Abstract
Carotenoid cleavage oxygenases (CCOs) cleave carotenoid molecules to produce bioactive products that influence the synthesis of hormones such as abscisic acid (ABA) and strigolactones (SL), which regulate plant growth, development, and stress adaptation. Here, to explore the molecular characteristics of all members of the OsCCO family in rice, fourteen OsCCO family genes were identified in the genome-wide study. The results revealed that the OsCCO family included one OsNCED and four OsCCD subfamilies. The OsCCO family was phylogenetically close to members of the maize ZmCCO family and the Sorghum SbCCO family. A collinearity relationship was observed between OsNCED3 and OsNCED5 in rice, as well as OsCCD7 and OsNCED5 between rice and Arabidopsis, Sorghum, and maize. OsCCD4a and OsCCD7 were the key members in the protein interaction network of the OsCCO family, which was involved in the catabolic processes of carotenoids and terpenoid compounds. miRNAs targeting OsCCO family members were mostly involved in the abiotic stress response, and RNA-seq data further confirmed the molecular properties of OsCCO family genes in response to abiotic stress and hormone induction. qRT-PCR analysis showed the differential expression patterns of OsCCO members across various rice organs. Notably, OsCCD1 showed relatively high expression levels in all organs except for ripening seeds and endosperm. OsNCED2a, OsNCED3, OsCCD1, OsCCD4a, OsCCD7, OsCCD8a, and OsCCD8e were potentially involved in plant growth and differentiation. Meanwhile, OsNCED2a, OsNCED2b, OsNCED5, OsCCD8b, and OsCCD8d were associated with reproductive organ development, flowering, and seed formation. OsNCED3, OsCCD4b, OsCCD4c, OsCCD8b, and OsCCD8c were related to assimilate transport and seed maturation. These findings provide a theoretical basis for further functional analysis of the OsCCO family.
1. Introduction
Carotenoids are naturally occurring compounds classified as isoprenoid derivatives, predominantly appearing as orange or yellow pigments in many plants [1]. These compounds aid in the absorption and utilization of light energy and are potent antioxidants, preventing cellular damage caused by free radicals [2]. Additionally, carotenoids play a role in regulating plant growth and development and mitigate damage from various environmental stresses [3]. Carotenoid cleavage oxygenases (members of the CCO family) cleave carotenoid molecules to produce bioactive cleavage products such as retinal compounds, aroma compounds, and plant hormones; these products are essential for plant growth, development, and adaptation to stress [4]. The number of CCO family members varies across species. Arabidopsis thaliana has nine CCO family members, including AtCCD1, AtCCD4, AtCCD7, AtCCD8, AtNCED2, AtNCED3, AtNCED5, AtNCED6, and AtNCED9 [5]; the human genome contains two CCO family members, BCO1 and BCO2, which are primarily involved in carotenoid metabolism and maintaining vitamin A levels [6]. Various bacteria and fungi also have CCO family members with different numbers and biological types. These CCO family members share a conserved structure, i.e., the RPE65 domain, which binds iron ions and plays a crucial role in carotenoid metabolism [7].
Based on amino acid sequences and functional characteristics, the CCO family can be divided into two subfamilies as follows: the CCD subfamily (carotenoid cleavage dioxygenases) and the NCED subfamily (9-cis-epoxycarotenoid dioxygenases) [8]. The CCD subfamily regulates carotenoid metabolism, pigment synthesis, and hormone synthesis in plants. For example, tomato LeCCD1 participates in the synthesis of essential flavor volatiles [9]. In plants such as honeysuckle and lily, CCD4 is a key factor controlling the yellow or white coloration of floral organs [10]. In Arabidopsis thaliana, AtCCD1 is upregulated under drought and salt stress, and the volatile products formed by cleaving carotenoids contribute to improving plant stress resistance [11]. CCD7 and CCD8 are involved in regulating the synthesis of the plant hormone strigolactone (SL), which controls processes such as plant aging, root growth, and tillering [12]. NCED catalyzes the cleavage of epoxycarotenoids and is the rate-limiting enzyme in abscisic acid (ABA) biosynthesis, playing a vital role in plant growth, development, and environmental adaptation [13]. Under drought conditions, maize ZmNCED1 is significantly upregulated, leading to increased ABA levels, stomatal closure, reduced water loss, and enhanced drought resistance [14]. In rice, OsNCED3 is highly expressed during seed maturation, accelerating ABA accumulation and promoting seed dormancy [15]. Under high salt conditions, tomato SlNCED1 is upregulated, controlling stomatal closure and root growth to improve salt tolerance [16]. During cold stress, BnNCED3 in rapeseed is upregulated, helping the plant adapt to low temperatures [17].
Rice (Oryza sativa L.) is one of the world’s most important food crops, providing sustenance for billions of people globally [18]. In 2002, the genome sequencing of the rice variety Nipponbare was completed in the International Rice Genome Sequencing Project, resulting in a highly accurate reference genome (T2T-NIP, AGIS-1.0 version) [19]. In recent years, rapid advances in rice genomics have significantly revealed the molecular mechanisms of rice stress resistance, plant architecture, and yield regulation, aiding in the development of rice varieties with superior agronomic traits [20]. The CCO family plays a crucial role in plant morphogenesis and ABA formation [21]. However, the OsCCO family genes in rice are relatively rarely reported, and the functions of most members during rice growth and development remain unclear. To further elucidate the structural characteristics and expression patterns of the OsCCO family members, this study conducted a genome-wide analysis to identify all members of the OsCCO family, and the phylogenetic associations, chromosomal locations, gene structures, and tissue-specific expression patterns of these family members were comprehensively examined to determine the molecular characteristics, providing a theoretical basis for further functional studies of the OsCCO family.
2. Results and Analysis
2.1. Family Identification, Physicochemical Properties, and Subcellular Localization Prediction
By scanning the whole rice genome (T2T-NIP/AGIS-1.0), 14 members of the OsCCO family were identified, including four OsNCED family genes and 10 OsCCD family genes. These candidate genes were named based on their homology genes in Arabidopsis (Table 1 and Table S1). The coding sequence lengths of the 14 genes of the OsCCO family ranged from 522 to 2406 bp, encoding proteins with 173 to 801 amino acids. The largest protein was OsCCD8b, and the smallest was OsNCED4a. The MW of these amino acids ranged from 18.65 to 97.93 kDa, with pI ranging from 4.77 to 9.19, and AI between 76.00 and 86.18. The INI values of OsNCED3, OsNCED2a, OsCCD8d, OsNCED5, and OsCCD1 were below 40, indicating their relatively stable proteins [22], whereas the others were predicted to be unstable. OsCCD8d and OsNCED2a had AI above 86, suggesting higher stability. GRAVY analysis showed that except for OsNCED2a, which displayed slight hydrophobicity, the rest of the OsCCO proteins were hydrophilic.
Table 1.
Physicochemical properties of the OsCCO family members.
The subcellular localization prediction indicated that most OsCCO proteins were distributed in the cytoplasm and chloroplasts, consistent with the finding that most OsCCO proteins are hydrophilic (Figure 1). The cytoplasm and chloroplasts are primarily involved in glycolysis, photosynthesis, hormone synthesis, and metabolism, suggesting that these OsCCO proteins may play roles in rice cell energy metabolism and growth processes [23].
Figure 1.
Subcellular localization of the OsCCO family members. Note: chlo is chloroplast, mito is mitochondria, cyto is cytoplasm, cyto-mito is cytoplasm or mitochondria, ext is extracellular matrix, pero is peroxisome, plas is plasma membrane, nul is nucleus, cysk is cytoskeleton. Detailed information on the OsCCO family members is listed in Table S1. The blue part of the bars indicates lower confidence in prediction results, whereas the red part indicates higher confidence.
2.2. Chromosomal Localization of the OsCCO Family
The fourteen OsCCO family genes were located on nine chromosomes, with an uneven distribution (Figure 2). Chromosome 12 contained three OsCCO genes (OsCCD4c, OsCCD1, and OsNCED5), whereas chromosomes 2, 3, 7, 9, and 10 each contained only one OsCCO gene. OsCCD8c and OsCCD8d on chromosome 8 were located at the same position, suggesting the presence of gene clusters or gene duplication in this region, which may significantly affect gene expression regulation, functional specificity, and genetic evolution in rice. No OsCCO genes were found on chromosomes 5, 6, or 11. OsCCD7 was located on chromosome 4; previous studies have shown that OsCCD7 is involved in the synthesis of the plant hormone SL, which reduces plant height and increases tillering numbers of rice [24]. Future research will focus on utilizing OsCCD7 for germplasm innovation during rice development.
Figure 2.
Distribution characteristics of the OsCCO family genes on rice chromosomes. Note: the chromosomal localization of the OsCCO family was created using TBtools v2.056 software. Detailed information on the OsCCO family genes is listed in Table S1.
2.3. Phylogenetic Analysis of the OsCCO Family Proteins
A phylogenetic tree was constructed using 56 CCO family proteins from five species including Arabidopsis thaliana L., Liriodendron chinense (Hemsl.) Sarg, Oryza sativa L., Zea mays L., and Sorghum bicolor L. The tree was grouped and named based on the AtCCO proteins in each branch (Figure 3). The results showed that the 56 CCO proteins were divided into the following five subfamilies: NCED, CCD4, CCD7, CCD8, and CCD1. Among them, the CCD8 subfamily was the largest, including five species, with rice members OsCCD8a, OsCCD8b, OsCCD8c, OsCCD8d, and OsCCD8e. The CCD7 subfamily was the smallest, containing only OsCCD7. Relative relationship comparison revealed that OsCCD4b and OsCCD4c were closely related to maize ZmCCD4a, ZmCCD4b, and Sorghum SbCCD4a. OsCCD7 was closely related to SbCCD7 and ZmCCD7. OsCCD8b was closely related to SbCCD8a and ZmCCD8a. OsCCD8a formed a separate branch, and OsCCD1 was also closely related to maize and Sorghum. In the NCED subfamily, four OsNCED proteins were closely related to Sorghum and maize NCED proteins and were distant from Liriodendron and Arabidopsis NCED proteins. These results indicate that the functions of rice CCO family members are similar to those in maize and Sorghum. CCD primarily participates in carotenoid cleavage, SL synthesis, and the regulation of plant growth and development, whereas the NCED is mainly involved in ABA biosynthesis, regulating seed germination and dormancy, stomatal closure, water management, and responding to drought, salinity, and disease stress [25].
Figure 3.
Phylogenetic association of plant CCO family proteins. Note: Os represents Oryza sativa L., Zm represents Zea mays L., Sb represents Sorghum bicolor L., Lc represents Liriodendron chinense (Hemsl.) Sarg, and At represents Arabidopsis thaliana L. The phylogenetic tree was constructed by way of neighbor-joining, with a bootstrap threshold of 1000. The numbers in the figure represent the phylogenetic distance between different CCO proteins. Detailed information on the CCO family members is listed in Table S2.
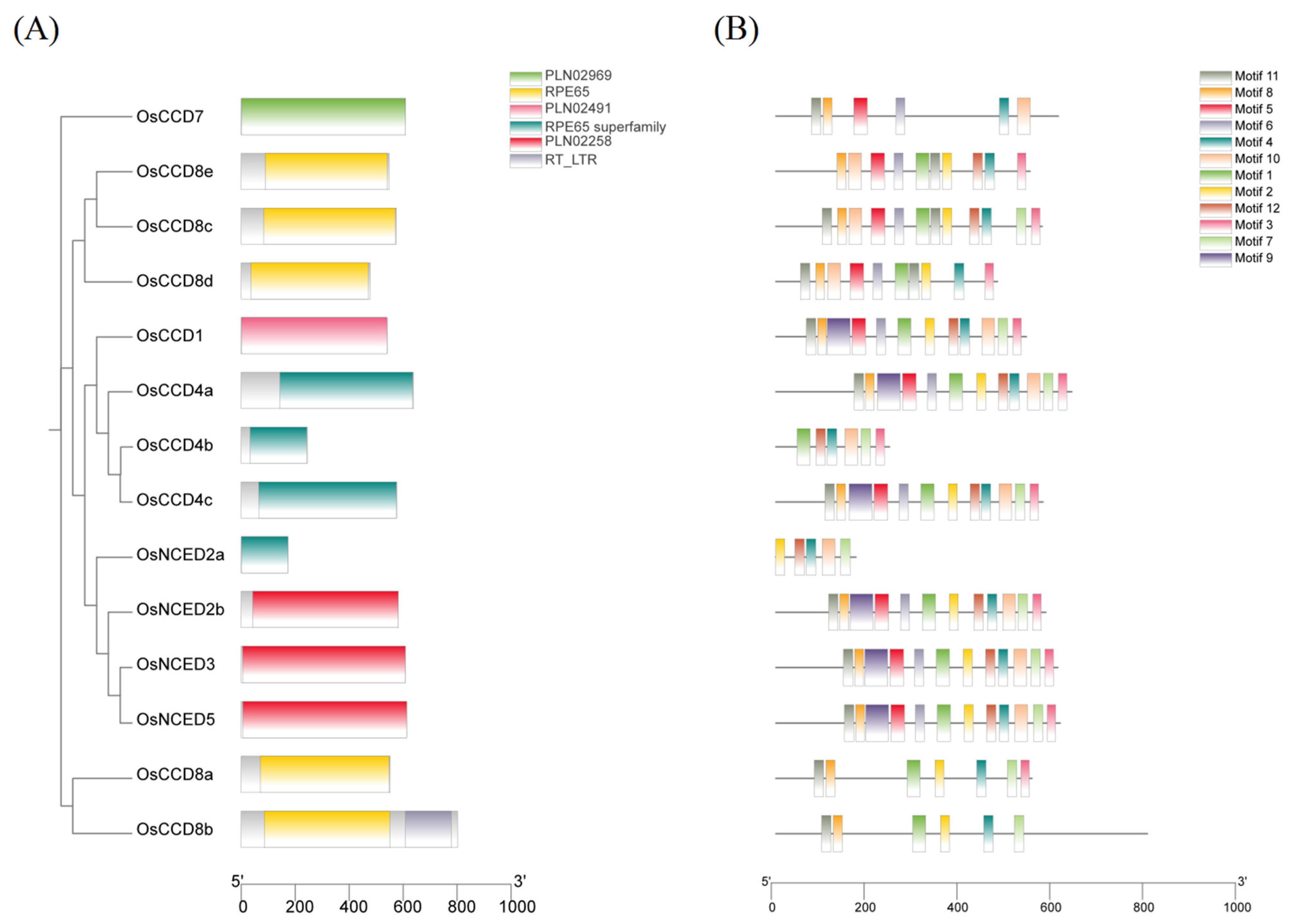
2.4. Gene Structures, Functional Domains, and Conserved Motifs of the OsCCO Family
As shown in Figure 4, the number of exons in OsCCO family genes ranged from 1 to 13. The OsCCD8 subfamily had a more complex distribution of introns and exons, with exon numbers ranging from 5 to 13. Among them, OsCCD8c had the most exons, i.e., 13 exons, and unlike other subfamilies, except for OsCCD8a, the rest of the OsCCD8 subfamily genes lacked UTR regions. The gene structures of the OsCCD4 and OsNCED subfamilies were simpler, with most genes containing only one exon, except for OsCCD4b. OsCCD4a had a long exon that was 1917 bp in length. OsCCD4b and OsNCED2a lacked UTR regions. Except for OsNCED2a, the single exons of the other OsNCED members were quite large, reaching over 1749 bp in length. UTR regions can regulate mRNA stability, translation efficiency, subcellular localization, and polyadenylation, finely modifying target gene expression. The 3′ UTR region of the OsCCD7 gene was 636 bp, significantly different from the UTR-coding regions of the other OsCCO family members.
The functional domain analysis revealed that the OsCCO family contained the following six types of domains: PLN02969, RPE65, PLN02491, RPE65-Superfamily, PLN02258, and RT-LTR. The PLN02969, PLN02491, and PLN02258 domains were members of the RPE65 family (Figure 5A). The results showed that OsCCD4a, OsNCED4b, OsCCD4c, and OsNCED2a possessed the RPE65 superfamily domain, whereas members of the OsCCD8 subfamily all contained the RPE65 domain, which is associated with carotenoid cleavage and SL and ABA synthesis [7]. Among them, OsCCD8b additionally included the RT_LTR domain, which may play a role in gene transposition and genome rearrangement [26]. OsNCED2b, OsNCED3, and OsNCED5 had the PLN02258 domain, which is primarily involved in ABA biosynthesis [27]. OsCCD7 and OsCCD1 contained the PLN02969 and PLN02491 domains, respectively. PLN02969 is related to SL biosynthesis and carotenoid cleavage [28], whereas PLN02491 is involved in carotenoid cleavage and pigment synthesis [29].
Figure 5.
Functional domains and conserved motifs of OsCCO family proteins. (A) Conserved functional domains for the OsCCO family proteins. (B) Motif analysis for the OsCCO family proteins. Detailed information on the OsCCO family members is listed in Table S1.
The conserved motif analysis showed that members with the RPE65 superfamily domain exhibited highly conserved motif structures (Figure 5B, Table S4, Supplementary Figure S1). OsCCD4a and OsCCD4c contained 12 identical motifs, whereas OsCCD4b and OsNCED2a were more conserved, sharing motifs 4, 7, 10, and 12. Members of the OsCCD8 subfamily, which contained the RPE65 domain, displayed highly conserved structures among OsCCD8c, OsCCD8d, and OsCCD8e. OsCCD8d lacked motifs 7 and 12, and OsCCD8e lacked motifs 7 and 11. Sequence alignment revealed 11 and 6 amino acid deletions in the motif 7 coding region of OsCCD8d and OsCCD8e, respectively. Additionally, OsCCD8a and OsCCD8b exhibited high conservation, both containing motifs 1, 2, 4, 7, 8, and 11. OsCCD8b lacked only motif 3, with OsCCD8b encoding 141 more amino acids in the motif 3 coding region compared with OsCCD8a. The members with the PLN02258 domain all contained 12 motifs, with sequence homology up to 76.03%. OsCCD7 and OsCCD1 contained 6 and 12 motifs, respectively, with OsCCD7 lacking motifs 1, 2, 3, 7, 9, and 12. These results indicate that proteins with the same conserved domains may have different motif distributions, potentially leading to functional divergence among members during evolution.
2.5. Cis-Acting Element Analysis of the OsCCO Family Gene Promoters
Sixteen types of cis-acting elements of OsCCO family gene promoters were categorized into three groups (Figure 6 and Table S5). The first group comprised seven types with a total of 107 elements related to plant growth and development regulation, including maize prolamin response (O2-site), light response (G-box), meristem expression (CAT-box), circadian control (circadian), endosperm expression (GCN4-motif), root-specific regulation (motif I), and seed-specific regulation (RY-element). Light response elements accounted for the highest proportion of growth and development regulation elements at 66.36%, with all OsCCO family genes containing light signal response elements. The second group, related to plant hormones, included five types with a total of 149 elements, such as response to methyl jasmonate (MeJA, TGACG-motif), salicylic acid (SA, TCA-element), gibberellin (GA3, GARE-motif), abscisic acid (ABA, ABRE), and auxin (IAA, TGA-element). MeJA and ABA response elements accounted for 42.95% and 40.27%, respectively, with most OsCCO genes, except OsCCD8c, OsCCD4a, and OsNCED3, containing MeJA and ABA response elements. The third group, related to biotic and abiotic stress, included four types with a total of 53 elements, including defense and stress response (TC-rich element), anaerobic induction (ARE), anaerobic induction (GC-motif), and low temperature (LTR). Anaerobic induction response elements accounted for a relatively high proportion (52.83%), with most OsCCO genes, except OsCCD8a, OsCCD1, OsCCD8c, and OsNCED5, containing these elements. These findings suggest that the OsCCO family may play crucial roles in light-induced, hormone-regulated, and stress-resistance processes in plants.
Figure 6.
Cis-acting elements of promoters in OsCCO family genes. Note: the red part of the bar indicates more numbers of cis-acting elements in promoters, whereas the white part indicates fewer numbers. Detailed information on the OsCCO family genes is listed in Table S5.
2.6. Collinearity Analysis within the OsCCO Family and Homologous Evolutionary Associations among Different Species
Within the rice genome, collinearity was found only between the OsNCED3 gene on chromosome 3 and the OsNCED5 gene on chromosome 12 (Figure 7, Table S6). The types of collinearity associations include whole-genome duplication (WGD) or segmental duplication on chromosomes. Since OsNCED3 and OsNCED5 are located on different chromosomes, this indicates a chromosomal segment duplication event during evolution.
Figure 7.
Collinearity analysis of the OsCCO family in the rice genome. Note: collinearity associations were analyzed by TBtools v2.056 software. Detailed information on the OsCCO family genes is listed in Table S1. The blue part of the bar indicates lower confidence in results, whereas the red part indicates higher confidence.
Through collinearity association analysis between the rice CCO family and Arabidopsis, maize, and Sorghum, the results revealed 2 collinear pairs between rice and Arabidopsis, 16 pairs between rice and maize, and 9 pairs between rice and Sorghum (Figure 8, Table S6). The collinear gene pairs have similar sequences because of their derivation from common ancestors, indicating a higher homology of the OsCCO family with the CCO family in maize and Sorghum, which is consistent with the evolutionary tree analysis. Genes with collinearity associations include OsCCD8b, OsCCD4a, OsNCED3, OsCCD7, OsNCED2b, OsCCD8e, and OsNCED5; the functions of these genes can be analyzed by referring to similar genes in Arabidopsis, maize, and Sorghum. Further analysis shows that OsCCD7, located on chromosome 4, and OsNCED5, located on chromosome 12, have collinearity associations in Arabidopsis, Sorghum, and maize, suggesting that both genes are highly conserved in position and function across different species.
Figure 8.
Collinearity analysis of the CCO family between rice and maize, Sorghum, and Arabidopsis. Note: (A–C) represented the collinearity associations between rice and Arabidopsis, maize and Sorghum, respectively. Collinearity associations were analyzed by TBtools v2.056 software. Detailed information on the CCO family genes in rice, Arabidopsis, Sorghum, and maize is listed in Table S6.
2.7. Protein Interaction Analysis of the OsCCO Family
The OsCCO family proteins exhibit two independent interaction networks (Figure 9). The interaction network centered on the OsCCD4b is relatively complex, with OsCCD8c, OsCCD8d, and OsCCD8e upstream, regulating OsCCD4b and transmitting signals to OsNCED5. OsNCED3, OsNCED2a, and OsNCED2b simultaneously modify the effect of OsCCD4b and OsCCD4c. OsCCD4a regulates multiple members of the OsNCED family, with NCED being the rate-limiting enzyme for ABA biosynthesis, suggesting that OsCCD4a plays a significant role in ABA signal transduction. Additionally, OsCCD8a, OsCCD8b, and OsCCD7 form an independent interaction network, indicating that the protein interaction network centered on OsCCD7 is simple, with the metabolic process mainly influenced by OsCCD8a.
Figure 9.
Protein interaction network of the OsCCO family. Note: (A,B) represent interaction networks centered on the OsCCD4b and OsCCD7 proteins, respectively. The protein interaction network of the OsCCO family was predicted using the STRING database, and the interaction network model was optimized and visualized using Cytoscape 3.9.1 software.
2.8. GO Annotation Analysis of the OsCCO Family
Using GO enrichment analysis, the functions of the OsCCO family were elucidated from three aspects as follows: biological processes, molecular functions, and cellular components (Figure 10, Table S7). The results indicated that these genes are mainly involved in the carotenoid catabolic process (GO:0016121) and terpenoid catabolic process (GO:0046247) within the biological process category. In terms of molecular function, OsCCO genes are significantly associated with carotenoid dioxygenase activity (GO:0010436). Additionally, high enrichment of OsCCO proteins was found in the chloroplast stroma (GO:0009570). The comprehensive analysis suggests that the OsCCO family is closely related to carotenoid and terpenoid catabolic processes, highlighting their key roles in photosynthesis regulation, antioxidant defense, signal transduction, hormone regulation, secondary metabolite production, aroma and pigment formation, and the biosynthesis of signaling molecules.
Figure 10.
GO annotation analysis of the OsCCO family. Note: the molecular activity and biological processes of the OsCCO family members were analyzed using the ShinyGO database. The size of the dots represents the number of genes with corresponding GO annotations. The value on the horizontal axis indicates the degree of enrichment; the larger the value, the higher the enrichment. BP stands for biological process, MF for molecular function, and CC for cellular component.
2.9. Identification of miRNA Targeting OsCCO Family Genes in Genome-Wide of Rice
A total of 164 miRNA molecules were identified as targeting 14 OsCCO family genes of rice (Figure 11, Table S8). The 164 miRNA molecules were divided into 81 groups, varying between 19 and 24 bp in length. Among them, Osa-miR5075, Osa-miR2926, and Osa-miR1848 targeted the most OsCCO family genes. Osa-miR5075 targeted OsCCD1, OsNCED2b, OsCCD7, OsCCD4a, and OsCCD8b. Osa-miR2926 targeted OsNCED5, OsNCED2b, OsNCED2a, OsNCED3, and OsCCD4a, and Osa-miR1848 targeted OsNCED5, OsNCED2b, OsNCED2a, OsNCED3, and OsCCD4a. The pathway analysis showed that some key miRNA molecules were associated with the environmental stress response, for example, the Osa-miR164, Osa-miR166, Osa-miR169, and Osa-miR1881 molecules were related to drought stress, which targeted the OsNCED2b, OsCCD4a, OsCCD1, OsCCD8b, OsCCD8e, OsNCED2a, OsCCD8d, and OsCCD8a genes, respectively. The Osa-miR156 and Osa-miR319 molecules were related to cold stress, which targeted the OsCCD7, OsCCD8b, and OsCCD4a genes. Osa-miR169g, Osa-miR169n, Osa-miR394, Osa-miR395, Osa-miR396c, and Osa-miR414 were associated with salt stress, which targeted the OsCCD8e, OsCCD8b, OsCCD1, OsCCD8d, and OsCCD4b genes. These results suggest that OsCCO family members of rice may be involved in abiotic stress responses in plants.
Figure 11.
Interaction networks between OsCCO family genes and target miRNA molecules. Note: red ovals represent the 14 genes of OsCCO family, and blue ovals represent the miRNA molecules that target each gene of OsCCO family. The target miRNA molecules were predicted in the psRNATarget database, based on the sequences of OsCCO family genes. The interaction networks were mapped using Cytoscape 3.9.1 software.
2.10. Expression Patterns in the OsCCO Family Genes in Different Rice Tissues
As shown in Figure 12, the expression levels of the OsCCO family genes varied across different tissues. OsCCD1 had relatively low expression levels in Seed-10 DAP and En-25 DAP but higher expression levels in other organs, with the highest expression in the L tissue. Within the OsCCD4 subfamily, OsCCD4a exhibited higher expression levels in L, Post, and Seedling, whereas OsCCD4c showed relatively abundant expression only in Pre and Seedling. OsCCD7 had low expression in A and Em-25 DAP but the highest expression in S. OsCCD8a showed higher expression in Ss and lower expression in Post and Seed-5 DAP. OsCCD8b was minimally expressed in P and En-25 DAP, whereas OsCCD8c was only slightly expressed in Ss. In the OsNCED subfamily, OsNCED2b and OsNCED3 had higher expression levels in Ss, whereas OsNCED5 showed higher expression in Seed-5 DAP.
Figure 12.
Tissue-specific expression patterns of OsCCO genes. Note: Ss is shoots, L is 20-day growth leaves, Seedling is four-leaf stage seedlings, Pre is pre-heading inflorescence, Post is post-heading inflorescence, A is anther, P is pistil, Seed-5 DAP is 5 d seeds after pollination, Seed-10 DAP is 10 d seeds after pollination, Em-25 DAP is 25 d embryos after pollination, En-25 DAP is 25 d endosperm after pollination. The red part of the bar indicates the highest expression level; the blue part of the bar indicates the lowest expression level.
2.11. Expression Patterns of OsCCO Family Genes under Abiotic Stresses and Hormone Treatments
The open RNA-seq data were used to identify the expression patterns of OsCCO family genes under abiotic stresses and hormone induction (Figure 13). The results showed that OsCCD1 and OsCCD4a had relatively high expression levels at the seedling stage of rice, while OsCCD8c had relatively high expression levels under flooding stress. The expression levels of OsNCED2b, OsNCED3, OsNCED5, and OsNCED8a were significantly different among diverse treatments, and OsCCD8d, OsCCD8e, and OsNCED2a had almost no expression. For example, compared with the 0 h treatment (control), under drought stress, OsCCD1 reached the highest expression level after 1 h, OsCCD4a and OsNCED3 reached the highest expression level after 3 h, and OsNCED2b reached the highest expression at 24 h, which was 93 times that of control. The expression of OsNCED8a increased significantly after 6 h.
Figure 13.
Expression patterns of OsCCO genes under abiotic stresses and hormone treatments. Note: drought is drought stress, osmosis is high-salt osmosis, flood is waterlogging, cold is cold injury, ABA is abscisic acid induction, and JA is jasmonic acid induction. The expression level was evaluated by RNA-seq data, which were downloaded from the NCBI database (Accession: PRJDB2600). Red part of the bar indicates the highest expression level; blue part of the bar indicates the lowest expression level.
Under high salt osmotic stress, OsCCD1 and OsCCD4a had the highest expression levels in the control group, as well as OsCCD8a at 3 h. Under flooding stress, the expression levels of OsCCD1 and OsCCD4a were highest in the control and decreased with the stress time extension. The expression levels of OsNCED2b, OsNCED3, and OsNCED5 were the highest at 1 h, while OsCCD8c showed an increased expression after stress and reached the highest point at 12 h. After cold stress, OsCCD1 and OsCCD4a showed a negative regulation, OsNCED5 was higher at 24 h, and OsNCED3 and OsNCED2b were relatively higher from 3 h to 12 h. Under ABA treatment, OsCCD1 and OsCCD4a showed a downward trend. OsCCD7, OsCCD8a, and OsNCED2b showed the highest expression at 3 h, as well as OsNCED5 at 24 h. For the jasmonic acid (JA) treatment, OsCCD7 and OsCCD8a reached their maximum at 3 h, and OsNCED2b and OsNCED3 accumulated an abundant expression level at 1h. These results suggest that the response characteristics of OsCCO family genes to different stresses in rice are quite different.
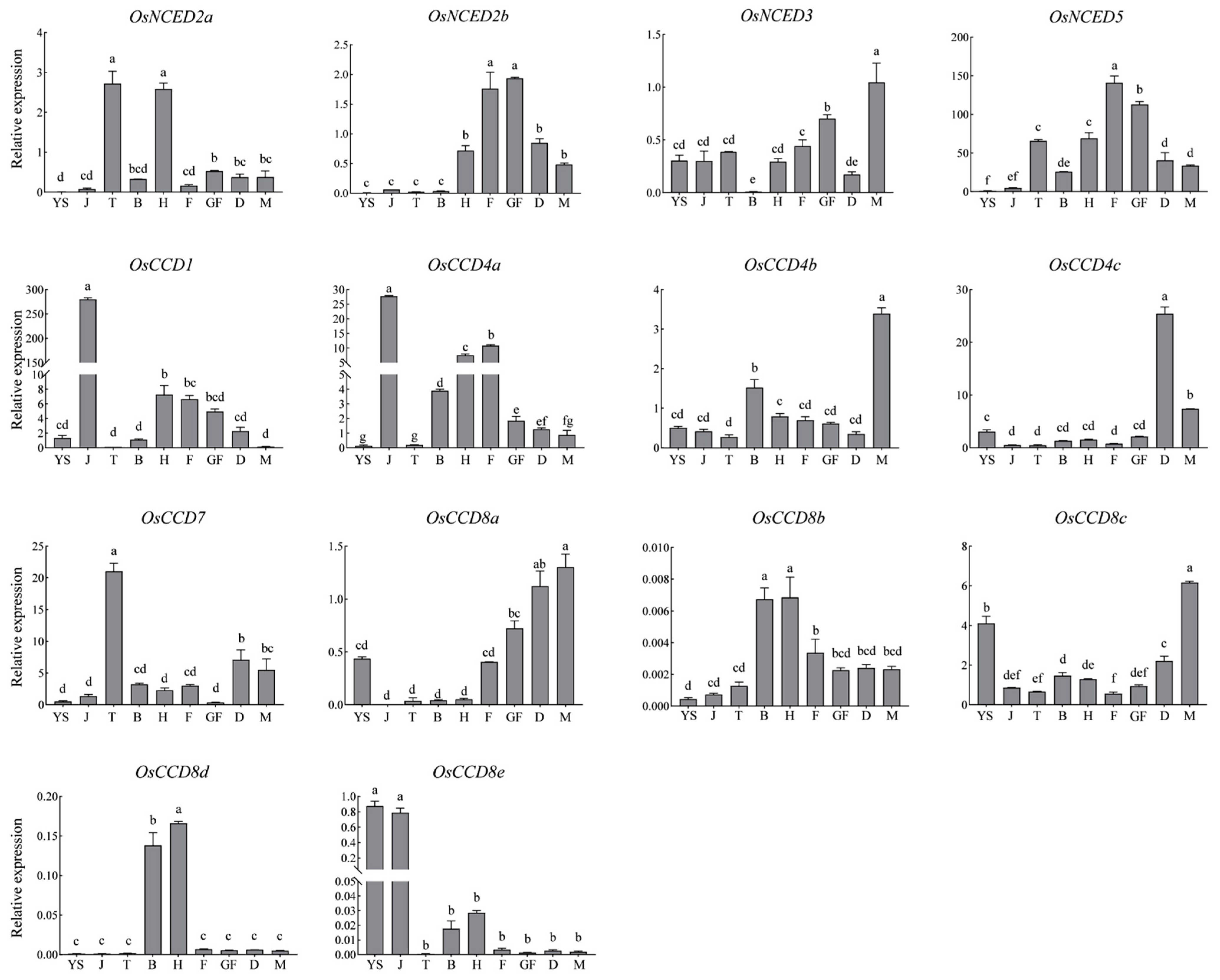
2.12. Expression Patterns of OsCCO Family Genes at Different Growth Stages
As shown in Figure 14, within the OsNCED subfamily, OsNCED2a had higher expression levels during the tillering and heading stages, OsNCED2b had significantly higher expression during the flowering and grain-filling stages, OsNCED3 had the highest expression during the maturing stage, and OsNCED5 showed higher expression during the flowering stage. The differential expression of these members suggests that the OsNCED subfamily has specific regulatory functions at different growth stages in rice, likely involved in the development of lateral buds, tillering, inflorescence formation, embryonic development during flowering, and grain filling and maturation [30]. In the OsCCD4 subfamily, OsCCD4a and OsCCD4b showed higher expression levels during the jointing and maturing stages, respectively, whereas OsCCD4c was highly expressed during the dough stage. In the OsCCD8 subfamily, OsCCD8a and OsCCD8c had higher expression levels during the maturing stage, whereas OsCCD8b and OsCCD8d showed higher expression during the booting and heading stages, indicating that OsCCD8a and OsCCD8c may play key roles in seed maturation and storage substance accumulation, whereas OsCCD8b and OsCCD8d have important functions in inflorescence development and young spike elongation. OsCCD8e was highly expressed only during the jointing stage. OsCCD7 showed higher expression during the tillering stage, consistent with previous reports of its role in tiller formation and lateral bud development [31]. OsCCD1 exhibited extremely high expression during the jointing stage, suggesting its critical function at this stage.
Figure 14.
Expression patterns of OsCCO family genes in different growth stages. Note: YS is the young seedling stage, J is the jointing stage, T is the tillering stage, B is the booting stage, H is the heading stage, F is the flowering stage, GF is the grain-filling stage, D is the dough stage, M is the maturing stage. qRT-PCR data were analyzed using the 2−ΔΔCt method to calculate relative expression levels of the OsCCO family genes. Different lowercase letters indicate significant differences (p < 0.05).
In summary, during the nine growth stages in rice, genes highly expressed during the seedling stage include OsCCD8a, OsCCD8c, and OsCCD8e; during the jointing stage, OsCCD1, OsCCD4a, and OsCCD8e; during the tillering stage, OsNCED2a and OsCCD7; during the heading stage, OsNCED2a, OsCCD8b, and OsCCD8d; during the flowering and grain-filling stages, OsNCED2b and OsNCED5; during the dough stage, OsCCD4c; and during the maturing stage, OsNCED3, OsCCD4b, OsCCD8a, and OsCCD8c. The differential expression of these genes at different growth stages reflects their specific regulatory functions in rice growth and development.
3. Discussion
The CCO family plays a crucial role in oxidizing and cleaving carotenoids to produce various important compounds, including plant hormones, pigments, aromas, and defensive substances. These compounds help protect against pathogens and herbivores, regulate plant adaptation to the environment, and influence tillering and growth [32]. Carotenoids are involved in the synthesis of hormones such as ABA and SL, as well as non-volatile compounds [33]. For example, CCD7 and CCD8 catalyze the formation of SLs, which inhibit lateral bud growth and promote root branching [34]. The SL signaling pathway can upregulate key NCED genes, promoting ABA synthesis at the stem base, whereas the ABA signaling pathway can inversely down-regulate CCD7 and CCD8, inhibiting SL synthesis and thereby affecting plant branching and environmental resistance [35].
This study identified 14 OsCCO family genes in the rice genome (T2T-NIP/AGIS-1.0) through comparative analysis and predicted their biological functions and evolutionary associations. The results showed that most OsCCO proteins range from 91 to 600 amino acids in length, similar to the CCO family in other species, reflecting a certain level of evolutionary, structural, and functional conservation and diversity in CCO proteins [7]. Among the identified OsCCO proteins, OsNCED2a has slight hydrophobicity; the subcellular localization prediction of OsNCED2a in the cytoplasm suggests that its hydrophobicity may provide greater flexibility, allowing it to participate in processes related to plasma membrane formation or interactions with hydrophobic molecules [36]. The subcellular localization predictions showed that most OsCCO proteins are concentrated in the cytoplasm and chloroplasts, suggesting their functions may involve energy and material metabolism, such as photosynthesis, hormone regulation, and antioxidant defense [37]. The instability index indicates that the OsNCED3, OsNCED2a, OsCCD8d, OsNCED5, and OsCCD1 proteins are relatively stable, which could be advantageous for studies involving enzyme activity assays and protein–protein interactions [38].
Collinearity analysis revealed that OsCCD7 and OsNCED5 have collinearity associations in Arabidopsis, Sorghum, and maize, indicating they may be important target genes for crop improvement. Previous studies have shown that CCD7 plays a crucial role in SL biosynthesis and regulates branching patterns, thereby increasing crop yield [39]. Arabidopsis AtNCED5 is a key factor regulating ABA synthesis under drought stress [30], indicating significant research and application value for OsCCD7 and OsNCED5. In fact, a few transgenic plants with OsCCD7 gene knockout had been obtained by agrobacterium-mediated transformation. To increase tillering numbers greatly and reduce plant height in T0 offspring, the detailed information needs to be further investigated.
Exons and introns play important roles in gene evolution, with the number and location of introns influencing gene expression levels and regulatory mechanisms [40]. This study shows that members within the same subfamily have similar exon and intron distributions, with the OsNCED subfamily showing higher structural conservation compared to the OsCCD subfamily, suggesting less gene variation or loss during evolution. Different functional domains endow proteins with specific biosynthetic capabilities, affecting plant morphology, color, and environmental responses [41]. The OsCCO family contains various conserved functional domains, and the results revealed that factors with the same functional domains also have different motif numbers. For example, OsCCD4a, OsCCD4b, OsCCD4c, and OsNCED2a all have the RPE65 superfamily domain, but OsCCD4a and OsCCD4c are highly conserved in motif structure, whereas they differ significantly in OsCCD4b and OsNCED2a, suggesting differences in functions related to carotenoid cleavage, ABA biosynthesis, and substrate specificity [7]. Within the RPE65 domain, except for OsCCD8c, which contains 12 motifs, the other members show varying degrees of motif loss. Members with the PLN02258 domain, OsNCED2b, OsNCED3, and OsNCED5, are highly conserved, indicating similar biological functions in environmental stress responses and ABA synthesis [27]. These findings provide clues to understanding the regulatory mechanisms of the rice OsCCO family in various biological metabolic processes.
Cis-regulatory elements in promoters are crucial for regulating gene transcription levels, with a rich array of response elements reflecting the necessity for plants to control physiological processes precisely through complex signaling pathways [4]. The promoter cis-elements of the OsCCO family genes can be categorized into three groups as follows: plant growth and development, plant hormone synthesis, and biotic/abiotic stress responses. The high proportion of light-responsive elements related to plant growth and development suggests that the OsCCO family enables plants to perceive and respond to changes in environmental light effectively, optimizing growth and development and enhancing competitive survival and adaptability [42]. Additionally, the OsCCO family contains numerous anaerobic response elements, likely because rice frequently faces flooding and hypoxic conditions.
The GO enrichment analysis revealed that OsCCO is mainly involved in the catabolic processes of carotenoids and terpenoids. Carotenoids protect chloroplasts from light damage during photosynthesis and are involved in light capture and energy transfer [43]. Furthermore, carotenoids and their degradation products play key roles in the antioxidant defense system of plants, helping plants resist oxidative stress [44]. Terpenoid compounds regulate plant growth and development, attract pollinators, repel herbivores, and protect plants from pathogens and insects [45]. Thus, OsCCO is an important factor in regulating plant growth and development and responding to environmental stress, providing valuable candidate genes for crop improvement and enhancing plant stress resistance.
In rice, miR164 targets the OMTN2, OMTN3, OMTN4, and OMTN6 genes and upregulates many key factors related to stress, development, and metabolism. OsHB4 targeted by miR166 is also an important regulator in plant development [46]. The main target of miR166 is the OsHB4 gene, and rice plants with miR166 knockout show leaf curl, reduced transpiration, and enhanced drought tolerance [47]. miR169g and miR1881 are related to drought stress. Under drought treatment, miR169g expression is down-regulated and more sensitive in rice roots, while miR1881 expression shows great variance in different varieties [48,49]. miR156, targeting the OsSPL3 gene, negatively regulates the transcription factors OsMYB2 and OsMYB3R-2 to improve the cold resistance of rice [50]. Under salt stress, the expression level of miR414 is down-regulated, which improves the salt resistance of rice [51], and miR396c is also down-regulated under NaHCO3 alkaline treatment [52]. Based on the expression patterns of OsCCO family genes under stress, OsNCED2b, OsCCD4a, and OsCCD1, all targeted by Osa-miR164, and OsCCD8a, targeted by Osa-miR1881, are estimated to be involved in drought stress. OsCCD7 and OsCCD8b, targeted by Osa-miR156, and OsCCD4a, targeted by Osa-miR319, are related to cold stress. OsCCD1, targeted by Osa-miR396f, and OsCCD4b targeted by Osa-miR396c, are associated with salt stress.
The differential expression of target genes in different tissues or organs reflects the stage-specific regulation of target genes in plant growth, development, tissue differentiation, and environmental adaptation. AtNCED3 in Arabidopsis is highly expressed in root tip meristems [53], ZmCCD7 in maize is expressed in roots, stems, leaves, and spikes, with especially highest expression in roots [40], and CpCCD8 in meratia praecox is mainly expressed in roots and axillary buds [54]. In this study, OsCCD7, OsCCD8c, OsCCD8a, OsNCED2b, and OsNCED3 showed higher expression in shoots, indicating that these genes may play key roles in the early stages of rice growth, which are partly consistent with previous studies. VvCCD1 and VvCCD4 in grapes are mainly expressed in leaves [55]; here, OsCCD1 and OsCCD4a exhibited the highest expression in leaves, with the OsCCD1 promoter containing multiple light-responsive elements, as well as the OsCCD4a promoter related to circadian regulation and anaerobic induction, suggesting these factors may participate in photosynthesis and energy conversion metabolism in leaves. OsNCED5 showed higher expression in seeds, indicating its role in seed development and material accumulation.
The CaNCED2 and CaCCD5 genes of chickpeas are positively correlated with an improvement in drought resistance, as well as the LcNCED2, LcCCD1, and LcCCD2 genes in lentil genes [56]. Here, OsCCD4a and OsNCED2b were also induced by drought stress. In soybeans, the transcription levels of NCED family genes increased after ABA treatment, and CCD7 and CCD8 significantly increased after a 6 h treatment, indicating that CCO family members are closely related to the ABA-mediated regulatory network [57]. In this study, the transcription levels of OsCCD7 and OsCCD8a significantly increased after a 3h treatment of ABA, which was consistent with previous studies. The NCED family members of Arabidopsis are a key rate-limiting enzyme in the ABA synthesis pathway and participate in ABA biosynthesis, and ABA is very important for plant development and the stress response [58]. Here, it was found that OsNCED2b, OsNCED3, and OsNCED5 of the NCED subfamily were all induced to increase the transcription levels under ABA treatment, which also confirmed the important role of plant NCED genes in the ABA signaling pathway.
In different growth stages, OsNCED2a, OsCCD1, OsCCD4a, OsCCD7, and OsCCD8e exhibited higher expression in the early development stages (seedling, jointing, and tillering stages), suggesting these genes are involved in early plant growth and differentiation. OsNCED2a, OsNCED2b, OsNCED5, OsCCD8b, and OsCCD8d showed significantly higher expression during the mid-growth stages (booting, heading, and flowering stages), indicating their crucial roles in reproductive growth processes such as flowering and fruiting. OsNCED3, OsCCD4b, OsCCD4c, OsCCD8b, and OsCCD8c showed increased expression during the late growth stages (grain-filling, dough, and maturing stages), indicating their importance in maturation and grain filling, likely related to assimilating transport and seed maturation.
4. Materials and Methods
4.1. Experimental Materials
The rice variety Nipponbare was used, potted at Anhui Science and Technology University in May 2023. Leaves without pests or damage were collected during the following growth stages: seedling, tillering, jointing, booting, heading, flowering, filling, dough, and maturity. Each sample had three replicates, which were quickly frozen in liquid nitrogen and ground. Total RNA was extracted using the Trizol reagent (T9108, Takara Japan) and reverse-transcribed into a cDNA sample using a KIT (Vazyme, R323-01, Nanjing, China).
4.2. Characteristics of the OsCCO Family of Rice
4.2.1. Identification of the OsCCO Family
Nine reported CCO family sequences were searched in the TAIR database of Arabidopsis and compared with the rice whole genome database, identifying 14 candidate OsCCO sequences. Protein structures were predicted using the online tool CDD of NCBI (National Center for Biotechnology Information), and proteins lacking the conserved RPE65 domain were removed. The identified protein sequences were validated using the PfamScan program, yielding candidate OsCCO family members. Gene names were assigned based on homologous genes in Arabidopsis, and genes within the same subfamily were sequentially named by lowercase letters according to their chromosomal locations. The rice whole-genome data, protein sequences, and annotation files were downloaded from the RiceSuperPIRdb database. Database information is listed in Table S3.
4.2.2. Physicochemical Properties and Subcellular Localization of the OsCCO Family
The ExPASy database was used to determine the amino acid length, molecular weight (MW), isoelectric point (pI), instability index (INI), aliphatic index (AI), and grand average of hydropathy (GRAVY) of the OsCCO family. The subcellular localization characteristics of OsCCO family members were predicted using the WoLF PSORT database.
4.2.3. Chromosomal Localization and Phylogenetic Tree Construction of the OsCCO Family
A chromosomal localization map of the OsCCO family was created using TBtools v2.056 software [59]. Fifty-six protein sequences of the CCO family from five species were selected to construct a phylogenetic tree using MEGA 11.0 software (neighbor-joining, bootstrap threshold with 1000) and visualized using the Evolview online tool. The proteins in the CCO family are listed in Table S2.
4.2.4. Conserved Motifs, Functional Domains, Gene Structures, and Promoters of the OsCCO Family
The online MEME tool was used to analyze the conserved motifs and functional domains of the CCO family proteins [60]. The gene structure map of the OsCCO family was created using the GSDS database [61]. The types, numbers, and functions of cis-elements in their promoters were predicted using the PlantCARE database [62].
4.2.5. Collinearity Analysis of the OsCCO Family Genes
The published genome data and annotation information of Arabidopsis, rice, maize, and Sorghum were downloaded, and collinearity associations within the rice OsCCO family, and between rice and other species, were analyzed by TBtools v2.056 software. The Advanced Circos in TBtools v2.056 software was used to perform the visualization drawing. Collinearity data are listed in Table S6.
4.2.6. Protein Interaction and GO Enrichment Analysis of the OsCCO Family
The protein interaction network of the OsCCO family was predicted using the STRING database, and the interaction network model was optimized and visualized using Cytoscape 3.9.1 software [63]. The molecular activity and biological processes of the OsCCO family members were analyzed using the ShinyGO database [64], with a false discovery rate (FDR) at p < 0.01 for GO enrichment analysis [65].
4.2.7. Genome-Wide Analysis of miRNA Targeting OsCCO Family Genes
Based on the sequences of OsCCO family genes of rice, the target sites of target genes were predicted in the psRNATarget database, to search related miRNA molecules, and the interaction networks between target genes of OsCCO family and target miRNA molecules were mapped using Cytoscape 3.9.1 software [63].
4.3. Tissue-Specific Expression of the OsCCO Family Members
Transcriptome data, including their expression levels (FPKM values) in shoots, leaves (20 d old), young seedlings (four-leaf stage), inflorescences (pre- and post-heading), anthers, pistils, seeds (5 d and 10 d post-fertilization), young embryos (25 d post-fertilization), and endosperm (25 d post-fertilization), were downloaded from the RGAP database of rice. Data were transformed with the formula log2(FPKM + 1) to calculate gene expression levels and visualized using TBtools v2.056 software. The expression levels of the OsCCO family members at different growth stages were detected using real-time quantitative PCR (qRT-PCR) with cDNA from rice leaves as templates. qRT-PCR procedures and reaction systems followed Zheng’s protocol [66]. The primers are listed in Table S9.
4.4. Expression Patterns of OsCCO Family Genes under Abiotic Stress and Hormone Treatments
The 14d sprouted rice seedlings (Oryza sativa Japonica Group) were used as target materials to download the RNA-seq data under various environmental conditions in the NCBI database (Accession: PRJDB2600) to evaluate the expression patterns of OsCCO family genes under drought, high salt penetration, waterlogging, cold injury, abscisic acid, and jasmonic acid. By using the SRAtoFastq plug-in of TBtools v2.056 software to control and filter original reads, and using the Kallisto Super Wrapper to map the reference genome, standardized TPM (Transcripts Per Kilobase Million) values are generated. The HeatMap plug-in of TBtools was used to create a heat map for the expression patterns of OsCCO family genes.
4.5. Data Processing
qRT-PCR data were analyzed using the 2−ΔΔCt method to calculate relative expression levels [67]. Expression levels were statistically analyzed using one-way ANOVA in SPSS18.0 software, with significance determined by Duncan’s multiple comparison test (p < 0.05). Data were organized and plotted using GraphPad Prism 8.0 software.
5. Conclusions
Fourteen OsCCO family members were identified in the rice genome, including four OsNCED genes and ten OsCCD genes. Subcellular localization predictions indicated that OsCCO proteins were mostly concentrated in the cytoplasm and chloroplasts, with most proteins being unstable in vitro. The OsCCO family in rice is closely related to the maize ZmCCO family and the Sorghum SbCCO family. OsCCD7 and OsNCED5 exhibited collinearity associations between rice and Arabidopsis, Sorghum, and maize. OsCCD4a and OsCCD7 are key members of the OsCCO family protein interaction network, mainly involved in the catabolic processes of carotenoids and terpenoid compounds. The promoters of OsCCO family genes contain many cis-elements related to light response, MeJA, ABA, and other factors. miRNA molecules targeting OsCCO family genes were mostly involved in abiotic stress responses in rice, such as drought, cold injury, high salt stress, etc. RNA-seq data further confirmed similar functional properties, and qRT-PCR suggested that OsNCED2a, OsNCED3, OsCCD1, OsCCD4a, OsCCD7, OsCCD8a, and OsCCD8e were related to plant growth and differentiation, whereas OsNCED2a, OsNCED2b, OsNCED5, OsCCD8b, and OsCCD8d were associated with reproductive organ development, flowering, and seed formation. OsNCED3, OsCCD4b, OsCCD4c, OsCCD8b, and OsCCD8c were related to assimilate transport and seed maturation. These results lay the foundation for further functional analysis of the OsCCO family.
Supplementary Materials
The following supporting information can be downloaded at: https://www.mdpi.com/article/10.3390/ijms251910264/s1.
Author Contributions
All authors contributed to the study conception and design. Material preparation, data collection, analysis, and writing—original draft were performed by H.D. and H.A. Data curation, formal analysis, investigation, and methodology were performed by Y.W., J.S., L.R., J.L. and Y.T. Conceptualization, project administration, resources, and supervision were performed by Z.X. and J.Z. All authors have read and agreed to the published version of the manuscript.
Funding
This work was financially supported by the Key Discipline Construction Fund for Crop Science of Anhui Science and Technology University (No. XK-XJGF001), the Postgraduate Academic Innovation Project of Anhui (2023xscx132), the Science and Technology Mission Project of Anhui (2023tpt035, 2022ny02), the Education Natural Science Research Programme of Anhui (2022AH051649), and the Domestic Visiting Study Programme of Young Teachers.
Institutional Review Board Statement
Not applicable.
Informed Consent Statement
Not applicable.
Data Availability Statement
The data in this study will be shared by the corresponding authors if reasonably requested for study.
Conflicts of Interest
The authors declare no conflicts of interest.
References
- Maoka, T. Carotenoids as natural functional pigments. J. Nat. Med. 2020, 74, 1–16. [Google Scholar] [CrossRef] [PubMed]
- Ohmiya, A. Carotenoid cleavage dioxygenases and their apocarotenoid products in plants. Plant Biotechnol. 2009, 26, 351–358. [Google Scholar] [CrossRef]
- Ramara, J.S.; Ramalingam, R.; Jae, K.K.; Sang, U.P. An update on biosynthesis and regulation of carotenoids in plants. S. Afr. J. Bot. 2021, 140, 290–302. [Google Scholar]
- Zhou, Q.; Li, Q.; Li, P.; Zhang, S.; Liu, C.; Jin, J.; Cao, P.; Yang, Y. Carotenoid cleavage dioxygenases: Identification, expression, and evolutionary analysis of this gene family in tobacco. Int. J. Mol. Sci. 2019, 20, 5796. [Google Scholar] [CrossRef]
- Tan, B.C.; Joseph, L.M.; Deng, W.T.; Liu, L.; Li, Q.B.; Cline, K.; McCarty, D.R. Molecular characterization of the Arabidopsis 9-cis epoxycarotenoid dioxygenase gene family. Plant J. 2003, 35, 44–56. [Google Scholar] [CrossRef]
- Widjaja-Adhi, M.A.; Lobo, G.P.; Golczak, M.; Von Lintig, J. A genetic dissection of intestinal fat-soluble vitamin and carotenoid absorption. Hum. Mol. Genet. 2015, 24, 3206–3219. [Google Scholar] [CrossRef]
- Akram, J.; Siddique, R.; Shafiq, M.; Tabassum, B.; Manzoor, M.T.; Javed, M.A.; Anwar, S.; Nisa, B.U.; Saleem, M.H.; Javed, B.; et al. Genome-wide identification of CCO gene family in cucumber (Cucumis sativus) and its comparative analysis with A. thaliana. BMC Plant Biol. 2023, 23, 640. [Google Scholar] [CrossRef]
- Priya, R.; Sneha, P.; Dass, J.F.P.; Doss, C.G.P.; Manickavasagam, M.; Siva, R. Exploring the codon patterns between CCD and NCED genes among different plant species. Comput. Biol. Med. 2019, 114, 103449. [Google Scholar] [CrossRef]
- Simkin, A.J.; Schwartz, S.H.; Auldridge, M.; Taylor, M.G.; Klee, H.J. The tomato carotenoid cleavage dioxygenase 1 genes contribute to the formation of the flavor volatiles beta-ionone, pseudoionone, and geranylacetone. Plant J. 2004, 40, 882–892. [Google Scholar] [CrossRef]
- Pu, X.; Li, Z.; Tian, Y.; Gao, R.; Hao, L.; Hu, Y.; He, C.; Sun, W.; Xu, M.; Peters, R.J.; et al. The honeysuckle genome provides insight into the molecular mechanism of carotenoid metabolism underlying dynamic flower coloration. New Phytol. 2020, 227, 930–943. [Google Scholar] [CrossRef]
- Schmidt, H.; Kurtzer, R.; Eisenreich, W.; Schwab, W. The carotenase AtCCD1 from Arabidopsis thaliana is a dioxygenase. J. Biol. Chem. 2006, 281, 9845–9851. [Google Scholar] [CrossRef] [PubMed]
- Waters, M.T.; Gutjahr, C.; Bennett, T.; Nelson, D.C. Strigolactone signaling and evolution. Annu. Rev. Plant Biol. 2017, 68, 291–322. [Google Scholar] [CrossRef] [PubMed]
- Han, S.Y.; Kitahata, N.; Saito, T.; Kobayashi, M.; Shinozaki, K.; Yoshida, S.; Asami, T. A new lead compound for abscisic acid biosynthesis inhibitors targeting 9-cis-epoxycarotenoid dioxygenase. Bioorg. Med. Chem. Lett. 2004, 14, 3033–3036. [Google Scholar] [CrossRef] [PubMed]
- Muppala, S.; Gudlavalleti, P.K.; Malireddy, K.R.; Puligundla, S.K.; Dasari, P. Development of stable transgenic maize plants tolerant for drought by manipulating ABA signaling through Agrobacterium-mediated transformation. J. Genet. Eng. Biotechnol. 2021, 19, 96. [Google Scholar] [CrossRef] [PubMed]
- Changan, S.S.; Kumar, V.; Tyagi, A. Expression pattern of candidate genes and their correlation with various metabolites of abscisic acid biosynthetic pathway under drought stress in rice. Physiol. Plant 2023, 175, e141022023. [Google Scholar] [CrossRef]
- Horváth, E.; Csiszár, J.; Gallé, Á.; Poór, P.; Szepesi, Á.; Tari, I. Hardening with salicylic acid induces concentration-dependent changes in abscisic acid biosynthesis of tomato under salt stress. J. Plant Physiol. 2015, 183, 54–63. [Google Scholar] [CrossRef]
- Xu, P.; Cai, W. Functional characterization of the BnNCED3 gene in Brassica napus. Plant Sci. 2017, 256, 16–24. [Google Scholar] [CrossRef]
- Wang, M.; Huang, L.; Kou, Y.; Li, D.; Hu, W.; Fan, D.; Cheng, S.; Yang, Y.; Zhang, Z. Differentiation of morphological traits and genome-wide expression patterns between rice subspecies indica and japonica. Genes 2023, 14, 1971. [Google Scholar] [CrossRef]
- Shang, L.; He, W.; Wang, T.; Yang, Y.; Xu, Q.; Zhao, X.; Yang, L.; Zhang, H.; Li, X.; Lv, Y.; et al. A complete assembly of the rice Nipponbare reference genome. Mol. Plant 2023, 16, 1232–1236. [Google Scholar] [CrossRef]
- Gao, J.; Liang, H.; Huang, J.; Qing, D.J.; Wu, H.; Zhou, W.Y.; Chen, W.W.; Pan, Y.H.; Dai, G.X.; Gao, L.J.; et al. Development of the PARMS marker of the TAC1 gene and its utilization in rice plant architecture breeding. Euphytica 2021, 217, 49. [Google Scholar] [CrossRef]
- Xue, G.; Hu, L.; Zhu, L.; Chen, Y.; Qiu, C.; Fan, R.; Ma, X.; Cao, Z.; Chen, J.; Shi, J.; et al. Genome-Wide identification and expression analysis of CCO Gene Family in Liriodendron chinense. Plants 2023, 12, 1975. [Google Scholar] [CrossRef] [PubMed]
- Gamage, D.G.; Gunaratne, A.; Periyannan, G.R.; Russell, T.G. Applicability of instability index for in vitro protein stability prediction. Protein Pept. Lett. 2019, 26, 339–347. [Google Scholar] [CrossRef] [PubMed]
- Voon, C.P.; Law, Y.S.; Guan, X.; Lim, S.L.; Xu, Z.; Chu, W.T.; Zhang, R.; Sun, F.; Labs, M.; Leister, D.; et al. Modulating the activities of chloroplasts and mitochondria promotes adenosine triphosphate production and plant growth. Quant. Plant Biol. 2021, 2, e72021. [Google Scholar] [CrossRef] [PubMed]
- Wang, Y.; Shang, L.; Yu, H.; Zeng, L.; Hu, J.; Ni, S.; Rao, Y.; Li, S.; Chu, J.; Meng, X.; et al. A strigolactone biosynthesis gene contributed to the green revolution in rice. Mol. Plant 2020, 13, 923–932. [Google Scholar] [CrossRef]
- Schwartz, S.H.; Tan, B.C.; Gage, D.A.; Zeevaart, J.A.; McCarty, D.R. Specific oxidative cleavage of carotenoids by VP14 of maize. Science 1997, 276, 1872–1874. [Google Scholar] [CrossRef]
- Mokhtar, M.M.; Alsamman, A.M.; El, A.A. PlantLTRdb: An interactive database for 195 plant species. Front. Plant Sci. 2023, 14, 1134627. [Google Scholar] [CrossRef]
- Wang, L.; Sun, W.X.; Liu, X.J.; Xu, Y.; Lyu, Z.X.; Liu, R.; Jiu, S.T.; Zhang, C.X.; Wang, J.Y. Genome-wide identification of the NCED gene family and functional characterization of PavNCED5 related to bud dormancy in sweet cherry. Sci. Hortic. 2023, 319, 112186. [Google Scholar] [CrossRef]
- Sreekumar, J.; Muhammed Sadiq, P.A.; Raju, S.; Mukherjee, A. In silico analysis of carotenoid biosynthesis pathway in cassava (Manihot esculenta Crantz). J. Genet. 2022, 101, 102. [Google Scholar] [CrossRef]
- Cheng, G.T.; Li, Y.S.; Qi, S.M.; Wang, J.; Zhao, P.; Lou, Q.Q.; Wang, Y.F.; Zhang, X.Q.; Liang, Y. SlCCD1A Enhances the aroma quality of tomato fruits by promoting the synthesis of carotenoid-derived volatiles. Foods 2021, 10, 2678. [Google Scholar] [CrossRef]
- Frey, A.; Effroy, D.; Lefebvre, V.; Seo, M.; Perreau, F.; Berger, A.; Marion-Poll, A. Epoxycarotenoid cleavage by NCED5 fine-tunes aba accumulation and affects seed dormancy and drought tolerance with other NCED family members. Plant J. 2012, 70, 501–512. [Google Scholar] [CrossRef]
- Kulkarni, K.P.; Vishwakarma, C.; Sahoo, S.P.; Lima, J.M.; Nath, M.; Dokku, P.; Gacche, R.N.; Mohapatra, T.; Robin, S.; Sarla, N.; et al. A substitution mutation in OsCCD7 cosegregates with dwarf and increased tillering phenotype in rice. J. Genet. 2014, 93, 389–401. [Google Scholar] [CrossRef] [PubMed]
- Auldridge, M.E.; McCarty, D.R.; Klee, H.J. Plant carotenoid cleavage oxygenases and their apocarotenoid products. Curr. Opin. Plant Biol. 2006, 9, 315–321. [Google Scholar] [CrossRef] [PubMed]
- González-Verdejo, C.I.; Obrero, Á.; Román, B.; Gómez, P. Expression profile of carotenoid cleavage dioxygenase genes in summer squash (Cucurbita pepo L.). Plant Foods Hum. Nutr. 2015, 70, 200–206. [Google Scholar] [CrossRef] [PubMed]
- Alder, A.; Jamil, M.; Marzorati, M.; Bruno, M.; Vermathen, M.; Bigler, P.; Ghisla, S.; Bouwmeester, H.; Beyer, P.; Al-Babili, S. The path from β-carotene to carlactone, a strigolactone-like plant hormone. Science 2012, 335, 1348–1351. [Google Scholar] [CrossRef] [PubMed]
- Liu, X.; Hu, Q.; Yan, J.; Sun, K.; Liang, Y.; Jia, M.; Meng, X.; Fang, S.; Wang, Y.; Jing, Y.; et al. ζ-Carotene isomerase suppresses tillering in rice through the coordinated biosynthesis of strigolactone and abscisic acid. Mol. Plant 2020, 13, 1784–1801. [Google Scholar] [CrossRef] [PubMed]
- Koop, J.; Merz, J.; Schembecker, G. Hydrophobicity, amphilicity, and flexibility: Relation between molecular protein properties and the macroscopic effects of surface activity. J. Biotechnol. 2021, 334, 11–25. [Google Scholar] [CrossRef]
- Gao, L.L.; Hong, Z.H.; Wang, Y.; Wu, G.Z. Chloroplast proteostasis: A story of birth, life, and death. Plant Commun. 2023, 4, 100424. [Google Scholar] [CrossRef]
- Ngounou Wetie, A.G.; Sokolowska, I.; Channaveerappa, D.; Dupree, E.J.; Jayathirtha, M.; Woods, A.G.; Darie, C.C. Proteomics and non-proteomics approaches to study stable and transient protein-protein interactions. Adv. Exp. Med. Biol. 2019, 1140, 121–142. [Google Scholar]
- Pan, X.; Zheng, H.; Zhao, J.; Xu, Y.; Li, X. ZmCCD7/ZpCCD7 encodes a carotenoid cleavage dioxygenase mediating shoot branching. Planta 2016, 243, 1407–1418. [Google Scholar] [CrossRef]
- Zheng, J.C.; Yu, J.; Liu, T.; Wang, X.; Zhan, Q.W.; Li, J.Q.; Xu, Z.S.; Ma, Y.Z. Identification and expression characterisation of SbERECTA family genes in Sorghum bicolor. Crop Pasture Sci. 2021, 72, 125–135. [Google Scholar] [CrossRef]
- Sami, A.; Haider, M.Z.; Shafiq, M.; Sadiq, S.; Ahmad, F. Genome-wide identification and in-silico expression analysis of CCO gene family in sunflower (Helianthus annnus) against abiotic stress. Plant Mol. Biol. 2024, 114, 34. [Google Scholar] [CrossRef]
- Norén Lindbäck, L.; Ji, Y.; Cervela-Cardona, L.; Jin, X.; Pedmale, U.V.; Strand, A. An interplay between bZIP16, bZIP68, and GBF1 regulates nuclear photosynthetic genes during photomorphogenesis in Arabidopsis. New Phytol. 2023, 240, 1082–1096. [Google Scholar] [CrossRef]
- Sun, T.; Rao, S.; Zhou, X.; Li, L. Plant carotenoids: Recent advances and future perspectives. Mol. Hortic. 2022, 2, 3. [Google Scholar] [CrossRef]
- Felemban, A.; Braguy, J.; Zurbriggen, M.D.; Al-Babili, S. Apocarotenoids involved in plant development and stress response. Front. Plant Sci. 2019, 10, 1168. [Google Scholar] [CrossRef]
- Li, C.; Zha, W.; Li, W.; Wang, J.; You, A. Advances in the biosynthesis of terpenoids and their ecological functions in plant resistance. Int. J. Mol. Sci. 2023, 24, 11561. [Google Scholar] [CrossRef]
- Fang, Y.J.; Xie, K.B.; Xiong, L.Z. Conserved miR164-targeted NAC genes negatively regulate drought resistance in rice. J. Exp. Bot. 2014, 65, 2119–2135. [Google Scholar] [CrossRef]
- Zhang, J.S.; Zhang, H.; Srivastava, A.K.; Pan, Y.J.; Bai, J.J.; Fang, J.J.; Shi, H.Z.; Zhu, J.K. Knockdown of rice microRNA166 confers drought resistance by causing leaf rolling and altering stem xylem development. Plant Physiol. 2018, 176, 2082–2094. [Google Scholar] [CrossRef]
- Zhao, B.; Ge, L.; Liang, R.; Li, W.; Ruan, K.; Lin, H.; Jin, Y. Members of miR-169 family are induced by high salinity and transiently inhibit the NF-YA transcription factor. BMC Mol. Biol. 2009, 10, 29. [Google Scholar] [CrossRef]
- Kansal, S.; Devi, R.M.; Balyan, S.C.; Arora, M.K.; Singh, A.K.; Mathur, S.; Raghuvanshi, S. Unique miRNome during anthesis in drought-tolerant indica rice var. Nagina 22. Planta 2015, 241, 1543–1559. [Google Scholar] [CrossRef]
- Cui, N.; Sun, X.L.; Sun, M.Z.; Jia, B.W.; Duanmu, H.Z.; Lv, D.K.; Duan, X.; Zhu, Y.M. Overexpression of OsmiR156k leads to reduced tolerance to cold stress in rice (Oryza sativa). Mol. Breed. 2015, 35, 214. [Google Scholar] [CrossRef]
- Macovei, A.; Tuteja, N. microRNAs targeting DEAD-box helicases are involved in salinity stress response in rice (Oryza sativa L.). BMC Plant Biol. 2012, 12, 183. [Google Scholar] [CrossRef]
- Gao, P.; Bai, X.; Yang, L.; Lv, D.; Li, Y.; Cai, H.; Ji, W.; Guo, D.; Zhu, Y. Over-expression of osa-MIR396c decreases salt and alkali stress tolerance. Planta 2010, 231, 991–1001. [Google Scholar] [CrossRef]
- Ye, N.; Zhu, G.; Liu, Y.; Li, Y.; Zhang, J. ABA controls H₂O₂ accumulation through the induction of OsCATB in rice leaves under water stress. Plant Cell Physiol. 2011, 52, 689–698. [Google Scholar] [CrossRef]
- Wang, X.; Liu, D.; Lin, J.; Zhu, T.; Liu, N.; Yang, X.; Ma, J.; Sui, S. Carotenoid Cleavage Dioxygenase Genes of Chimonanthus praecox, CpCCD7 and CpCCD8, Regulate Shoot Branching in Arabidopsis. Int. J. Mol. Sci. 2021, 22, 8750. [Google Scholar] [CrossRef]
- Lashbrooke, J.G.; Young, P.R.; Dockrall, S.J.; Vasanth, K.; Vivier, M.A. Functional characterisation of three members of the Vitis vinifera L. carotenoid cleavage dioxygenase gene family. BMC Plant Biol. 2013, 13, 156. [Google Scholar] [CrossRef]
- Basso, M.F.; Contaldi, F.; Celso, F.L.; Karalija, E.; Paz-Carrasco, L.C.; Barone, G.; Ferrante, A.; Martinelli, F. Expression profile of the NCED/CCD genes in chickpea and lentil during abiotic stress reveals a positive correlation with increased plant tolerance. Plant Sci. 2023, 336, 111817. [Google Scholar] [CrossRef]
- Wang, R.K.; Wang, C.E.; Fei, Y.Y.; Gai, J.Y.; Zhao, T.J. Genome-wide identification and transcription analysis of soybean carotenoid oxygenase genes during abiotic stress treatments. Mol. Biol. Rep. 2013, 40, 4737–4745. [Google Scholar] [CrossRef]
- Sato, H.; Takasaki, H.; Takahashi, F.; Suzuki, T.; Iuchi, S.; Mitsuda, N.; Ohme-Takagi, M.; Ikeda, M.; Seo, M.; Yamaguchi-Shinozaki, K.; et al. Arabidopsis thaliana NGATHA1 transcription factor induces ABA biosynthesis by activating NCED3 gene during dehydration stress. Proc. Natl. Acad. Sci. USA 2018, 115, E11178. [Google Scholar] [CrossRef]
- Chen, C.; Chen, H.; Zhang, Y.; Thomas, H.R.; Frank, M.H.; He, Y.; Xia, R. TBtools: An integrative toolkit developed for interactive analyses of big biological data. Mol. Plant 2020, 13, 1194–1202. [Google Scholar] [CrossRef]
- Bailey, T.L.; Boden, M.; Buske, F.A.; Frith, M.; Grant, C.E.; Clementi, L.; Ren, J.; Li, W.W.; Noble, W.S. MEME SUITE: Tools for motif discovery and searching. Nucleic Acids Res. 2009, 37, W202–W208. [Google Scholar] [CrossRef]
- Hu, B.; Jin, J.; Guo, A.Y.; Zhang, H.; Luo, J.; Gao, G. GSDS 2.0: An upgraded gene feature visualization server. Bioinformatics 2015, 31, 1296–1297. [Google Scholar] [CrossRef]
- Lescot, M.; Déhais, P.; Thijs, G.; Marchal, K.; Moreau, Y.; Van de Peer, Y.; Rouzé, P.; Rombauts, S. PlantCARE, a database of plant cis-acting regulatory elements and a portal to tools for in silico analysis of promoter sequences. Nucleic Acids Res. 2002, 30, 325–327. [Google Scholar] [CrossRef]
- Doncheva, N.T.; Morris, J.H.; Gorodkin, J.; Jensen, L.J. Cytoscape StringApp: Network analysis and visualization of proteomics data. J. Proteome Res. 2019, 18, 623–632. [Google Scholar] [CrossRef]
- Langenbacher, A.D.; Shimizu, H.; Hsu, W.; Zhao, Y.; Borges, A.; Koehler, C.; Chen, J.N. Mitochondrial calcium uniporter deficiency in zebrafish causes cardiomyopathy with Arrhythmia. Front. Physiol. 2020, 11, 617492. [Google Scholar] [CrossRef]
- Bu, D.; Luo, H.; Huo, P.; Wang, Z.; Zhang, S.; He, Z.; Wu, Y.; Zhao, L.; Liu, J.; Guo, J.; et al. KOBAS-i: Intelligent prioritization and exploratory visualization of biological functions for gene enrichment analysis. Nucleic Acids Res. 2021, 49, W317–W325. [Google Scholar] [CrossRef]
- Zheng, J.; Yang, Z.; Madgwick, P.J.; Carmo-Silva, E.; Parry, M.A.; Hu, Y.G. TaER expression is associated with transpiration efficiency traits and yield in bread wheat. PLoS ONE 2015, 10, e01284152015. [Google Scholar] [CrossRef]
- Livak, K.J.; Schmittgen, T.D. Analysis of relative gene expression datausing real-time quantitative PCR and the 2−ΔΔCT Method. Methods 2001, 25, 402–408. [Google Scholar] [CrossRef]
Disclaimer/Publisher’s Note: The statements, opinions and data contained in all publications are solely those of the individual author(s) and contributor(s) and not of MDPI and/or the editor(s). MDPI and/or the editor(s) disclaim responsibility for any injury to people or property resulting from any ideas, methods, instructions or products referred to in the content. |
© 2024 by the authors. Licensee MDPI, Basel, Switzerland. This article is an open access article distributed under the terms and conditions of the Creative Commons Attribution (CC BY) license (https://creativecommons.org/licenses/by/4.0/).













