Studies of Indium Tin Oxide-Based Sensing Electrodes in Potentiometric Zirconia Solid Electrolyte Gas Sensors
Abstract
:1. Introduction and Theoretical Background
1.1. Sensor Principle and Response to Oxygen
1.2. Reference Electrode
1.3. Sensor Response in the Presence of a Reducing Gas
1.4. Electrode Materials and Aim of the Present Studies
2. Materials and Methods
3. Results and Discussion
3.1. Sensor with Pt Cermet Sensing Electrode
3.1.1. Response Time, Drift, Reproducibility
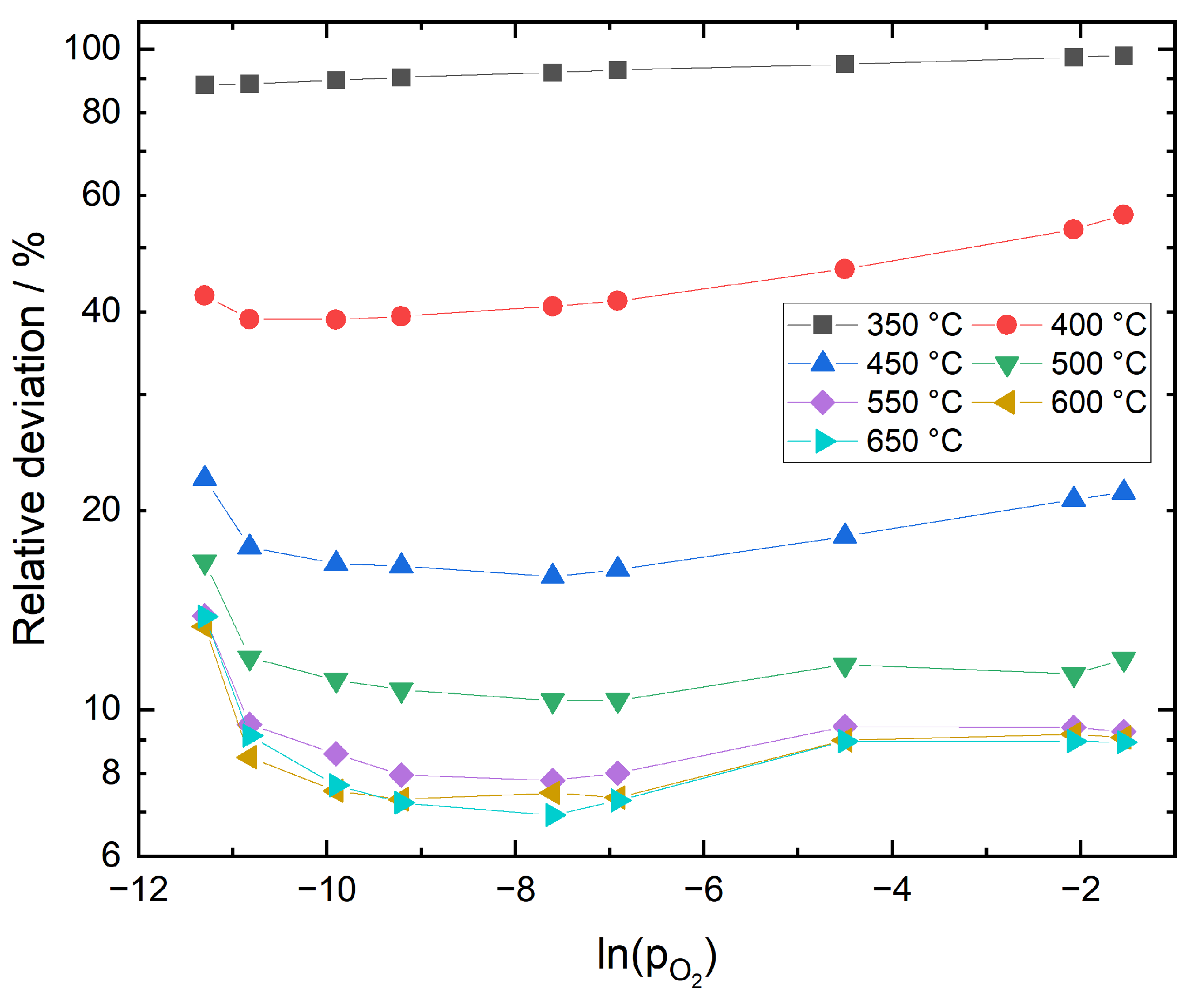
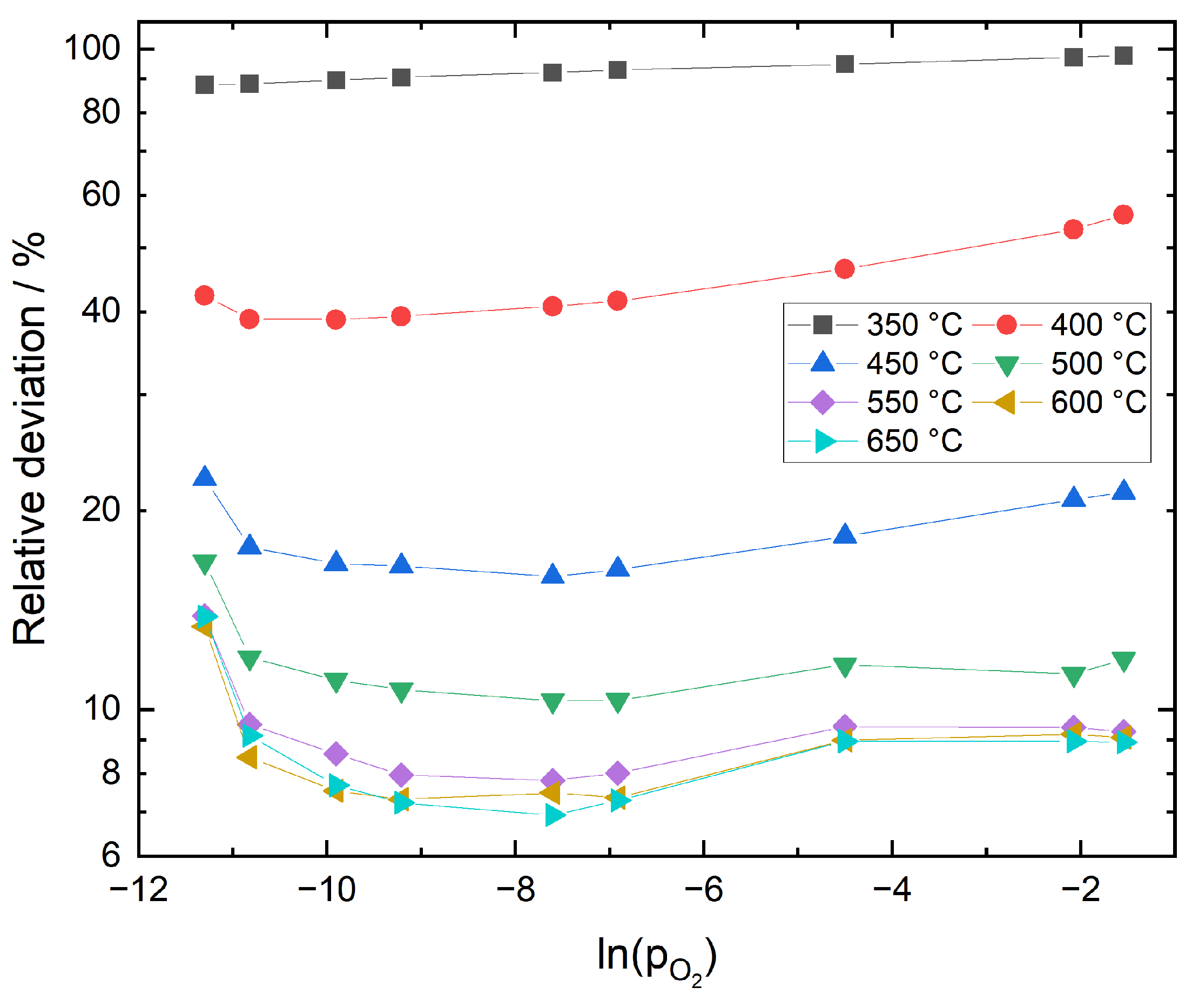
3.1.2. Sensor Response in N2 and O2
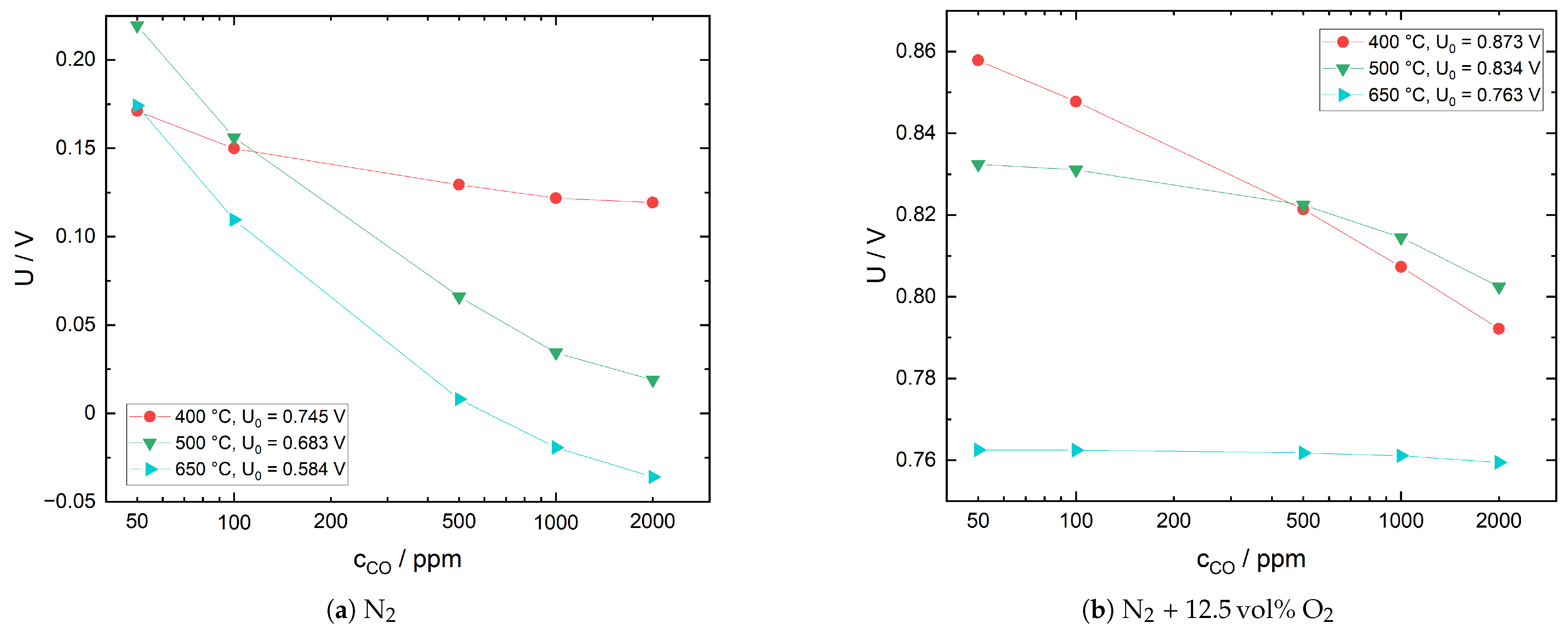
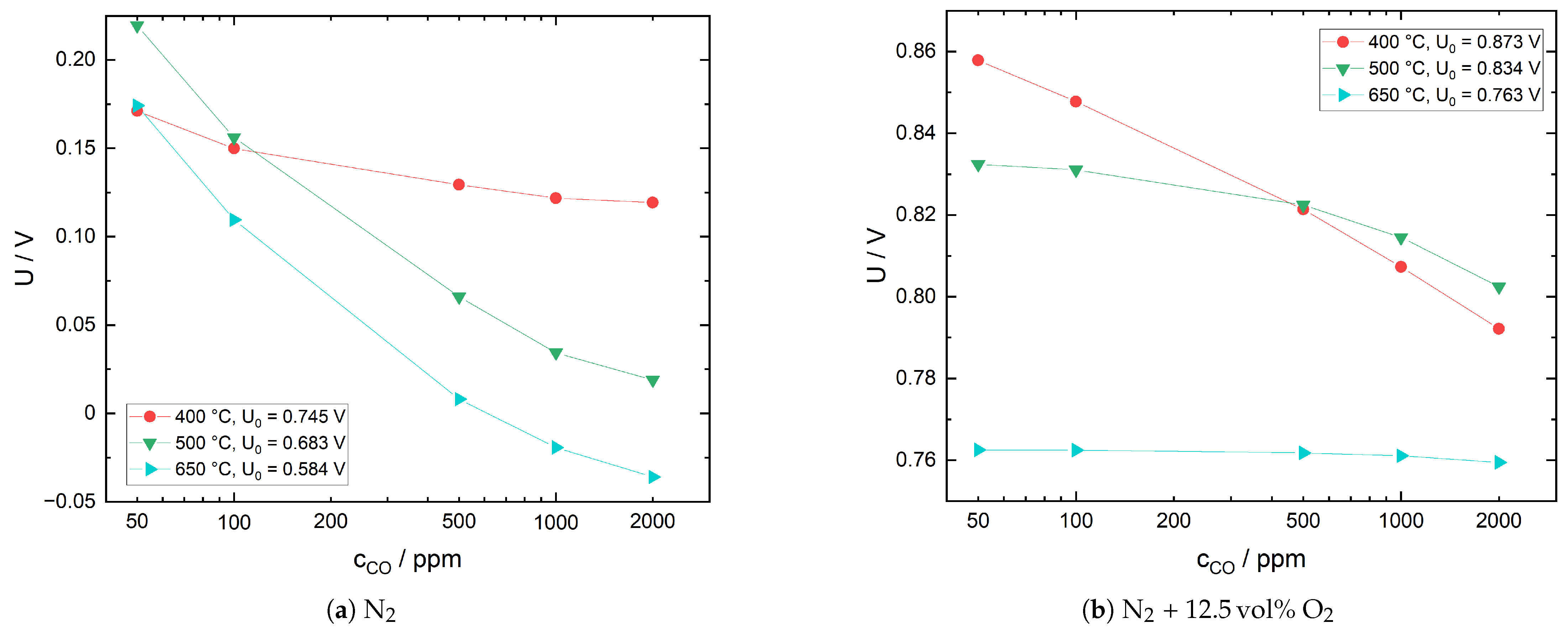
3.1.3. Response Behavior in the Presence of CO
a. N2
b. N2 with 12.5 vol% O2
3.2. Sensor with ITO Sensing Electrode
3.2.1. Basic Sensor Characteristics in N2 and O2
3.2.2. Response Behavior in the Presence of CO
3.3. Comparison of Sensor with Pt Cermet vs. ITO Sensing Electrode
3.3.1. Sensor Voltage as a Function of Oxygen Partial Pressure
3.3.2. Sensor Response to CO
4. Conclusions
Author Contributions
Funding
Institutional Review Board Statement
Informed Consent Statement
Data Availability Statement
Conflicts of Interest
Abbreviations
| 8YSZ | Zirconia, doped with 8 mole % Y2O3 |
| 10Sc1CeSZ | Zirconia, doped with 10 mole % Sc2O3 and 1 mole % CeO2 |
| ITO | Indium tin oxide |
| M | Metal |
| RE | Reference electrode |
| SE | Sensing electrode |
| SZ | Stabilized zirconia |
| TC | Thermocouple |
References
- Weissbart, J.; Ruka, R. Oxygen Gauge. Rev. Sci. Instrum. 1961, 32, 593–595. [Google Scholar] [CrossRef]
- Maskell, W.C.; Steele, B.C.H. Solid State Potentiometric Oxygen Gas Sensors. J. Appl. Electrochem. 1986, 16, 475–489. [Google Scholar] [CrossRef]
- Wiemhoefer, H.D.; Goepel, W. Fundamentals and principles of potentiometric gas sensors based upon solid electrolytes. Sens. Actuators B Chem. 1991, 4, 365–372. [Google Scholar] [CrossRef]
- Erdoes, E.; Altorfer, H. Untersuchungen an Referenz- und Indikatorelektroden für sulfatische Salzschmelzen bei 900 °C. Electrochim. Acta 1975, 20, 937–944. [Google Scholar] [CrossRef]
- Shimonosono, T.; Kishimoto, H.; Yamaji, K.; Nishi, M.; Brito, M.E.; Horita, T.; Yokokawa, H. Electronic Conductivity of Scandia-Stabilized Zirconia Doped with 1 Mol% CeO2. ECS Trans. 2012, 45, 193–199. [Google Scholar] [CrossRef]
- Wagner, C. Beitrag Zur Theorie Des Anlaufvorgangs. Z. Phys. Chem. 1933, 21B, 25–41. [Google Scholar] [CrossRef]
- Weppner, W. Electronic Transport Properties and Electrically Induced P-n Junction in ZrO2 + 10 m/o Y2O3. J. Solid State Chem. 1977, 20, 305–314. [Google Scholar] [CrossRef]
- Dietrich, S. Funktionale Schichten für Gassensorische Anwendungen. Ph.D. Thesis, Technische Universität Dresden, Department of Materials Science and Engineering, Dresden, Germany, 2018. [Google Scholar]
- Holmes, R.; O’Neill, H.S.C.; Arculus, R.J. Standard Gibbs Free Energy of Formation for Cu2O, NiO, CoO, and FeO: High Resolution Electrochemical Measurements Using Zirconia Solid Electrolytes from 900–1400 K. Geochim. Cosmochim. Acta 1986, 50, 2439–2452. [Google Scholar] [CrossRef]
- Steiner, R. Festelektrolytzellen auf ZrO2-Basis und deren Anwendungen. Chem. Ing. Tech. CIT 1972, 44, 152–154. [Google Scholar] [CrossRef]
- Spirig, J.V.; Ramamoorthy, R.; Akbar, S.A.; Routbort, J.L.; Singh, D.; Dutta, P.K. High Temperature Zirconia Oxygen Sensor with Sealed Metal/Metal Oxide Internal Reference. Sens. Actuators B Chem. 2007, 124, 192–201. [Google Scholar] [CrossRef]
- Etsell, T.H.; Flengas, S.N. Overpotential Behavior of Stabilized Zirconia Solid Electrolyte Fuel Cells. J. Electrochem. Soc. 1971, 118, 1890. [Google Scholar] [CrossRef]
- Fleming, W.J. Physical Principles Governing Nonideal Behavior of the Zirconia Oxygen Sensor. J. Electrochem. Soc. 1977, 124, 21. [Google Scholar] [CrossRef]
- Anderson, J.E. Steady-State Characteristics of Oxygen Concentration Cell Sensors Subjected to Nonequilibrium Gas Mixtures. J. Electrochem. Soc. 1981, 128, 294. [Google Scholar] [CrossRef]
- Lu, G. Mixed Potential Hydrogen Sensor Combining Oxide Ion Conductor with Oxide Electrode. J. Electrochem. Soc. 1996, 143, L154. [Google Scholar] [CrossRef]
- Miura, N.; Yan, Y.; Lu, G.; Yamazoe, N. Sensing Characteristics and Mechanism of Hydrogen Sulfide Sensor Using Stabilized Zirconia and Oxide Sensing Electrode. Sens. Actuators B Chem. 1996, 34, 367–372. [Google Scholar] [CrossRef]
- Haaland, D.M. Noncatalytic Electrodes for Solid-Electrolyte Oxygen Sensors. J. Electrochem. Soc. 1980, 127, 796. [Google Scholar] [CrossRef]
- Guth, U.; Zosel, J. Electrochemical Solid Electrolyte Gas Sensors—Hydrocarbon and NOX Analysis in Exhaust Gases. Ionics 2004, 10, 366–377. [Google Scholar] [CrossRef]
- Zosel, J.; Schiffel, G.; Gerlach, F.; Ahlborn, K.; Sasum, U.; Vashook, V.; Guth, U. Electrode Materials for Potentiometric Hydrogen Sensors. Solid State Ion. 2006, 177, 2301–2304. [Google Scholar] [CrossRef]
- Chevallier, L.; Di Bartolomeo, E.; Grilli, M.L.; Mainas, M.; White, B.M.; Wachsman, E.D.; Traversa, E. Non-Nernstian Planar Sensors Based on YSZ with a Nb2O5 Electrode. ECS Trans. 2006, 1, 163–171. [Google Scholar] [CrossRef]
- Jiao, Z.; Wu, M.; Gu, J.; Sun, X. The Gas Sensing Characteristics of ITO Thin Film Prepared by Sol–Gel Method. Sens. Actuators B Chem. 2003, 94, 216–221. [Google Scholar] [CrossRef]
- Vaishnav, V.; Patel, S.; Panchal, J. Development of ITO Thin Film Sensor for Detection of Benzene. Sens. Actuators B Chem. 2015, 206, 381–388. [Google Scholar] [CrossRef]
- Sberveglieri, G.; Benussi, P.; Coccoli, G.; Groppelli, S.; Nelli, P. Reactively Sputtered Indium Tin Oxide Polycrystalline Thin Films as NO and NO2 Gas Sensors. Thin Solid Films 1990, 186, 349–360. [Google Scholar] [CrossRef]
- Neri, G.; Bonavita, A.; Micali, G.; Rizzo, G.; Pinna, N.; Niederberger, M.; Ba, J. A Study on the Microstructure and Gas Sensing Properties of ITO Nanocrystals. Thin Solid Films 2007, 515, 8637–8640. [Google Scholar] [CrossRef]
- Salehi, A. Preparation and Characterization of Proton Implanted Indium Tin Oxide Selective Gas Sensors. Sens. Actuators B Chem. 2003, 94, 184–188. [Google Scholar] [CrossRef]
- Yadav, B.C.; Agrahari, K.; Singh, S.; Yadav, T.P. Fabrication and Characterization of Nanostructured Indium Tin Oxide Film and Its Application as Humidity and Gas Sensors. J. Mater. Sci. Mater. Electron. 2016, 27, 4172–4179. [Google Scholar] [CrossRef]
- Patel, N.; Makhija, K.; Panchal, C. Fabrication of Carbon Dioxide Gas Sensor and Its Alarm System Using Indium Tin Oxide (ITO) Thin Films. Sens. Actuators B Chem. 1994, 21, 193–197. [Google Scholar] [CrossRef]
- Kim, B. Effects of Crystal Structures on Gas Sensing Properties of Nanocrystalline ITO Thick Films. Sens. Actuators B Chem. 2003, 89, 180–186. [Google Scholar] [CrossRef]
- Vaishnav, V.; Patel, P.; Patel, N. Indium Tin Oxide Thin Film Gas Sensors for Detection of Ethanol Vapours. Thin Solid Films 2005, 490, 94–100. [Google Scholar] [CrossRef]
- Lee, S.M.; Lee, Y.S.; Shim, C.H.; Choi, N.J.; Joo, B.S.; Song, K.D.; Huh, J.S.; Lee, D.D. Three Electrodes Gas Sensor Based on ITO Thin Film. Sens. Actuators B Chem. 2003, 93, 31–35. [Google Scholar] [CrossRef]
- Patel, N.; Patel, P.; Vaishnav, V. Indium Tin Oxide (ITO) Thin Film Gas Sensor for Detection of Methanol at Room Temperature. Sens. Actuators B Chem. 2003, 96, 180–189. [Google Scholar] [CrossRef]
- Mbarek, H.; Saadoun, M.; Bessaïs, B. Screen-Printed Tin-Doped Indium Oxide (ITO) Films for NH3 Gas Sensing. Mater. Sci. Eng. C 2006, 26, 500–504. [Google Scholar] [CrossRef]
- Sako, T.; Ohmi, A.; Yumoto, H.; Nishiyama, K. ITO-Film Gas Sensor for Measuring Photodecomposition of NO2 Gas. Surf. Coat. Technol. 2001, 142–144, 781–785. [Google Scholar] [CrossRef]
- Forleo, A.; Francioso, L.; Epifani, M.; Capone, S.; Taurino, A.; Siciliano, P. NO2-Gas-Sensing Properties of Mixed In2O3–SnO2 Thin Films. Thin Solid Films 2005, 490, 68–73. [Google Scholar] [CrossRef]
- Sberveglieri, G.; Groppelli, S.; Coccoli, G. Radio Frequency Magnetron Sputtering Growth and Characterization of Indium-Tin Oxide (ITO) Thin Films for NO2 Gas Sensors. Sens. Actuators 1988, 15, 235–242. [Google Scholar] [CrossRef]
- Vaishnav, V.; Patel, S.; Panchal, J. Development of Indium Tin Oxide Thin Film Toluene Sensor. Sens. Actuators B Chem. 2015, 210, 165–172. [Google Scholar] [CrossRef]
- Wiegleb, G.; Heitbaum, J. Halbleiter-Gassensor Auf Der Basis von Indiumzinnoxid. Exp. Tech. Phys. 1991, 39, 227–237. [Google Scholar]
- Li, X.; Kale, G.M. Influence of Thickness of ITO Sensing Electrode Film on Sensing Performance of Planar Mixed Potential CO Sensor. Sens. Actuators B Chem. 2006, 120, 150–155. [Google Scholar] [CrossRef]
- Martin, L.; Glass, R.S. Hydrogen Sensor Based on YSZ Electrolyte and Tin-Doped Indium Oxide Electrode. J. Electrochem. Soc. 2005, 152, H43–H47. [Google Scholar] [CrossRef]
- Dietrich, S.; Kusnezoff, M.; Petasch, U.; Michaelis, A. Evaluation of Indium Tin Oxide for Gas Sensing Applications: Adsorption/Desorption and Electrical Conductivity Studies on Powders and Thick Films. Sensors 2021, 21, 497. [Google Scholar] [CrossRef] [PubMed]
- Rost, A. Degradation of Sealing Glasses for SOFC under Electrical Load and Dual Atmosphere. J. Ceram. Sci. Technol. 2012, 3, 69–79. [Google Scholar] [CrossRef]
- Comert, H.; Pratt, J. The Standard Molar Gibbs Free Energy of Formation of NiO from High-Temperature e.m.f. Measurements. J. Chem. Thermodyn. 1984, 16, 1145–1148. [Google Scholar] [CrossRef]
- O’Neill, H.S.C. Free Energies of Formation of NiO, CoO, Ni2SiO4, and Co2SiO4. Am. Mineral. 1987, 72, 280–291. [Google Scholar]
- Brailsford, A.; Yussouff, M.; Logothetis, E.; Wang, T.; Soltis, R. Experimental and Theoretical Study of the Response of ZrO2 Oxygen Sensors to Simple One-Reducing-Gas Mixtures. Sens. Actuators B Chem. 1997, 42, 15–26. [Google Scholar] [CrossRef]
- Baier, G.; Schuele, V.; Vogel, A. Non-Nernstian Zirconia Sensors for Combustion Control. Appl. Phys. A Solids Surf. 1993, 57, 51–56. [Google Scholar] [CrossRef]
- Brailsford, A.; Yussouff, M.; Logothetis, E. A First Principles Model of Metal Oxide Gas Sensors for Measuring Combustibles. Sens. Actuators B Chem. 1998, 49, 93–100. [Google Scholar] [CrossRef]
- Garzon, F. Solid-State Mixed Potential Gas Sensors: Theory, Experiments and Challenges. Solid State Ion. 2000, 136–137, 633–638. [Google Scholar] [CrossRef]
- Kohl, D. Surface Processes in the Detection of Reducing Gases with SnO2-Based Devices. Sens. Actuators 1989, 18, 71–113. [Google Scholar] [CrossRef]









| °C | °C | °C | °C |
|---|---|---|---|
| 350.8 | 249.6 | 7.2 | 101.1 |
| 400.2 | 379.2 | 3.7 | 21.0 |
| 450.1 | 447.8 | 2.1 | 2.3 |
| 500.4 | 501.4 | 1.8 | 1.0 |
| 549.8 | 550.6 | 1.7 | 0.8 |
| 599.0 | 599.4 | 1.9 | 0.5 |
| 648.9 | 649.6 | 2.2 | 0.8 |
| T | Rel. Error | ||
|---|---|---|---|
| °C | K | bar | % |
| 350 | 1 | 14 | |
| 350 | 5 | 72 | |
| 500 | 1 | 9 | |
| 500 | 5 | 47 | |
| 650 | 1 | 7 | |
| 650 | 5 | 33 |
Publisher’s Note: MDPI stays neutral with regard to jurisdictional claims in published maps and institutional affiliations. |
© 2021 by the authors. Licensee MDPI, Basel, Switzerland. This article is an open access article distributed under the terms and conditions of the Creative Commons Attribution (CC BY) license (http://creativecommons.org/licenses/by/4.0/).
Share and Cite
Dietrich, S.; Kusnezoff, M.; Michaelis, A. Studies of Indium Tin Oxide-Based Sensing Electrodes in Potentiometric Zirconia Solid Electrolyte Gas Sensors. Sensors 2021, 21, 2345. https://doi.org/10.3390/s21072345
Dietrich S, Kusnezoff M, Michaelis A. Studies of Indium Tin Oxide-Based Sensing Electrodes in Potentiometric Zirconia Solid Electrolyte Gas Sensors. Sensors. 2021; 21(7):2345. https://doi.org/10.3390/s21072345
Chicago/Turabian StyleDietrich, Stefan, Mihails Kusnezoff, and Alexander Michaelis. 2021. "Studies of Indium Tin Oxide-Based Sensing Electrodes in Potentiometric Zirconia Solid Electrolyte Gas Sensors" Sensors 21, no. 7: 2345. https://doi.org/10.3390/s21072345
APA StyleDietrich, S., Kusnezoff, M., & Michaelis, A. (2021). Studies of Indium Tin Oxide-Based Sensing Electrodes in Potentiometric Zirconia Solid Electrolyte Gas Sensors. Sensors, 21(7), 2345. https://doi.org/10.3390/s21072345

