Using Genome-Wide Association Studies to Reveal DArTseq and SNP Loci Associated with Agronomic Traits and Yield in Maize
Abstract
1. Introduction
2. Materials and Methods
2.1. Materials
2.2. Methods
2.2.1. Phenotyping
Field and Phytotron Experiments
Meteorological Conditions During the 2021 and 2022 Growing Seasons
2.2.2. Genotyping
DNA Isolation
Associative Mapping Using GWAS Analysis
Physical Mapping
Functional Analysis of Gene Sequences
2.2.3. Identification of Selected SNP Polymorphisms and SilicoDArT on Agarose Gels
Designing Primers for Identified Polymorphisms of SilicoDArT and SNP Associated with Yield and Yield Structure Traits
Identification of Selected Molecular Markers Linked to Yield and Yield Structure Traits Using Polymerase Chain Reaction (PCR)
Identification of Selected SNP and SilicoDArT Polymorphisms on Agarose Gels
2.2.4. Analysis of the Expression of Selected Genes Linked to Yield-Related Traits and Maize Yield
mRNA Isolation
cDNA Synthesis
| Preparation | 5 min at 25 °C |
| Reverse transcription | 20 min at 46 °C |
| Inactivation | 1 min at 95 °C |
Expression Analysis Using RT-qPCR
- LOC100383455 (encoding U-box domain-containing protein 7)
- 5′TCTGACTGGCTCTGAAGACG3′
- 3′TACCTGAGCTCCAACATCCAG5′
- Product length 223 bp
- LOC103635953 (putative WUSCHEL-related homeobox 2 protein)
- 5′CGGCGTACGGCTACTACTAC3′
- 3′GCTGCCACCCGTCGTG5;
- Product length 128 bp
Reference Gene Expression Analysis
- β-tubulin
- 5′CTACCTCACGGCATCTGCTATGT3′
- 3′AACACGAATCAAGCAGAG5′
- Cyclophilin
- 5′CTGAGTGGTGGTCTTAGT3′
- 3′GTCACACACACTCGACTTCACG5′
3. Results
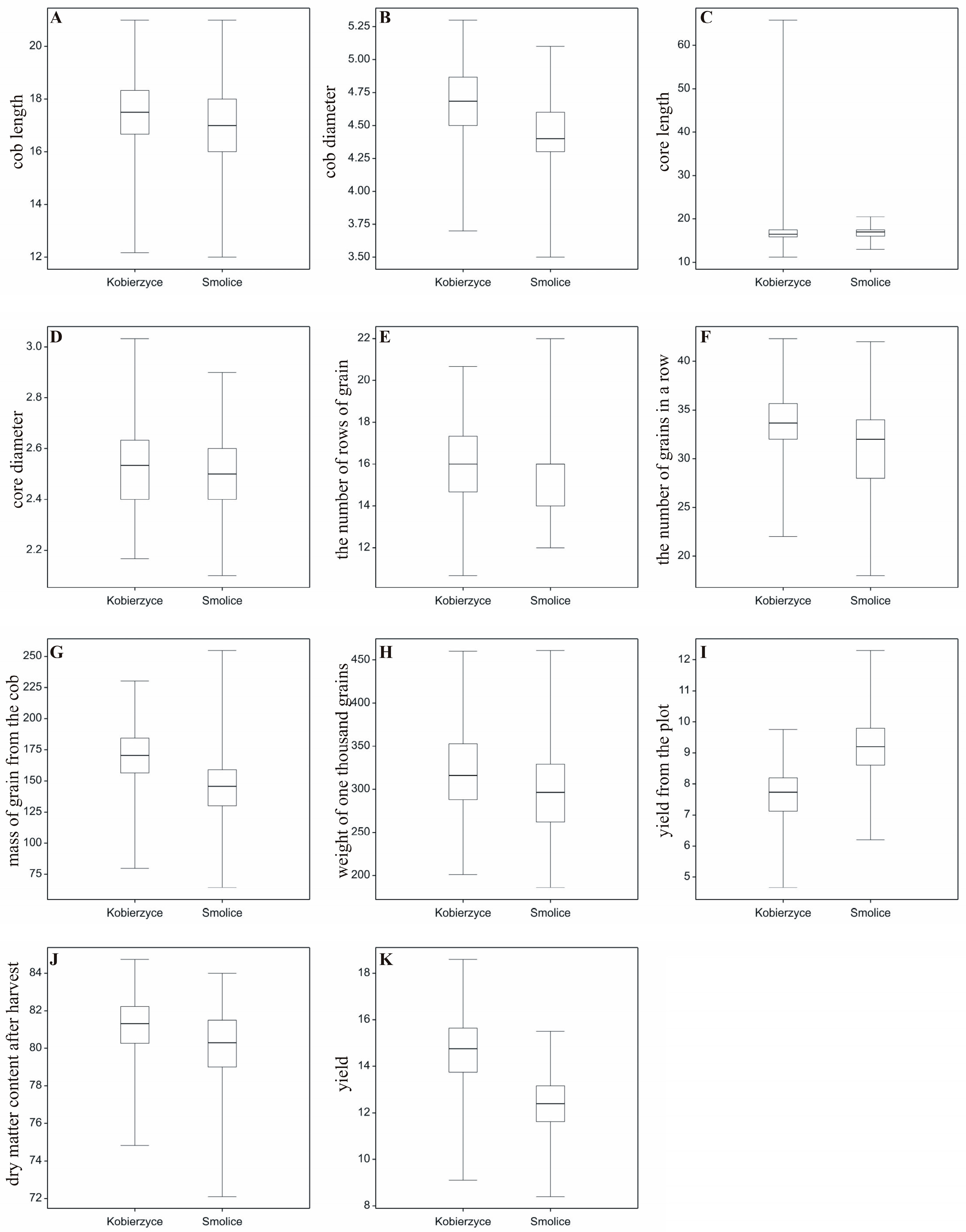
3.1. Field Experiment
3.2. Genotyping and Association Mapping
3.3. Physical Mapping
3.4. Verification of Selected Molecular Markers Using Designed Primers
3.5. Analysis of the Expression Level of Selected Candidate Genes Using qPCR
4. Discussion
5. Conclusions
Supplementary Materials
Author Contributions
Funding
Institutional Review Board Statement
Informed Consent Statement
Data Availability Statement
Conflicts of Interest
References
- Erenstein, O.; Chamberlin, J.; Sonder, K. Estimating the global number and distribution of maize and wheat farms. Glob. Food Secur. 2021, 30, 100558. [Google Scholar] [CrossRef]
- Erenstein, O.; Jaleta, M.; Sonder, K.; Mottaleb, K.; Prasanna, B.M. Global maize production, consumption and trade: Trends and R&D implications. Glob. Food Secur. 2022, 14, 1295–1319. [Google Scholar]
- Martinez-Feria, R.A.; Basso, B. Unstable crop yields reveal opportunities for site-specific adaptations to climate variability. Sci. Rep. 2020, 10, 2885. [Google Scholar] [CrossRef]
- Long, Y.; Wang, C.; Liu, C.; Li, H.; Pu, A.; Dong, Z.; Wei, X.; Wan, X. Molecular mechanisms controlling grain size and weight and their biotechnological breeding applications in maize and other cereal crops. J. Adv. Res. 2024, 62, 27–46. [Google Scholar] [CrossRef]
- Kumar, V.; Chand, K.; Suman, M.; Pandey, H.C. Economic analysis of Maize Seed Production on Farmers’ Fields. Agro-Economist 2017, 4, 65–68. [Google Scholar] [CrossRef]
- Guo, W.; Lian, T.; Wang, B.; Guan, J.; Yuan, D.; Wang, H.; Azam, F.M.S.; Wan, X.; Wang, W.; Liang, Q.; et al. Genetic mapping of folate QTLs using a segregated population in maize (Zea mays L.). J. Integr. Plant Biol. 2019, 61, 675–690. [Google Scholar] [CrossRef]
- Zhang, H.; Lu, Y.; Ma, Y.; Fu, J.; Wang, J. Genetic and molecular control of grain yield in maize. Mol. Breed. 2021, 41, 18. [Google Scholar] [CrossRef] [PubMed]
- Zhu, M.; Tong, L.; Xu, M.; Zhong, T. Genetic dissection of maize disease resistance and its applications in molecular breeding. Mol. Breed. 2021, 41, 32, Correction in Mol. Breed. 2021, 41, 58. [Google Scholar] [CrossRef]
- Xu, Y.; Li, P.; Yang, Z.; Xu, C. Genetic mapping of quantitative trait loci in crops. Crop J. 2017, 5, 175–184. [Google Scholar] [CrossRef]
- Zenke-Philippi, C.; Frisch, M.; Thiemann, A.; Seifert, F.; Schrag, T.; Melchinger, A.E.; Herzog, E. Transcriptome-based prediction of hybrid performance with unbalanced data from a maize breeding programme. Plant Breed. 2017, 136, 331–337. [Google Scholar] [CrossRef]
- Cooper, M.; Technow, F.; Messina, C.; Gho, C.; Totir, L.R. Use of crop growth models with whole-genome prediction: Application to a maize multienvironment trial. Crop Sci. 2016, 56, 2141–2156. [Google Scholar] [CrossRef]
- Metzker, M.L. Sequencing technologies—The next generation. Nat. Rev. Genet. 2010, 11, 31–46. [Google Scholar] [CrossRef] [PubMed]
- Poplin, R.; Chang, P.C.; Alexander, D.; Schwartz, S.; Colthurst, T.; Ku, A.; Newburger, D.; Dijamco, J.; Nguyen, N.; Afshar, P.T.; et al. A universal SNP and small indel variant caller using deep neural networks. Nat. Biotechnol. 2018, 36, 983–987. [Google Scholar] [CrossRef]
- Buenrostro, J.D.; Giresi, P.G.; Zaba, L.C.; Chang, H.Y.; Greenleaf, W.J. Transposition of na-tive chromatin for fast and sensitive epigenomic profiling of open chromatin. Nat. Methods 2013, 10, 1213–1218. [Google Scholar] [CrossRef]
- Wenger, A.M.; Peluso, P.; Rowell, W.J.; Chang, P.C.; Hall, R.J.; Concepcion, G.T.; Ebler, J.; Fungtammasan, A.; Kolesnikov, A.; Olson, N.D.; et al. Accurate circular consensus long-read sequencing improves variant detection and assembly of a human genome. Nat. Biotechnol. 2019, 37, 1155–1162. [Google Scholar] [CrossRef] [PubMed]
- Jain, M.; Koren, S.; Miga, K.H.; Quick, J.; Rand, A.C.; Sasani, T.A.; Tyson, J.R.; Beggs, A.D.; Dilthey, A.T.; Fiddes, I.T.; et al. Nanopore sequencing and assembly of a human genome with ultra-long reads. Nat. Biotechnol. 2018, 36, 338–345. [Google Scholar] [CrossRef]
- Barilli, E.; Cobos, M.J.; Carrillo, E.; Kilian, A.; Carling, J.; Rubiales, D. A High-Density Integrated DArTseq SNP-Based Genetic Map of Pisum fulvum and Identification of QTLs Controlling Rust Resistance. Front. Plant Sci. 2018, 9, 167. [Google Scholar] [CrossRef]
- Alam, M.; Neal, J.; O’Connor, K.; Kilian, A.; Topp, B. Ultra-high-throughput DArTseq-based silicoDArT and SNP markers for genomic studies in macadamia. PLoS ONE 2018, 13, e0203465. [Google Scholar] [CrossRef]
- Courtois, B.; Audebert, A.; Dardou, A.; Roques, S.; Ghneim-Herrera, T.; Droc, G.; Frouin, J.; Rouan, L.; Gozé, E.; Kilian, A. Genome-Wide Association Mapping of Root Traits in a Japonica Rice Panel. PLoS ONE 2013, 8, e78037. [Google Scholar] [CrossRef]
- Cruz, V.M.V.; Kilian, A.; Dierig, D.A. Development of DArT Marker Platforms and Genetic Diversity Assessment of the U.S. Collection of the New Oilseed Crop Lesquerella and Related Species. PLoS ONE 2013, 8, e64062. [Google Scholar] [CrossRef]
- Sakhare, A.S.; Kota, S.; Rathod, S.; Parmar, B.; Chinnusamy, V. Genome-Wide Association Study. In Genotyping by Sequencing for Crop Improvement; Wiley: Hoboken, NJ, USA, 2022. [Google Scholar] [CrossRef]
- Abdurakhmonov, I.Y.; Abdukarimov, A. Application of Association Mapping to Understanding the Genetic Diversity of Plant Germplasm Resources. Int. J. Plant Genom. 2008, 2008, 574927. [Google Scholar] [CrossRef]
- Rafalski, J.A. Association genetics in crop improvement. Curr. Opin. Plant Biol. 2010, 13, 174–180. [Google Scholar] [CrossRef]
- Zhu, C.; Gore, M.; Buckler, E.S.; Yu, J. Status and Prospects of Association Mapping in Plants. Plant Genome 2008, 1, 5–20. [Google Scholar] [CrossRef]
- Rakoczy-Trojanowska, M.; Krajewski, P.; Bocianowski, J.; Schollenberger, M.; Wakuliński, W.; Milczarski, P.; Masojć, P.; Targońska-Karasek, M.; Banaszak, Z.; Banaszak, K. Identification of Single Nucleotide Polymorphisms Associated with Brown Rust Resistance, α-Amylase Activity and Pre-harvest Sprouting in Rye (Secale cereale L.). Plant Mol. Biol. Rep. 2017, 35, 366–378. [Google Scholar] [CrossRef]
- Bar-Hen, A.; Charcosset, A.; Bourgoin, M.; Guiard, J. Relationship between genetic markers and morphological traits in a maize inbred lines collection. Euphytica 1995, 84, 145–154. [Google Scholar] [CrossRef]
- Pritchard, J.K. Deconstructing Maize Population Structure. Nat. Genet. 2001, 28, 203–204. [Google Scholar] [CrossRef] [PubMed]
- Dhliwayo, T.; Pixley, K.; Menkir, A.; Warburton, M. Combining Ability, Genetic Distances, and Heterosis among Elite CIMMYT and IITA Tropical Maize Inbred Lines. Crop Sci. 2009, 49, 1201–1210. [Google Scholar] [CrossRef]
- Chander, S.; Guo, Y.Q.; Yang, X.H.; Zhang, Z.; Lu, X.Q.; Yan, J.B.; Song, T.M.; Rocheford, T.R.; Li, J.S. Using molecular markers to identify two major loci controlling carotenoid contents in maize grain. Theor. Appl. Genet. 2008, 116, 223–233. [Google Scholar] [CrossRef]
- Messing, J.; Bharti, A.K.; Karlowski, W.M.; Gundlach, H.; Kim, H.R.; Yu, Y.; Wei, F.; Fuks, G.; Soderlund, C.A.; Mayer, K.F.X. Sequence composition and genome organization of maize. Proc. Natl. Acad. Sci. USA 2004, 101, 14349–14354. [Google Scholar] [CrossRef] [PubMed]
- Baird, N.A.; Etter, P.D.; Atwood, T.S.; Curey, M.C.; Shiver, A.L.; Lewis, Z.A.; Selker, E.U.; Cres-ko, W.A.; Johnson, E.A. Rapid SNP Discovery and Genetic Mapping Using Sequenced RAD Markers. PLoS ONE 2008, 3, e3376. [Google Scholar] [CrossRef] [PubMed]
- Guo, Z.; Tucker, D.M.; Wang, D.; Basten, C.J.; Ersoz, E.; Briggs, W.H.; Lu, J.; Li, M.; Gay, G. Accuracy of Across-Environment Genome-Wide Prediction in Maize Nested Association Mapping Populations. Genes Genomes Genet. 2013, 3, 263–272. [Google Scholar] [CrossRef]
- Benke, A.; Urbany, C.; Stich, B. Genome-wide association mapping of iron homeostasis in the maize association population. BMC Genet. 2015, 16, 1. [Google Scholar] [CrossRef] [PubMed]
- Prasanna, B.M.; Pixley, K.; Warburton, M.; Xie, C.-X. Molecular marker-assisted breeding options for maize improvement in Asia. Mol. Breed. 2010, 26, 339–356. [Google Scholar] [CrossRef]
- Beavis, W.D.; Smith, O.S.; Grant, D.; Fincher, R.R. Identyfication of quantitative trait loci using a small sample of topcrossed and F4 progeny from maize. Crop Sci. 1994, 34, 882–896. [Google Scholar]
- Ribaut, J.; Hoisington, D.A.; Deutsch, J.A.; Jiang, C.; Gonzalez-de-Leon, D. Identyfication of quantitative trait loci under drought conditions in tropical maize. Flowering parameters and the anthesis silking interval. Theor. Appl. Genet. 1996, 92, 905–914. [Google Scholar]
- Veldboom, L.; Lee, M. Molecular-marker-facicitated studies of morphological traits in maize. De-termination of QTLs for grain yield components. Theor. Appl. Genet. 1994, 89, 451–458. [Google Scholar]
- Austin, D.F.; Lee, M.; Veldboom, L.R. Genetic mapping in maize with hybrid progeny across testers and generations: Grain yield and grain moisture. Crop Sci. 2001, 40, 30–39. [Google Scholar]
- Melchinger, A.E.; Utz, H.; Schön, C.C. Quantitative trait locus (QTL) mapping using different testers and independent population samples in maize reveals low power of QTL detection and large bias in estimates of QTL effects. Genetics 1998, 149, 383–403. [Google Scholar] [CrossRef] [PubMed]
- Tang, J.; Yan, Y.; Ma, X.; Teng, W.; Wu, W.; Dai, J.; Dhillon, B.S.; Melchinger, A.E.; Li, J. Dissection of the genetic basis of heterosis in an elite maize hybrid by QTL mapping in an immortalized F2 population. Theor. Appl. Genet. 2009, 120, 333–340. [Google Scholar] [CrossRef]
- Yang, S.; Pang, W.; Ash, G.; Harper, J.; Carling, J.; Wenzl, P.; Huttner, E.; Zong, X.; Kilian, A. Low level of genetic diversity in cultivated Pigeonpea compared to its wild relatives is revealed by diversity arrays technology. Theor. Appl. Genet. 2006, 113, 585–595. [Google Scholar] [CrossRef]
- Wenzl, P.; Carling, J.; Kudrn, D.; Jaccoud, D.; Huttner, E.; Kleinhofs, A.; Kilian, A. Diversity Arrays Technology (DArT) for whole-genome profiling of barley. Proc. Natl. Acad. Sci. USA 2004, 101, 9915–9920. [Google Scholar] [CrossRef]
- Bocianowski, J.; Leśniewska-Bocianowska, A. Towards the Identification of Candidate Genes for Pollen Morphological Traits in Rubus L. Using Association Mapping. Forests 2025, 16, 1395. [Google Scholar] [CrossRef]
- van Eeuwijk, F.A.; Bink, M.C.A.M.; Chenu, K.; Chapman, S.C. Detection and use of QTL for complex traits in multiple environments. Curr. Opin. Plant Biol. 2010, 13, 193–205. [Google Scholar] [CrossRef]
- Malosetti, M.; Ribaut, J.-M.; van Eeuwijk, F.A. The statistical analysis of multi-environment data: Modeling genotype-by-environment interaction and its genetic basis. Front. Physiol. 2013, 4, 44. [Google Scholar] [CrossRef]
- VSN International. VSN International Genstat for Windows, 23rd ed.; VSN International: Hemel Hempstead, UK, 2023. [Google Scholar]
- Patterson, N.; Price, A.L.; Reich, D. Population structure and eigenanalysis. PLoS Genet. 2006, 2, e190. [Google Scholar] [CrossRef] [PubMed]
- Wan, W.; Kim, S.; Castel, B.; Charoennit, N.; Chae, E. Genetics of Autoimmunity in Plants: An Evolutionary Genetics Perspective. New Phytol. 2021, 229, 1215–1233, Erratum in New Phytol. 2021, 231, 1296. [Google Scholar] [PubMed]
- Liu, H.; Niu, Y.; Gonzalez-Portilla, P.J.; Zhou, H.; Wang, L.; Zuo, T.; Qin, C.; Tai, S.; Jansen, C.; Shen, Y. An Ultra-HighDensity Map as a Community Resource for Discerning the Genetic Basis of Quantitative Traits in Maize. BMC Genom. 2015, 16, 1078. [Google Scholar] [CrossRef]
- Andorf, C.M.; Cannon, E.K.; Portwood, J.L.; Gardiner, J.M.; Harper, L.C.; Schaeffer, M.L.; Braun, B.L.; Campbell, D.A.; Vinnakota, A.G.; Sribalusu, V.V. Maize GDB Update: New Tools, Data and Interface for the Maize Model Organism Database. Nucleic Acids Res. 2016, 44, D1195–D1201. [Google Scholar] [CrossRef] [PubMed]
- Araus, J.L.; Cairns, J.E. Field high-throughput phenotyping: The new crop breeding frontier. Trends Plant Sci. 2014, 19, 52–61. [Google Scholar] [CrossRef]
- Godfray, H.C.J. How can 9–10 billion people be fed sustainably and equitably by 2050. In Is the Planet Full; Goldin, I., Ed.; Oxford University Press: Oxford, UK, 2014; pp. 104–120. [Google Scholar]
- Shendure, J.; Ji, H. Next-generation DNA sequencing. Nat. Biotechnol. 2008, 26, 1135–1145. [Google Scholar] [CrossRef]
- Michael, T.P.; VanBuren, R. Progress, challenges and the future of crop genomes. Curr. Opin. Plant Biol. 2015, 24, 71–81. [Google Scholar] [CrossRef]
- Bocianowski, J.; Tomkowiak, A.; Bocianowska, M.; Sobiech, A. The use of DArTseq technology to identify markers related to the heterosis effects in selected traits in maize. Curr. Issues Mol. Biol. 2023, 45, 2644–2660. [Google Scholar] [CrossRef]
- Sobiech, A.; Tomkowiak, A.; Nowak, B.; Bocianowski, J.; Wolko, Ł.; Spychała, J. Associative and Physical Mapping of Markers Related to Fusarium in Maize Resistance, Obtained by Next-Generation Sequencing (NGS). Int. J. Mol. Sci. 2022, 23, 6105. [Google Scholar] [CrossRef]
- Soto, J.; Rodriguez-Antolin, C.; Vallespín, E.; de Castro Carpeño, J.; Ibanez de Caceres, I. The Impact of Next-Generation Sequencing on the DNA Methylation–Based Translational Cancer Research. Transl. Res. 2016, 169, 1–18.e1. [Google Scholar] [CrossRef]
- Addo-Quaye, C.; Buescher, E.; Best, N.; Chaikam, V.; Baxter, I.; Dilkes, B.P. Forward Genetics by Sequencing EMS Variation Induced Inbred Lines. G3 Genes Genomes Genet. 2017, 7, 413–425. [Google Scholar] [CrossRef]
- Anandhakumar, C.; Kizaki, S.; Bando, T.; Pandian, G.N.; Sugiyama, H. Advancing Small-Molecule-Based Chemical Biology with Next-Generation Sequencing Technologies. ChemBioChem 2015, 16, 20–38. [Google Scholar] [CrossRef]
- Michael, C.R. Alavanja Introduction: Pesticides Use and Exposure, Extensive Worldwide. Rev. Environ. Health 2009, 24, 303–310. [Google Scholar]
- Perez-de-Castro, A.M.; Vilanova, S.; Canizares, J.; Pascual, L.; Blanca, J.M.; Diez, M.J.; Prohens, J.; Pico, B. Application of Genomic Tools in Plant Breeding. Curr. Genom. 2012, 13, 179–195. [Google Scholar] [CrossRef]
- Huang, X.; Zhao, Y.; Wei, X.; Li, C.; Wang, A.; Zhao, Q.; Li, W.; Guo, Y.; Deng, L.; Zhu, C. Ge-nome-Wide Association Study of Flowering Time and Grain Yield Traits in a Worldwide Collection of Rice Germplasm. Nat. Genet. 2011, 44, 32–39. [Google Scholar] [CrossRef]
- Ding, J.; Ali, F.; Chen, G.; Li, H.; Mahuku, G.; Yang, N.; Narro, L.; Magorokosho, C.; Makumbi, D.; Yan, J. Genome-Wide Association Mapping Reveals Novel Sources of Resistance to Northern Corn Leaf Blight in Maize. BMC Plant Biol. 2015, 15, 206. [Google Scholar] [CrossRef]
- Jiao, Y.; Peluso, P.; Shi, J.; Liang, T.; Stitzer, M.C.; Wang, B.; Campbell, M.S.; Stein, J.C.; Wei, X.; Chin, C. Improved Maize Reference Genome with Single-Molecule Technologies. Nature 2017, 546, 524–527. [Google Scholar] [CrossRef]
- Du, Z.; Zhou, X.; Li, L.; Su, Z. A database of plants’ ubiquitin proteasome system. BMC Genom. 2009, 10, 227. [Google Scholar] [CrossRef]
- Wang, D.R.; Zhang, X.W.; Xu, R.R.; Wang, G.L.; You, C.X.; An, J.P. Apple U-box-type E3 ubiquitin ligase MdPUB23 reduces cold-stress tolerance by degrading the cold-stress regulatory protein MdICE1. Hortic. Res. 2022, 9, uhac171. [Google Scholar] [CrossRef]
- Hu, H.; Dong, C.; Sun, D.; Hu, Y.; Xie, J. Genome-wide identification and analysis of U-box E3 ubiquitin-protein ligase gene family in banana. Int. J. Mol. Sci. 2018, 19, 3874. [Google Scholar] [CrossRef]
- Tan, B.; Lian, X.; Cheng, J.; Zeng, W.; Zheng, X.; Wang, W.; Ye, X.; Li, J.; Li, Z.; Zhang, L.; et al. Genome-wide identification and transcriptome profiling reveal that E3 ubiquitin ligase genes relevant to ethylene, auxin, and abscisic acid are differentially expressed in the fruits of melting flesh and stony hard peach varieties. BMC Genom. 2019, 20, 892. [Google Scholar] [CrossRef]
- Sharma, B.; Taganna, J. Genome-wide analysis of the U-box E3 ubiquitin ligase enzyme gene family in tomato. Sci. Rep. 2020, 10, 9581. [Google Scholar] [CrossRef]
- Kim, M.S.; Kang, K.K.; Cho, Y.G. Molecular and functional analysis of U-box E3 ubiquitin ligase gene family in rice (Oryza sativa). Int. J. Mol. Sci. 2021, 22, 12088. [Google Scholar] [CrossRef]
- Zeng, L.R.; Park, C.H.; Venu, R.C.; Gough, J.; Wang, G.L. Classification, expression pattern, and E3 ligase activity assay of rice U-box-containing proteins. Mol. Plant 2008, 1, 800–815. [Google Scholar] [CrossRef]
- Trujillo, M. News from the PUB: Plant U-box type E3 ubiquitin ligases. J. Exp. Bot. 2018, 69, 371–384. [Google Scholar] [CrossRef]
- Chen, X.; Wang, T.; Rehman, A.U.; Wang, Y.; Qi, J.; Li, Z.; Song, C.; Wang, B.; Yang, S.; Gong, Z. Arabidopsis U-box E3 ubiquitin ligase PUB11 negatively regulates drought tolerance by degrading the receptor-like protein kinases LRR1 and KIN7. J. Integr. Plant Biol. 2021, 63, 494–509. [Google Scholar] [CrossRef]
- Trenner, J.; Monaghan, J.; Saeed, B.; Quint, M.; Shabek, N.; Trujillo, M. Evolution and functions of plant U-box proteins: From protein quality control to signaling. Ann. Rev. Plant Biol. 2020, 73, 93–121. [Google Scholar] [CrossRef]
- Li, J.; Zhang, Y.; Gao, Z.; Xu, X.; Wang, Y.; Lin, Y.; Ye, P.; Huang, T. Plant U-box E3 ligases PUB25 and PUB26 control organ growth in arabidopsis. New Phytol. 2021, 229, 403–413. [Google Scholar] [CrossRef]
- Alvarez, J.M.; Bueno, N.; Cañas, R.A.; Avila, C.; Cánovas, F.M.; Ordás, R.J. Analysis of the WUSCHEL-RELATED HOMEOBOX gene family in Pinus pinaster: New insights into the gene family evolution. Plant Physiol. Biochem. 2018, 123, 304–318. [Google Scholar] [CrossRef]
- Mukherjee, K.; Brocchieri, L.; Bürglin, T.R. A comprehensive classification and evolutionary analy-sis of plant homeobox genes. Mol. Biol. Evol. 2009, 26, 2775–2794. [Google Scholar] [CrossRef]
- Schoof, H.; Lenhard, M.; Haecker, A.; Mayer, K.F.; Jürgens, G.; Laux, T. The stem cell population of arabidopsis shoot meristems is maintained by a regulatory loop between the CLAVATA and WUSCHEL genes. Cell 2000, 100, 635–644. [Google Scholar] [CrossRef]
- Ueda, M.; Zhang, Z.; Laux, T. Transcriptional activation of arabidopsis axis patterning genes WOX8/9 links zygote polarity to embryo development. Dev. Cell 2011, 20, 264–270, Correction in Dev. Cell 2011, 20, 408. [Google Scholar] [CrossRef]
- Mayer, K.F.; Schoof, H.; Haecker, A.; Lenhard, M.; Jürgens, G.; Laux, T. Role of WUSCHEL in regulating stem cell fate in the arabidopsis shoot meristem. Cell 1995, 95, 805–815. [Google Scholar] [CrossRef]
- He, P.; Zhang, Y.; Liu, H.; Yuan, Y.; Wang, C.; Yu, J.; Xiao, G. Comprehensive analysis of WOX genes uncovers that WOX13 is involved in phytohormone-mediated fiber development in cotton. BMC Plant Biol. 2019, 19, 312. [Google Scholar] [CrossRef]
- Ikeda, M.; Mitsuda, N.; Ohme-Takagi, M. Arabidopsis WUSCHEL is a bifunctional transcription factor that acts as a repressor in stem cell regulation and as an activator in floral patterning. Plant Cell 2009, 21, 3493–3505. [Google Scholar] [CrossRef]
- Graaff, E.V.D.; Laux, T.; Rensing, S.A. The WUS homeobox-containing (WOX) protein family. Genome Biol. 2009, 10, 248. [Google Scholar] [CrossRef]
- Zhang, Y.; Wu, R.; Qin, G.; Chen, Z.; Gu, H.; Qu, L.J. Over-expression of WOX1 leads to defects in meristem development and polyamine homeostasis in arabidopsisF. Integr. Plant Biol. 2011, 53, 493–506. [Google Scholar] [CrossRef]
- Shimizu, R.; Ji, J.; Kelsey, E.; Ohtsu, K.; Schnable, P.S.; Scanlon, M.J. Tissue specificity and evolution of meristematic WOX3 function. Plant Physiol. 2009, 149, 841–850. [Google Scholar] [CrossRef]
- Wang, P.; Guo, Y.; Chen, X.; Zheng, Y.; Sun, Y.; Yang, J.; Ye, N. Genome-wide identification of WOX genes and their expression patterns under different hormone and abiotic stress treatments in tea plant (Camellia sinensis). Trees 2019, 33, 1129–1142. [Google Scholar] [CrossRef]
- Zhao, Y.; Hu, Y.; Dai, M.; Huang, L.; Zhou, D.X. The WUSCHEL-related homeobox gene WOX11 is required to activate shoot-borne crown root development in rice. Plant Cell 2009, 21, 736–748. [Google Scholar] [CrossRef] [PubMed]
- Cheng, S.; Zhou, D.X.; Zhao, Y. WUSCHEL-related homeobox gene WOX11 increases rice drought resistance by controlling root hair formation and root system development. Plant Signal Behav. 2016, 11, 11130198. [Google Scholar] [CrossRef] [PubMed]











| Source of Variation | Hybrids | Residual |
|---|---|---|
| Number of degrees of freedom | 185 | 371 |
| Cob length [cm] | 2.885 *** | 0.4724 |
| Cob diameter [cm] | 0.08561 *** | 0.01712 |
| Core length [cm] | 3.0157 *** | 0.4496 |
| Core diameter [cm] | 0.059356 *** | 0.006924 |
| The number of rows, of grain | 7.5731 *** | 0.7037 |
| The number of grains in a row | 14.708 *** | 2.741 |
| Mass of grain from the cob [g] | 608.9 *** | 230.4 |
| Weight of one thousand grains [g] | 4994.3 *** | 585.1 |
| Yield from the plot [kg] | 1.4167 *** | 0.2919 |
| Dry matter content after harvest [t ha−1] | 7.5033 *** | 0.3281 |
| Yield [t ha−1] | 4.304 *** | 1.076 |
| Trait | Number of SilicoDArT and SNP Markers | Effect | Percentage of Explained Variation | LOD | ||||||
|---|---|---|---|---|---|---|---|---|---|---|
| Min. | Max. | Average | Min. | Max. | Average | Min. | Max. | Average | ||
| Cob length [cm] | 6564 | −0.88 | 0.905 | −0.03 | 1.7 | 19.1 | 8.33 | 1.34 | 8.96 | 4.17 |
| Cob diameter [cm] | 2636 | −0.153 | 0.152 | −0.01 | 1.7 | 16.9 | 3.87 | 1.3 | 7.93 | 2.26 |
| Core length [cm] | 1983 | −0.979 | 1.151 | −0.002 | 1.7 | 11.8 | 2.67 | 1.3 | 5.65 | 1.74 |
| Core diameter [cm] | 3698 | −0.1026 | 0.1051 | 0.006 | 1.7 | 11.3 | 2.93 | 1.3 | 5.43 | 1.86 |
| The number of rows of grain | 6960 | −2.119 | 2.064 | −0.066 | 1.7 | 42.1 | 20.96 | 1.3 | 11 | 8.17 |
| The number of grains in a row | 6721 | −2.423 | 2.522 | −0.073 | 1.7 | 30.9 | 13.71 | 1.3 | 11 | 6.57 |
| Mass of grain from the cob [g] | 1490 | −12.98 | 10.1 | −1.35 | 1.7 | 16.5 | 3.41 | 1.3 | 7.74 | 2.06 |
| Weight of one thousand grains [g] | 6616 | −56.04 | 56.45 | 1.27 | 1.7 | 47.8 | 24.54 | 1.3 | 11 | 8.77 |
| Yield from the plot [kg] | 1237 | −0.659 | 0.573 | −0.015 | 1.7 | 17.4 | 3.66 | 1.3 | 8.18 | 2.17 |
| Dry matter content after harvest | 6857 | −1.595 | 1.847 | −0.01 | 1.7 | 32.7 | 12.4 | 1.3 | 11 | 5.97 |
| Yield (t ha−1) | 1114 | −1.048 | 0.976 | −0.04 | 1.7 | 15.5 | 3.56 | 1.3 | 7.32 | 2.13 |
| Total | 45,876 | |||||||||
| Marker Number | Marker Type | Chromosome Number | Marker Sequence | Location on the Chromosome |
|---|---|---|---|---|
| 459199 | Silico DArT | Chr 7, 2701849 | TGCAGTATTCTTCCAAAACTGTGAAAAAACTTCACTCCCAAACACCCCCTTAGATGCATGAGATCGGAA | <0.5 Kbp upstream LOC103643803 L-ascorbate oxidase ho olog [Zea mays], LOC100282329 uncharacterized <4 Kbp downstream, LOC100282329 [Zea mays] (according to Conserved Domains myblike DNA-binding domain, SHAQKYF class) <6K bp upstream LOC100272988 putative TCP-1/cpn60 chaperonin family protein [Zea mays] <15 Kbp upstream LOC109939247 putative disease resistance RPP13-like protein 1 [Zea mays] |
| 9692004 | SNP | Chr 8, 138269978 | TGCAGTGACCAGTTTTTCTTTTGGCATTAGAGAACACCCCTTGACATGAGATCGGAAGAGCGGTTCAGC | <In exon 5 of LOC103637325 uncharacterized LOC103637325 [Zea mays] <10 Kbp LOC100383831 uncharacterized LOC100383831 [Zea mays] <88 Kbp upstream LOC100273381 WAT1-related protein [Zea mays] |
| 2447305 | Silico DArT | Chr 10, 94117501 | TGCAGCTAACCCCAGCCATCCAGAGCGTGGGTGGAGCTGAATTCACTTCACTACCTGCTCTGCATCTGA | <63 Kbp downstream LOC100502418 uncharacterized LOC100502418 [Zea mays] <114 Kbp downstream LOC100277156 Tyrosine-specific protein phosphatase-like [Zea mays] <204 Kbp upshream LOC100196928 heat shock protein HSP82 [Zea mays] |
| 4768759 | Silico DArT | Chr 8, 14945867 | TGCAGCTCGATCGAAAAAGAGGCTTCTAACATCATCGACCACCAAAACCTCTCGCCCTCTATGGTGGCT | <1.6 Kbp downstream LOC103636090 sphingoid long-chainbase kinase 1 [Zea mays] <3.4 Kbp upshream LOC103636089 S-type anion channel SLAH2 [Zea mays] <9.4 Kbp downstream, LOC103636092 uncharacterized LOC103636092 [Zea mays] <15 Kbp downstream, LOC103636093 probable ADP-ribosylation factor GTPase-activating protein AGD11 [Zea mays] |
| 4579916 | Silico DArT | Chr 8, 134706585 | TGCAGAGGCCCAGGGCTGAAACAGGTAACAGGGGGCCCCCCAGTTTACCCACTGTGCATGAGATCGGAA | <53 Kbp downstream LOC541960 liguleless 4 [Zea mays] <68 Kbp upshream LOC100192799 uncharacterized LOC100192799 [Zea mays] <123 Kbp downstream LOC100381846 uncharacterized LOC100381846 [Zea mays] |
| 4764335 | Silico DArT | Chr 10, 95820145 | TGCAGGTTGGGGGCAGTTGACCAGGGGAAAGAGATAGAGAGAGGCATGAGATCGGAAGAGCGGTTCAGC | <63 Kbp downstream LOC100502418 uncharacterized LOC100502418 [Zea mays] <114 Kbp downstream LOC100277156 Tyrosine specific protein phosphatase-like [Zea mays] <204 Kbp upshream LOC100196928 heat shock protein HSP82 [Zea mays] |
| 2448946 | Silico DArT | Chr 10, 90018580 | TGCAGGTTGAGTGCTAGCTTGGGCGTCGTGCCTGGGGTCTGGCGACTTGGATGTTGAGCTGGGCTTCAG | <In exon 4 of LOC100191174 uncharacterized LOC100191174 [Zea mays] <1.2 Kbp upstream, LOC100280761 RNA-binding protein 8A [Zea mays] <69 Kbp downstream LOC103641365 benzyl alcohol O-benzoyltransferase [Zea mays] <87 Kbp downstream LOC103641366 dof zinc finger protein DOF1.6 [Zea mays] |
| 2492509 | Silico DArT | Chr8, 152554177 | TGCAGGACCAAGCTACACCCTTGCCGCAGAATCAGGTATCTACGCTAGGGGTCCAGCATCTGCTAGCAT | <14 Kbp downstream LOC103636139 uncharacterized LOC103636139 <33 Kbp upstream, LOC100281900 uncharacterized LOC100281900 [Zea mays] <129 Kbp downstream LOC103636140 carboxyl-terminal-processing peptidase 1, chloroplastic [Zea mays] <195 Kbp upstream, LOC100191225 AMSH-like ubiquitin thioesterase 2 [Zea mays] |
| 4774802 | Silico DArT | Chr8, 135947328 | TGCAGCGCTCGCATATATATAATGGATGCAGACATTATACATGAGATCGGAAGAGCGGTTCAGCAGGAA | <300 bp downstream, LOC103635953 putative WUSCHEL-related homeobox 2 [Zea mays] <46 Kbp bp downstream LOC100280464 uncharacterized LOC100280464 [Zea mays] <62 Kbp bp downstream LOC103637304 uncharacterized LOC103637304 [Zea mays] <80 Kbp bp downstream LOC100281170 loricrin [Zea mays] |
| 5587791 | SNP | Chr8, 170180050 | TGCAGAGCCAGCTGGCGGAGGGCGGGAATGGTGGCGGTGCTATTATCGCGTGCCACCACCGGGAGTCGA | <In exon 5 of LOC100383455 U-box domain-containing protein 7 [Zea mays] <4 Kbp bp downstream LOC103636398 phospholipase A1 EG1, chloroplastic/mitochondrial [Zea mays] <12 Kbp upstream LOC100191367 uncharacterized LOC100191367 [Zea mays] <21 Kbp upstream LOC100272376 uncharacterized LOC100272376 [Zea mays] |
| Marker | Marker Type | Polymorphism Identified in the Marker | Primer Names for Polymorphism Identification | Primer Sequences for Polymorphism Identification (5′→3′) | PCR Product (bp) |
|---|---|---|---|---|---|
| 459199 | SilicoDArT—couldn’t design a pair of starters | ||||
| 9692004 | SNP | SNP | 9692004_SNP_F | CTCTAATGCCAAAAGAAAAACTGCC | 258 |
| 9692004_SNP_R | GTCTGTAAGATCACTATTTAGAGCC | ||||
| 2447305 | SilicoDArT | Insertion + SNP | 2447305_DArTiSNP_F | CAGAGCGTGGGTGGAGCCG | 969 |
| 2447305_DArTiSNP_R | GTCTGCTTCACTCGAGCCAGAACG | ||||
| 4768759 | SilicoDArT | Deletion | 4768759_DArT_F | GATCGGAAGAGCCACCATAG | 247 |
| 4768759_DArT_SNP_R | AATAAGCCGATCAAATTCGACGTC | ||||
| SNP | 4768759_SNP_F | AGAGGGCGAGAGGTTTGG | 229 | ||
| 4768759_DArT_SNP_R | AATAAGCCGATCAAATTCGACGTC | ||||
| 4579916 | SilicoDArT | SNP | 4579916_SNP_F | GCAGAGGCCCAGGGCTGAAACAGTT | 407 |
| 4579916_SNP_R | AGCACCAATAAGTACAACACTAAGG | ||||
| Deletion | 4579916_SNPDArT_F | CGACAACGAGACCGGCGGCA | 221 | ||
| 4579916_SNPDArT_R | ATGCACAGTGGGTAAACTGGGGGCC | ||||
| 4764335 | SilicoDArT | SNP | 4764335_SNP1_F | GACAACATGCCTCTCTCTATCTCGT | 130 |
| 4764335_SNP1_R | AATGACAGCTTACCCCTTAATTCTCG | ||||
| SNP | 4764335_SNP2_F | ACGTACAGCAGAGTCAACTACCTCT | 288 | ||
| 4764335_SNP2_R | CAGGTTGGGGGCAGTTGACCGG | ||||
| 2448946 | SilicoDArT | SNP | 2448946_SNP_F | GGTTGAGTGCTAGCTTGGCC | 280 |
| 2448946_SNP_R | ATCTTCACTGACCTATCTCAAAAC | ||||
| 2492509 | SilicoDArT | SNP + Deletion | 2492509_SNPiDel1_F | CTGGTCGCGTGCCTCGTCACC | 217 |
| 2492509_SNPiDel1_R | TTGCCGCAGAATCAGGTATCTACAC | ||||
| Deletion | 2492509_Del2_F | TGCGGCAAGGGTGTAGCTTGG | 360 | ||
| 2492509_Del2_R | AGATAGAAATAAACCCCACTCCATTGG | ||||
| 4774802 | SilicoDArT | SNP + Deletion | 4774802_SNPDel_F | TGCAGTACACATGTCCTTC | 121 |
| 4774802_SNPDel_R | CGCATATATATAATGGATGAA | ||||
| Insertion | 4774802_Ins_F | CCATTATATATATGCGAGCG | 225 | ||
| 4774802_Ins_R | TCAGTTTGTTTGGTTGTAAGTTG | ||||
| 5587791 | SNP | SNP | 5587791_SNP_F | TATCGCGTGCCACCACCGGGAGTTC | 282 |
| 5587791_SNP_R | CCGAGGAGGTGGGGGAAGAAC | ||||
Disclaimer/Publisher’s Note: The statements, opinions and data contained in all publications are solely those of the individual author(s) and contributor(s) and not of MDPI and/or the editor(s). MDPI and/or the editor(s) disclaim responsibility for any injury to people or property resulting from any ideas, methods, instructions or products referred to in the content. |
© 2025 by the authors. Licensee MDPI, Basel, Switzerland. This article is an open access article distributed under the terms and conditions of the Creative Commons Attribution (CC BY) license (https://creativecommons.org/licenses/by/4.0/).
Share and Cite
Lenort, M.; Tomkowiak, A.; Bocianowski, J.; Bobrowska, R.; Kurasiak-Popowska, D.; Mikołajczyk, S.; Kosiada, T.; Weigt, D.; Gawrysiak, P. Using Genome-Wide Association Studies to Reveal DArTseq and SNP Loci Associated with Agronomic Traits and Yield in Maize. Curr. Issues Mol. Biol. 2025, 47, 1008. https://doi.org/10.3390/cimb47121008
Lenort M, Tomkowiak A, Bocianowski J, Bobrowska R, Kurasiak-Popowska D, Mikołajczyk S, Kosiada T, Weigt D, Gawrysiak P. Using Genome-Wide Association Studies to Reveal DArTseq and SNP Loci Associated with Agronomic Traits and Yield in Maize. Current Issues in Molecular Biology. 2025; 47(12):1008. https://doi.org/10.3390/cimb47121008
Chicago/Turabian StyleLenort, Maciej, Agnieszka Tomkowiak, Jan Bocianowski, Roksana Bobrowska, Danuta Kurasiak-Popowska, Sylwia Mikołajczyk, Tomasz Kosiada, Dorota Weigt, and Przemysław Gawrysiak. 2025. "Using Genome-Wide Association Studies to Reveal DArTseq and SNP Loci Associated with Agronomic Traits and Yield in Maize" Current Issues in Molecular Biology 47, no. 12: 1008. https://doi.org/10.3390/cimb47121008
APA StyleLenort, M., Tomkowiak, A., Bocianowski, J., Bobrowska, R., Kurasiak-Popowska, D., Mikołajczyk, S., Kosiada, T., Weigt, D., & Gawrysiak, P. (2025). Using Genome-Wide Association Studies to Reveal DArTseq and SNP Loci Associated with Agronomic Traits and Yield in Maize. Current Issues in Molecular Biology, 47(12), 1008. https://doi.org/10.3390/cimb47121008

