Multi-Parametric Analysis of Reliability and Energy Consumption in IoT: A Deep Learning Approach
Abstract
1. Introduction
- Diversified QoS requirements in ever-evolving WSN and IoT infrastructure.
 - Intrinsic NP-hardness of the optimization problems to facilitate multi-objective and conflicting QoS goals.
 - Communication infrastructure that makes it viable for large-scale performance data to become available, and
 - Availability of sophisticated, robust, and practical deep learning algorithms that can learn from data and promise adaptivity with near optimal accuracy.
 
- Analysis of the relationship between and in relation to more than 48,000 stacks of parameter configurations.
 - Development and evaluation of a deep learning model for predicting and . It is elaborated that the deep learning model, with a suitable set of parameters, can be implemented on a well-equipped remote server, thus facilitating rich learning results by use of sophisticated algorithms trained on large, growing and diversifying performance data.
 - Keeping the resource-constrained user-devices free from the computational load by making the prediction data available to the user premises in the form of :, and : pairs. This data can be directly used for choosing values of communication parameters, meeting the constraint for metrics under consideration.
 - Desirably accurate estimation of performance metrics without having to deal with the optimization problems which are intrinsically NP-hard.
 - A flexible and evolving system that can adapt to the circumstantial and even design changes that may occur over time. This adaptiveness can facilitate a sustainable system in contrast to the most client-side approaches where learning is based on the missing value prediction in the output matrix rather than the input communication parameters.
 
2. Related Work
2.1. Client-Side Predictions
2.2. Server-Side Predictions
3. System Model
3.1. Overview
3.2. The Data
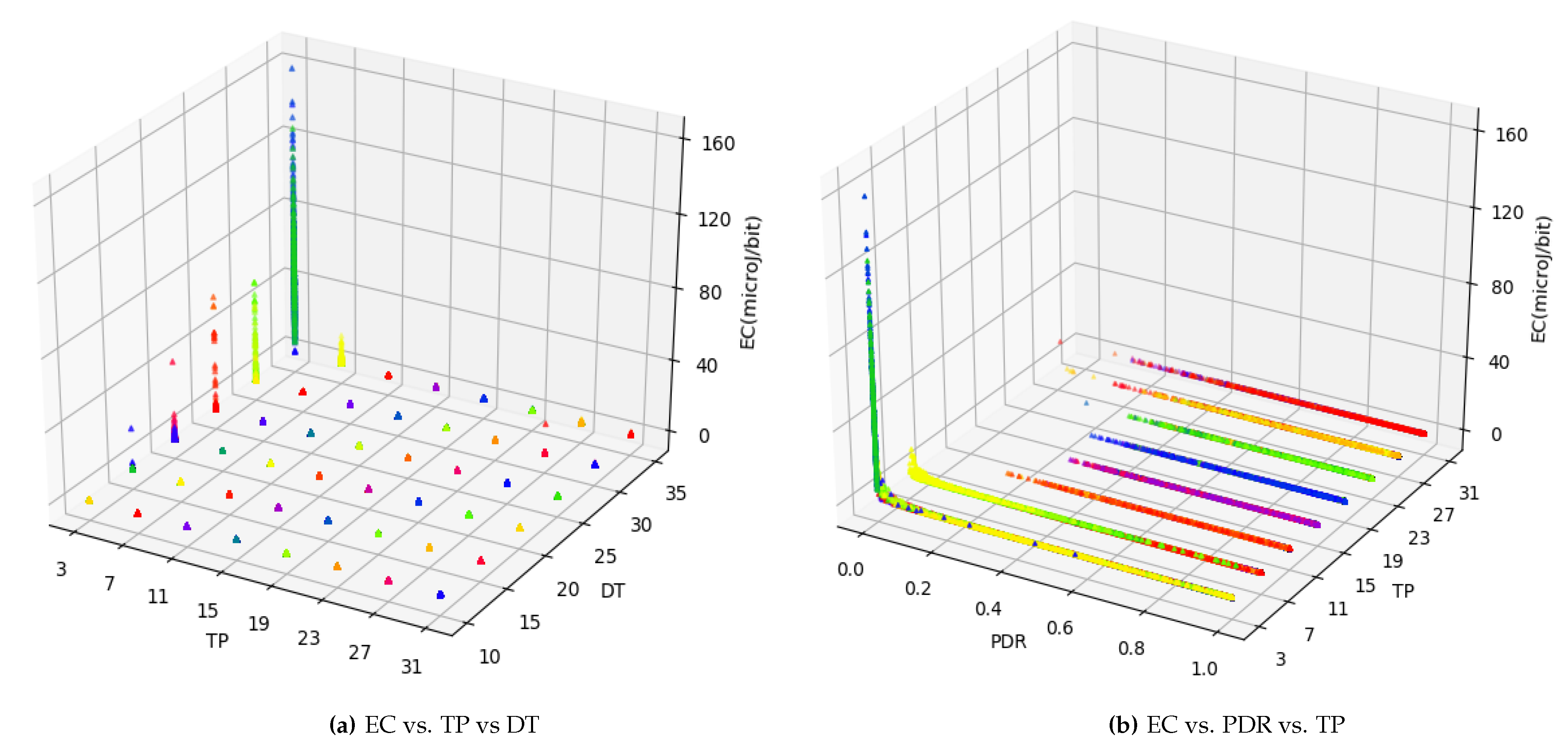
Key Observations
3.3. Deep Learning
Model Evaluation
| Algorithm 1: The deep learning based procedure to predict and | 
![]()  | 
4. Results and Discussion
4.1. Packet Delivery Ratio
4.2. Energy Consumption
4.2.1. Dense Data
4.2.2. Sparse Data
5. Conclusions and Future Work
Author Contributions
Funding
Conflicts of Interest
References
- Akyildiz, I.F.; Su, W.; Sankarasubramaniam, Y.; Cayirci, E. Wireless sensor networks: A survey. Comput. Netw. 2000, 38, 393–422. [Google Scholar] [CrossRef]
 - Ghayvat, H.; Mukhopadhyay, S.; Gui, X.; Suryadevara, N. WSN-and IOT-based smart homes and their extension to smart buildings. Sensors 2015, 15, 10350–10379. [Google Scholar] [CrossRef] [PubMed]
 - Mainetti, L.; Patrono, L.; Vilei, A. Evolution of wireless sensor networks towards the internet of things: A survey. In Proceedings of the 19th International Conference on Software, Telecommunications and Computer Networks (SoftCOM), Split, Croatia, 15–17 September 2011; pp. 1–6. [Google Scholar]
 - Al-Fuqaha, A.; Guizani, M.; Mohammadi, M.; Aledhari, M.; Ayyash, M. Internet of things: A survey on enabling technologies, protocols, and applications. IEEE Commun. Surv. Tutor. 2015, 17, 2347–2376. [Google Scholar] [CrossRef]
 - Strazdins, G.; Elsts, A.; Nesenbergs, K.; Selavo, L. Wireless sensor network operating system design rules based on real-world deployment survey. J. Sens. Actuator Netw. 2013, 2, 509–556. [Google Scholar] [CrossRef]
 - Al-Anbagi, I.; Erol-Kantarci, M.; Mouftah, H.T. A survey on cross-layer quality-of-service approaches in WSNs for delay and reliability-aware applications. IEEE Commun. Surv. Tutor. 2016, 18, 525–552. [Google Scholar] [CrossRef]
 - Brogi, A.; Forti, S. QoS-aware deployment of IoT applications through the fog. IEEE Internet Things J. 2017, 4, 1185–1192. [Google Scholar] [CrossRef]
 - White, G.; Palade, A.; Cabrera, C.; Clarke, S. IoTPredict: Collaborative QoS prediction in IoT. In Proceedings of the 2018 IEEE International Conference on Pervasive Computing and Communications (PerCom 2018), Athens, Greece, 19–23 March 2018. [Google Scholar]
 - Fei, Z.; Li, B.; Yang, S.; Xing, C.; Chen, H.; Hanzo, L. A Survey of Multi-Objective Optimization in Wireless Sensor Networks: Metrics, Algorithms, and Open Problems. IEEE Commun. Surv. Tutor. 2017, 19, 550–586. [Google Scholar] [CrossRef]
 - Alsheikh, M.A.; Lin, S.; Niyato, D.; Tan, H.P. Machine learning in wireless sensor networks: Algorithms, strategies, and applications. IEEE Commun. Surv. Tutor. 2014, 16, 1996–2018. [Google Scholar] [CrossRef]
 - Mohammadi, M.; Al-Fuqaha, A.; Sorour, S.; Guizani, M. Deep Learning for IoT Big Data and Streaming Analytics: A Survey. IEEE Commun. Surv. Tutor. 2018, 20, 2923–2960. [Google Scholar] [CrossRef]
 - Cui, L.; Yang, S.; Chen, F.; Ming, Z.; Lu, N.; Qin, J. A survey on application of machine learning for Internet of Things. Int. J. Mach. Learn. Cybern. 2018, 9, 1399–1417. [Google Scholar] [CrossRef]
 - Kulin, M.; Fortuna, C.; De Poorter, E.; Deschrijver, D.; Moerman, I. Data-driven design of intelligent wireless networks: An overview and tutorial. Sensors 2016, 16, 790. [Google Scholar] [CrossRef] [PubMed]
 - Mahmood, M.A.; Seah, W.K.; Welch, I. Reliability in wireless sensor networks: A survey and challenges ahead. Comput. Netw. 2015, 79, 166–187. [Google Scholar] [CrossRef]
 - Baker, T.; Lamb, D.; Taleb-Bendiab, A.; Al-Jumeily, D. Facilitating Semantic Adaptation of Web Services at Runtime Using a Meta-Data Layer. In Proceedings of the IEEE Developments in E-Systems Engineering (DESE), London, UK, 6–8 September 2010; pp. 231–236. [Google Scholar]
 - Al Ridhawi, I.; Aloqaily, M.; Kantarci, B.; Jararweh, Y.; Mouftah, H.T. A continuous diversified vehicular cloud service availability framework for smart cities. Comput. Netw. 2018, 145, 207–218. [Google Scholar] [CrossRef]
 - Aloqaily, M.; Balasubramanian, V.; Zaman, F.; Al Ridhawi, I.; Jararweh, Y. Congestion Mitigation in Densely Crowded Environments for Augmenting QoS in Vehicular Clouds. In Proceedings of the 8th ACM Symposium on Design and Analysis of Intelligent Vehicular Networks and Applications, Montreal, QC, Canada, 28 October–2 November 2018; pp. 49–56. [Google Scholar]
 - Fahim, M.; Baker, T. Knowledge-Based Decision Support Systems for Personalized u-lifecare Big Data Services. In Current Trends on Knowledge-Based Systems; Springer: Cham, Switzerland, 2017; pp. 187–203. [Google Scholar]
 - Liu, T.; Cerpa, A.E. Data-driven link quality prediction using link features. ACM Trans. Sens. Netw. 2014, 10, 37. [Google Scholar] [CrossRef]
 - Werner-Allen, G.; Swieskowski, P.; Welsh, M. Motelab: A wireless sensor network testbed. In Proceedings of the IEEE 4th international symposium on Information processing in sensor networks, Los Angeles, CA, USA, 24–27 April 2005; p. 68. [Google Scholar]
 - White, G.; Palade, A.; Clarke, S. Qos prediction for reliable service composition in Iot. In Proceedings of the International Conference on Service-Oriented Computing, Málaga, Spain, 13–16 November 2017; pp. 149–160. [Google Scholar]
 - Zheng, Z.; Zhang, Y.; Lyu, M.R. Investigating QoS of real-world web services. IEEE Trans. Serv. Comput. 2014, 7, 32–39. [Google Scholar] [CrossRef]
 - White, G.; Palade, A.; Cabrera, C.; Clarke, S. Quantitative Evaluation of QoS Prediction in IoT. In Proceedings of the 2017 47th Annual IEEE/IFIP International Conference on Dependable Systems and Networks Workshop (DSN-W), Denver, CO, USA, 26–29 June 2017; pp. 61–66. [Google Scholar]
 - Kulin, M.; de Poorter, E.; Kazaz, T.; Moerman, I. Poster: Towards a cognitive MAC layer: Predicting the MAC-level performance in Dynamic WSN using Machine learning. In Proceedings of the 2017 International Conference on Embedded Wireless Systems and Networks, Uppsala, Sweden, 20–22 February 2017; pp. 214–215. [Google Scholar]
 - Merima, K.; De Poorter, E.; Kazaz, T.; Moerman, I. MAC-level performance dataset for 802.15.4 WSNs. Available online: https://zenodo.org/record/228613.XBr7OcQRWMo (accessed on 20 December 2018).
 - Wu, H.; Yue, K.; Li, B.; Zhang, B.; Hsu, C.H. Collaborative QoS prediction with context-sensitive matrix factorization. Future Gener. Comput. Syst. 2018, 82, 669–678. [Google Scholar] [CrossRef]
 - White, G.; Palade, A.; Clarke, S. Forecasting qos attributes using lstm networks. In Proceedings of the IEEE International Joint Conference on Neural Networks (IJCNN), Rio de Janeiro, Brazil, 8–13 July 2018; pp. 1–8. [Google Scholar]
 - Cavallo, B.; Di Penta, M.; Canfora, G. An empirical comparison of methods to support QoS-aware service selection. In Proceedings of the ACM 2nd International Workshop on Principles of Engineering Service-Oriented Systems, Cape Town, South Africa, 1–2 May 2010; pp. 64–70. [Google Scholar]
 - White, G.; Andrei, P.; Siobhán, C. Sensor Data. Available online: https://www.scss.tcd.ie/~whiteg5/data/QoS_data.zip (accessed on 10 October 2018).
 - Wu, H.; Zhang, Z.; Luo, J.; Yue, K.; Hsu, C.H. Multiple Attributes QoS Prediction via Deep Neural Model with Contexts. IEEE Trans. Serv. Comput. 2018. [Google Scholar] [CrossRef]
 - Tang, M.; Zhang, T.; Liu, J.; Chen, J. Cloud service QoS prediction via exploiting collaborative filtering and location-based data smoothing. Concurr. Comput. Pract. Exp. 2015, 27, 5826–5839. [Google Scholar] [CrossRef]
 - Akbas, A.; Yildiz, H.U.; Ozbayoglu, A.M.; Tavli, B. Neural network based instant parameter prediction for wireless sensor network optimization models. Wirel. Netw. 2018, 1–14. [Google Scholar] [CrossRef]
 - Fu, S.; Zhang, Y. CRAWDAD Dataset Due/Packet-Delivery (v. 2015-04-01). 2015. Available online: https://crawdad.org/due/packet-delivery/20150401 (accessed on 10 October 2018).
 












| Ref. | Objective | Metrics | Inputs | Approach | Evaluation | Computation | Dataset | Domain | 
|---|---|---|---|---|---|---|---|---|
| [19] | predict the probability of success of delivery of next packet | - | PRR,SNR RSSI,LQI  | NB LogR NN  | MSE Delivery Cost  | Server | generated using MoteLab [20] | WSN | 
| [21] | missing QoS values pred-iction under various matrix densities and learning algorithm dimensionalities | RT THP  | - | MF | Actaul vs Predicted values | Client | public dataset from Zheng [22] | IoT | 
| [23] | missing QoS values pred-iction under various matrix densities and learning algorithm dimensionalities | RT, THP  | - | CloudPred EMF,PMF LN_LFM NMF)  | MAE RMSE  | Client | public dataset from Zheng [22] | IoT | 
| [24] | predictable network perf-ormance in terms of reliability | PLR | DT,IPI rP,errP  | NN | RMSE | Server | generated using w.ilab-t testbed [25] | WSN | 
| [26] | missing QoS values pred-iction under various matrix densities and learning algorithm dimensionalities | RT THP  | - | CSMF | MAE NMAE RMSE  | Client | public dataset from Zheng [22] | IoT/Cloud | 
| [27] | missing QoS values pred-iction under various matrix densities and learning algorithm dimensionalities | RT | - | persistence ARIMA GRU LSTM  | RMSE | Client | public dataset from Cavallo [28] and self-generated dataset using Raspberry Pi and Arduino [29] | IoT | 
| [8] | missing QoS values pred-iction under various matrix densities and learning algorithm dimensionalities | RT THP | - | PCC Kendall’s Tau  | MAE MRE RMSE  | Client | public dataset from Zheng [22] | IoT | 
| [30] | missing QoS values pred-iction under various matrix densities and learning algorithm dimensionalities | RT THP  | - | DNM | MAE RMSE NMAE  | Client | public dataset from Zheng [22] and extension from Tang [31] | IoT/Cloud | 
| [32] | predictable network perf-ormance in terms of lifet-ime, transmission power level and distance | LT,TP DT  | GS,TP DT,LT  | NN | RMSE MAPE MPE,R T-test  | Server | generated using simulations in MATLAB | WSN | 
| This work | predictable network perf-ormance in terms of relia-bility and energy in relati-on to more than 48,000 configurations of stack parameters | PDR, EC  | IAT,PS QS,MT RD,TP DT,OF AQS,AT  | deep learning | RMSE MPE MAP R | Server | public dataset from Fu [33] | IoT/WSN | 
| Acronym | Stands for | Acronym | Stands for | 
|---|---|---|---|
| AQS | Actual Queue Size | MRE | Mean Relative Error | 
| ARIMA | AutoRegressive Integrated Moving Average | MT | Maximum Transmissions | 
| AT | Actual Transmissions | NB | Naive Bayes | 
| CSMF | Context Sensitive Matrix Factorization | NMAE | Normalized Mean Absolute Error | 
| DL | Deep Learning | NMF | Nor-negative Matrix Factorization | 
| DNM | Deep Neural Model | NN | Neural Networks | 
| DT | Distance | NoN | Number of Nodes | 
| EC | Energy Concumption | OF | Overflow | 
| EMF | Extended Matrix Factorization | PCC | Pearson’s Correlation Coefficient | 
| errP | Erroneous Packets | PDR | Packet Delivery Ratio | 
| GRU | Gated Recurrent Units | PLR | Packet Loss Ratio | 
| GS | Grid Size | PMF | Personalized Matrix Factorization | 
| HVAC | Heating, Ventilation, Air-Conditioning | PRR | Packet Reception Ratio | 
| IAT | Inter Arrival Time | PS | Packet Size | 
| IoT | Internet of Things | QoS | Quality of Service | 
| IPI | Inter Packet Interval | QS | Queue Size | 
| LN_LMF | Latent Factor Models | R | Pearson’s Coefficient | 
| LQI | Link Quality Indicator | RD | Retry Delay | 
| LR | Logistic Regression | RMSE | Root Mean Square Error | 
| LSTM | Long Short Term Memory | rP | Received Packets | 
| LT | Lifetime | RSSI | Received Signal Strength Indicator | 
| MAC | Medium Access Control | RT | Response Time | 
| MAE | Mean Absolute Error | SNR | Signal-to-Noise Ratio | 
| MAPE | Mean Absolute Percentage Error | THP | Throughput | 
| MF | Matrix Factorization | TP | Transmission Power | 
| ML | Machine Learning | WSNs | Wireless Sensor Networks | 
| MPE | Mean Percentage Error | ||
| Symbol | Description | Symbol | Description | 
| Learning rate | Number of tuples in test data | ||
| Result of | Median of packet delivery ratio | ||
| Transpose of | Standard deviation of packet delivery ratio | ||
| Regression constant at layer l | Ratio of and | ||
| Derivative of | Number of packets acknowledged | ||
| Derivative of | Actual number of transmission attempts | ||
| Derivative of | Total packets transmitted | ||
| Derivative of | Weights assigned to inputs at layer l | ||
| D | Payload size (bytes) | Y | Actual outputlabels vector | 
| Difference of and | Actual output of tuple | ||
| Activation function at layer l | Predicted value of tuple | ||
| Derivative of | Output of layer l | ||
| H | Size of headers (bytes) | Value 3 deviations away from | |
| m | Number of tuples in training data | 
| Layer | Parameters | Values | 
|---|---|---|
| Application | Inter-Arrival Time: IAT (ms) | 10, 15, 20, 25, 30, 35, 40, 50 | 
| Packet Size: PS (bytes) | 20, 35, 50, 65, 80, 95, 110 | |
| Medium Access Control | maximum Queue Size: QS | 1, 30, 60 | 
| Actual Queue Size: AQS | actual values (0–60) | |
| buffer OverFlow: OF | actual values (0–1) | |
| Maximum Transmission: MT | 1, 3, 5 | |
| Actual Transmission attempt: AT | actual values (0–5) | |
| Retry Delay: RD (ms) | 30, 60 | |
| Physical | Transmission Power level: TP | 3, 7, 11, 15, 19, 23, 27, 31 | 
| Distance: DT | 10, 15, 20, 25, 30, 35 | 
| Metric | RMSE | MPE | MAPE | R | p-Value | 
|---|---|---|---|---|---|
| PDR | 0.012 | −0.035327 | 0.035450 | 0.986 | <0.001 | 
| 0.006 | −0.000008 | 0.000192 | 0.968 | <0.001 | |
| 2.412 | −0.128274 | 0.163637 | 0.966 | <0.001 | 
| Target | Linear Regression | Gradient Boosting | Random Forest | Baseline NN | Deep NN | 
|---|---|---|---|---|---|
| 0.124 | 0.053 | 0.014 | 0.039 | 0.012 | |
| 0.052 | 0.028 | 0.007 | 0.026 | 0.006 | |
| 19.21 | 6.423 | 3.017 | 7.924 | 2.412 | 
© 2019 by the authors. Licensee MDPI, Basel, Switzerland. This article is an open access article distributed under the terms and conditions of the Creative Commons Attribution (CC BY) license (http://creativecommons.org/licenses/by/4.0/).
Share and Cite
Ateeq, M.; Ishmanov, F.; Afzal, M.K.; Naeem, M. Multi-Parametric Analysis of Reliability and Energy Consumption in IoT: A Deep Learning Approach. Sensors 2019, 19, 309. https://doi.org/10.3390/s19020309
Ateeq M, Ishmanov F, Afzal MK, Naeem M. Multi-Parametric Analysis of Reliability and Energy Consumption in IoT: A Deep Learning Approach. Sensors. 2019; 19(2):309. https://doi.org/10.3390/s19020309
Chicago/Turabian StyleAteeq, Muhammad, Farruh Ishmanov, Muhammad Khalil Afzal, and Muhammad Naeem. 2019. "Multi-Parametric Analysis of Reliability and Energy Consumption in IoT: A Deep Learning Approach" Sensors 19, no. 2: 309. https://doi.org/10.3390/s19020309
APA StyleAteeq, M., Ishmanov, F., Afzal, M. K., & Naeem, M. (2019). Multi-Parametric Analysis of Reliability and Energy Consumption in IoT: A Deep Learning Approach. Sensors, 19(2), 309. https://doi.org/10.3390/s19020309
        

