New Functional Alkoxysilanes and Silatranes: Synthesis, Structure, Properties, and Possible Applications
Abstract
:1. Introduction
2. Results and Discussions
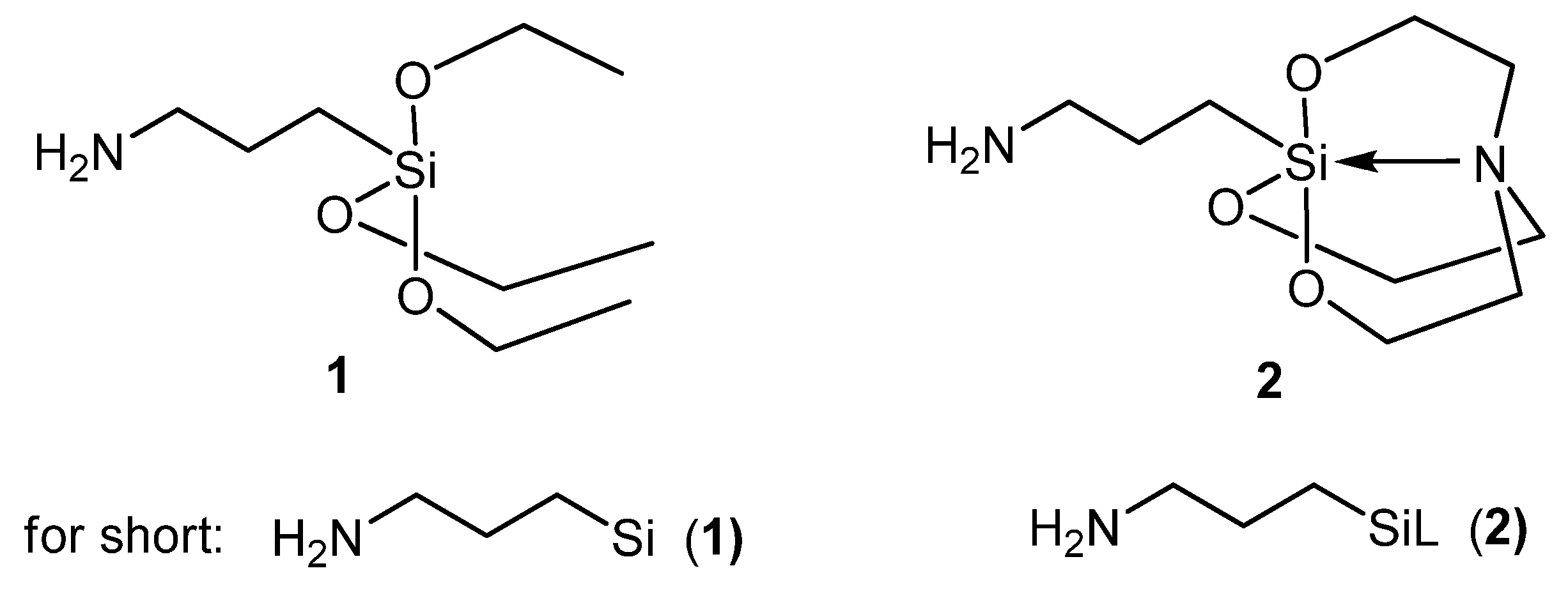
2.1. Synthesis
2.2. Spectroscopic and Spectrometric Studies
2.2.1. IR Spectroscopy
2.2.2. NMR Spectroscopy
2.2.3. Mass Spectrometry
2.2.4. X-ray Spectrometry
2.3. Functional Materials
2.3.1. Polyorganosiloxanes Sorption
2.3.2. Modification of Hydroxylated Surfaces’ (Zeolite, Silicagel, Glass) Sorption
3. Materials and Methods
3.1. Materials
3.2. Methods
3.3. Chemistry
3.3.1. 3-[(3-(Triethoxysilyl)propyl)]-amino)propanenitrile (3)
3.3.2. 3-[3-(2,8,9-Trioxa-5-aza-1-silabicyclo[3.3.3]undec-1-yl)-propyl]amino)propanenitrile (9)
4. Conclusions
Supplementary Materials
Author Contributions
Funding
Institutional Review Board Statement
Informed Consent Statement
Data Availability Statement
Acknowledgments
Conflicts of Interest
References
- Kuge, H.; Hagiwara, Y.; Shimojima, A.; Kuroda, K. Oligomeric Alkoxysilanes with Cagelike Hybrids as Cores: Designed Precursors of Nanohybrid Materials. Chem. Asian J. 2008, 3, 600–606. [Google Scholar] [CrossRef] [PubMed]
- Guo, Z.; Lei, A.; Liang, X.; Xu, Q. Click chemistry: A new facile and efficient strategy for preparation of functionalized HPLC packings. Chem. Commun. 2006, 43, 4512–4514. [Google Scholar] [CrossRef] [PubMed]
- He, W.; Zhang, F.; Shi, X.; Li, H. Ordered Mesoporous Proline Organocatalyst with High tivity and Strong Durability in Promoting Intermolecular Cross-Conjugated Additions. Eur. J. Org. Chem. 2012, 2012, 3753–3758. [Google Scholar] [CrossRef]
- Magalhães, S.; Alves, L.; Medronho, B.; Fonseca, A.C.; Romano, A.; Coelho, J.F.J.; Norgren, M. Brief Overview on Bio-Based Adhesives and Sealants. Polymers 2019, 11, 1685. [Google Scholar] [CrossRef] [PubMed]
- Vlasova, N.N.; Oborina, E.N.; Grigoryeva, O.Y.; Voronkov, M.G. Organosilicon ion-exchange and complexing adsorbents. Russ. Chem. Rev. 2013, 82, 449–464. [Google Scholar] [CrossRef]
- Vlasova, N.N.; Sorokin, M.S.; Oborina, E.N. Carbofunctional sulfur-containing organosilicon compounds. Appl. Organometal. Chem. 2017, 31, e3668. [Google Scholar] [CrossRef]
- Ulman, A. Formation and structure of self-assembled monolayers. Chem. Rev. 1996, 96, 1533–1554. [Google Scholar] [CrossRef]
- Adamovich, S.N.; Filatova, E.G.; Pozhidaev, Y.N.; Ushakov, I.A.; Chugunov, A.D.; Oborina, E.N.; Rozentsveig, I.B.; Verpoort, F. Natural zeolite modified with 4-(3-triethoxy-silylpropyl)thiosemicarbazide as an effective adsorbent for Cu(II), Co(II) and Ni(II). J. Taiwan Ins. Chem. Eng. 2021, 129, 396–409. [Google Scholar] [CrossRef]
- Zhu, M.; Lerum, M.Z.; Chen, W. How To Prepare Reproducible, Homogeneous, and Hydrolytically Stable Aminosilane-Derived Layers on Silica. Langmuir 2012, 28, 416–423. [Google Scholar] [CrossRef]
- Lee, T.-J.; Chau, L.-K.; Huang, C.-J. Controlled Silanization: High Molecular Regularity of Functional Thiol Groups on Siloxane Coatings. Langmuir 2020, 36, 5935–5943. [Google Scholar] [CrossRef]
- Voronkov, M.G.; Baryshok, V.P. Atranes As a New Generation of Biologically Active Substances. Her. Russ. Acad. Sci. 2010, 80, 514–521. [Google Scholar] [CrossRef]
- Singh, G.; Sharma, G.; Sanchita; Kalra, P.; Batish, D.R.; Verma, V. Role of alkyl silatranes as plant growth regulators: Comparative substitution effect on root and shoot development of wheat and maize. J. Sci. Food Agric. 2018, 98, 5129–5133. [Google Scholar] [CrossRef] [PubMed]
- Istratov, V.V.; Vasnev, V.A.; Markova, G.D. Biodegradable and Biocompatible Silatrane Polymers. Molecules 2021, 26, 1893. [Google Scholar] [CrossRef]
- Bargan, A.; Zaltariov, M.-F.; Vlad, A.; Dumitriu, A.M.C.; Soroceanu, A.; Macsim, A.-M.; Dascalu, M.; Varganici, C.D.; Cazacu, M.; Shova, S. Keto-enol tautomerism in new silatranes Schiff bases tailed with different substituted salicylic aldehyde. Arabian. J. Chem. 2020, 13, 3100–3111. [Google Scholar] [CrossRef]
- Adamovich, S.N.; Kondrashov, E.V.; Ushakov, I.A.; Shatokhina, N.S.; Oborina, E.N.; Vashchenko, A.V.; Belovezhets, L.A.; Rozentsveig, I.B.; Verpoort, F. Isoxazole derivatives of silatrane: Synthesis, characterization, in silico ADME profile, prediction of potential pharmacological activity and evaluation of antimicrobial action. Appl. Organomet. Chem. 2020, 34, e5976. [Google Scholar] [CrossRef]
- Adamovich, S.N.; Sadykov, E.K.; Ushakov, I.A.; Oborina, E.N.; Belovezhets, L.A. Antibacterial activity of new silatrane pyrrole-2-carboxamide hybrids. Mendeleev Commun. 2021, 31, 204–206. [Google Scholar] [CrossRef]
- Han, A.; Li, L.; Qing, K.; Qi, X.; Hou, L.; Luo, X.; Shi, S.; Ye, F. Synthesis and biological evaluation of nucleoside analogues than contain silatrane on the basis of the structure of acyclovir (ACV) as novel inhibitors of hepatitis B virus (HBV). Bioorg. Med. Chem. Lett. 2013, 23, 1310–1314. [Google Scholar] [CrossRef]
- Singh, G.; Arora, A.; Kalra, P.; Maurya, I.K.; Ruizc, C.E.; Estebanc, M.A.; Sinha, S.; Goyal, K.; Sehgal, R. A strategic approach to the synthesis of ferrocene appended chalcone linked triazole allied organosilatranes: Antibacterial, antifungal, antiparasitic and antioxidant studies. Bioorg. Med. Chem. 2019, 27, 188–195. [Google Scholar] [CrossRef]
- Guo, P.; Wu, W.-Y.; Luo, X.-T.; Qi, X.-L.; Hou, L.-P.; Xie, Z.X.; Ye, F.-Q. Synthesis, Antitumor Activity, and SAR of N-Substituted γ-Aminopropylsilatrane Derivatives. Phosphorus Sulfur Silicon Relat. Elem. 2014, 189, 511–518. [Google Scholar] [CrossRef]
- Zaltariov, M.-F.; Turtoi, M.; Peptanariu, D.; Macsim, A.-M.; Clima, L.; Cojocaru, C.; Vornicu, N.; Ciubotaru, B.-I.; Bargan, A.; Calin, M.; et al. Chemical Attachment of 5-Nitrosalicylaldimine Motif to Silatrane Resulting in an Organic—Inorganic Structure with High Medicinal Significance. Pharmaceutics 2022, 14, 2838. [Google Scholar] [CrossRef]
- Singh, G.; Shilpy; Singh, A.; Singh, S.; Sushma; Mohit; Thakur, Y.; Singh, K.N.; Soni, S. Design, Synthesis, Drug-Likeness and In Silico Prediction of Polycyclic Aromatic Schiff base Tethered Organosilatranes. Silicon 2023, 15, 867–873. [Google Scholar] [CrossRef]
- Beletskaya, I.P.; Najera, C.; Yus, M. Catalysis and regioselectivity in hydrofunctionalization reactions of unsaturated carbon bonds. Part II. Hydroamination. Russ. Chem. Rev. 2020, 89, 1074–1114. [Google Scholar] [CrossRef]
- Rulev, A.Y. Weak Nucleophiles in the Aza-Michael Reaction. Adv. Synth. Catal. 2023, 365, 1908–1925. [Google Scholar] [CrossRef]
- Rulev, A.Y. Aza-Michael Reaction: A Decade Later—Is the Research Over? Eur. J. Org. Chem. 2023, 26, e2023004. [Google Scholar] [CrossRef]
- Corsaro, C.; Neri, G.; Santoro, A.; Fazio, E. Acrylate and methacrylate polymers’ applications: Second life with inexpensive and sustainable recycling approaches. Materials 2022, 15, 282. [Google Scholar] [CrossRef] [PubMed]
- Maçon, A.L.B.; Page, S.J.; Chung, J.J.; Amdursky, N.; Stevens, M.M.; Weaver, J.V.; Hanna, J.V.; Jones, J.R. A structural and physical study of sol–gel methacrylate–silica hybrids: Intermolecular spacing dictates the mechanical properties. Phys. Chem. Chem. Phys. 2015, 17, 29124–29133. [Google Scholar] [CrossRef] [PubMed]
- Chiang, C.-T.; Vu, V.T.; Cheng, Y.-T.; Huang, C.-J. Methacrylate Silatrane: New Building Block for Development of Functional Polymeric Coatings through Controlled Silanization. ACS Appl. Mater. Interfaces 2023, 15, 28524–28535. [Google Scholar] [CrossRef] [PubMed]
- Genest, A.; Portinha, D.; Fleury, E.; Ganachaud, F. The aza-Michael reaction as an alternative strategy to generate advanced silicon-based (macro)molecules and materials. Prog. Polym. Sci. 2017, 72, 61–110. [Google Scholar] [CrossRef]
- Feng, L.; Zhu, S.; Zhang, W.; Mei, K.; Wang, H.; Feng, S. Preparation and Characterization of Functional Alkoxysilanes via Catalyst-Free Aza-Michael Reaction. ChemistrySelect 2017, 2, 3721–3724. [Google Scholar] [CrossRef]
- Singh, G.; Saroa, A.; Tewari, R.; Kaur, P. Aza-Michael Addition of γ-Aminopropylsilatranes to Substituted N-Phenylmaleimides: Design and Synthesis of a Heterocyclic Amine Receptor and Their Preliminary Antimicrobial Studies. Silicon 2017, 9, 495–501. [Google Scholar] [CrossRef]
- Voronkov, M.G.; Trofimova, O.M.; Bolgova, Y.I.; Chernov, N.F. Hypervalent silicon-containing organosilicon derivatives of nitrogen heterocycles. Russ. Chem. Rev. 2007, 76, 825–845. [Google Scholar] [CrossRef]
- Tandura, S.N.; Belyaeva, V.V.; Gostevskii, B.A.; Albanov, A.I. Influence of the polarization effect on the donor properties of 1-phenylsilatrane. Russ. Chem. Bull. 2017, 66, 2269–2275. [Google Scholar] [CrossRef]
- Ahmed, A.; Issa, A.A.; Luyt, A.S. Kinetics of Alkoxysilanes and Organoalkoxysilanes Polymerization: A Review. Polymers 2019, 11, 537. [Google Scholar] [CrossRef]
- Syrlybaeva, R.; Movsum-zade, N.; Safiullina, I.; Puzin, Y.; Movsum-zade, E. Polymer-metal complexes of polyacrylonitrile and its copolymers: Synthesis and theoretical study. J. Polym. Res. 2015, 22, 100. [Google Scholar] [CrossRef]
- Dzhardimalieva, G.I.; Pomogailo, A.D. Macromolecular metal carboxylates. Russ. Chem. Rev. 2008, 77, 259–301. [Google Scholar] [CrossRef]
- Kee, J.; Ahn, H.; Park, H.; Seo, Y.-S.; Yeo, Y.H.; Park, W.H.; Koo, J. Stretchable and Self- Healable Poly(styrene-co-acrylonitrile) Elastomer with Metal–Ligand Coordination Complexes. Langmuir 2021, 37, 13998–14005. [Google Scholar] [CrossRef]
- Tu, Z.; Lu, S.; Chang, X.; Li, Z.; Hu, Z.; Zhang, L.; Tian, H. Selective solid-phase extraction and separation of trace gold, palladium and platinum using activated carbon modified with ethyl-3-(2-aminoethylamino)-2-chlorobut-2-enoate. Microchim. Acta 2011, 173, 231–239. [Google Scholar] [CrossRef]
- Malhis, A.A.; Arar, S.H.; Fayyad, M.K.; Hodali, H.A. Amino- and thiol-modified microporous silicalite-1 and mesoporous MCM-48 materials as potential effective adsorbents for Pb(II) in polluted aquatic systems. Adsorpt. Sci. Technol. 2018, 3, 270–286. [Google Scholar] [CrossRef]
- Kim, W.; Casalme, L.O.; Umezawa, T.; Matsuda, F.; Otomo, R.; Kamiya, Y. A Reliable Method to Create Adjacent Acid-Base Pair Sites on Silica through Hydrolysis of Preanchored Amide. Chem. Lett. 2020, 49, 71–74. [Google Scholar] [CrossRef]
- Chen, W.-H.; Tseng, Y.-T.; Hsieh, S.; Liu, W.-C.; Hsieh, C.-W.; Wu, C.-W.; Huang, C.-H.; Lin, H.-Y.; Chen, C.-W.; Linb, P.-Y.; et al. Silanization of solid surfaces via mercaptopropylsilatrane: A new approach of constructing gold colloid monolayers. RSC Adv. 2014, 4, 46527–46535. [Google Scholar] [CrossRef]
- Sheldrick, G.M. Crystal structure refinement with SHELXL. Acta Cryst. Sect. C Struct. Chem. 2015, 71, 3–8. [Google Scholar] [CrossRef] [PubMed]
- Sheldrick, G.M. A short history of SHELX. Acta Cryst. 2008, 64, 112–122. [Google Scholar] [CrossRef] [PubMed]
- Oborina, E.N.; Adamovich, S.N. Improving the Selectivity of the Metalchromic Effect of Silicon Organic Derivatives of Dithizone. Prot. Met. Phys. Chem. Surf. 2020, 56, 917–922. [Google Scholar] [CrossRef]
- Adamovich, S.N.; Ushakov, I.A.; Oborina, E.N.; Lukyanova, S.V.; Komarov, V.Y. New 3-Aminopropylsilatrane Derivatives: Synthesis, Structure, Properties, and Biological Activity. Int. J. Mol. Sci. 2023, 24, 9965. [Google Scholar] [CrossRef]















| Mass Silane 4 in Solution, % | Mass Z4, g | Mass Gain, g | Mass 4 in Z4, % |
|---|---|---|---|
| 0.5 | 10.31 | 0.31 | 3.0 |
| 1.0 | 10.50 | 0.50 | 4.8 |
| 1.8 | 10.93 | 0.93 | 8.5 |
| 3.5 | 11.74 | 1.74 | 14.8 |
| 4.5 | 11.99 | 1.99 | 16.6 |
| 5.8 | 12.08 | 2.08 | 17.2 |
Disclaimer/Publisher’s Note: The statements, opinions and data contained in all publications are solely those of the individual author(s) and contributor(s) and not of MDPI and/or the editor(s). MDPI and/or the editor(s) disclaim responsibility for any injury to people or property resulting from any ideas, methods, instructions or products referred to in the content. |
© 2023 by the authors. Licensee MDPI, Basel, Switzerland. This article is an open access article distributed under the terms and conditions of the Creative Commons Attribution (CC BY) license (https://creativecommons.org/licenses/by/4.0/).
Share and Cite
Adamovich, S.N.; Nalibayeva, A.M.; Abdikalykov, Y.N.; Ushakov, I.A.; Oborina, E.N.; Rozentsveig, I.B. New Functional Alkoxysilanes and Silatranes: Synthesis, Structure, Properties, and Possible Applications. Int. J. Mol. Sci. 2023, 24, 13818. https://doi.org/10.3390/ijms241813818
Adamovich SN, Nalibayeva AM, Abdikalykov YN, Ushakov IA, Oborina EN, Rozentsveig IB. New Functional Alkoxysilanes and Silatranes: Synthesis, Structure, Properties, and Possible Applications. International Journal of Molecular Sciences. 2023; 24(18):13818. https://doi.org/10.3390/ijms241813818
Chicago/Turabian StyleAdamovich, Sergey N., Arailym M. Nalibayeva, Yerlan N. Abdikalykov, Igor A. Ushakov, Elizaveta N. Oborina, and Igor B. Rozentsveig. 2023. "New Functional Alkoxysilanes and Silatranes: Synthesis, Structure, Properties, and Possible Applications" International Journal of Molecular Sciences 24, no. 18: 13818. https://doi.org/10.3390/ijms241813818
APA StyleAdamovich, S. N., Nalibayeva, A. M., Abdikalykov, Y. N., Ushakov, I. A., Oborina, E. N., & Rozentsveig, I. B. (2023). New Functional Alkoxysilanes and Silatranes: Synthesis, Structure, Properties, and Possible Applications. International Journal of Molecular Sciences, 24(18), 13818. https://doi.org/10.3390/ijms241813818
