New Copper Complexes with Antibacterial and Cytotoxic Activity
Abstract
:1. Introduction
2. Results and Discussion
2.1. Crystal Structures Description
2.1.1. Crystal Structure of [Cu4(L1)4(OH)4(DMF)2(H2O)] (C1)
2.1.2. Crystal Structure of [Cu(L2)2(phen)(H2O)] (C2)
2.2. Hirshfeld Surfaces and Fingerprint Plots Analysis
2.3. Evaluation of Antibacterial Activity
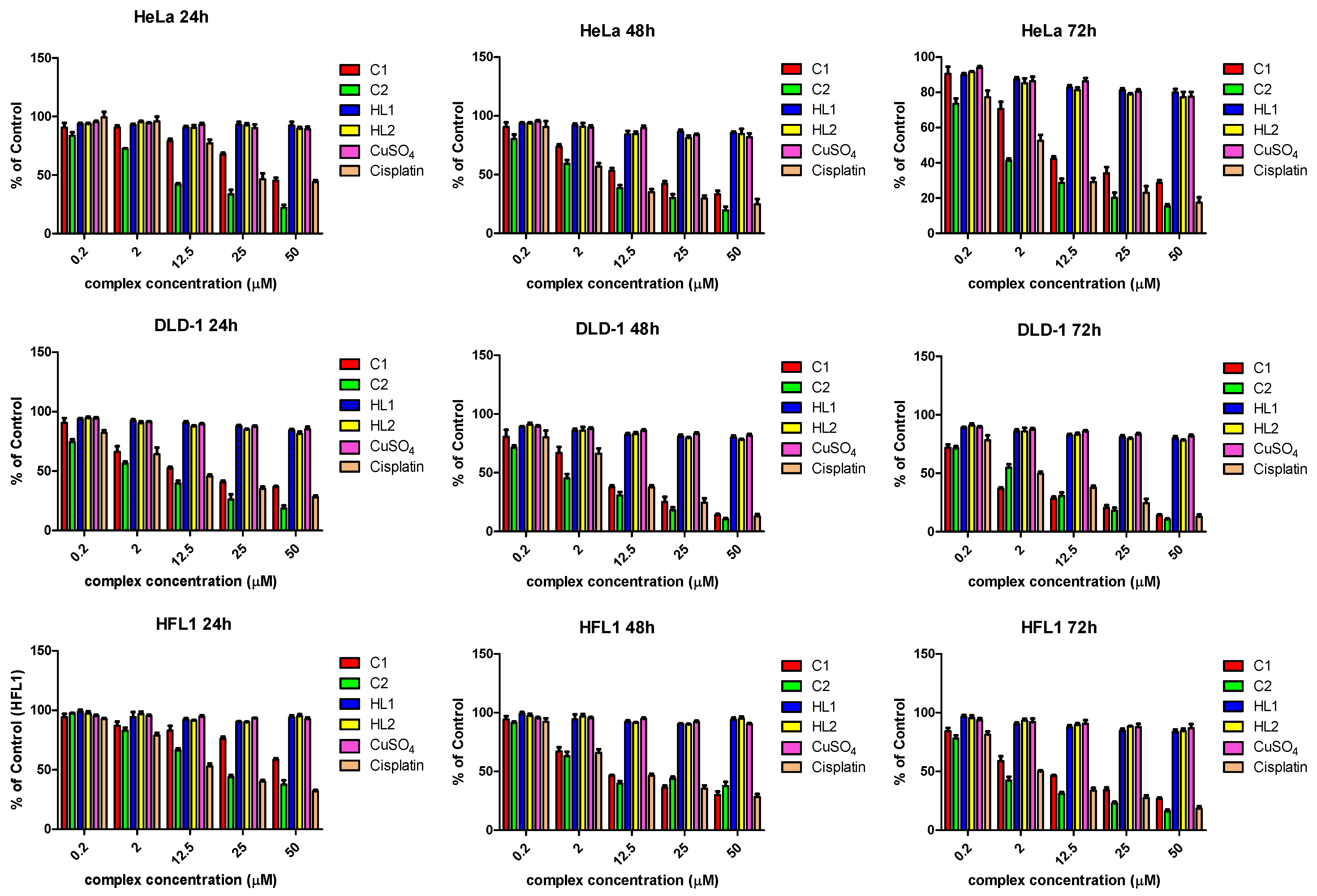
2.4. Cytotoxicity Assays
2.5. Evaluation of Apoptosis
3. Materials and Methods
3.1. Synthesis of the Complex, [Cu4(L1)4(OH)4(DMF)2(H2O)] (C1)
3.2. Synthesis of the Complex [Cu(L2)2(phen)(H2O)] (C2)
3.3. Solubility and Stability for the Complexes, C1 and C2, and the Ligands (HL1 and HL2)
3.4. X-ray Single-Crystal Diffraction and Structure Refinement
3.5. Hirshfeld Surface and Related Fingerprint Plot Analysis
3.6. Evaluation of Antibacterial Activity
3.6.1. Minimum Inhibitory Concentration
3.6.2. Minimum Bactericidal Concentration
3.7. Cell Culture and Cytotoxicity Assays
3.7.1. Cell Culture
3.7.2. Cytotoxicity Assays
3.8. Evaluation of Apoptosis
3.9. Statistics
4. Conclusions
Supplementary Materials
Author Contributions
Funding
Institutional Review Board Statement
Informed Consent Statement
Data Availability Statement
Conflicts of Interest
References
- Siegel, R.L.; Miller, K.D.; Wagle, N.S.; Jemal, A. Cancer statistics, 2023. CA Cancer J. Clin. 2023, 73, 17–48. [Google Scholar] [CrossRef] [PubMed]
- Sung, H.; Ferlay, J.; Siegel, R.L.; Laversanne, M.; Soerjomataram, I.; Jemal, A.; Bray, F. Global cancer statistics 2020: GLOBOCAN estimates of incidence and mortality worldwide for 36 cancers in 185 countries. CA Cancer J. Clin. 2021, 71, 209–249. [Google Scholar] [CrossRef] [PubMed]
- Demuru, E.; Rossi, S.; Ventura, L.; Dal Maso, L.; Guzzinati, S.; Katalinic, A.; Lamy, S.; Jooste, V.; Di Benedetto, C.; De Angelis, R.; et al. Estimating complete cancer prevalence in Europe: Validity of alternative vs standard completeness indexes. Front. Oncol. 2023, 13, 1114701. [Google Scholar] [CrossRef] [PubMed]
- Sevastre, B.; Sarpataki, O.; Olah, N.K.; Stan, R.L.; Taulescu, M.; Marcus, I.; Cătoi, C. Anti-tumor effect of Euonymus europaeus on Ehrlich tumor cells in vivo. Farmacia 2014, 62, 907–917. [Google Scholar]
- Esfahani, K.; Roudaia, L.; Buhlaiga, N.; Del Rincon, S.V.; Papneja, N.; Miller, W.H., Jr. A review of cancer immunotherapy: From the past, to the present, to the future. Curr. Oncol. 2020, 27, S87–S97. [Google Scholar] [CrossRef] [PubMed]
- Colonna, M.; Grosclaude, P.; Bouvier, A.M.; Goungounga, J.; Jooste, V. Health status of prevalent cancer cases as measured by mortality dynamics (cancer vs. noncancer): Application to five major cancers sites. Cancer 2022, 128, 3663–3673. [Google Scholar] [CrossRef] [PubMed]
- Hamdan, F.; Cerullo, V. Cancer immunotherapies: A hope for the uncurable? Front. Mol. Med. 2023, 3, 1140977. [Google Scholar] [CrossRef]
- Cetean, S.; Ciuleanu, T.; Leucuța, D.C.; Căinap, C.; Constantin, A.M.; Cazacu, I.; Căinap, S.; Gherman, A.; Oprean, L.; Hangan, A.; et al. Hypersensitivity reactions to platinum derivatives: Findings of new predictive markers. J. BUON 2015, 20, 1617–1623. [Google Scholar]
- Paprocka, R.; Wiese-Szadkowska, M.; Janciauskiene, S.; Kosmalski, T.; Kulik, M.; Helmin-Basa, A. Latest developments in metal complexes as anticancer agents. Coord. Chem. Rev. 2022, 452, 214307. [Google Scholar] [CrossRef]
- Sathisha, M.P.; Shetti, U.N.; Revankar, V.K.; Pai, K.S. Synthesis and antitumor studies on novel Co(II), Ni(II) and Cu(II) metal complexes of bis (3-acetylcoumarin) thiocarbohydrazone. Eur. J. Med. Chem. 2008, 43, 2338–2346. [Google Scholar] [CrossRef]
- Borges, L.J.; Bull, É.S.; Fernandes, C.; Horn, A.; Azeredo, N.F.; Resende, J.A.; Freitas, W.R.; Carvalho, E.C.; Lemos, L.S.; Jerdy, H.; et al. In vitro and in vivo studies of the antineoplastic activity of copper (II) compounds against human leukemia THP-1 and murine melanoma B16-F10 cell lines. Eur. J. Med. Chem. 2016, 123, 128–140. [Google Scholar] [CrossRef] [PubMed]
- Tabti, R.; Tounsi, N.; Gaiddon, C.; Bentouhami, E.; Désaubry, L. Progress in copper complexes as anticancer agents. Med. Chem. 2017, 7, 875–879. [Google Scholar] [CrossRef]
- Schwartz, L.; Supuran, C.T.; Alfarouk, K.O. The Warburg Effect and the Hallmarks of Cancer. Anti-Cancer Agents Med. Chem. 2017, 17, 164–170. [Google Scholar] [CrossRef] [PubMed]
- Murillo, M.I.; Gaiddon, C.; Le Lagadec, R. Targeting of the intracellular redox balance by metal complexes towards anticancer therapy. Front. Chem. 2022, 10, 967337. [Google Scholar] [CrossRef] [PubMed]
- Meşeli, T.; Doğan, Ș.D.; Gündüz, M.G.; Kökbudak, Z.; Bogojevic, S.S.; Noonan, T.; Vojnovic, S.; Wolber, G.; Nikodinovic-Runic, J. Design, synthesis, antibacterial activity evaluation and molecular modeling studies of new sulfonamides containing a sulfathiazole moiety. New J. Chem. 2021, 45, 8166. [Google Scholar] [CrossRef]
- Ali, A.; Hasan, P.; Irfan, M.; Uddin, A.; Khan, A.; Saraswat, J.; Maguire, R.; Kavanagh, K.; Patel, R.; Joshi, M.C.; et al. Development of oxadiazole-sulfonamide-based compounds as potential antibacterial agents. ACS Omega 2021, 6, 27798–27813. [Google Scholar] [CrossRef] [PubMed]
- Damena, T.; Alem, M.B.; Zeleke, D.; Desalegn, T.; Rajalakshmanan Eswaramoorthy, D.D.; Demissie, T.B. Novel Zinc(II) and Copper(II) Complexes of 2-((2-Hydroxyethyl)amino)quinoline-3-carbaldehyde for Antibacteria and Antioxidant Activities: A Combined Experimental, DFT, and Docking Studies. ACS Omega 2022, 7, 26336–26352. [Google Scholar] [CrossRef]
- Marston, H.D.; Dixon, D.M.; Knisely, J.M.; Palmore, T.N.; Fauci, A.S. Antimicrobial resistance. JAMA 2016, 316, 1193–1204. [Google Scholar] [CrossRef]
- Kremer, E.; Facchin, G.; Estevez, E.; Alborez, P.; Baran, E.J.; Ellena, J.; Torrre, M.H. Copper complexes with heterocyclic sulfonamides: Synthesis, spectroscopic characterization, microbiological and SOD-like activities: Crystal structure of [Cu(Sulfsoxazole)2(H2O)4]·2H2O. J. Inorg. Biochem. 2006, 100, 1167–1175. [Google Scholar] [CrossRef]
- Shah, S.S.A.; Rivera, G.; Ashfaq, M. Recent advances in medicinal chemistry of sulfonamides. Rational design as anti-tumoural, antibacterial and antiinflammatory agents. Mini Rev. Med. Chem. 2013, 13, 70–86. [Google Scholar] [CrossRef]
- Patel, M.N.; Patel, C.R.; Joshi, M.N. Metal-based biologically active compounds: Synthesis, characterization, DNA interaction, antibacterial, cytotoxic and SOD mimic activities. Appl. Biochem. Biotechnol. 2013, 169, 1329–1345. [Google Scholar] [CrossRef] [PubMed]
- El-Ghamry, H.A.; Alharbi, B.K.; Takroni, K.M.; Khedr, A.M. A series of nanosized Cu(II) complexes based on sulfonamide azo dye ligands: An insight into complexes molecular structures, antimicrobial, antitumor and catalytic performance for oxidative dimerization of 2-aminophenol. Appl. Organomet. Chem. 2023, 37, e6978. [Google Scholar] [CrossRef]
- Mansour, A.M. Selective coordination ability of sulfamethazine Schiff-base ligand towards copper(II): Molecular structures, spectral and SAR study. Spectrochim. Acta Part A Mol. Biomol. Spectrosc. 2014, 123, 257–266. [Google Scholar] [CrossRef] [PubMed]
- González-Álvarez, M.; Pascual-Álvarez, A.; del Castillo Agudo, L.; Castiñeiras, A.; Liu-González, M.; Borrás, J.; Alzuet-Piña, G. Mixed-ligand copper(II)-sulfonamide complexes: Effect of the sulfonamide derivative on DNA binding, DNA cleavage, genotoxicity and anticancer activity. Dalton Trans. 2013, 42, 10244–10259. [Google Scholar] [CrossRef] [PubMed]
- Hangan, A.; Turza, A.; Stan, R.L.; Stefan, R.; Oprean, L.S. Synthesis, crystal structure, proprieties, and nuclease activity of a new Cu(II) complex [Cu(L)2(Py)2(H2O)] (HL=N-(5-(4-methylphenyl)-[1,3,4]-thiadiazole-2-yl)toluenesulfonamide). Russ. J. Coord. Chem. 2015, 41, 395–404. [Google Scholar] [CrossRef]
- Hangan, A.C.; Stan, R.L.; Sevastre, B.; Gheorghe-Cetean, S.; Oprean, L. DNA cleavage study and SOD-mimetic activity of a new Cu (II) complex. Farmacia 2017, 65, 368–373. [Google Scholar]
- Hangan, A.; Bodoki, A.; Oprean, L.; Alzuet, G.; Liu-Gonzalez, M.; Borras, J. Synthesis, crystallographic, spectroscopic characterization and magnetic properties of dimer and monomer ternary copper(II) complexes with sulfonamide derivatives and 1,10-phenantroline. Nuclease activity by the oxidative mechanism. Polyhedron 2010, 29, 1305–1313. [Google Scholar] [CrossRef]
- Hangan, A.C.; Turza, A.; Lucaciu, R.L.; Sevastre, B.; Páll, E.; Oprean, L.S.; Borodi, G. New Cu+2 complexes with N-sulfonamide ligands: Potential antitumor, antibacterial and antioxidant agents. Molecules 2022, 27, 3338. [Google Scholar] [CrossRef]
- Hangan, A.C.; Borodi, G.; Stan, R.L.; Páll, E.; Cenariu, M.; Oprean, L.S.; Sevastre, B. Synthesis, crystal structure, DNA cleavage and antitumor activity of two copper(II) complexes with N-sulfonamide ligand. Inorg. Chim. Acta 2018, 482, 884–893. [Google Scholar] [CrossRef]
- Kudelko, A.; Olesiejuk, M.; Luczynski, M.; Swiatkowski, M.; Sieranski, T.; Kruszynski, R. 1,3,4-thiadiazole containing azo dyes: Synthesis, spectroscopic properties and molecular structure. Molecules 2020, 25, 2822. [Google Scholar] [CrossRef]
- Keypour, H.; Shayesteh, M.; Salehzadeh, S.; Dhers, S.; Maleki, F.; Unver, H.; Dilek, N. Probing the effect of arm length and inter- and intramolecular interactions in the formation of Cu(II) complexes of Schiff base ligands derived from some unsymmetrical tripodal amines. New J. Chem. 2015, 39, 7429. [Google Scholar] [CrossRef]
- Yang, L.; Powell, D.R.; Houser, R.P. Structural variation in copper (I) complexes with pyridylmethylamide ligands: Structural analysis with a new four-coordinate geometry index, τ4. Dalton Trans. 2007, 9, 955–964. [Google Scholar] [CrossRef] [PubMed]
- Addison, A.W.; Rao, N.T.; Reedijk, J.; van Rijn, J.; Verschoor, G.C. Synthesis, structure and spectroscopic properties of copper(II) compounds containing nitrogen-sulphur donor ligands; the crystal and molecular structure of aqua [1,7-bis(N-methylbenzimidazol-2′-yl)-2,6-dithiaheptane]copper(II) perchlorate. J. Chem. Soc. Dalton Trans. 1984, 7, 1349–1356. [Google Scholar] [CrossRef]
- Fargher, H.A.; Sherbow, T.J.; Haley, M.M.; Johnson, D.W.; Pluth, M.D. C–H⋯S hydrogen bonding interactions. Chem. Soc. Rev. 2022, 51, 1454–1469. [Google Scholar] [CrossRef] [PubMed]
- Macías, B.; García, I.; Villa, M.V.; Borrás, J.; González-Alvarez, M.; Castiñeiras, A. Oxidative DNA damage of mixed copper(II) complexes with sulfonamides and 1,10-phenanthroline. Crystal structure of [Cu(N-quinolin-8-yl-p-toluenesulfonamidate)2(1,10-phenanthroline)]. J. Inorg. Biochem. 2003, 96, 367–374. [Google Scholar] [CrossRef] [PubMed]
- Hangan, A.; Borodi, G.; Filip, X.; Tripon, C.; Morari, C.; Oprean, L.; Filip, C. Structure of N-(5-ethyl-[1,3,4]-thiadiazole-2-yl) toluenesulfonamide by combined X-ray powder diffraction, 13C solide-state NMR and molecular modeling. Acta Cryst. Sect. B 2010, B66, 615–621. [Google Scholar] [CrossRef] [PubMed]
- McKinnon, J.J.; Jayatilaka, D.; Spackman, M.A. Towards quantitative analysis of intermolecular interactions with Hirshfeld surfaces. Chem. Commun. 2007, 37, 3814–3816. [Google Scholar] [CrossRef]
- Ekambaram, S.P.; Perumal, S.S.; Balakrishnan, A.; Marappan, N.; Gajendran, S.S.; Viswanathan, V. Antibacterial synergy between rosmarinic acid and antibiotics against methicillin-resistant Staphylococcus aureus. J. Intercult. Ethnopharmacol. 2016, 5, 358–363. [Google Scholar] [CrossRef]
- Sharma, B.; Shukla, S.; Rattan, R.; Fatima, M.; Goel, M.; Bhat, M.; Dutta, S.; Ranjan, R.K.; Sharma, M. Antimicrobial agents based on metal complexes: Present situation and future prospects. Int. J. Biomater. 2022, 2022, 6819080. [Google Scholar] [CrossRef]
- Chebout, O.; Trifa, C.; Bouacida, S.; Boudraa, M.; Imane, H.; Merzougui, M.; Mazouz, W.; Ouari, K.; Boudaren, C.; Merazig, H. Two New Copper (II) Complexes with Sulfanilamide as Ligand: Synthesis, Structural, Thermal Analysis, Electrochemical Studies and Antibacterial Activity. J. Mol. Struct. 2022, 1248, 131446. [Google Scholar] [CrossRef]
- Borthagaray, G.; Mondelli, M.; Torre, M.H. Essential transition metal ion complexation as a strategy to improve the antimicrobial activity of organic drugs. J. Infect. Dis. Epidemiol. 2016, 2, 014. [Google Scholar] [CrossRef]
- Nandanwar, S.K.; Kim, H.J. Anticancer and antibacterial activity of transition metal complexes. ChemistrySelect 2019, 4, 1706–1721. [Google Scholar] [CrossRef]
- Lemire, J.A.; Harrison, J.J.; Turner, R.J. Antimicrobial activity of metals: Mechanisms, molecular targets and applications. Nat. Rev. Microbiol. 2013, 11, 371–384. [Google Scholar] [CrossRef] [PubMed]
- Hossain, S.; Zakaria, C.; Zahan, K.E. Metal complexes as potential antimicrobial agent: A review. Am. J. Heterocycl. Chem. 2018, 4, 1–21. [Google Scholar] [CrossRef]
- Pervaiz, M.; Riaz, A.; Munir, A.; Saeed, Z.; Hussain, S.; Rashid, A.; Yunas, U.; Adnan, A. Synthesis and characterization of sulfonamide metal complexes as antimicrobial agents. J. Mol. Struct. 2020, 1202, 127284. [Google Scholar] [CrossRef]
- Nakahata, D.H.; de Paiva, R.E.F.; Lustri, W.R.; Corbi, P.P. Sulfonamide-containing copper(II) complexes: New insights on biophysical interactions and antibacterial activities. New J. Chem. 2020, 40, 17236–17244. [Google Scholar] [CrossRef]
- Wehbe, M.; Leung, A.W.Y.; Abrams, M.J.; Orvig, C.; Bally, M.B. A perspective-can copper complexes be developed as a novel class of therapeutics? Dalton Trans. 2017, 33, 10758–10773. [Google Scholar] [CrossRef] [PubMed]
- Canakci, D.; Koyuncu, I.; Lolak, N.; Durgun, M.; Akocak, S.; Supuran, C.T. Synthesis and cytotoxic activities of novel copper and silver complexes of 1,3-diartltriazene-substituted sulfonamides. J. Enzyme Inhib. Med. Chem. 2019, 34, 110–116. [Google Scholar] [CrossRef] [PubMed]
- Detmer, C.A.; Pamatong, F.V.; Bocarsly, J.R. Molecular recognition effects in metal complex mediated double-strand cleavage of DNA: reactivity and binding studies with model substrates. Inorg. Chem. 1997, 36, 3676–3682. [Google Scholar] [CrossRef]
- Climova, A.; Pivovarova, E.; Szczesio, M.; Gobis, K.; Ziembicka, D.; Korga-Plewko, A.; Kubik, J.; Iwan, M.; Antos-Bielska, M.; Krzyzowska, M.; et al. Anticancer and antimicrobial activity of new copper (II) complexes. J. Inorg. Biochem. 2023, 240, 112108. [Google Scholar] [CrossRef]
- Hangan, A.; Bodoki, A.; Oprean, L.; Crisan, O.; Mihalca, I. Synthesis of new N-substituted heterocyclic sulfonamides. Farmacia 2012, 6, 932–938. [Google Scholar]
- Muthaiah, S.; Bhatia, A.; Kannan, M. Stability of metal complexes. In Stability and Applications of Coordination Compounds; Srivastva, A.N., Ed.; IntechOpen: London, UK, 2020. [Google Scholar] [CrossRef]
- Doğan, A.; Köseoğlu, F.; Kiliç, E. The stability constants of copper(II) complexes with some α-Amino acids in dioxan-water mixtures. Anal. Biochem. 2001, 295, 237–239. [Google Scholar] [CrossRef] [PubMed]
- Rigaku Oxford Diffraction. CrysAlis PRO v42; Rigaku Oxford Diffraction: Oxfordshire, UK, 2015. [Google Scholar]
- Sheldrick, G.M. SHELXT—Integrated space-group and crystal-structure determination. Acta Cryst. 2015, 71, 3–8. [Google Scholar] [CrossRef] [PubMed]
- Sheldrick, G.M. A short history of SHELX. Acta Cryst. 2008, 64, 112–122. [Google Scholar] [CrossRef] [PubMed]
- Dolomanov, O.V.; Bourhis, L.J.; Gildea, R.J.; Howard, J.A.K.; Puschmann, H.J. OLEX2: A complete structure solution, refinement and analysis program. Appl. Cryst. 2009, 42, 339–341. [Google Scholar] [CrossRef]
- Spackman, M.A.; McKinnon, J.J. Fingerprinting intermolecular interactions in molecular crystals. Cryst. Eng. Comm. 2002, 4, 378–392. [Google Scholar] [CrossRef]
- Turner, M.J.; McKinnon, J.J.; Wolff, S.K.; Grimwood, D.J.; Spackman, P.R.; Jayatilaka, D.; Spackman, M.A. Crystal Explorer, version 17; University of Western Australia: Perth, Australia, 2017. [Google Scholar]
- Clinical and Laboratory Standards Institute (CLSI). Performance Standards for Antimicrobial Disk and Dilution Susceptibility Tests for Bacteria Isolated from Animals, 4th ed.; CLSI supplement VET08; Clinical and Laboratory Standards Institute: Wayne, PA, USA, 2018. [Google Scholar]
- Pall, E.; Roman, A.; Olah, D.; Beteg, F.I.; Cenariu, M.; Spînu, M. Enhanced bioactive potential of functionalized injectable platelet-rich plasma. Molecules 2023, 28, 1943. [Google Scholar] [CrossRef]









| Identification Code | Complex C1 | Complex C2 |
|---|---|---|
| Empirical formula | C46H54Cu4N14O14S8 | C50H39CuN8O5S4 |
| Formula weight | 1537.67 | 1023.67 |
| Temperature/K | 124.6(7) | 293(2) |
| Crystal system | Monoclinic | monoclinic |
| Space group | Pn | P21/n |
| a/Å | 12.1246(3) | 12.9775(2) |
| b/Å | 13.2981(3) | 21.8637(4) |
| c/Å | 19.7107(6) | 17.3981(3) |
| α/° | 90 | 90 |
| β/° | 104.492(3) | 95.059(2) |
| γ/° | 90 | 90 |
| Volume/Å3 | 3076.92(14) | 4917.24(15) |
| Z | 2 | 4 |
| ρcalcg/cm3 | 1.660 | 1.383 |
| μ/mm−1 | 1.707 | 2.666 |
| F(000) | 1568.0 | 2112.0 |
| Crystal size/mm3 | 5 × 4 × 2 | 8 × 5 × 3 |
| Radiation | MoKα (λ = 0.71073) | CuKα (λ = 1.54184) |
| 2Θ range for data collection/° | 5.678 to 58.088 | 6.508 to 141.346 |
| Index ranges | −16 ≤ h ≤ 16, −17 ≤ k ≤ 17, −26 ≤ l ≤ 25 | −15 ≤ h ≤ 9, −23 ≤ k ≤ 26, −20 ≤ l ≤ 21 |
| Reflections collected | 42,703 | 20,076 |
| Independent reflections | 14,361 [Rint = 0.0418, Rsigma = 0.0501] | 9276 [Rint = 0.0340, Rsigma = 0.0451] |
| Data/restraints/parameters | 14,361/2/783 | 9276/0/616 |
| Goodness-of-fit on F2 | 0.983 | 1.077 |
| Final R indexes [I ≥ 2σ (I)] | R1 = 0.0458, wR2 = 0.1261 | R1 = 0.0655, wR2 = 0.1966 |
| Final R indexes [all data] | R1 = 0.0534, wR2 = 0.1341 | R1 = 0.0866, wR2 = 0.2173 |
| Largest diff. peak/hole/e Å−3 | 0.87/−0.50 | 1.49/−0.42 |
| Flack parameter | 0.494(8) |
| Coordination Distances | d (Å) | Coordination Angles | (°) |
|---|---|---|---|
| Cu1-O9 (water) | 1.900 | N6-Cu1-O9 | 97.68 |
| Cu1-O10 (water) | 1.884 | O9-Cu1-N3 | 85.77 |
| Cu1-N3 (thiadiazole) | 2.010 | N3-Cu1-O10 | 97.68 |
| Cu1-N6 (thiadiazole) | 2.031 | N6-Cu1-O10 | 85.19 |
| N2A-N3A (thiadiazole) | 1.380 | O10-Cu2-N5 | 85.60 |
| Cu2-O14 (dimethylformamide) | 2.782 | N5-Cu2-O11 | 94.39 |
| Cu2-O10 (water) | 1.895 | O11-Cu2-N11 | 87.03 |
| Cu2-O11 (water) | 1.908 | N11-Cu2-O10 | 92.81 |
| Cu2-N5 (thiadiazole) | 2.062 | O14-Cu2-N5 | 94.39 |
| Cu2-N11 (thiadiazole) | 2.036 | O14-Cu2-O10 | 116.05 |
| Cu3-O14 (dimethylformamide) | 2.260 | O14-Cu2-N11 | 84.02 |
| Cu3-O10 (water) | 1.921 | O14-Cu2-O11 | 69.01 |
| Cu3-O11 (water) | 1.903 | N12-Cu3O12 | 97.09 |
| Cu3-N5 (thiadiazole) | 2.043 | O12-Cu3-N9 | 84.41 |
| Cu3-N11 (thiadiazole) | 2.058 | N9-Cu3-O11 | 95.91 |
| Cu4-O13 (dimethylformamide) | 2.397 | O11-Cu3-N12 | 85.17 |
| Cu4-O12 (water) | 1.897 | O14-Cu3-N12 | 95.45 |
| Cu4-N8 (thiadiazole) | 2.054 | O14-Cu3-O12 | 93.41 |
| O14-Cu3-N9 | 114.86 | ||
| O14-Cu3-O11 | 81.92 | ||
| O13-Cu4-O12 | 108.20 | ||
| O13-Cu4-N8 | 95.93 | ||
| N8-Cu4-O12 | 84.81 |
| Complex | D-H···A | D-H | H···A | D···A | <(D-H···A) |
|---|---|---|---|---|---|
| C1 | C21-H21···O1 | 0.929 | 2.615(2) | 3.474(1) | 153.9(2) |
| O22-H22···O8B | 0.930 | 2.406(2) | 3.284(3) | 157.5(4) | |
| C26-H26···O1 | 0.930 | 2.575(3) | 3.332(2) | 138.9(2) | |
| C25-H25···N5 | 0.930 | 2.551(2) | 3.443(1) | 160.9(1) | |
| C40-H40A···O2 | 0.960 | 2.620(2) | 3.450(1) | 144.9(2) | |
| C16-H16···O1 | 0.929 | 2.563(1) | 3.400(2) | 150.1(6) | |
| C15-H15···S8 | 0.929 | 2.920(1) | 3.742(1) | 148.2(1) | |
| C45-H45A···O5 | 0.960 | 2.597(2) | 3.536(2) | 165.8(6) | |
| C9-H9A···O5 | 0.970 | 2.716(4) | 3.430(2) | 130.7(9) | |
| C10-H10A···O4 | 0.960 | 2.684(2) | 3.604(3) | 160.8(8) | |
| C20-H20A···O8 | 0.960 | 2.703(2) | 3.574(2) | 151.2(6) | |
| C20-H20C···S6 | 0.960 | 2.885(3) | 3.652(1) | 137.6(2) | |
| C5-H5···O3 | 0.929 | 2.707(3) | 3.271(2) | 119.9(1) | |
| C4-H4···O3 | 0.931 | 2.662(1) | 3.259(2) | 122.5(2) | |
| C3-H3···O6 | 0.930 | 2.714(3) | 3.338(2) | 125.1(7) | |
| C1-H1···S8 | 0.930 | 2.968(3) | 3.877(3) | 166.1(1) | |
| C2 | C47-H47···O3 | 0.930 | 2.632(1) | 3.162(3) | 116.8(1) |
| C1-H1A···O1 | 0.961 | 2.683(2) | 3.535(2) | 147.1(1) | |
| C27-H27···C33 C-H···π | 0.930 | 2.877(3) | 3.799(1) | 171.4(5) | |
| C27-H27···C32 C-H···π | 0.930 | 2.815(2) | 3.616(2) | 145.1(2) | |
| C22-H22···S1 | 0.930 | 2.978(3) | 3.851(1) | 156.8(2) | |
| C16-H16···N1 | 0.930 | 2.670(2) | 3.504(2) | 149.5(1) |
| Complex | H···H | O···H/H···O | N···H/H···N | S···H/H···S | C···H/H···C | Cu···O | Cu···N | C···O/O···C | O···O | C···C | Others |
|---|---|---|---|---|---|---|---|---|---|---|---|
| C1 | 37.5% | 26.1% | 6.3% | 5.5% | 14.7% | 1.8% | 1% | 1.1% | 0.4% | 0.8% | 4.8 |
| C2 | 46.6% | 17.6% | 3.3% | 3.7% | 22.6% | - | - | 0.2% | 0.2% | 4.2% | 1.6 |
| Bacterial Strains | C1 MIC µM/L | C1 MBC µM/L | C1 MIC Index | C2 MIC µM/L | C2 MBC µM/L | C2 MIC Index | CuSO4 MIC µM/L | CuSO4 MBC µM/L | CuSO4 MIC Index | HL1 MIC µM/L | HL1 MBC µM/L | HL1 MIC Index | HL2 MIC µM/L | HL2 MBC µM/L | HL2 MIC Index |
|---|---|---|---|---|---|---|---|---|---|---|---|---|---|---|---|
| S.aureus MRSA | 2 | 2 | 1 | 2 | 12.5 | 6.25 | 25 | 12.5 | 0.5 | 25 | 12.5 | 0.5 | 12.5 | 25 | 2 |
| S.aureus MSSA | 2 | 25 | 12.5 | 2 | 12.5 | 6.25 | 12.5 | 12.5 | 1 | 12.5 | 12.5 | 1 | 12.5 | 25 | 2 |
| E.coli | 2 | 2 | 1 | 2 | 2 | 1 | 25 | 12.5 | 0.5 | 25 | 12.5 | 0.5 | 25 | 12.5 | 0.5 |
| E.faecium | n.a | n.a | n.a | 0.2 | 2 | 10 | n.a | n.a | n.a | n.a | n.a | n.a | 12.5 | 25 | 2 |
| P.aeruginosa | n.a | n.a | n.a | 0.2 | 0.2 | 1 | n.a | n.a | n.a | n.a | n.a | n.a | 25 | 12.5 | 0.5 |
| S.lentus | n.a | n.a | n.a | 2 | 2 | 1 | n.a | n.a | n.a | n.a | n.a | n.a | 25 | 12.5 | 0.5 |
Disclaimer/Publisher’s Note: The statements, opinions and data contained in all publications are solely those of the individual author(s) and contributor(s) and not of MDPI and/or the editor(s). MDPI and/or the editor(s) disclaim responsibility for any injury to people or property resulting from any ideas, methods, instructions or products referred to in the content. |
© 2023 by the authors. Licensee MDPI, Basel, Switzerland. This article is an open access article distributed under the terms and conditions of the Creative Commons Attribution (CC BY) license (https://creativecommons.org/licenses/by/4.0/).
Share and Cite
Hangan, A.C.; Lucaciu, R.L.; Turza, A.; Dican, L.; Sevastre, B.; Páll, E.; Oprean, L.S.; Borodi, G. New Copper Complexes with Antibacterial and Cytotoxic Activity. Int. J. Mol. Sci. 2023, 24, 13819. https://doi.org/10.3390/ijms241813819
Hangan AC, Lucaciu RL, Turza A, Dican L, Sevastre B, Páll E, Oprean LS, Borodi G. New Copper Complexes with Antibacterial and Cytotoxic Activity. International Journal of Molecular Sciences. 2023; 24(18):13819. https://doi.org/10.3390/ijms241813819
Chicago/Turabian StyleHangan, Adriana Corina, Roxana Liana Lucaciu, Alexandru Turza, Lucia Dican, Bogdan Sevastre, Emöke Páll, Luminița Simona Oprean, and Gheorghe Borodi. 2023. "New Copper Complexes with Antibacterial and Cytotoxic Activity" International Journal of Molecular Sciences 24, no. 18: 13819. https://doi.org/10.3390/ijms241813819
APA StyleHangan, A. C., Lucaciu, R. L., Turza, A., Dican, L., Sevastre, B., Páll, E., Oprean, L. S., & Borodi, G. (2023). New Copper Complexes with Antibacterial and Cytotoxic Activity. International Journal of Molecular Sciences, 24(18), 13819. https://doi.org/10.3390/ijms241813819

