in the editing and review of manuscript; P.B.F. executed part of contractile reactivity experiments; L.H.C.V. performed part of the strength training protocol, intestinal contractile reactivity experiments and reviewed and edited the original draft; A.S.S. assisted with the analysis of lipid peroxidation and antioxidant assay experiments and B.A.S. conceptualized the work, assisted with the data analysis and discussed the results. All authors have read and agreed to the published version of the manuscript.
Funding
This research was funded by Conselho Nacional de desenvolvimento Científico e Tecnológico (CNPq), grant number 433232/2016-1.
Acknowledgments
The authors thank Universidade Federal da Paraíba (UFPB) and Graduate Program in Cellular and Molecular Biology for experimental support, and José Crispim Duarte and Luís C. Silva for providing technical assistance. Coordenação de Aperfeiçoamento de Pessoal de Nível Superior (Capes) and Conselho Nacional de Desenvolvimento Científico e Tecnológico(CNPq) supported this research.
Conflicts of Interest
The authors declare no conflict of interest.
Abbreviation List
| Sedentary (S) |
| S + supplemented with algae at 50 (S50) 150 (S150) |
| S + supplemented with algae at 150 (S150) |
| S + supplemented with algae at 500 mg/kg (S500) |
| Trained (T) |
| T + supplemented (T50, T150, and T500) |
| 2,2-diphenyl-1-picrylhydrazyl (DPPH) |
| Malondialdehyde (MDA) |
| Carbachol (CCh) |
| Potassium chloride (KCl) |
| Maximum effect (Emax) |
| pEC50 |
| Reactive oxygen species (ROS) |
| Acetylcholine (ACh) |
| Ca2+ channels (CaV) |
| Lactate dehydrogenase (LDH) |
| Creatine kinase (CK) |
| Superoxide dismutase (SOD) |
| Catalase (CAT) |
| Calcium chloride bihydrate (CaCl2.2H2O) |
| Magnesium chloride hexahydrate (MgCl2.6H2O) |
| Glucose (C6H12O6) |
| Sodium bicarbonate (NaHCO3) |
| Sodium chloride (NaCl) |
| Monosodium dihydrogen orthophosphate (NaH2PO4) |
| Sodium hydroxide (NaOH) |
| Hydrochloric acid (HCl) |
| Carbamylcholine hydrochloride (CCh) |
| 2-thiobarbituric acid (TBA) |
References
- Newman, D.J.; Cragg, G.M.; Snader, K.M. Natural products as sources of new drugs over the period 1981–2002. J. Nat. Prod. 2003, 66, 1022–1037. [Google Scholar] [CrossRef] [PubMed]
- Petrovska, B.B. Historical review of medicinal plants’ usage. Pharmacogn. Rev. 2012, 6, 1–5. [Google Scholar] [CrossRef] [PubMed]
- Pan, S.Y.; Litscher, G.; Gao, S.H.; Shou, S.F.; Yu, Z.L.; Chen, H.Q.; Zhang, S.F.; Tang, M.K.; Sun, J.N.; Ko, K.M. Historical perspective of traditional indigenous medical practices: The current renaissance and conservation of herbal resources. J. Evid. Based Complementary Altern. Med. 2014. [Google Scholar] [CrossRef] [PubMed]
- Riccioni, G.; D’orazio, N.; Franceschelli, S.; Speranza, L. Marine carotenoids and cardiovascular risk markers. Mar. Drugs 2011, 9, 1166–1175. [Google Scholar] [CrossRef]
- Blunt, J.W.; Copp, B.R.; Keyzers, R.A.; Munro, M.H.G.; Prinsep, M.R. Marine natural products. Nat. Prod. Rep. 2012, 29, 144–222. [Google Scholar] [CrossRef]
- Yamazaki, D.A.; Sumilat, S.; Kanno, S.; Ukai, K.; Rotinsulu, H.; Wewengkang, D.S.; Ishikawa, M.; Mangindaan, R.E.P.; Namikoshi, M. A polybromodiphenyl ether from an Indonesian marine sponge Lamellodysidea herbacea and its chemical derivates inhibit protein tyrosine phosphatase 1B, an important target for diabetes treatment. J. Nat. Med. 2013, 67, 730–735. [Google Scholar] [CrossRef]
- Ciferri, O. Spirulina, the edible microorganism. Microbio.l Rev. 1983, 47, 551–578. [Google Scholar] [CrossRef]
- Riss, J.; Decorde, K.; Sutra, T.; Delage, M.; Baccou, J.C.; Jouy, N.; Brune, J.P.; Oreal, H.; Cristol, J.P.; Rouanet, J.M. Phycobiliprotein Cphycocyanin from Spirulina platensis is powerfully responsible for reducing oxidative stress and NADPH oxidase expression induced by an atherogenic diet in hamsters. J. Agric. Food Chem. 2007, 55, 7962–7967. [Google Scholar] [CrossRef]
- Park, H.J.; Lee, Y.J.; Ryu, H.Q.; Kim, M.H.; Chung, H.W.; Kim, W.Y. A randomized double-blind, placebo-controlled study to establish the the effects os Spirilina in elderly Koreans. Ann. Nutr. Metab. 2008, 52, 322–328. [Google Scholar] [CrossRef]
- Ku, C.S.; Pham, T.X.; Park, Y.; Kim, B.; Shin, M.; Kang, I.; Lee, J. Edible blue-green algae reduce the production of pro-inflammatory cytokines by inhibiting NF-kB pathway in macrophages and splenocytes. Biochem. Biophys. Acta 2013, 1830, 2981–2989. [Google Scholar] [CrossRef]
- Brito, A.F.; Silva, A.S.; Souza, A.A.; Ferreira, P.B.; Souza, I.L.L.; Araujo, L.C.C.; Félix, G.S.; Sampaio, R.S.; Silva, M.C.C.; Tavares, R.L.; et al. Aortic Response to Strength Training and Spirulina platensis Dependent on Nitric Oxide and Antioxidants. Front Physiol. 2018, 9, 1522. [Google Scholar] [CrossRef] [PubMed]
- Wang, Y.; Wisloff, U.; Kemi, O.J. Animal models in the study of exercise-induced. Physiol. Res. 2010, 59, 633–644. [Google Scholar] [PubMed]
- Abdel-Daim, M.M.; Frouk, S.M.; Madkour, F.F.; Azab, S.S. Anti-inflammatory and immunomodulatory effects of Spirulina platensis in comparison to Dunaliella salina in acetic acid-induced rat experimental colitis. J. Immunopharmacol. Immunotoxicol. 2015, 37, 126–139. [Google Scholar] [CrossRef] [PubMed]
- Ma, H.; Xiong, H.; Zhu, X.; Ji, C.; Xue, J.; Li, R.; Ge, B.; Cui, H. Polysaccharide from Spirulina platensis ameliorates diphenoxylate-induced constipation symptoms in mice. Int. J. Biol. Macromol. 2019, 133, 1090–1101. [Google Scholar] [CrossRef] [PubMed]
- Araujo, L.C.C.; Souza, I.L.L.; Vasconcelos, L.H.C.; Brito, A.F.; Queiroga, F.R.; Silva, A.S.; Silva, P.M.; Cavalcante, F.A.; Silva, B.A. Chronic aerobic swimming exercise promotes functional and morphological changes in rat ileum. Biosci Rep 2015, 35, 259. [Google Scholar] [CrossRef]
- Araujo, L.C.C.; Souza, I.L.L.; Vasconcelos, L.H.C.; Brito, A.F.; Queiroga, F.R.; Silva, A.S.; Silva, P.M.; Cavalcante, F.A.; Silva, B.A. Acute aerobic swimming exercise induces distinct effects in the contractile reactivity of rat ileum to KCl and Carbachol. Front Physiol. 2016, 7, 103. [Google Scholar] [CrossRef]
- Huang, Z.X.; Mei, X.T.; Xu, D.H.; Xu, S.B.; Lv, J.Y. Protective effects of polysaccharide of Spirulina platensis and Sargassum thunbeergii on vascular of alloxan induced diabetic rats. Zhongguo Zhong Yao Za Zhi 2005, 30, 211–215. [Google Scholar]
- Wu, H.E.; Chen, T.F.; Yin, X.; Zheng, W.J. Spectrometric characteristics and underlying mechanisms of protective effects of selenium on Spirulina platensis against oxidative stress. Guang Pu Xue Yu Guang Pu Fen Xi 2012, 32, 749–754. [Google Scholar]
- Furness, J.B.; Young, H.M.; Pompolo, S.; Bornstein, J.C.; Kunze, W.A.A.; McConalogue, K. Plurichemical transmission and chemical coding of neurons in the digestive tract. Gastroenterology 1995, 108, 554–563. [Google Scholar] [CrossRef]
- Bornstein, J.C.; Costa, M.; Grider, J.R. Enteric motor and interneuronal circuits controlling motility. Neurogastroenterol. Motil 2004, 16, 34–38. [Google Scholar] [CrossRef]
- Reuter, H. Properties of two in ward membrane currents in the heart. Annu. Rev. Physiol. 1979, 41, 413–424. [Google Scholar] [CrossRef] [PubMed]
- Tsien, R.W. Calcium channels in excitable cell membranes. Annu. Rev. Physiol. 1983, 45, 341–358. [Google Scholar] [CrossRef] [PubMed]
- Bers, D.M. Cardiac excitation-contraction coupling. Nature 2002, 415, 198–205. [Google Scholar] [CrossRef]
- Somlyo, A.V.; Somlyo, A.P. Electromechanical and pharmacomechanical coupling in vascular smooth muscle. J. Pharmacol. Exp. Ther. 1968, 159, 129–145. [Google Scholar] [PubMed]
- Tse, G.; Lai, E.T.; Yeo, J.M.; Tse, V.; Wong, S.H. Mechanisms of Electrical Activation and Conduction in the Gastrointestinal System: Lessons from Cardiac Electrophysiology. Front Physiol. 2016, 31, 182. [Google Scholar] [CrossRef] [PubMed]
- Sanders, K.M.; Koh, S.D.; Ordog, T.; Ward, S.M. Ionic conductances involved in generation and propagation of electrical slow waves in phasic gastrointestinal muscles. Neurogastroenterol. Motil. 2004, 16, 100–105. [Google Scholar] [CrossRef] [PubMed]
- Neubig, R.R.; Spedding, M.; Kenakin, T.; Christopoulos, A. International Union of Pharmacology Committee on Receptor Nomenclature and Drug Classification. XXXVIII. Update on terms and symbols in quantitative pharmacology. Pharmacol. Rev. 2003, 55, 597–606. [Google Scholar] [CrossRef]
- Mcardle, W.D.; Katch, F.J.; Katch, V.L. Fisiologia do Exercício: Energia, nutrição e desempenho humano. Traduzido po Giuseppe Taranto. Rio de Janeiro; LWW: Philadelphia, PA, USA, 2016. [Google Scholar]
- Otte, J.; Oostveen, E.; Geelkerken, R.H.; Groeneveld, A.B.J.; Kolkman, J.J. Exercise induces gastric ischemia in healthy volunteers: A tonometry study. Eur. J. Appl. Physiol. 2001, 91, 866–871. [Google Scholar] [CrossRef]
- Brito, A.F.; Alves, N.F.B.; Souza, A.A.; Goncalves, M.C.R.; Silva, A.S. Active intervals between sets of resistance exercises potentiate the magnitude of postexercise hypotension in elderly hypertensive women. J. Strength Cond. Res. 2011, 25, 3129–3136. [Google Scholar] [CrossRef]
- Trinity, J.D.; Wray, D.W.; Witman, M.A.; Layec, G.; Barrett-O’Keefe, Z.; Ives, S.J.; Conklin, J.D.; Reese, V.; Richardson, R.S. Contribution of nitric oxide to brachial artery vasodilation during progressive handgrip exercise in the elderly. Am. J. Physiol. Regul. Integr. Comp. Physiol. 2013, 305, 893–899. [Google Scholar] [CrossRef]
- Beck, D.T.; Martin, J.S.; Casey, D.P.; Braith, R.W. Exercise training improves endothelial function in resistance arteries of young prehypertensives. J. Hum. Hypertens. 2014, 28, 303–309. [Google Scholar] [CrossRef] [PubMed]
- Choi, Y.; Akazawa, N.; Miyaki, A.; Ra, S.G.; Shiraki, H.; Ajisaka, R.; Maeda, S. Acute effect of high-intensity eccentric exercise on vascular endothelial function in young men. J. Strength Cond. Res. 2014, 14, 2279–2285. [Google Scholar] [CrossRef] [PubMed]
- Araújo, A.J.S.; Santos, A.C.V.; Souza, K.S.; Aires, M.B.; Santana-Filho, V.J.; Fioretto, E.T.; Mota, M.M.; Santos, M.R.B. Resistance training controls arterial blood pressure in rats with L-NAME-induced hypertension. Arq Bras Cardiol 2013, 100, 339–346. [Google Scholar] [CrossRef] [PubMed]
- Ballabeni, B.; Barocelli, E.; Bertoni, S.; Impicciatore, M. Alterations of intestinal motor responsiveness in a model of mild mesenteric ischemia/reperfusion in rats. Life Sci. 2002, 71, 2025–2035. [Google Scholar] [CrossRef]
- Smith, L.L. Tissue trauma: The underlying cause of overtraining syndrome? J. Strength Cond. Res. 2004, 18, 185–193. [Google Scholar] [CrossRef]
- Bhat, V.B.; Madyastha, K.M. C-phycocyanin: A potent peroxyl radical scavenger in vivo and in vitro. Biochem. Biophys. Res. Commun. 2000, 275, 20–25. [Google Scholar] [CrossRef]
- Mccarty, M.F. Clinical potential of Spirulina as a source of phycocyanobilin. J. Med. Food 2007, 10, 566–570. [Google Scholar] [CrossRef]
- Kuddus, M.; Singh, P.; Thomas, G.; Al-Hazimi, A. Recent developments in production and biotechnological applications of C-phycocyanin. Biomed. Res. Int. 2013, 2013, 742–859. [Google Scholar] [CrossRef]
- Cuvelier, M.E. Antioxidants. In Functional foods: An introductory course; Morais, R., Ed.; Universidade 611 Católica Portuguesa—Escola Superior de Biotecnologia: Porto, Portugal, 2001; pp. 95–105. [Google Scholar]
- Del Rio, D.; Stewart, A.J.; Pellegrini, N. A review of recent studies on malondialdehyde as toxic molecule and biological marker of oxidative stress. Nutr. Metab. Cardiovasc. Dis. 2005, 15, 316–328. [Google Scholar] [CrossRef]
- Sherwin, C.M.; Christiansen, S.B.; Duncan, I.J.; Erhard, H.W.; Lay, D.C., Jr.; Mench, J.A.; O’Connor, C.E.; Petherick, J.C. Guidelines for the ethical use of animals in applied animal behaviour research. Appl. Animal Behaviour. Sci. 2003, 81, 291–305. [Google Scholar] [CrossRef]
- Marqueti, R.C.; Parizotto, N.A.; Chriguer, R.S.; Perez, S.E.; Selistre-de-Araujo, H.S. Androgenic-anabolic steroids associated with mechanical loading inhibit matrix metallopeptidase activity and affect the remodeling of the achiles tendon in rats. Am. J. Sports Med. 2006, 34, 1274–1280. [Google Scholar] [CrossRef] [PubMed]
- Juarez-Oropeza, M.A.; Mascher, D.; Torres-Durán, P.V.; Farias, J.M.; Paredes-Carbajal, M.C. Effects of dietary Spirulina on vascular reactivity. J. Med. Food. 2009, 12, 15–20. [Google Scholar] [CrossRef] [PubMed]
- Stefani, G.P.; Nunes, R.B.; Dornrlles, A.Z.; Alves, J.P.; Piva, M.O.; Domenico, M.D.; Rhoden, C.R.; Lago, P.D. Effects of creatine supplementation associated with resistance training on oxidative stress in different tissues of rats. J. Int. Soc. Sports Nutr. 2014, 11. [Google Scholar] [CrossRef] [PubMed]
- Radenkovic, M.; Ivetic, V.; Popovic, M.; Mimica-Dukic, N.; Veljkovic, S. Neurophysiological effects of mistletoe (Viscum album L.) on isolated rat intestines. Phytother. Res. 2006, 20, 374–377. [Google Scholar] [CrossRef]
- Winterbourn, C.C.; Gutteridge, J.M.; Halliwell, B. Doxorubicindependent lipid peroxidation at low partial pressures of O2. J. Free Radic. Biol. Med. 1985, 1, 43–49. [Google Scholar] [CrossRef]
- Brand Williams, W.; Cuvelier, M.E.; Berset, C. Use of a free radical method to evaluate antioxidant activity. LWT-Food Sci. Technol. J. 1995, 28, 25–30. [Google Scholar] [CrossRef]
© 2020 by the authors. Licensee MDPI, Basel, Switzerland. This article is an open access article distributed under the terms and conditions of the Creative Commons Attribution (CC BY) license (http://creativecommons.org/licenses/by/4.0/).




