Iterative Trajectory Optimization for Physical-Layer Secure Buffer-Aided UAV Mobile Relaying
Abstract
:1. Introduction
- Instead of making a strong assumption of known and static eavesdropper location/channel, in this work, a randomly located eavesdropper with only the statistical information of its location known to the legitimate system is considered in the secure trajectory design for buffer-aided UAV mobile relaying.
- By discretizing the total flight time into N equal quasi-static time slots and exploiting the buffer-aided relaying protocol, a sum secrecy rate maximization problem is formulated to find the optimal UAV relay trajectory anchor points that achieve the maximum sum secrecy rate.
- The lower bounds of the maximal achievable rates are derived through Taylor’s expansion. The accuracy of the lower bounding technique is guaranteed by extra upper bounding the rates in the constraints of the optimization problem.
- To make the original non-convex problem tractable, an iterative trajectory optimization scheme is proposed. Specifically, instead of optimizing the trajectory anchor points of the UAV directly, the increments from the previous iteration for each anchor point are iteratively optimized. The problem is then decomposed into successive convex approximation subproblems by invoking the rate bounds in an iterative procedure. The convergence of this trajectory iteration method is proved analytically by the squeeze principle.
2. System Model and Problem Description
3. The Progressive Convex Approximation Method for the Non-Convex Problem
3.1. Change of Variables and Lower Bounding the Achievable Rates
3.2. Convergence of the Iterative Trajectory Optimization Technique
| Algorithm 1 The iterative UAV trajectory optimization algorithm |
|
4. Numerical Results
4.1. Convergence of the Secrecy Rate Performance
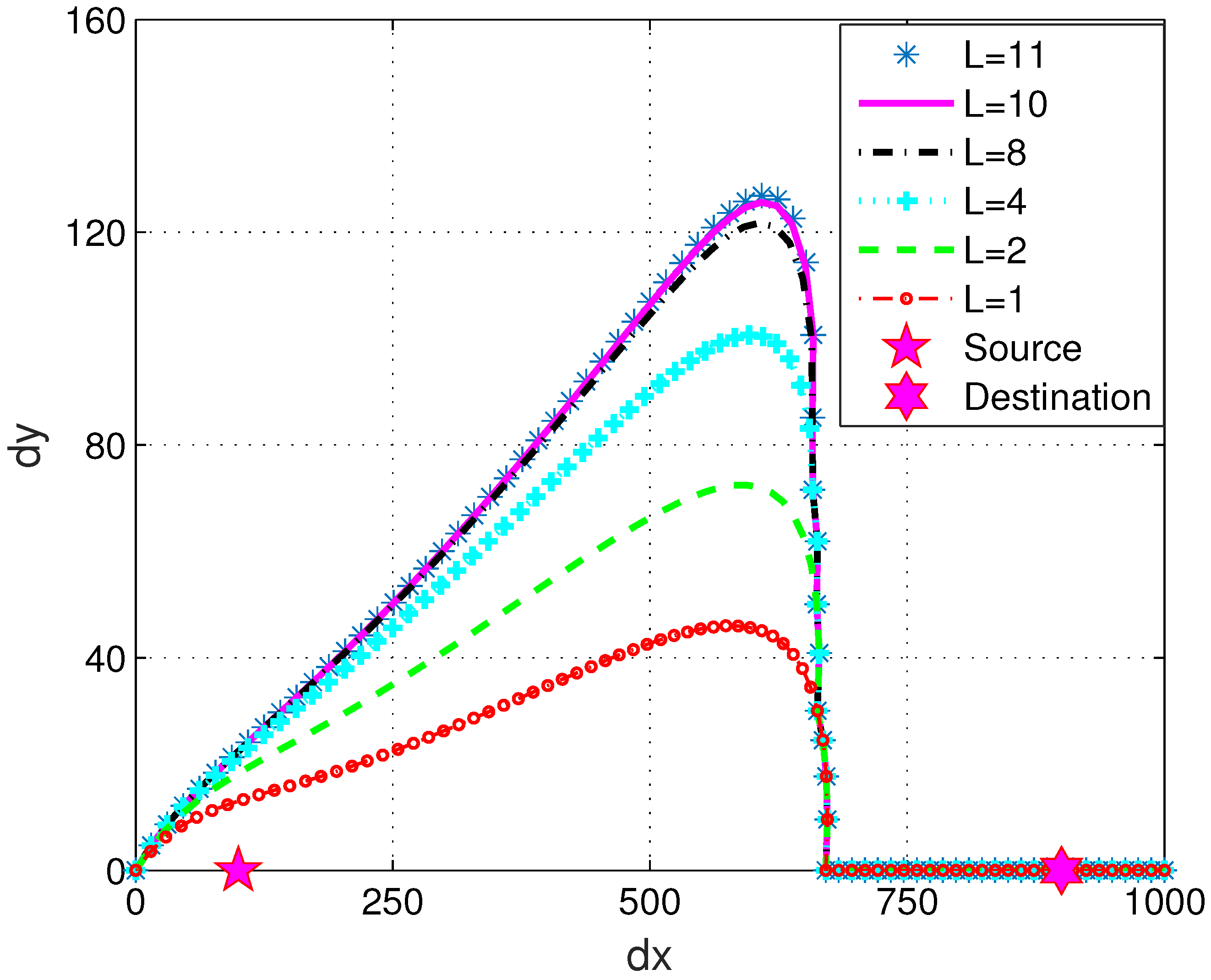
4.2. Trajectory Regarding Iteration Number and Eavesdropper Location Distribution
5. Conclusions
Author Contributions
Funding
Conflicts of Interest
Appendix A
References
- Pinkney, M.F.J.; Hampel, D.; DiPierro, S. Unmanned aerial vehicle (UAV) communications relay. In Proceedings of the IEEE Military Communications Conference (MILCOM), McLean, VA, USA, 24 October 1996; Volume 1, pp. 47–51. [Google Scholar]
- Fan, R.; Cui, J.; Jin, S.; Yang, K.; An, J. Optimal node placement and resource allocation for UAV relaying network. IEEE Commun. Lett. 2018, 22, 808–811. [Google Scholar] [CrossRef]
- Li, Y.; Feng, G.; Ghasemiahmadi, M.; Cai, L. Power allocation and 3-D placement for floating relay supporting indoor communications. IEEE Trans. Mob. Comput. 2019, 18, 618–631. [Google Scholar] [CrossRef]
- Wang, N.; Hossain, E.; Bhargava, V.K. Backhauling 5G small cells: A radio resource management perspective. IEEE Wirel. Commun. 2015, 22, 41–49. [Google Scholar] [CrossRef]
- Hu, L.; Wen, H.; Wu, B.; Tang, J.; Pan, F. Adaptive secure transmission for physical layer security in cooperative wireless networks. IEEE Commun. Lett. 2017, 21, 524–527. [Google Scholar] [CrossRef]
- Liu, Y.; Wang, Q.; Xu, J.; Yang, Y. Physical layer security transmission technology of relay broadcasting channel. In Proceedings of the IEEE International Symposium on Wireless Personal Multimedia Communications (WPMC), Shenzhen, China, 14–16 November 2016; pp. 406–410. [Google Scholar]
- Poor, H.V.; Schaefer, R.F. Wireless physical layer security. Proc. Natl. Acad. Sci. USA 2017, 114, 19–26. [Google Scholar] [CrossRef] [PubMed]
- Wyner, A.D. The wire-tap channel. Bell Labs Tech. J. 1975, 54, 1355–1387. [Google Scholar] [CrossRef]
- Benmimoune, A.; Kadoch, M. Relay technology for 5G networks and IoT applications. In Internet of Things: Novel Advances and Envisioned Applications; Springer International Publishing: Berlin/Heidelberg, Germany, 2017. [Google Scholar]
- Lai, L.; Gamal, H.E. The relay-eavesdropper channel: Cooperation for secrecy. IEEE Trans. Inf. Theory 2008, 54, 4005–4019. [Google Scholar] [CrossRef]
- Dong, L.; Han, Z.; Petropulu, A.P.; Poor, H.V. Improving wireless physical layer security via cooperating relays. IEEE Trans. Signal Process. 2010, 58, 1875–1888. [Google Scholar] [CrossRef]
- Wang, N.; Zhang, N.; Gulliver, T.A. Cooperative key agreement for wireless networking: Key rates and practical protocol design. IEEE Trans. Inf. Forensics Secur. 2014, 9, 272–284. [Google Scholar] [CrossRef]
- Azari, M.M.; Rosas, F.; Chen, K.-C.; Pollin, S. Joint sum-rate and power gain analysis of an aerial base station. In Proceedings of the IEEE GLOBECOM 2016 Workshops, Washington, DC, USA, 4–8 December 2016; pp. 1–6. [Google Scholar]
- Zeng, Y.; Zhang, R.; Lim, T.J. Wireless communications with unmanned aerial vehicles: Opportunities and challenges. IEEE Commun. Mag. 2016, 54, 36–42. [Google Scholar] [CrossRef]
- Anazawa, K.; Li, P.; Miyazaki, T.; Guo, S. Trajectory and data planning for mobile relay to enable efficient Internet access after disasters. In Proceedings of the IEEE Global Communications Conference (GLOBECOM), San Diego, CA, USA, 6–10 December 2015; pp. 1–6. [Google Scholar]
- Wu, Q.; Mei, W.; Zhang, R. Safeguarding wireless networks with UAV: A physical layer security perspective. IEEE Wirel. Commun. 2019. submitted. Available online: https://arxiv.org/pdf/1902.02472.pdf (accessed on 1 August 2019).
- Zlatanov, N.; Ikhlef, A.; Islam, T.; Schober, R. Buffer-aided cooperative communications: Opportunities and challenges. IEEE Commun. Mag. 2014, 52, 146–153. [Google Scholar] [CrossRef]
- Wang, R.; Lau, V.K.N.; Huang, H. Opportunistic buffered decode-wait-and-forward (OBDWF) protocol for mobile wireless relay networks. IEEE Trans. Wirel. Commun. 2011, 10, 1224–1231. [Google Scholar] [CrossRef]
- Wang, N.; Gulliver, T.A. Queue-aware transmission scheduling for cooperative wireless communications. IEEE Trans. Wirel. Commun. 2015, 63, 1149–1161. [Google Scholar] [CrossRef]
- Wang, N.; Gulliver, T.A. Distributed queue-aware relay node selection for cooperative wireless networks via vickrey auction game. IEEE Wirel. Commun. Lett. 2015, 4, 257–260. [Google Scholar] [CrossRef]
- Pearre, B.; Brown, T.X. Model-free trajectory optimization for wireless data ferries among multiple sources. In Proceedings of the IEEE Global Communications Conference (GLOBECOM), Miami, FL, USA, 6–10 December 2010; pp. 1793–1798. [Google Scholar]
- Zeng, Y.; Zhang, R.; Lim, T.J. Throughput maximization for UAV-enabled mobile relaying systems. IEEE Trans. Commun. 2016, 64, 4983–4996. [Google Scholar] [CrossRef]
- Xie, L.; Xu, J.; Zhang, R. Throughput maximization for UAV-enabled wireless powered communication networks. In Proceedings of the IEEE 87th Vehicular Technology Conference, Porto, Portugal, 3–6 June 2018. [Google Scholar]
- Jiang, X.; Wu, Z.; Yin, Z.; Yang, Z. Power and trajectory optimization for UAV-enabled amplify-and-forward relay networks. IEEE Access 2018, 6, 48688–48696. [Google Scholar] [CrossRef]
- Wu, Q.; Zhang, R. Common throughput maximization in UAV-enabled OFDMA systems with delay consideration. IEEE Trans. Commun. 2018, 66, 6614–6627. [Google Scholar] [CrossRef]
- Wang, Q.; Chen, Z.; Mei, W.; Fang, J. Improving physical layer security using UAV-enabled mobile relaying. IEEE Wirel. Commun. Lett. 2017, 6, 310–313. [Google Scholar] [CrossRef]
- Zhang, G.; Wu, Q.; Cui, M.; Zhang, R. Securing UAV communications via trajectory optimization. In Proceedings of the IEEE Global Communications Conference (GLOBECOM), Singapore, 4–8 December 2017; pp. 1–6. [Google Scholar]
- Cui, M.; Zhang, G.; Wu, Q.; Ng, D.W.-K. Robust trajectory and transmit power design for secure UAV communications. IEEE Trans. Veh. Technol. 2018, 67, 9042–9046. [Google Scholar] [CrossRef]
- Gibson, D.J. The Communications Handbook; CRC Press: Boca Raton, FL, USA, 1996. [Google Scholar]
- Grant, M.; Boyd, S. CVX: MATLAB Software for Disciplined Convex Programming, Version 2.1. Available online: http://cvxr.com/cvx (accessed on 2 March 2016).





| Parameter | Value |
|---|---|
| Height of UAV trajectory h | 100 m |
| SP-to-EP distance L | 100 m |
| Location of the source | 100 m |
| Location of the destination | 900 m |
| Transmit power of the source and the relay , | 20 dBm |
| Power spectral density of AWGN | −174 dBm/Hz |
| Bandwidth | 10 MHz |
| Total flight time T | 80 s |
| Adjustable parameters |
© 2019 by the authors. Licensee MDPI, Basel, Switzerland. This article is an open access article distributed under the terms and conditions of the Creative Commons Attribution (CC BY) license (http://creativecommons.org/licenses/by/4.0/).
Share and Cite
Shen, L.; Wang, N.; Ji, X.; Mu, X.; Cai, L. Iterative Trajectory Optimization for Physical-Layer Secure Buffer-Aided UAV Mobile Relaying. Sensors 2019, 19, 3442. https://doi.org/10.3390/s19153442
Shen L, Wang N, Ji X, Mu X, Cai L. Iterative Trajectory Optimization for Physical-Layer Secure Buffer-Aided UAV Mobile Relaying. Sensors. 2019; 19(15):3442. https://doi.org/10.3390/s19153442
Chicago/Turabian StyleShen, Lingfeng, Ning Wang, Xiang Ji, Xiaomin Mu, and Lin Cai. 2019. "Iterative Trajectory Optimization for Physical-Layer Secure Buffer-Aided UAV Mobile Relaying" Sensors 19, no. 15: 3442. https://doi.org/10.3390/s19153442
APA StyleShen, L., Wang, N., Ji, X., Mu, X., & Cai, L. (2019). Iterative Trajectory Optimization for Physical-Layer Secure Buffer-Aided UAV Mobile Relaying. Sensors, 19(15), 3442. https://doi.org/10.3390/s19153442

