In2O3: An Oxide Semiconductor for Thin-Film Transistors, a Short Review
Abstract
1. Introduction
2. In2O3: General Properties


3. Introduction to TFTs
4. Introduction to Vacuum and Non-Vacuum Processes
4.1. Vacuum Process
4.2. Solution Process
4.3. Liquid Metal Printing
5. Material Optimization
5.1. Various Dopings
5.2. ITO
5.3. IGO
6. Device Optimization
6.1. Process Effects
6.2. Plasma Treatments
6.3. Source and Drain
6.4. Homojunctions
6.5. Dual Gate Structure
6.6. Interaction with Organic Materials
6.7. Passivation
7. Applications
7.1. One-Dimensional and Zero-Dimensional Use of In2O3 in TFTs
7.2. Sensors
7.3. Neuromorphic Applications
7.4. 2DEG
7.5. Three-Dimensional Integration
8. Conclusions
Funding
Institutional Review Board Statement
Informed Consent Statement
Data Availability Statement
Conflicts of Interest
References
- Nomura, K.; Ohta, H.; Takagi, A.; Kamiya, T.; Hirano, M.; Hosono, H. Room-temperature fabrication of transparent flexible thin-film transistors using amorphous oxide semiconductors. Nature 2004, 432, 488–492. [Google Scholar] [CrossRef] [PubMed]
- Yim, K.; Youn, Y.; Lee, M.; Yoo, D.; Lee, J.; Cho, S.; Han, S. Computational discovery of p-type transparent oxide semiconductors using hydrogen descriptor. npj Comput. Mater. 2018, 4, 17. [Google Scholar] [CrossRef]
- Robertson, J.; Zhang, Z. Doping limits in p-type oxide semiconductors. MRS Bull. 2021, 46, 1037–1043. [Google Scholar] [CrossRef]
- Lee, S.; Ghaffaezadeh, K.; Nathan, A.; Robertson, J.; Jeon, S.; Kim, C.; Song, I.; Chung, U. Trap-limited and percolation conduction mechanisms in amorphous oxide semiconductor thin film transistors. Appl. Phys. Lett. 2011, 98, 203508. [Google Scholar] [CrossRef]
- Fortunato, E.; Barquinha, P.; Martins, R. Oxide Semiconductor Thin-Film Transistors: A Review of Recent advances. Adv. Mater. 2012, 24, 2945–2986. [Google Scholar] [CrossRef]
- Chung, U.; Choi, S.; Noh, S. 15-1: Invited paper: Manufacturing Technology of LTPO TFT. SID Symp. Dig. Tech. Pap. 2020, 51, 192–195. [Google Scholar] [CrossRef]
- Cho, Y.; Kwon, Y.; Seong, N.; Choi, K.; Lee, M.; Kim, G.; Yoon, S. Device-level XPS analysis for physical and electrical characterization of oxide-channel thin-film transistors. J. Appl. Phys. 2024, 136, 075702. [Google Scholar] [CrossRef]
- Marezio, M. Refinement of the crystal structure of In2O3 at two wavelengths. Acta Crystallogr. 1966, 20, 723. [Google Scholar] [CrossRef]
- Walsh, A.; Silva, J.; Wei, S.; Korber, C.; Klein, A.; Piper, L.; Masi, A.; Smith, K.; Panaccione, G.; Torelli, P.; et al. Nature of the Band Gap of In2O3 Revealed by First-Principles Calculations and X-Ray Spectroscopy. Phys. Rev. Lett. 2008, 100, 167402. [Google Scholar] [CrossRef] [PubMed]
- King, P.; Veal, T.; Fuchs, F.; Wang, C.; Payne, D.; Bourlange, A.; Zhang, H.; Bell, G.; Cimalla, V.; Ambacher, O.; et al. Band gap, electronic structure, and surface electron accumulation of cubic and rhombohedral In2O3. Phys. Rev. B 2009, 79, 205211. [Google Scholar] [CrossRef]
- Kamiya, T.; Nomura, K.; Hosono, H. Present status of amorphous In–Ga–Zn–O thin-film transistors. Sci. Technol. Adv. Mater. 2010, 11, 044305. [Google Scholar] [CrossRef] [PubMed]
- Chatratin, I.; Sabino, F.; Reunchan, P.; Limpijumnong, S.; Varley, J.; Van de Walle, C.; Janotti, A. Role of point defects in the electrical and optical properties of In2O3. Phys. Rev. Mater. 2019, 3, 074604. [Google Scholar] [CrossRef]
- Agoston, P.; Albe, K.; Nieminen, R.; Puska, M. Intrinsic n-Type Behavior in Transparent Conducting Oxides: A Comparative Hybrid-Functional Study of In2O3, SnO2, and ZnO. Phys. Rev. Lett. 2009, 103, 245501. [Google Scholar] [CrossRef]
- Korhonen, E.; Tuomisto, F.; Bierwagen, O.; Speck, J.; Galazka, Z. Compensating vacancy defects in Sn- and Mg-doped In2O3. Phys. Rev. B 2014, 90, 245307. [Google Scholar] [CrossRef]
- Zhang, K.; Egdell, R.; Offi, F.; Iacobucci, S.; Petaccia, L.; Gorovikov, S.; King, P. Microscopic Origin of Electron Accumulation in In2O3. Phys. Rev. Lett. 2013, 110, 056803. [Google Scholar] [CrossRef]
- Lany, S.; Zakutayev, A.; Mason, T.O.; Wager, J.; Poeppelmeier, K.; Perkins, J.; Berry, J.; Ginley, D.; Zunger, A. Surface Origin of High Conductivities in Undoped In2O3 Thin Films. Phys. Rev. Lett. 2012, 108, 016802. [Google Scholar] [CrossRef]
- King, P.; Veal, T.; Payne, D.; Bourlange, A.; Egdell, R.; McConville, C. Surface Electron Accumulation and the Charge Neutrality Level in In2O3. Phys. Rev. Lett. 2008, 101, 116808. [Google Scholar] [CrossRef]
- Körber, C.; Krishnakumar, V.; Klein, A.; Torelli, P.; Walsh, A.; Da Silva, J.; Wei, S.; Egdell, R.; Payne, S. Electronic structure of In2O3 and Sn-doped In2O3 by hard x-ray photoemission spectroscopy. Phys. Rev. B 2010, 81, 165207. [Google Scholar] [CrossRef]
- Brudnyi, V.; Kosobutsky, A.; Sarkisov, Y. Charge Neutrality Level and Electronic Properties of GaSe under Pressure. Semiconductors 2010, 44, 1158–1166. [Google Scholar] [CrossRef]
- Brudnyia, V.; Grinyaeva, S.; Kolin, N. A model for Fermi-level pinning in semiconductors: Radiation defects, interface boundaries. Phys. B Condens. Matter 2004, 348, 213–225. [Google Scholar] [CrossRef]
- Brudnyi, V.; Kosobutskyb, A.; Kolin, N. The Level of Local Charge Neutrality and Pinning of the Fermi Level in Irradiated Nitrides wz IIIN (BN, AlN, GaN, InN). Semiconductors 2009, 43, 1271–1279. [Google Scholar] [CrossRef]
- Robertson, J.; Falabretti, B. Band offsets of high K gate oxides on III-V semiconductors. J. Appl. Phys. 2006, 100, 014111. [Google Scholar] [CrossRef]
- Hosono, H.; Paine, D. Handbook of Transparent Conductors; Springer: New York, NY, USA, 2010; pp. 38–40. [Google Scholar]
- Varley, J.; Weber, J.; Janotti, A.; Van de Walle, C. Dangling bonds, the charge neutrality level, and band alignment in semiconductors. J. Appl. Phys. 2024, 135, 075703. [Google Scholar] [CrossRef]
- Schleife, A.; Fuchs, F.; Rödl, C.; Furthmüller, J.; Bechstedt, F. Branch-point energies and band discontinuities of III-nitrides and III-/II-oxides from quasiparticle band-structure calculations. Appl. Phys. Lett. 2009, 94, 012104. [Google Scholar] [CrossRef]
- Zhang, Z.; Hu, Y.; Lin, Z.; Si, M.; Cho, K.; Ye, P. Atomically Thin Indium-Tin-Oxide Transistors Enabled by Atomic Layer Deposition. IEEE Trans. Elec. Dev. 2022, 69, 231–236. [Google Scholar] [CrossRef]
- Klein, A.; Frebel, A.; Creutz, K.; Huang, B. Origin and quantification of the ultimate carrier concentration limits in In2O3 and Sn-doped In2O3. Phys. Rev. Mater. 2024, 8, 044601. [Google Scholar] [CrossRef]
- Emmerich, A.; Creutz, K.; Cheng, Y.; Jaud, J.; Hubmann, A.; Klein, A. Unravelling the doping mechanism and origin of carrier limitation in Ti-doped In2O3 films. J. Appl. Phys. 2024, 135, 015101. [Google Scholar] [CrossRef]
- Preissler, N.; Bierwagen, O.; James, A.; Speck, S. Electrical transport, electrothermal transport, and effective electron mass in single-crystalline In2O3 films. Phys. Rev. B 2013, 88, 085305. [Google Scholar] [CrossRef]
- Feneberg, M.; Nixdorf, J.; Lidig, C.; Goldhah, R.; Galazka, Z.; Bierwagen, O.; Speck, J. Many-electron effects on the dielectric function of cubic In2O3: Effective electron mass, band nonparabolicity, band gap renormalization, and Burstein-Moss shift. Phys. Rev. B 2016, 93, 045203. [Google Scholar] [CrossRef]
- Pisarkiewicz, T.; Zakrzewska, K.; Leja, E. Scattering of charge carriers in transparent and conducting thin oxide films with a non-parabolic conduction band. Thin Solid Film. 1989, 174, 217–223. [Google Scholar] [CrossRef]
- Egbo, K.; Adesina, A.; Ezeh, C.; Liu, C.; Man, L. Effects of free carriers on the optical properties of high mobility transition metal doped In2O3 transparent conductors. Phys. Rev. Mater. 2021, 5, 094603. [Google Scholar] [CrossRef]
- Kuo, Y. Thin Film Transistors: Materials and Processes; Springer: New York, NY, USA, 2004. [Google Scholar]
- Koida, T.; Nomoto, J. Effective mass of high-mobility In2O3-based transparent conductive oxides fabricated by solid-phase crystallization. Phys. Rev. Mater. 2022, 6, 055401. [Google Scholar] [CrossRef]
- Koida, T.; Fujiwara, H.; Kondo, M. Hydrogen-doped In2O3 as High-mobility Transparent Conductive Oxide. Jpn. J. Appl. Phys. 2007, 46, L685. [Google Scholar] [CrossRef]
- Nomoto, J.; Koida, T.; Yamaguchi, I.; Nakajima, T. Key Sputtering Parameters for Precursor In2O3Films to Achieve High Carrier Mobility. ACS Appl. Mater. Interf. 2024, 16, 64113−64122. [Google Scholar] [CrossRef] [PubMed]
- Nomoto, J.; Koida, T.; Yamaguchi, I.; Makino, H.; Kitanaka, Y.; Nakajima, T.; Tsuchiya, T. Over 130 cm2/Vs Hall mobility of flexible transparent conductive In2O3films by excimer-laser solid-phase crystallization. NPG Asia Mater. 2022, 14, 76. [Google Scholar] [CrossRef]
- Wang, X.; Magari, Y.; Furuta, M. Nucleation and grain growth in low-temperature rapid solid-phase crystallization of hydrogen-doped indium oxide. Jpn. J. Appl. Phys. 2024, 63, 03SP38. [Google Scholar] [CrossRef]
- Yu, X.; Marks, T.; Facchetti, A. Metal oxides for optoelectronic applications. Nat. Mater. 2016, 15, 383–396. [Google Scholar] [CrossRef]
- Kim, T.; Choi, C.; Hur, J.; Ha, D.; Kuh, B.; Kim, Y.; Cho, M.; Kim, S.; Jeong, J. Progress, Challenges, and Opportunities in Oxide Semiconductor Devices: A Key Building Block for Applications Ranging from Display Backplanes to 3D Integrated Semiconductor Chips. Adv. Mater. 2023, 35, 2204663. [Google Scholar] [CrossRef]
- Geng, D.; Wang, K.; Li, L.; Myny, K.; Nathan, A.; Jang, J.; Kuo, Y.; Liu, M. Thin-film transistors for large-area electronics. Nat. Electron. 2023, 6, 963–972. [Google Scholar] [CrossRef]
- Kuo, Y.; Hosono, H.; Shur, M.; Jang, J. Oxide Thin Film Transistors; Wiley: Hoboken, NJ, USA, 2024. [Google Scholar]
- Conley, J. Instabilities in Amorphous Oxide Semiconductor Thin-Film Transistors. IEEE Trans. Dev. Mater. Reliab. 2010, 10, 460–475. [Google Scholar] [CrossRef]
- Avis, C.; Billah, M.; Jang, J. Light Effect on Amorphous Tin Oxide Thin-Film Transistors. Adv. Photon. Res. 2024, 5, 2300215. [Google Scholar] [CrossRef]
- Tak, Y.; Ahn, B.; Park, S.; Kim, S.; Song, A.; Chung, K.; Kim, H. Activation of sputter-processed indium–gallium–zinc oxide films by simultaneous ultraviolet and thermal treatments. Sci. Rep. 2016, 6, 21869. [Google Scholar] [CrossRef]
- Lee, S.; Kim, D.; Chong, E.; Jeon, Y.; Kim, D. Effect of channel thickness on density of states in amorphous InGaZnO thin film transistor. Appl. Phys. Lett. 2011, 98, 122105. [Google Scholar] [CrossRef]
- Sano, M.; Abe, K.; Aiba, T.; Den, T.; Kumomi, H.; Nomura, K.; Kamiya, T.; Hosono, H. High-mobility thin-film transistor with amorphous InGaZnO4 channel fabricated by room temperature rf-magnetron sputtering Yabuta. Appl. Phys. Lett. 2006, 89, 112123. [Google Scholar] [CrossRef]
- Si, M.; Hu, Y.; Lin, Z.; Sun, X.; Charnas, A.; Zheng, D.; Lyu, X.; Wang, H.; Cho, K.; Ye, P. Why In2O3 Can Make 0.7 nm Atomic Layer Thin Transistors. Nano Lett. 2021, 21, 500−506. [Google Scholar] [CrossRef] [PubMed]
- Moffitt, S.; Stallings, K.; Falduto, A.; Lee, W.; Buchholz, D.; Wang, B.; Ma, Q.; Chang, R.; Marks, T.; Bedzyk, M. Processing, Structure, and Transistor Performance: Combustion versus Pulsed Laser Growth of Amorphous Oxide. ACS Appl. Electron. Mater. 2019, 1, 548−557. [Google Scholar] [CrossRef]
- Guo, M.; Wu, J.; Ou, H.; Xie, D.; Zhu, Q.; Huang, Y.; Wang, M.; Liang, L.; Liang, X.; Liu, F.; et al. Comparative Study of Indium Oxide Films for High-Mobility TFTs: ALD, PLD and Solution Process. Adv. Electron. Mater. 2025, 11, 2400145. [Google Scholar] [CrossRef]
- Charnas, A.; Zhang, Z.; Lin, Z.; Zheng, D.; Zhang, J.; Si, M.; Ye, P. Review—Extremely Thin Amorphous Indium Oxide Transistors. Adv. Mater. 2024, 36, 2304044. [Google Scholar] [CrossRef]
- Lee, H.; Hur, J.; Cho, I.; Choi, C.; Yoon, S.; Kwon, Y.; Shong, B.; Jeong, J. Comparative Study on Indium Precursors for Plasma-Enhanced Atomic Layer Deposition of In2O3 and Application to High Performance Field-Effect Transistors. ACS Appl. Mater. Interfaces 2023, 15, 51399−51410. [Google Scholar] [CrossRef]
- Yeom, H.; Ko, J.; Mun, G.; Park, S. High mobility polycrystalline indium oxide thin-film transistors by means of plasma-enhanced atomic layer deposition. J. Mater. Chem. C 2016, 4, 6873. [Google Scholar] [CrossRef]
- Lee, J.; Kang, S.; Yeon, C.; Yang, J.; Jung, J.; Tan, K.; Kim, K.; Yi, Y.; Park, S.; Hwang, C.; et al. Wide process temperature of atomic layer deposition for In2O3 thin-film transistors using novel indium precursor (N,N′-di-tert butylacetimidamido)dimethyllindium. Nanotechnology 2024, 35, 375701. [Google Scholar] [CrossRef]
- Yoo, K.; Lee, C.; Kim, D.; Choi, S.; Lee, W.; Park, C.; Park, J. High mobility and productivity of flexible In2O3 thin-film transistors on polyimide substrates via atmospheric pressure spatial atomic layer deposition. Appl. Surf. Sci. 2024, 646, 158950. [Google Scholar] [CrossRef]
- Choi, S.; Ryu, S.; Kim, D.; Kwag, J.; Yeon, C.; Jung, J.; Park, Y.; Park, J. c-Axis Aligned 3 nm Thick In2O3 Crystal Using New Liquid DBADMIn Precursor for Highly Scaled FET Beyond the Mobility−Stability Trade-off. Nano Lett. 2024, 24, 1324−1331. [Google Scholar] [CrossRef]
- Kim, T.; Ryu, S.; Jeon, J.; Kim, T.; Baek, I.; Kim, S. Ultrahigh field-effect mobility of 147.5cm2/Vs in ultrathin In2O3 transistors via passivating the surface of polycrystalline HfO2 gate dielectrics. Appl. Phys. Lett. 2025, 126, 033501. [Google Scholar] [CrossRef]
- Chen, Z.; Huang, H.; He, H.; Sun, S.; Ye, B.; Luo, D.; Liu, X.; Zou, X.; Zou, B. Interface Engineering for Hysteresis-Free, High-Performance, and Stable a-IGO Thin-Film Transistors. IEEE Trans. Elec. Dev. 2025, 72, 2360–2364. [Google Scholar] [CrossRef]
- Oh, C.; Yoon, S. Crystallographic orientation engineering of In2O3 channel via thickness modulation for high-mobility top-gate thin-film transistors. J. Alloys Comp. 2025, 1036, 182175. [Google Scholar] [CrossRef]
- Chen, Z.; Fu, Z.; Jin, T.; Jing, L.; Ren, J.; Chen, H.; Liang, L.; Cao, H. High-crystallinity and enhanced mobility in In2O3 thin-film transistors via metal-induced method. Appl. Phys. Lett. 2025, 126, 033504. [Google Scholar] [CrossRef]
- Nguyen, Q.; Pham, G.; Chu, T.; Tran, D.; Yu, S.; Cho, S.; Sung, M. Phase-Composite InOx Semiconductors for High-Performance Flexible Thin-Film Transistors. ACS Appl. Mater. Interfaces 2025, 17, 22912−22920. [Google Scholar] [CrossRef] [PubMed]
- Lin, Z.; Si, M.; Askarpour, V.; Niu, C.; Charnas, A.; Shang, Z.; Zhang, Y.; Hu, Y.; Zhang, Z.; Liao, P.; et al. Nanometer-Thick Oxide Semiconductor Transistor with Ultra-High Drain Current. ACS Nano 2022, 16, 21536−21545. [Google Scholar] [CrossRef]
- Si, M.; Lin, Z.; Chen, Z.; Sun, X.; Wang, H.; Ye, P. Scaled indium oxide transistors fabricated using atomic layer deposition. Nat. Electron. 2022, 5, 164–170. [Google Scholar] [CrossRef]
- Charnas, A.; Si, M.; Lin, Z.; Ye, P. Improved Stability with Atomic-Layer Deposited Encapsulation on Atomic-Layer In2O3 Transistors by Reliability Characterization. IEEE Trans. Elec. Dev. 2022, 69, 5549–5555. [Google Scholar] [CrossRef]
- Lin, Z.; Zhang, Z.; Ye, P. Atomically thin In2O3 field-effect transistors with 1017 current on/off ratio Charnas. Appl. Phys. Lett. 2021, 119, 263503. [Google Scholar] [CrossRef]
- Kim, M.; Kanatzidis, M.; Facchetti, A.; Marks, T. Low-temperature fabrication of high-performance metal oxide thin-film electronics via combustion processing. Nat. Mater. 2011, 10, 382–388. [Google Scholar] [CrossRef]
- Choi, C.; Han, S.; Su, Y.; Fang, Z.; Lin, L.; Cheng Cheng, C.; Chang, C. Fabrication of high-performance, low-temperature solution processed amorphous indium oxide thin-film transistors using a volatile nitrate precursor. J. Mater. Chem. C 2015, 3, 854. [Google Scholar] [CrossRef]
- Lee, S.; Chang, S.; Lee, J. Role of high-k gate insulators for oxide thin film transistors. Thin Solid Film. 2010, 518, 3030–3032. [Google Scholar] [CrossRef]
- Xu, W.; Wang, H.; Ye, Y.; Xu, J. The role of solution-processed high-κ gate dielectrics in electrical performance of oxide thin-film transistors. J. Mater. Chem. C 2014, 2, 5389–5396. [Google Scholar] [CrossRef]
- Rao, M.; Meza-Arroyoa, J.; Reddy, K.; Murthy, L.; de Urquijo-Venturaa, M.; Garibay-Martínez, F.; Hsu, J.; Bon, R. Tuning the electrical performance of solution-processed In2O3TFTs by low-temperature with HfO2-PVP hybrid dielectric. Mater. Today Commun. 2021, 26, 102120. [Google Scholar] [CrossRef]
- Kirmani, A.; Roe, E.; Stafford, C.; Richter, L. Role of the electronically-active amorphous state in low-temperature processed In2O3 thin-film transistors. Mater. Adv. 2020, 1, 167. [Google Scholar] [CrossRef] [PubMed]
- Tewari, A.; Tukiainen, A.; Mäntysalo, M.; Berger, P. Direct PEALD Deposition of a HfO2 Gate Dielectric without the Passivation for TFTs on Rigid and Flexible Substrates. ACS Appl. Electron. Mater. 2025, 7, 7120−7130. [Google Scholar] [CrossRef]
- Park, J.; Park, W.; Na, J.; Lee, J.; Eun, J.; Feng, J.; Kim, D.; Bae, J. Atomically Thin Amorphous Indium–Oxide Semiconductor Film Developed Using a Solution Process for High-Performance Oxide Transistor. Nanomaterials 2023, 13, 2568. [Google Scholar] [CrossRef]
- Bhalerao, S.; Lupo, D.; Berger, P. Flexible, solution-processed, indium oxide (In2O3) thin film transistors (TFT) and circuits for internet-of-things (IoT). Mater. Sci. Semicond. Proc. 2022, 139, 106354. [Google Scholar] [CrossRef]
- Kim, J.; Lee, S.; Cho, W.; Park, H. Tailoring Electrical Stability of Indium Oxide Thin-Film Transistors via Solution Aging-Induced Defect Modulation. ACS Appl. Electron. Mater. 2025, 7, 6187–6195. [Google Scholar] [CrossRef]
- Yu, X.; Smith, J.; Zhou, N.; Zeng, L.; Guo, P.; Xi, Y.; Alvarez, A.; Aghion, S.; Lin, H.; Yu, J.; et al. Spray-combustion synthesis: Efficient solution route to high-performance oxide transistors. Proc. Natl. Acad. Sci. USA 2015, 112, 3217–3222. [Google Scholar] [CrossRef]
- Wang, B.; Huang, W.; Bedzyk, M.; Dravid, V.; Hu, Y.; Marks, T.; Facchetti, A. Combustion Synthesis and Polymer Doping of Metal Oxides for High-Performance Electronic Circuitry. Acc.Chem. Res. 2022, 55, 429−441. [Google Scholar] [CrossRef] [PubMed]
- Wang, B.; Guo, P.; Zeng, L.; Yu, X.; Sil, A.; Huang, W.; Leonardi, M.; Zhang, X.; Wang, G.; Lu, S.; et al. Expeditious, scalable solution growth of metaloxide films by combustion blade coating for flexible electronics. Proc. Natl. Acad. Sci. USA 2019, 116, 9230–9238. [Google Scholar] [CrossRef] [PubMed]
- Isakov, I.; Faber, H.; Grell, M.; Wyatt-Moon, G.; Pliatsikas, N.; Kehagias, T.; Dimitrakopulos, G.; Patsalas, P.; Li, R.; Anthopoulos, T. Exploring the Leidenfrost Effect for the Deposition of High-Quality In2O3 Layers via Spray Pyrolysis at Low Temperatures and Their Application in High Electron Mobility Transistors. Adv. Funct. Mater. 2017, 27, 1606407. [Google Scholar] [CrossRef]
- Yang, J.; Lin, D.; Chen, Y.; Li, T.; Liu, J. Solution-Processed Metal Oxide Thin-Film Transistor at Low Temperature via A Combination Strategy of H 2 O2 -Inducement Technique and Infrared Irradiation Annealing. Small Methods 2024, 8, 2301739. [Google Scholar] [CrossRef] [PubMed]
- Kim, Y.; Heo, J.; Kim, T.; Park, S.; Yoon, M.; Kim, J.; Oh, M.; Yi, G.; Noh, Y.; Park, S. Flexible metal-oxide devices made by room temperature photo chemical activation of sol–gel films. Nature 2012, 489, 128–133. [Google Scholar] [CrossRef]
- Lee, S.; Kim, T.; Lee, J.; Avis, C.; Jang, J. Solution-processed gadolinium doped indium-oxide thin-film transistors with oxide passivation. Appl. Phys. Lett. 2017, 110, 122102. [Google Scholar] [CrossRef]
- Carlos, E.; Leppäniemi, J.; Sneck, A.; Alastalo, A.; Deuermeier, J.; Branquinho, R.; Martins, R.; Fortunato, E. Printed, Highly Stable Metal Oxide Thin-Film Transistors with Ultra-Thin High-κ Oxide Dielectric. Adv. Electron. Mater. 2020, 6, 1901071. [Google Scholar] [CrossRef]
- Kim, H.; Kang, C.; Oh, Y.; Ryu, J.; Baek, K.; Do, L. Low-temperature, Solution-processed Indium-oxide Thin-film Transistors Fabricated by Using an Ultraviolet-ozone Treatment. J. Kor. Phys. Soc. 2016, 68, 971–974. [Google Scholar] [CrossRef]
- Choi, J.; Lee, W.; Yoon, M. Low-temperature crystallization of indium oxide thin films with a photoactivable additive. Appl. Phys. Lett. 2022, 121, 243301. [Google Scholar] [CrossRef]
- Gupta, P.; Sharma, S. Facile DUV Irradiated Solution-Processed ZrO2/In2O3 for Low Voltages FET Applications. IEEE Trans. Elec. Dev. 2024, 71, 3705–3713. [Google Scholar] [CrossRef]
- Shi, S.; Zhao, H.; Wang, X.; Kim, S. Solution-Processed In2O3 Doped 2-D MoS2 Thin-Film Transistors with Improvement of Electrical Properties by UV/Ozone Treatment. IEEE Trans. Dev. Mater. Reliab. 2025, 25, 594–600. [Google Scholar] [CrossRef]
- John, R.; Chien, N.; Shukla, S.; Tiwari, N.; Shi, C.; Ing, N.; Mathews, N. Low-Temperature Chemical Transformations for High-Performance Solution-Processed Oxide Transistors. Chem. Mater. 2016, 28, 8305−8313. [Google Scholar] [CrossRef]
- Han, S.; Herman, G.; Chang, C. Low-Temperature, High-Performance, Solution-Processed Indium Oxide Thin-Film Transistors. J. Am. Chem. Soc. 2011, 133, 5166–5169. [Google Scholar] [CrossRef]
- Wang, L.; He, G.; Lv, J.; Yu, H.; Wang, W.; Hu, Y.; Hu, P.; Qiu, C. Electrical performance optimization and low-frequency noise evaluation of In2O3 TFT with CeAlOx/Al2O3 stacked gate dielectrics. Rare Met. 2025, 1–13. [Google Scholar] [CrossRef]
- Scheideler, W.; Nomura, K. Advances in Liquid Metal Printed 2D Oxide Electronics. Adv. Funct. Mater. 2024, 34, 2403619. [Google Scholar] [CrossRef]
- Nguyen, C.; Mazumder, A.; Mayes, E.; Krishnamurthi, V.; Zavabeti, A.; Murdoch, B.; Guo, X.; Aukarasereenont, P.; Dubey, A.; Jannat, A.; et al. 2-nm-Thick Indium Oxide Featuring High Mobility. Adv. Mater. Interfaces 2023, 10, 2202036. [Google Scholar] [CrossRef]
- Hamlin, A.; Ye, Y.; Huddy, J.; Rahman, M.; Scheideler, W. 2D transistors rapidly printed from the crystalline oxide skin of molten indium. npj 2D Mater. Appl. 2022, 6, 16. [Google Scholar] [CrossRef]
- Agnew, S.; Tiwari, A.; Ong, S.; Rahman, M.; Scheideler, W. Hypoeutectic Liquid Metal Printing of 2D Indium Gallium Oxide Transistors. Small 2024, 20, 2403801. [Google Scholar] [CrossRef] [PubMed]
- Huang, C.; Ye, P.; Chen, W.; Sang, Y.; Chang, P. An increase in the performance of amorphous ZnSnO metal-semiconductor-metal UV photodetectors by water vapor annealing. Mater. Sci. Semicond. Proc. 2021, 132, 105906. [Google Scholar] [CrossRef]
- Kim, Y.; Kim, T.; Avis, C.; Lee, S.; Jang, J. Stable and High-Performance Indium Oxide Thin-Film Transistor by Ga Doping. IEEE Trans. Elec. Dev. Lett. 2016, 63, 1078–1084. [Google Scholar] [CrossRef]
- Parthiban, S.; Kwon, J. Role of dopants as a carrier suppressor and strong oxygen binder in amorphous indium-oxide-based field effect transistor. J. Mater. Res. 2014, 29, 1585–1596. [Google Scholar] [CrossRef]
- Luo, Y.-R. Comprehensive Handbook of Chemical Bond Energies; CRC Press: New York, NY, USA, 2007; pp. 9-65–9-70. [Google Scholar]
- Xu, W.; Lin, J.; Li, Y.; Xu, C.; Lan, S.; Zhang, Y.; Zhu, D. 2D C-Axis-Aligned Crystalline In-S-O Transistors Processed from Aqueous Solution. Adv. Electron. Mater. 2025, 11, 2400473. [Google Scholar] [CrossRef]
- Nguyen, M.; You, S.; Tong, D.; Bang, H.; Lee, D.; Hasan, M.; Jeong, J.; Yang, H.; Choi, R. High performance thin film transistors using low-temperature solution-processed Li-incorporated In2O3/ZrO2 stacks. Microelectron. Engin. 2015, 147, 27–30. [Google Scholar] [CrossRef]
- Xu, W.; Peng, T.; Li, Y.; Xu, F.; Zhang, Y.; Zhao, C.; Fang, M.; Han, S.; Zhu, D.; Cao, P.; et al. Water-Processed Ultrathin Crystalline Indium–Boron–Oxide Channel for High-Performance Thin-Film Transistor Applications. Nanomaterials 2022, 12, 1125. [Google Scholar] [CrossRef]
- Zhang, X.; Wang, B.; Huang, W.; Chen, Y.; Wang, G.; Zeng, L.; Zhu, W.; Bedzyk, M.; Zhang, W.; Medvedeva, J.; et al. Synergistic Boron Doping of Semiconductor and Dielectric Layers for High-Performance Metal Oxide Transistors: Interplay of Experiment and Theory. J. Am. Chem. Soc. 2018, 140, 12501–12510. [Google Scholar] [CrossRef] [PubMed]
- Ochi, M.; Hino, A.; Miyazawa, T.; Sadoh, T.; Goto, H. Effects of Boron Doping and Underlying Layer Insertion on Active Layer of In2O3-based TFTs. In Proceedings of the International Display Workshops (IDW ‘24), Sapporo, Japan, 4–6 December 2024. [Google Scholar] [CrossRef]
- Nguyen, C.; Low, M.; Zavabeti, A.; Murdoch, B.; Guo, X.; Aukarasereenont, P.; Mazumder, A.; Dubey, A.; Jannat, A.; Rahman, M.; et al. Atomically Thin Antimony-Doped Indium Oxide Nanosheets for Optoelectronics. Adv. Opt. Mater. 2022, 10, 2200925. [Google Scholar] [CrossRef]
- Li, W.; Gao, C.; Li, X.; Yang, J.; Zhang, J.; Chu, J. High bias stability of Hf-doping-modulated indium oxide thin-film transistors. Microelectron. Eng. 2024, 286, 112142. [Google Scholar] [CrossRef]
- Zhu, J.; Hu, S.; Chen, B.; Wei, S.; Zhang, Y.; Wu, X.; Zou, X.; Lu, X.; Sun, Q.; Zhang, D.; et al. Realization of tunable-performance in atomic layer deposited Hf-doped In2O3 thin film transistor via oxygen vacancy modulation. J. Chem. Phys. 2024, 160, 044706. [Google Scholar] [CrossRef]
- Jiyuan, Z.; Shen, H.; Zhu, J.; Hu, J.; Chen, B.; Zhang, Y.; Wei, S.; Guo, X.; Zou, X.; Lu, X.; et al. Tunable-performance all-oxide structure field-effect transistor based atomic layer deposited Hf-doped In2O3 thin films. J. Chem. Phys. 2023, 159, 174704. [Google Scholar] [CrossRef]
- Tarsoly, G.; Lee, J.; Heo, K.; Kim, S. Doping of Indium Oxide Semiconductor Film Prepared Using an Environmentally Friendly Aqueous Solution Process with Sub-1% Molybdenum to Improve Device Performance and Stability. ACS Appl. Electron. Mater. 2023, 5, 4308−4315. [Google Scholar] [CrossRef]
- Heo, K.; Lee, J.; Tarsoly, G.; Kim, S. Multi-Functional Molybdenum Oxide Doping to Improve the Electrical Characteristics of Indium Oxide Thin Film Transistors. Electron. Mater. Lett. 2025, 21, 9–21. [Google Scholar] [CrossRef]
- Heo, K.; Lee, J.; You, S.; Tukhtaev, A.; Lee, B.; Kim, S. Eco-Friendly MoO3 Doped Indium Oxide Thin-Film Transistor. J. Electr. Eng. Technol. 2025. [Google Scholar] [CrossRef]
- Lee, J.; Tarsoly, G.; Wang, X.; Zhao, H.; Heo, K.; Kim, S. Engineering a Solution-Processed In2O3 TFT With Improved Ambient Stability via MoO3 Doping. IEEE Trans. Elec. Dev. 2024, 71, 1946–1950. [Google Scholar] [CrossRef]
- Zhou, Y.; Fuentes-Hernandez, C.; Shim, J.; Meyer, J.; Giordano, A.; Li, H.; Winget, P.; Papadopoulos, T.; Cheun, H.; Kim, J.; et al. A Universal Method to Produce Low–Work Function Electrodes for Organic Electronics. Science 2012, 336, 327–332. [Google Scholar] [CrossRef]
- Yu, X.; Zeng, L.; Zhou, N.; Guo, P.; Shi, F.; Buchholz, D.; Ma, Q.; Yu, J.; Dravid, V.; Chang, R.; et al. Ultra-Flexible, “Invisible” Thin-Film Transistors Enabled by Amorphous Metal Oxide/Polymer Channel Layer Blends. Adv. Mater. 2015, 27, 2390–2399. [Google Scholar] [CrossRef]
- Huang, W.; Zeng, L.; Yu, X.; Guo, P.; Wang, B.; Ma, Q.; Chang, R.; Yu, J.; Bedzyk, M.; Marks, T.; et al. Metal Oxide Transistors via Polyethylenimine Doping of the Channel Layer: Interplay of Doping, Microstructure, and Charge Transport. Adv. Funct. Mater. 2016, 26, 6179–6187. [Google Scholar] [CrossRef]
- Wang, Z.; Zhuang, X.; Wang, B.; Huang, W.; Marks, T.; Facchetti, A. Doping Indium Oxide Films with Amino-Polymers of Varying Nitrogen Content Markedly Affects Charge Transport and Mechanical Flexibility. Adv. Funct. Mater. 2021, 31, 2100451. [Google Scholar] [CrossRef]
- Chen, Y.; Huang, W.; Sangwan, V.; Wang, B.; Zeng, L.; Wang, G.; Huang, Y.; Lu, Z.; Bedzyk, M.; Hersam, M.; et al. Polymer Doping Enables a Two-Dimensional Electron Gas for High-Performance Homojunction Oxide Thin-Film Transistors. Adv. Mater. 2019, 31, 1805082. [Google Scholar] [CrossRef] [PubMed]
- Divya, M.; Cherukupally, N.; Gogoi, S.; Pradhan, J.; Mondal, S.; Jain, M.; Senyshyn, A.; Dasgupta, S. Super Flexible and High Mobility Inorganic/Organic Composite Semiconductors for Printed Electronics on Polymer Substrates. Adv. Mater. Technol. 2023, 8, 2300256. [Google Scholar] [CrossRef]
- Zhao, H.; Kim, S. Effect of Single-Wall Carbon Nanotube Doping on Solution-Processed Indium Oxide Thin-Film Transistors. IEEE Trans. Elec. Dev. 2025, 72, 271–276. [Google Scholar] [CrossRef]
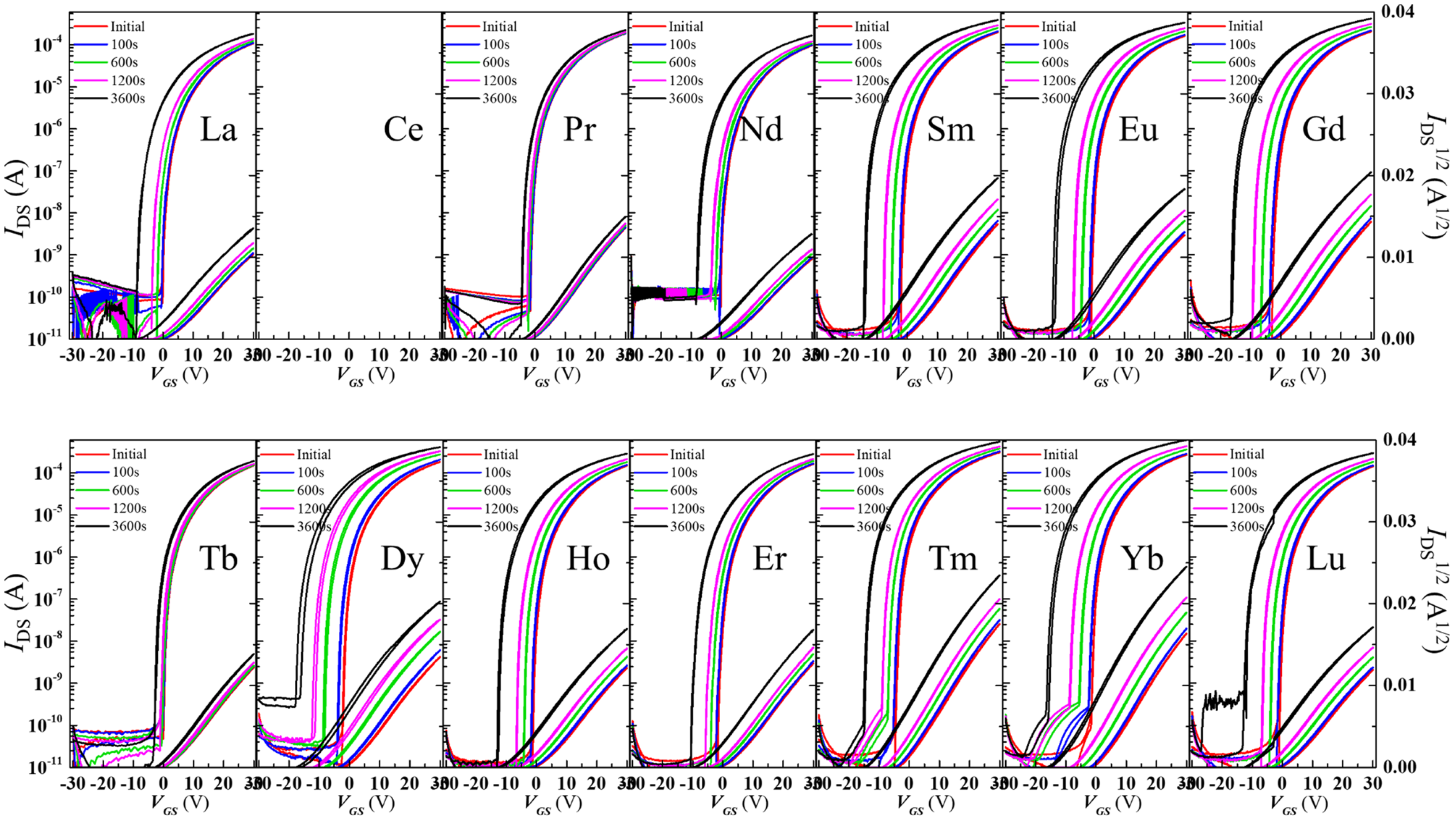
- He, P.; Xu, H.; Lan, L.; Deng, C.; Wu, Y.; Lin, Y.; Chen, S.; Ding, C.; Li, X.; Xu, M.; et al. The effect of charge transfer transition on the photostability of lanthanide-doped indium oxide thin-film transistors. Commun. Mater. 2021, 2, 86. [Google Scholar] [CrossRef]
- Lan, L.; Li, X.; Ding, C.; Chen, S.; Su, H.; Huang, B.; Chen, B.; Zhou, H.; Peng, J. The Effect of the Charge Transfer Transition of the Oxide Thin Film Transistors. Adv. Electron. Mater. 2022, 8, 2200187. [Google Scholar] [CrossRef]
- Du, H.; Tuokedaerhan, K.; Zhang, R. Electrical performance of La-doped In2O3 thin-film transistors prepared using a solution method for low-voltage driving. RSC Adv. 2024, 14, 15483. [Google Scholar] [CrossRef]
- Wang, Z.; Zhao, T.; Li, J.; Zhang, J. Solution-Processed High Performance Ytterbium-Doped In2O3 Thin Film Transistor and Its Application in Common-Source Amplifier. IEEE Trans. Elec. Dev. 2023, 70, 1073–1078. [Google Scholar] [CrossRef]
- Smith, J.; Zeng, L.; Khanal, R.; Stallings, K.; Facchetti, A.; Medvedeva, J.; Bedzyk, M.; Marks, T. Cation Size Effects on the Electronic and Structural Properties of Solution-Processed In–X–O Thin Films. Adv. Electron. Mater. 2015, 1, 1500146. [Google Scholar] [CrossRef]
- Hu, Y.; Aabrar, K.; Palmieri, A.; Bergschneider, M.; Pešić, M.; Young, C.; Datta, S.; Cho, K. On the Dopant, Defect States, and Mobility in W Doped Amorphous In2O3 for BEOL Transistors. In Proceedings of the 2023 Electron Devices Technology and Manufacturing Conference (EDTM), Seoul, Republic of Korea, 7–10 March 2023. [Google Scholar] [CrossRef]
- Aikawa, S.; Nabatame, T.; Tsukagoshi, K. Effects of dopants in InOx-based amorphous oxide semiconductors for thin-film transistor applications. Appl. Phys. Lett. 2013, 103, 172105. [Google Scholar] [CrossRef]
- Lin, D.; Pi, S.; Yang, J.; Zhang, Q.; Tiwari, N.; Ren, J.; Liu, P.; Shieh, H. Enhanced stability of thin film transistors with double-stacked amorphous IWO/IWO:N channel layer. Semicond. Sci. Technol. 2018, 33, 065001. [Google Scholar] [CrossRef]
- Qu, M.; Chang, C.; Meng, T.; Zhang, Q.; Liu, P.; Shieh, H. Stability study of indium tungsten oxide thin-film transistors annealed under various ambient conditions. Phys. Status Solidi A 2017, 214, 1600465. [Google Scholar] [CrossRef]
- Wang, Z.; Chen, F.; Zhang, M.; Zhou, X.; Balasubramanian, P.; Yan, Y.; Zhang, M. Enhancement of Device Uniformity in IWO TFTs via RF Magnetron Co-Sputtering of In2O3 and WO3 Targets. IEEE Elec. Dev. Lett. 2024, 45, 2423–2426. [Google Scholar] [CrossRef]
- Yoo, C.; Hartanto, J.; Saini, B.; Tsai, W.; Thampy, V.; Niavol, S.; Meng, A.; McIntyre, P. Atomic Layer Deposition of WO3-Doped In2O3 for Reliable and Scalable BEOL-Compatible Transistors. Nano Lett. 2024, 24, 5737−5745. [Google Scholar] [CrossRef]
- Ruan, D.; Liu, P.; Yu, M.; Chien, T.; Chiu, Y.; Gan, K.; Sze, S. Performance Enhancement for Tungsten-Doped Indium Oxide Thin Film Transistor by Hydrogen Peroxide as Cosolvent in Room Temperature Supercritical Fluid Systems. ACS Appl. Mater. Interfaces 2019, 11, 22521−22530. [Google Scholar] [CrossRef]
- Magari, Y.; Kataoka, T.; Yeh, W.; Furuta, M. High-mobility hydrogenated polycrystalline In2O3 (In2O3:H) thin-film transistors. Nat. Commun. 2022, 13, 1078. [Google Scholar] [CrossRef]
- Kim, H.; Cho, S.; Shin, D.; Chung, K.; Park, S.; Ko, J. Optimized hydrogen-supplying gate insulator for high-mobility indium oxide TFTs via atomic-level oxygen reactant engineering. J. Alloys Compd. 2025, 1020, 179353. [Google Scholar] [CrossRef]
- Chun, S.; Yoon, S. Crystallization and hydrogenation of In transistors with combinations of Al2O3 oxygen annealing. Appl. Surf. Sci. 2025, 713, 164336. [Google Scholar] [CrossRef]
- Hu, P.; Gao, Z.; Yang, L.; Li, W.; Li, X.; Li, T.; Qia, Y.; Liang, L.; Hu, Y.; Cao, H. Effect of In-Situ H Doping on the Electrical Properties of In2O3 Thin-Film Transistors. Electronics 2024, 13, 1478. [Google Scholar] [CrossRef]
- Li, S.; Tian, M.; Gao, Q.; Wang, M.; Li, T.; Hu, Q.; Li, X.; Wu, Y. Nanometre-thin indium tin oxide for advanced high-performance electronics. Nat. Mater. 2019, 18, 1091–1097. [Google Scholar] [CrossRef]
- Hu, Q.; Zhu, S.; Gu, C.; Liu, S.; Zeng, M.; Wu, Y. Ultrashort 15-nm flexible radio frequency ITO transistors enduring mechanical and temperature stress. Sci. Adv. 2022, 8, eade4075. [Google Scholar] [CrossRef]
- Luo, B.; Zhang, C.; Meng, W.; Xiong, W.; Yang, M.; Yang, L.; Zhu, B.; Wu, X.; Ding, S. Plasma-enhanced atomic layer deposition of Sn-doped indium oxide semiconductor nano-films for thin-film transistors. Nanotechnology 2024, 35, 445202. [Google Scholar] [CrossRef] [PubMed]
- Hu, M.; Xu, L.; Zhang, X.; Hao, H.; Zong, S.; Chen, H.; Song, Z.; Luo, S.; Zhu, Z. High mobility amorphous InSnO thin film transistors via low temperature annealing. Appl. Phys. Lett. 2023, 122, 033503. [Google Scholar] [CrossRef]
- Li, J.; Chen, Y.; Gao, Q.; Cao, T.; Ma, J.; Li, D.; Zheng, L.; Pan, X.; Yang, J.; Liu, P.; et al. Enhanced stability in InSnO transistors via ultrathin in-situ AlOx passivation. Appl. Surf. Sci. 2024, 663, 160175. [Google Scholar] [CrossRef]
- Tang, Y.; Huang, C.; Nomura, K. Vacuum-Free Liquid-Metal-Printed 2D Indium−Tin Oxide Thin-Film Transistor for Oxide Inverters. ACS Nano 2022, 16, 3280−3289. [Google Scholar] [CrossRef] [PubMed]
- Le, M.; Rahman, M.; Agnew, M.; Ong, S.; Scheideler, W. 2D Amorphous Homojunction Transistors Exfoliated from Liquid Metals. Adv. Funct. Mater. 2025, e12590, online version only. [Google Scholar]
- Gao, Q.; Lin, D.; Xu, S.; Chen, Y.; Li, J.; Cao, T.; Chen, S.; Huang, W.; Liu, P.; Zhan, C. Performance optimization of nanometer-thin indium-tin oxide transistors by two-step air annealing. Phys. B Cond. Matter 2023, 667, 415188. [Google Scholar] [CrossRef]
- Gao, Q.; Li, J.; Cao, T.; Pan, X.; Liu, P.; Liu, L. Effect of vacuum annealing on indium tin oxide transistor with nanometer-thin channel. Vacuum 2024, 222, 113016. [Google Scholar] [CrossRef]
- Xu, D.; Yi, T.; Dong, J.; Liu, L.; Han, D.; Zhang, X. Optimized performance and stability of ultra-thin ITO oxide transistors through air annealing strategy. Vacuum 2025, 233, 114001. [Google Scholar] [CrossRef]
- Jeon, S.; Jo, J.; Nam, D.; Kang, D.; Kim, Y.; Park, S. Junctionless Structure Indium−Tin Oxide Thin-Film Transistors Enabling Enhanced Mechanical and Contact Stability. ACS Appl. Mater. Interfaces 2024, 16, 38198−38207. [Google Scholar] [CrossRef]
- Zeng, W.; Peng, Z.; Lin, D.; Guliakova, A.; Zhang, Q.; Zhu, G. Tungsten-Doped Indium Tin Oxide Thin-Film Transistors for Dualmode Proximity Sensing Application. ACS Appl. Mater. Interfaces 2023, 15, 52754−52766. [Google Scholar] [CrossRef]
- Gu, C.; Hu, Q.; Li, Q.; Zhu, S.; Kang, J.; Wu, Y. 1/f noise of short-channel indium tin oxide transistors under stress. Appl. Phys. Lett. 2023, 122, 252104. [Google Scholar] [CrossRef]
- Li, Q.; Han, D.; Dong, J.; Xu, D.; Li, Y.; Wang, Y.; Zhang, X. Effects of Source/Drain Electrodes on the Performance of InSnO Thin-Film Transistors. Micromachines 2022, 13, 1896. [Google Scholar] [CrossRef]
- Moffitt, S.; Zhu, Q.; Ma, Q.; Falduto, A.; Buchholz, D.; Chang, R.; Mason, T.; Medvedeva, J.; Marks, T.; Bedzyk, M. Probing the unique role of gallium in amorphous oxide semiconductors through Structure–Property Relationships. Adv. Electron. Mater. 2017, 3, 1700189. [Google Scholar] [CrossRef]
- Hur, J.; Kim, M.; Yoon, S.; Choi, H.; Park, C.; Lee, S.; Cho, M.; Kuh, B.; Jeong, J. High-Performance Thin-Film Transistor with Atomic Layer Deposition (ALD)-Derived Indium−Gallium Oxide Channel for Back End-of-Line Compatible Transistor Applications: Cation Combinatorial Approach. ACS Appl. Mater. Interfaces 2022, 14, 48857−48867. [Google Scholar] [CrossRef] [PubMed]
- Peng, C.; He, H.; Huang, H.; Shang, Y.; Feng, Z.; Zhang, Z.; Wang, C.; Zou, B.; Xingqiang, L. High Performance Amorphous IGO Thin Film Transistors Grown at Low Temperature. Phys. Status Solidi RRL 2024, 18, 2300457. [Google Scholar] [CrossRef]
- Rabbi, H.; Ali, A.; Park, C.; Jang, J. High performance amorphous In0.5Ga0.5O Thin-film transistor embedded with nanocrystalline In2O3 Dots for flexible display application. Adv. Electron. Mater. 2023, 9, 2300169. [Google Scholar] [CrossRef]
- Yang, H.; Seul, H.; Kim, M.; Kim, Y.; Cho, H.; Cho, M.; Song, Y.; Yang, H.; Jeong, J. High-Performance Thin-Film Transistors with an Atomic-LayerDeposited Indium Gallium Oxide Channel: A Cation Combinatorial Approach. ACS Appl. Mater. Interf. 2020, 12, 52937−52951. [Google Scholar] [CrossRef]
- Zhang, J.; Zhou, C.; Dou, H.; Zhang, Z.; Lin, Z.; Xu, K.; Zhang, X.; Wang, H.; Zhu, H.; Yang, W.; et al. Effects of Gallium on Electron Transport and Bias Stability in Ultrascaled Amorphous InGaO Transistors. IEEE Trans. Elec. Dev. 2025, 72, 4156–4162. [Google Scholar] [CrossRef]
- Zhang, J.; Zheng, D.; Zhang, Z.; Lin, Z.; Ye, P. Ultrathin InGaO Thin Film Transistors by Atomic Layer Deposition. IEEE Elec. Dev. Lett. 2023, 44, 273–276. [Google Scholar] [CrossRef]
- Hu, K.; Wang, J.; Lu, C.; Wang, M.; Wang, T.; Yang, G.; Lu, N.; Li, L. In–Ga ratio-dependent positive bias stress stability in InGaO based thin-film transistors. Appl. Phys. Lett. 2025, 127, 043501. [Google Scholar] [CrossRef]
- Rabbi, M.; Arnob, M.; Nahar, S.; Tooshil, A.; Jang, J. One micrometer channel length coplanar polycrystalline InGaO Thin Film transistors exhibiting 85 cm2V−1s−1 mobility and excellent bias stabilities by using offset engineering. Adv. Funct. Mater. 2025, 35, 2416238. [Google Scholar] [CrossRef]
- Hao, J.; Gao, T.; Hu, K.; He, Y.; Miao, X.; Li, X. First Demonstration of BEOL-Compatible ALD InGaO High-Voltage TFTs. IEEE Elec. Dev. Lett. 2025, 46, 274–277. [Google Scholar] [CrossRef]
- Hur, J.; Jeong, J.; Kim, G.; Yoon, S.; Koh, J.; Kuh, B.; Jeong, J. Design of an Atomic Layer-Deposited In2O3/Ga2O3 Channel Structure for High-Performance Thin-Film Transistors. ACS Appl. Mater. Interfaces 2025, 17, 6541−6549. [Google Scholar] [CrossRef]
- Hamlin, A.; Agnew, S.; Bonner, J.; Hsu, J.; Scheideler, W. Heterojunction Transistors Printed via Instantaneous Oxidation of Liquid Metals. Nano Lett. 2023, 23, 2544−2550. [Google Scholar] [CrossRef] [PubMed]
- Zhu, J.; Li, J.; Ju, S.; Lu, L.; Zhang, S.; Wang, X. Ultrathin In2O3 thin-film transistors deposited from indium and ozone. Nanotechnology 2024, 35, 435205. [Google Scholar] [CrossRef]
- Kim, G.; Kim, T.; Bang, S.; Hur, J.; Choi, C.; Kim, M.; Jeong, J. Strong Immunity to Drain-Induced Barrier Lowering in ALD-Grown Preferentially Oriented Indium Gallium Oxide Transistors. ACS Appl. Mater. Interfaces 2024, 16, 23467−23475. [Google Scholar] [CrossRef]
- Park, H.; Kim, T.; Kim, M.; Lee, H.; Lim, J.; Jeong, J. Improvement in performance of indium gallium oxide thin film transistor via oxygen mediated crystallization at a low temperature of 200 °C. Ceram. Int. 2022, 48, 12806–12812. [Google Scholar] [CrossRef]
- Bae, J.; Ahn, K.; Jeong, M.; Rabbi, M.; Saha, J.; Arnob, M.; Lim, T.; Kim, J.; Jang, J. Highly Stable, Crystalline InGaO Thin-Film Transistors by 7% Lanthanum Incorporation. ACS Appl. Mater. Interfaces 2025, 17, 24116−24128. [Google Scholar] [CrossRef]
- Zhu, Y.; Xu, H.; Xu, M.; Li, M.; Zou, J.; Tao, H.; Wang, L.; Peng, J. Enhanced Negative-Bias Illumination Temperature Stability of Praseodymium-Doped InGaO Thin-Film Transistors. Phys. Status Solidi A 2021, 218, 2000812. [Google Scholar] [CrossRef]
- Huang, W.; Hsu, M.; Chang, S.; Chang, S.; Chiou, Y. Indium Gallium Oxide Thin Film Transistor for Two-Stage UV Sensor Application. ECS J. Solid State Sci. Technol. 2019, 8, Q3140–Q3143. [Google Scholar] [CrossRef]
- Kim, M.; Bang, S.; Hur, J.; Yoon, S.; Choi, C.; Chung, S.; Oh, J.; Kim, Y.; Park, B.; Lee, J.; et al. Growth of Highly-Ordered-Crystalline Indium-Gallium-Oxide Thin-Film via Plasma-Enhanced ALD for High Performance Top-Gate Field-Effect Transistors. Small Methods 2025, 9, 2402070. [Google Scholar] [CrossRef] [PubMed]
- Pan, W.; Gu, K.; Zhao, M.; Xu, L.; Pan, W.; Xiao, L.; Sun, S.; Jing, H.; Zhu, Z.; Li, Y. Simultaneously enhanced mobility and stability in In2O3 thin-film transistor by nitrogen modification. J. Appl. Phys. 2025, 138, 054502. [Google Scholar] [CrossRef]
- Sadahira, H.; Ghediya, P.; Kong, H.; Miura, A.; Matsuo, Y.; Ohta, H.; Magari, Y. Indium Hydroxide Ceramic Targets: A Break through in High Mobility Thin-Film Transistor Technology. ACS Appl. Electron. Mater. 2025, 7, 6952−6959. [Google Scholar] [CrossRef]
- Hensling, F.; Vogt, P.; Park, J.; Shang, S.; Ye, H.; Wu, Y.; Smith, K.; Show, V.; Azizie, K.; Paik, H.; et al. Fully Transparent Epitaxial Oxide Thin-Film Transistor Fabricated at Back-End-of-Line Temperature by Suboxide Molecular-Beam Epitaxy. Adv. Electron. Mater. 2025, 11, 2400499. [Google Scholar] [CrossRef]
- Zhang, J.; Wang, Y.; Chai, Z.; Zhao, D.; Lu, X. Six-Fold Mobility Improvement for All-Solution-Processed Metal Oxide Thin Film Transistors Via a Controlled Humidity Annealing Process. Adv. Funct. Mater. 2025, 35, 2507594. [Google Scholar] [CrossRef]
- Xiao, N.; Yuvaraja, S.; Chettri, D.; Liu, Z.; Lu, Y.; Liao, C.; Tang, X.; Li, X. The influence of annealing atmosphere on sputtered indium oxide thin-film transistors. J. Phys. D Appl. Phys. 2023, 56, 425102. [Google Scholar] [CrossRef]
- Wang, J.; Zhang, K.; Li, Y.; Li, N.; Xu, Y.; Wang, S. Effect of Atmosphere Dependent Annealing on the Electrical Characteristics of a-In2O3 Thin-film Transistors. IEEE Trans. Elec. Dev. 2024, 71, 1932–1939. [Google Scholar] [CrossRef]
- Huang, X.; Shih, C.; Tsai, W.; Woon, W.; Lien, D.; Chien, C. Improving the Thermal Stability of Indium Oxide n-Type Field-Effect Transistors by Enhancing Crystallinity through Ultra high Temperature Rapid Thermal Annealing. ACS Appl. Mater. Interfaces 2025, 17, 5078−5085. [Google Scholar] [CrossRef]
- Shan, F.; Lee, J.; Tarsoly, G.; Zhao, H.; Wang, X.; Anvar, T.; Yoo, S.; Kim, S. Enhancement of Electrical Stability in Solution Processed In2O3 TFT by an Oxygen Plasma-Assisted Treatment. IEEE Trans. Elec. Dev. 2023, 70, 5678–5684. [Google Scholar] [CrossRef]
- Xiao, N.; Khandelwal, V.; Yuvaraja, S.; Chettri, D.; Mainali, G.; Liu, Z.; Hassine, M.; Tang, X.; Li, X. 6nm thick Passivated indium oxide thin-film transistors with high field-effect mobility (128.3 cm2 V−1 s−1) and low thermal budget (200 °C). J. Phys. D Appl. Phys. 2024, 57, 445104. [Google Scholar] [CrossRef]
- Charnas, A.; Si, M.; Lin, Z.; Ye, P. Enhancement-mode atomic-layer thin In2O3 transistors with maximum current exceeding 2 A/mm at drain voltage of 0.7 V enabled by oxygen. Appl. Phys. Lett. 2021, 118, 052107. [Google Scholar] [CrossRef]
- Sun, J.; Lim, T.; Kim, B.; Kim, K.; Rabbi, M.; Jang, J. Low-Temperature Crystallization of Amorphous InGaO by Ar Plasma Treatment for Thin Film Transistors. IEEE Elec. Dev. Lett. 2025, 46, 596–599. [Google Scholar] [CrossRef]
- Tseng, R.; Wang, S.; Ahmed, T.; Pan, Y.; Chen, S. Wide-range and area-selective threshold voltage tunability in ultrathin indium oxide transistors. Nat. Commun. 2023, 14, 5243. [Google Scholar] [CrossRef]
- Zhao, H.; Kim, S. Engineered Amorphous Indium Oxide Thin-Film Transistors for Electrical Performance Enhancement by Focused Oxygen Plasma Treatment. J. Elec. Mater. 2025, 54, 800–808. [Google Scholar] [CrossRef]
- Wang, X.; Zhao, H.; Shan, F.; Shi, S.; Lee, J.; Tarsolyc, G.; Kim, S. Aqueous solution-processed In2O3 TFTs using focused plasma in gas mixtures. Appl. Surf. Sci. 2024, 669, 160576. [Google Scholar] [CrossRef]
- Li, X.; Cheng, J.; Gao, Y.; Li, M.; Kuang, D.; Li, Y.; Xue, J.; Zhang, T.; Yu, Z. Impact of NH3 plasma treatment for solution-processed indium oxide thin-film transistors with low thermal budget. J. Alloys Comp. 2020, 817, 152720. [Google Scholar] [CrossRef]
- Rabbi, M.; Lee, S.; Sasaki, D.; Kawashima, E.; Tsuruma, Y.; Jang, J. Polycrystalline InGaO Thin-Film Transistors with Coplanar Structure Exhibiting Average Mobility of ≈78 cm2 V−1 s−1 and Excellent Stability for Replacing Current Poly-Si Thin-Film Transistors for Organic Light-Emitting Diode Displays. Small Methods 2022, 6, 2200668. [Google Scholar] [CrossRef]
- Rabbi, M.; Ali, A.; Park, C.; Bae, J.; Jang, J. Growth of high quality polycrystalline InGaO thin films by spray pyrolysis for coplanar thin-film transistors on polyimide substrate. J. Alloys Compd. 2024, 1002, 175203. [Google Scholar] [CrossRef]
- Chang, Y.; Wang, S.; Lee, Y.; Huang, C.; Hsu, C.; Weng, T.; Huang, C.; Chen, C.; Chou, T.; Chang, C.; et al. Breaking the Trade-Off Between Mobility and On–Off Ratio in Oxide Transistors. Adv. Mater. 2025, 37, 2413212. [Google Scholar] [CrossRef] [PubMed]
- Li, J.; Ju, S.; Tang, Y.; Li, J.; Li, X.; Tian, X.; Zhu, J.; Ge, Q.; Lu, L.; Zhang, S.; et al. Remarkable Bias-Stress Stability of Ultrathin Atomic-Layer- Deposited Indium Oxide Thin-Film Transistors Enabled by Plasma Fluorination. Adv. Funct. Mater. 2024, 34, 2401170. [Google Scholar] [CrossRef]
- Zhang, J.; Charnas, A.; Lin, Z.; Zheng, D.; Zemlyanov, D.; Ye, P. Fluorine-passivated In2O3 thin film transistors with improved electrical performance via low-temperature CF4/N2O plasma. Appl. Phys. Lett. 2022, 121, 172101. [Google Scholar] [CrossRef]
- Sil, A.; Deck, M.; Goldfine, E.; Zhang, C.; Patel, S.; Flynn, S.; Liu, H.; Chien, P.; Poeppelmeier, K.; Dravid, V.; et al. Fluoride Doping in Crystalline and Amorphous Indium Oxide Semiconductors. Chem. Mater. 2022, 34, 3253–3266. [Google Scholar] [CrossRef]
- Takahashi, T.; Uraoka, Y. Intrinsic field-effect mobility in thin-film transistor with polycrystalline In2O3 channel based on transfer length method. Appl. Phys. Express 2025, 18, 014001. [Google Scholar] [CrossRef]
- Lee, J.; Kang, S.; Yang, J.; Pi, J.; Hwang, C.; Moon, J. Characteristics of Ultrathin Indium Oxide Thin-Film Transistors with Diverse Channel Lengths Fabricated by Atomic Layer Deposition. J. Phys. Status Solidi B 2024, 261, 2300323. [Google Scholar] [CrossRef]
- Lin, J.; Niu, C.; Lin, Z.; Lee, S.; Kim, T.; Lee, J.; Liu, C.; Lu, J.; Wang, H.; Alam, M.; et al. Analyzing the Contact-Doping Effect in In2O3 FETs: Unveiling the Mechanisms Behind the Threshold-Voltage Roll-Off in Oxide Semiconductor Transistors. IEEE Trans. Elec. Dev. 2025, 72, 3004–3011. [Google Scholar] [CrossRef]
- Yi-Yu Pan, Y.; Kuo, M.; Chen, S.; Ahmed, T.; Tseng, R.; Kei, C.; Chou, T.; Shih, C.; Wei, C.; Woon, W.; et al. Electronic Impact of High-Energy Metal Deposition on Ultrathin Oxide Semiconductors. Nano Lett. 2025, 25, 2655−2661. [Google Scholar] [CrossRef]
- Kyndiah, A.; Ablat, A.; Guyot-Reeb, S.; Schultz, T.; Zu, F.; Koch, N.; Amsalem, P.; Chiodini, S.; Alic, T.; Topal, Y.; et al. A Multifunctional Interlayer for Solution Processed High Performance Indium Oxide Transistors. Sci. Rep. 2018, 8, 10946. [Google Scholar] [CrossRef]
- Cheng, Y.; Chang, S.; Chang, S.; Cheng, T.; Tsai, Y.; Chiou, Y.; Lu, L. Stability Improvement of Nitrogen Doping on IGO TFTs under Positive Gate Bias Stress and Hysteresis Test. ECS J. Solid State Sci. Technol. 2019, 8, Q3034. [Google Scholar] [CrossRef]
- Cheng, Y.; Chang, S.; Yang, C.; Chang, S. Integration of bandgap-engineered double stacked channel layers with nitrogen doping for high-performance InGaO TFTs. Appl. Phys. Lett. 2019, 114, 192102. [Google Scholar] [CrossRef]
- Yan, B.; Ding, Y.; Li, T.; Qiu, H.; Shi, Y.; Liu, G.; Shan, F. Performance Enhancement of Thin-Film Transistor Based on In2O3:F/In2O3 Homojunction. IEEE Trans. Elec. Dev. 2023, 70, 105–112. [Google Scholar] [CrossRef]
- Zheng, M.; Abliz, A.; Wan, D. Design of different oxygen content and high performance bilayer In2O3 thin-film transistors at room temperature for flexible electronics. Appl. Surf. Sci. 2025, 681, 161510. [Google Scholar] [CrossRef]
- Chakraborty, W.; Ye, H.; Grisafe, B.; Lightcap, I.; Datta, S. Low Thermal Budget (<250 °C) Dual-Gate Amorphous Indium Tungsten Oxide (IWO) Thin-Film Transistor for Monolithic 3-D Integration. IEEE Trans. Elec. Dev. 2020, 67, 5336–5342. [Google Scholar] [CrossRef]
- Aabrar, K.; Kirtania, S.; Deng, S.; Choe, G.; Khan, A.; Yu, S.; Datt, S. Improved Reliability and Enhanced Performance in BEOL Compatible W-doped In2O3 Dual-Gate Transistor. In Proceedings of the 2023 International Electron Devices Meeting (IEDM), San Francisco, CA, USA, 9–13 December 2023. [Google Scholar] [CrossRef]
- Kwak, J.; Deng, S.; Zhang, C.; Jeong, G.; Phadke, O.; Kirtania, S.; Lee, J.; Datta, S.; Yu, S. Machine Learning-Assisted Compact Modeling of AC Stress-Induced Bias Temperature Instability in Top- and Bottom-Gate W-Doped In2O3 Channel Semiconductor Transistors. IEEE Trans. Elec. Dev. 2025, 72, 4163–4169. [Google Scholar] [CrossRef]
- Sun, J.; Bae, J.; Lim, T.; Jeong, M.; Nahar, S.; Kim, Y.; Jang, J. High Driving Capability of Dual Gate, Dual Sweep Amorphous InGaO Thin Film Transistor by N2O Plasma Treatment, Exhibiting Similar Drain Current to P-Type Poly-Si Device. Phys. Status Solidi A 2025, 222, 2400857. [Google Scholar] [CrossRef]
- Ye, C.; Li, J.; Hong, P.; Zhao, J.; Miao, X.; Li, X. High-Performance Atomic-Layer-Deposited Dual-Gate InGaO Thin Film Transistors. Nano Lett. 2025, 25, 8541−8546. [Google Scholar] [CrossRef] [PubMed]
- Choi, C.; Kim, T.; Kim, M.; Kim, G.; Oh, J.; Jeong, J. Double-gate structure enabling remote Coulomb scattering-free transport in atomic-layer-deposited IGO thin-film transistors with HfO2 gate dielectric through insertion of SiO2 interlayer. Sci. Rep. 2024, 14, 7623. [Google Scholar] [CrossRef] [PubMed]
- Tang, T.; Zessin, J.; Talnack, F.; Haase, K.; Ortstein, K.; Li, B.; Löffler, M.; Rellinghaus, B.; Hambsch, M.; Mannsfeld, S. Multimode Operation of Organic−Inorganic Hybrid Thin-Film Transistors Based on Solution-Processed Indium Oxide Films. ACS Appl. Mater. Interfaces 2021, 13, 43051−43062. [Google Scholar] [CrossRef]
- Wang, S.; Lin, Y.; Lee, L.; Chang, Y.; Tseng, R.; Weng, T.; He, Y.; Pan, Y.; Chou, T.; Chen, J.; et al. Reversible Charge Transfer Doping in Atomically Thin In2O3 by Viologens. ACS Appl. Mater. Interf. 2024, 16, 5302−5307. [Google Scholar] [CrossRef]
- Zhang, Z.; Xu, Y.; Huang, C.; Zhao, Y.; Zhu, J.; Shan, F. A Promising Passivation Strategy Using Polyimide for Enhancing the Performance of Metal Oxide Thin-Film Transistors. J. Electron. Mater. 2025, 54, 9209–9218. [Google Scholar] [CrossRef]
- Lin, K.; Teng, L.; Weng, T.; Lin, T.; Lin, J.; Wang, S.; Ho, P.; Woon, W.; Kei, C.; Chou, T.; et al. Suppressing Threshold Voltage Drift in Sub-2 nm In2O3 Transistors with Improved Thermal Stability. IEEE Elec. Dev. Lett. 2024, 45, 60–63. [Google Scholar] [CrossRef]
- Gao, T.; Hong, P.; Hu, K.; Miao, X.; He, Y. Superior High-Temperature Electrical Characteristics of ALD Ultrathin In2O3 Transistors. IEEE Elec. Dev. Lett. 2024, 45, 2407–2410. [Google Scholar] [CrossRef]
- Ghediya, P.; Magari, Y.; Sadahira, H.; Endo, T.; Furuta, M.; Zhang, Y.; Matsuo, Y.; Ohta, H. Reliable Operation in High-Mobility Indium Oxide Thin Film Transistors. Small Methods 2025, 9, 2400578. [Google Scholar] [CrossRef] [PubMed]
- Zhang, Z.; Lin, Z.; Si, M.; Zhang, D.; Dou, H.; Chen, Z.; Charnas, A.; Wang, H.; Ye, P. Vertically stacked multilayer atomic-layer-deposited sub-1-nm In2O3 field-effect transistors with back-end-of-line compatibility. Appl. Phys. Lett. 2022, 120, 202104. [Google Scholar] [CrossRef]
- Swisher, S.; Volkman, S.; Subramanian, V. Tailoring Indium Oxide Nanocrystal Synthesis Conditions for Air Stable High-Performance Solution-Processed Thin-Film Transistors. ACS Appl. Mater. Interfaces 2015, 7, 10069−10075. [Google Scholar] [CrossRef]
- Ding, Y.; Li, T.; Yan, B.; Liu, G.; Shan, F. Hydroxyl-induced stability and mobility enhancement for field effect transistor based on In2O3 nanofiber. Appl. Phys. Lett. 2022, 121, 263301. [Google Scholar] [CrossRef]
- Tian, L.; Dong, Y.; Miao, G.; Yin, Z.; Li, G.; Shan, F. Enhanced stability and mobility of aligned In2O3 nanofiber field-effect transistors with Y2O3 passivation. Appl. Phys. Lett. 2025, 126, 063301. [Google Scholar] [CrossRef]
- Liu, A.; Zhu, H.; Liu, G.; Noh, Y.; Fortunato, E.; Martins, R.; Shan, F. Draw Spinning of Wafer-Scale Oxide Fibers for Electronic Devices. Adv. Electron. Mater. 2018, 4, 1700644. [Google Scholar] [CrossRef]
- Zhang, D.; Miao, G.; Liu, G.; Shan, F. Flexible metal oxide thin-film transistors produced by a nanofiber-to-film process. J. Mater. Chem. C 2024, 12, 14031. [Google Scholar] [CrossRef]
- Chen, P.; Shen, G.; Chen, H.; Ha, Y.; Wu, C.; Sukcharoenchoke, S.; Fu, Y.; Liu, J.; Facchetti, A.; Marks, T.; et al. High-Performance Single-Crystalline Arsenic-Doped Indium Oxide Nanowires for Transparent Thin-Film Transistors and Active Matrix Organic Light-Emitting Diode Displays. ACS Nano 2009, 3, 3383–3390. [Google Scholar] [CrossRef]
- Peng, Z.; Shi, W.; Chen, S.; Shi, H.; Yan, X.; Liua, Z.; Lana, L.; Xua, M.; Lib, M.; Liu, L. High performance and illumination stable In2O3 nanofibers-based field effect transistors by doping praseodymium. Surf. Interf. 2022, 29, 101781. [Google Scholar] [CrossRef]
- Nodera, A.; Aikawa, S. In2O3-based thin-film transistors with a (400) polar surface for CO2 gas detection at 150 °C. Mater. Sci. Eng. 2024, 299, 117034. [Google Scholar] [CrossRef]
- Liang, C.; Cao, Z.; Hao, J.; Zhao, S.; Yu, Y.; Dong, Y.; Liu, H.; Huang, C.; Gao, C.; Zhou, Y.; et al. Gas Sensing Properties of Indium–Oxide–Based Field–Effect Transistor: A Review. Sensors 2024, 24, 6150. [Google Scholar] [CrossRef] [PubMed]
- Liang, C.; Wang, F.; Hao, J.; Wang, Z.; Jiang, W.; Yang, X.; Hu, W.; He, Y. Gate Voltage Regulation of Surface Properties in Polyethylenimine Doped Indium Oxide Transistors for Enhanced Detection of Low Concentration NO2 at Room Temperature. J. Phys. Chem. Lett. 2025, 16, 5236−5243. [Google Scholar] [CrossRef]
- Liang, C.; Hu, W.; Peng, D.; Zhang, P.; Wu, Y.; Yang, X.; Zhou, Y.; He, Y. Defect-passivated InGaZnO/In2O3 stacked thin film transistors with visible-light-assisted recovery for room-temperature ppb-level NO2 detection. J. Mater. Chem. C 2025, 13, 17333. [Google Scholar] [CrossRef]
- Han, J.; Gu, G.; Gao, Y.; Yu, N.; Zhou, W.; Wang, Y.; Kong, D.; Gao, Y.; Lu, G. Prototype Alarm Integrating Pulse-Driven Nitrogen Dioxide Sensor Based on Holey Graphene Oxide/In2O3. ACS Sens. 2024, 9, 5425−5435. [Google Scholar] [CrossRef]
- Zhang, T.; Li, Y.; Xu, T.; Zhang, H.; Yuan, Z.; Wang, H.; Zhuo, K. Room Temperature Sensing Properties of In2O3-MXene Composites to NO2. ACS Appl. Electron. Mater. 2024, 6, 6994−7002. [Google Scholar] [CrossRef]
- Jung, G.; Ju, S.; Choi, K.; Kim, J.; Hong, S.; Park, J.; Shin, W.; Jeong, Y.; Han, S.; Choi, W.; et al. Reconfigurable Manipulation of Oxygen Content on Metal Oxide Surfaces and Applications to Gas Sensing. ACS Nano 2023, 17, 17790−17798. [Google Scholar] [CrossRef]
- Yeom, G.; Park, J.; Park, M.; Hwang, J.; Lee, J. Novel floating-gate structure of In2O3 thin-film transistor-based gas sensor for improved gas sensing properties. Sens. Act. B Chem. 2025, 426, 137046. [Google Scholar] [CrossRef]
- Wu, M.; Hu, S.; Wu, Z.; Wang, Z.; Li, M.; Liu, X.; Jin, X.; Lee, J. Hydrogen Sensing Properties of FET-Type Sensors with Pt-In2O3 at Room Temperature. Chemosensors 2024, 12, 32. [Google Scholar] [CrossRef]
- Wang, Y.; Agrahari, K.; Chen, J.; Ye, Z.; Wang, W.; Ou, H.; Huang, C.; Chen, S. High-Sensitivity ISFETs Enabled by Solution-Processed Indium Oxide and Nanoimprint Transferring Techniques. ACS Appl. Electron. Mater. 2025, 7, 7631−7639. [Google Scholar] [CrossRef]
- Park, J.; Rim, Y. Liquid-solid interface engineering of ultrathin and solution-processed indium oxide-based electrolyte gated transistors by gallium doping. ACS Appl. Electron. Mater. 2024, 6, 1181–1188. [Google Scholar] [CrossRef]
- Wang, Y.; Wu, F.; Wang, X.; Ding, S.; Zhang, W.; Jiang, J.; Tan, Y. Fabrication of high-performance dual-gate ISFET pH sensors using In nano-channel. Curr. Res. Biotechnol. 2023, 6, 100149. [Google Scholar] [CrossRef]
- Wang, R.; Cai, Z.; Zhu, H.; Wang, L.; Tan, Y.; Zhu, Z.; He, H.; He, Y.; Chang, G. In2O3 electrochemical transistors based on PtAu4/RGO nanocomposites functionalized gate for highly sensitive nitrite detection. J. Electroanal. Chem. 2024, 971, 118572. [Google Scholar] [CrossRef]
- Feng, J.; Choi, J.; Zhang, X.; Park, J.; Bae, J. Effects of iodine doping on structural and electrical characteristics of solution-processed indium oxide thin-film transistors and its potential application for iodine sensing. J. Kor. Phys. Soc. 2024, 85, 66–75. [Google Scholar] [CrossRef]
- Li, L.; Li, J.; Zhang, Z.; Wang, Z.; Wen, S.; Yang, Q.; Zhang, J. Electrospun-Aligned Gd-Doped In2O3 Nanofiber Field-Effect Transistors for Artificial DNA Detection. J. ACS Appl. Nano Mater. 2023, 6, 7510−7518. [Google Scholar] [CrossRef]
- Ren, H.; Zhang, S.; Li, D.; Tang, Y.; Chen, Y.; Wang, Y.; Liu, G.; Li, F.; Liu, L.; Huang, Q.; et al. Wearable and Multiplexed Biosensors based on OxideField-Effect Transistors. Small Methods 2024, 8, 2400781. [Google Scholar] [CrossRef] [PubMed]
- Zhao, Z.; Mallon, K.; Chen, M.; Cui, D.; Tian, F.; Bawardi, S.A.; Alsaggaf, S.; Amer, M.R.; Watson, M.A.; White, M.A.; et al. In2O3 Nanoribbon-Based Field-Effect Transistor Biosensors for Ultrasensitive Detection of Exosomal Circulating micro RNA with Peptide Nucleic Acid Probes. ACS Nano 2025, 19, 29726−29736. [Google Scholar] [CrossRef]
- Dobhal, R.; Liu, Y.; Chiu, J.; Sung, H.; Wu, Y.; Fan, Y.; Gracia, J.; Ma, R.; Fujiwara, H.; Liu, C. Amorphous In2 O3 FeFET-like devices by interface dipoles. Appl. Phys. Lett. 2025, 126, 112102. [Google Scholar] [CrossRef]
- Li, Q.; Wang, S.; Li, Z.; Hu, X.; Liu, Y.; Yu, J.; Yang, Y.; Wang, T.; Meng, J.; Sun, Q.; et al. High-performance ferroelectric field-effect transistors with ultra-thin indium tin oxide channels for flexible and transparent electronics. Nat. Commun. 2024, 15, 2686. [Google Scholar] [CrossRef]
- Wang, S.; Hu, X.; Qian, B.; Yu, J.; Li, Z.; Sun, Q.; Zhang, D.; Li, Q.; Chen, L. High Linearity and Symmetry Ferroelectric Artificial Neuromorphic Devices Based on Ultrathin Indium-Tin-Oxide Channels. Adv. Electron. Mater. 2025, 11, 2500078. [Google Scholar] [CrossRef]
- Chen, J.; Li, J.; Zhang, Q.; Xiong, S. High-Performance Ferroelectric Field-Effect Transistors Based on Ultrathin Indium Oxide for Neuromorphic Computing. ACS Nano 2025, 19, 19706–19714. [Google Scholar] [CrossRef]
- Du, Y.; Xiao, W.; Miao, G.; Yin, Z.; Ci, R.; Liu, G.; Shan, F. Solution-processed LiGdO solid electrolyte for an In2O3 synaptic transistor and its application in neuromorphic computing. J. Mater. Chem. C 2025, 13, 1318–1324. [Google Scholar] [CrossRef]
- Li, P.; Song, H.; Sa, Z.; Liu, F.; Wang, M.; Wang, G.; Wan, J.; Zang, Z.; Jiang, J.; Yang, Z. Tunable synaptic behaviors of solution-processed InGaO films for artificial visual systems. Mater. Horiz. 2024, 11, 4979. [Google Scholar] [CrossRef]
- Li, D.; Ren, H.; Chen, Y.; Tang, Y.; Liang, K.; Wang, Y.; Li, F.; Liu, G.; Meng, L.; Zhu, B. Bidirectionally Photoresponsive Optoelectronic Transistors with Dual Photogates for All-Optical-Configured Neuromorphic Vision. Adv. Funct. Mater. 2023, 33, 2303198. [Google Scholar] [CrossRef]
- Lee, H.; Islam, M.; Bae, J.; Jeong, M.; Roy, S.; Lim, T.; Rabbi, M.; Jang, J. A Coplanar Crystalline InGaO Thin Film Transistor with SiO2 Gate Insulator on ZrO2 Ferroelectric Layer: A NewFerroelectric TFT Structure. Adv. Mater. Technol. 2025, 10, 2401075. [Google Scholar] [CrossRef]
- Phadke, O.; Aabrar, K.; Choe, G.; Luo, G.; Kirtania, S.; Khan, A.; Datta, S.; Yu, S. Effect of DC Stress on Low-Frequency Noise Characteristics of W-Doped In2O3 BEOL Transistors. IEEE Trans. Elec. Dev. 2025, 72, 1489–1493. [Google Scholar] [CrossRef]
- Qiu, H.; Hao, D.; Li, H.; Shi, Y.; Dong, Y.; Liu, G.; Shan, F. Transparent and biocompatible In2O3 artificial synapses with lactose–citric acid electrolyte for neuromorphic computing. Appl. Phys. Lett. 2022, 121, 183301. [Google Scholar] [CrossRef]
- Zahid, M.; Wang, J.; Gong, J.; Aslam, F.; Sadiq, M.; Jin, C.; Liu, W.; Xu, Y.; Yang, J.; Sun, J. Ion gel GI with In2O3 Birdlike multisensory integrated oxide transistors for motion perception. Nano Energy 2025, 140, 111045. [Google Scholar] [CrossRef]
- Bian, J.; Geng, S.; Dong, S.; Yu, T.; Fan, S.; Xu, T.; Su, J. High precision of sign language recognition based on In2O3 transistors gated by AlLiO solid electrolyte. Nanotechnology 2024, 35, 085201. [Google Scholar] [CrossRef]
- Liu, C.; Shen, X.; Fan, S.; Xu, T.; Zhang, J.; Su, J. Synaptic Characteristics and Neuromorphic Computing Enabled by Oxygen Vacancy Migration Based on Porous In2O3 Electrolyte-Gated Transistors. ACS Appl. Electron. Mater. 2023, 5, 4657−4666. [Google Scholar] [CrossRef]
- Jin, C.; Liu, W.; Xu, Y.; Huang, Y.; Nie, Y.; Shi, X.; Zhang, G.; He, P.; Zhang, J.; Cao, H.; et al. Artificial Vision Adaption Mimicked by an Optoelectrical In2O3 Transistor Array. J. Nano Lett. 2022, 22, 3372−3379. [Google Scholar] [CrossRef]
- Faber, H.; Das, S.; Lin, Y.; Pliatsikas, N.; Zhao, K.; Kehagias, T.; Dimitrakopulos, G.; Amassian, A.; Patsalas, P.; Anthopoulos, T. Heterojunction oxide thin-film transistors with unprecedented electron mobility grown from solution. Sci. Adv. 2017, 3, e1602640. [Google Scholar] [CrossRef]
- Li, Z.; Li, T. Effect of Layer Thickness on the Transport Properties of ALD-deposited ZnO/In2O3 Heterojunction Thin-film Transistors. In Proceedings of the 2024 IEEE 17th International Conference on Solid-State & Integrated Circuit Technology (ICSICT), Zhuhai, China, 16 January 2024. [Google Scholar] [CrossRef]
- Ghamdi, W.; Liu, C.; Fakieh, A.; Faber, H.; Salama, K.; Lin, Y.; Anthopoulos, T. Impact of layer thickness on the operating characteristics of In2O3/ZnO heterojunction thin-film transistors. Appl. Phys. Lett. 2022, 121, 233503. [Google Scholar] [CrossRef]
- Saha, J.; Jang, J. Saturation Mobility of 100 cm2V−1s−1 in ZnO Thin-Film Transistors through Quantum Confinement by a Nanoscale In2O3 Interlayer Using Spray Pyrolysis. ACS Nano 2024, 18, 30484−30496. [Google Scholar] [CrossRef] [PubMed]
- Wang, Z.; Zhao, J.; Li, Y.; Jiang, K.; Chen, Z.; Wang, C.; Yi, G.; Cai, K.; Lin, Z.; Zheng, L.; et al. In2O3–ZnO Superlattice Transistors by Atomic Layer Deposition With High Field-Effect Mobility. IEEE Elec. Dev. Lett. 2025, 46, 4125–4415. [Google Scholar] [CrossRef]
- Khim, D.; Lin, Y.; Nam, S.; Faber, H.; Tetzner, K.; Li, R.; Zhang, Q.; Li, J.; Zhang, X.; Anthopoulos, T. Modulation-Doped In2O3/ZnO Heterojunction Transistors Processed from Solution. Adv. Mater. 2017, 29, 1605837. [Google Scholar] [CrossRef]
- Tang, T.; Dacha, P.; Haase, K.; Kreß, J.; Hänisch, C.; Perez, J.; Krupskaya, Y.; Tahn, A.; Pohl, D.; Schneider, S.; et al. Analysis of the Annealing Budget of Metal Oxide Thin-Film Transistors Prepared by an Aqueous Blade-Coating Process. Adv. Funct. Mater. 2023, 33, 2207966. [Google Scholar] [CrossRef]
- Seul, H.; Kim, M.; Yang, H.; Cho, M.; Cho, M.; Song, W.; Jeong, J. Atomic Layer Deposition Process-Enabled Carrier Mobility Boosting in Field-Effect Transistors through a Nanoscale ZnO/IGO Heterojunction. ACS Appl. Mater. Interfaces 2020, 12, 33887−33898. [Google Scholar] [CrossRef]
- Huang, T.; Cao, J.; Yu, Z.; Zhang, Y.; Xu, W.; Yang, G.; Sun, W.; Wu, W. Positive bias stress reliability of InSnO TFTs: Analysis and Improvement strategies. Appl. Surf. Sci. 2025, 697, 163061. [Google Scholar] [CrossRef]
- Park, C.; Jeon, S.; Park, J.; Park, H.; Kim, D.; Yang, S.; Kim, G.; Jo, J.; Oh, M.; Kim, M.; et al. High-performance ITO/a-IGZO heterostructure TFTs enabled by thickness-dependent carrier concentration and band alignment manipulation. Ceram. Int. 2023, 49, 5905–5914. [Google Scholar] [CrossRef]
- Wen, P.; Peng, C.; Ding, X.; Chen, F.; Yan, G.; Xu, L.; Li, J.; Li, X.; Zhang, J. High mobility crystallized stacked-channel thin-film transistors induced by low-temperature thermal annealing. Appl. Phys. Lett. 2025, 126, 023506. [Google Scholar] [CrossRef]
- Gui, Z.; Zou, K.; Xu, M.; Chen, L.; Peng, C.; Li, X.; Zhang, J. High Mobility and Excellent Stability of Solution-Processed Heterojunction-Channel IGO/AIGO TFT. ACS Appl. Electron. Mater. 2025, 7, 3372−3381. [Google Scholar] [CrossRef]
- Xu, M.; Zhao, X.; Ha, T.; Chen, L.; Li, X.; Zhang, J. Enhanced high overall performance of solution-processed ITO/IGO thin-film transistor via heterogeneous-bilayer channel. J. Mater. Sci. 2025, 60, 14586–14594. [Google Scholar] [CrossRef]
- Chen, R.; Liu, C.; Wu, J.; Zhang, L.; Wang, M. Achieving high-mobility and stable InGaO thin-film transistors by stacking InGaO films. Jpn. J. Appl. Phys. 2025, 64, 080904. [Google Scholar] [CrossRef]
- He, F.; Wang, Y.; Yuan, H.; Lin, Z.; Su, J.; Zhang, J.; Chang, J.; Hao, Y. Solution processed In2O3/IGO heterojunction thin film transistors with high carrier concentration. Ceram. Int. 2021, 47, 35029–35036. [Google Scholar] [CrossRef]
- Kang, J.; Hu, Q.; Gu, C.; Zhu, S.; Zeng, M.; Li, Q.; Fu, T.; Wu, Y. Investigation of Physical Limits of Low Temperature Subthreshold Swing in Indium-Tin-Oxide Transistors. IEEE Elec. Dev. Lett. 2025, 46, 995–998. [Google Scholar] [CrossRef]
- Wu, J.; Guo, M.; Wu, Q.; Han, S.; Lu, X.; Liang, X.; Liu, C. Achieving high mobility and enhanced illumination stability in InPrO homojunction thin-film transistors. Appl. Phys. Lett. 2025, 126, 093502. [Google Scholar] [CrossRef]
- He, J.; Li, G.; Lv, Y.; Wang, C.; Liu, C.; Li, J.; Flandre, D.; Chen, H.; Guo, T.; Liao, L. Defect Self-Compensation for High-Mobility Bilayer InGaZnO/In2O3 Thin-Film Transistor. Adv. Electron. Mater. 2019, 5, 1900125. [Google Scholar] [CrossRef]
- Han, Z.; Abliz, A. Investigation of the electrical performance and carrier transport mechanism for heterostructured bilayer In2O3/InGaSnO thin-film transistors. Appl. Phys. Lett. 2024, 125, 233502. [Google Scholar] [CrossRef]
- Zhang, Q.; Xia, G.; Li, H.; Sun, Q.; Gong, H.; Wang, S. Solution-processed bilayer InGaZnO/In2O3 thin film transistors at low temperature by lightwave annealing. Nanotechnology 2024, 35, 125202. [Google Scholar] [CrossRef]
- Yu, X.; Zhou, N.; Smith, J.; Lin, H.; Stallings, K.; Yu, J.; Marks, T.; Facchetti, A. Synergistic Approach to High-Performance Oxide Thin Film Transistors Using a Bilayer Channel Architecture. ACS Appl. Mater. Interfaces 2013, 5, 7983−7988. [Google Scholar] [CrossRef]
- Li, P.; Ma, J.; Wang, H.; Liu, W.; Ju, Z.; Li, B.; Xu, H.; Liu, Y. Heterojunction Thin-Film Transistors for UV-C Photodetection. IEEE Elec. Dev. Lett. 2023, 44, 432–435. [Google Scholar] [CrossRef]
- Xu, W.; Zhou, J.; Lin, J.; Wu, C.; Li, Y.; Lan, S. High-Performance 2D C-Axis-Aligned Crystalline Oxide Semiconductor Heterostructure Transistors via Aqueous Solution Deposition. Adv. Electron. Mater. 2025, 11, 2400986. [Google Scholar] [CrossRef]
- Kim, D.; Oh, H.; Yang, H.; Kho, J.; Kim, Y.; Kuh, B.; Park, J. Thermally Stable Crystalline InGaO Channels via Optimized ALD for Advanced DRAM Applications. ACS Appl. Electron. Mater. 2025, 7, 5304−5315. [Google Scholar] [CrossRef]
- Ryu, S.; Kim, H.; Kim, D.; Park, J. Highly C-axis Aligned ALD-InGaO Channel Improving Mobility and Thermal Stability for Next-Generation 3D Memory Devices. Adv. Electron. Mater. 2025, 11, 2400377. [Google Scholar] [CrossRef]
- Lin, J.; Zhang, Z.; Lin, Z.; Niu, C.; Zhang, Y.; Zhang, Y.; Kim, T.; Jang, H.; Sung, C.; Hong, M.; et al. First Demonstration of Top-Gate Enhancement Mode ALD In2O3 FETs With High Thermal Budget of 600 °C for DRAM Applications. IEEE Elec. Dev. Lett. 2024, 45, 1851–1854. [Google Scholar] [CrossRef]
- Phadke, O.; Kirtania, S.; Chakraborty, D.; Yu, S. Suppressed Capacitive Coupling in 2 Transistor Gain Cell with Oxide Channel and Split Gate. IEEE Trans. Elec. Dev. 2024, 71, 6749–6755. [Google Scholar] [CrossRef]
- Yuvaraja, S.; Isaac, G.; García, M.; Faber, H.; Kumar, M.; Xiao, N.; Tang, X.; Anthopoulos, T.; Li, X. Three-dimensional integrated metal-oxide transistors. Nat. Elec. 2024, 7, 768–776. [Google Scholar] [CrossRef]
- Yamazaki, S.; Kurata, M.; Isaka, F.; Ohno, T.; Egi, Y.; Tezuka, S.; Sawai, H.; Motoyoshi, R.; Asano, E.; Saito, S.; et al. High-performancesingle-crystalline In2O3 field effect transistor toward three dimensional large-scale integration circuits. Commun. Mater. 2024, 5, 184. [Google Scholar] [CrossRef]
- Lin, Z.; Zhang, Z.; Dou, H.; Xu, K.; Islam, M.; Lin, J.; Sung, C.; Hong, M.; Ha, D.; Ye, P. Highly Robust All-Oxide Transistors Toward Vertical Logic and Memory. IEEE Trans. Elec. Dev. 2024, 71, 7984–7991. [Google Scholar] [CrossRef]
- Zheng, D.; Alajlouni, S.; Zhang, J.; Zhang, Z.; Si, M.; Lin, J.; Feygelson, T.; Tadjer, M.; Shakouri, A.; Ye, P. Transient Thermal and Electrical Co-Optimization of BEOL Top-Gated ALD In2O3 FETs Toward Monolithic 3-D Integration. IEEE Trans. Elec. Dec. Lett. 2023, 70, 2052–2058. [Google Scholar] [CrossRef]
- Kumar, M.; Yuvaraja, S.; Xiao, N.; Rajbhar, M.; Mainali, G.; Khandelwal, V.; Tang, X.; Li, X. Integration of low-thermal-budget In2O3 NMOS inverter and GaN HEMT for power electronics. Appl. Phys. Lett. 2024, 124, 113504. [Google Scholar] [CrossRef]
- Sarkar, E.; Zhang, C.; Chakraborty, D.; Kirtania, S.; Aabrar, K.; Park, H.; Shin, J.; Lee, H.; Tian, M.; Khan, A.; et al. First Demonstration of High-Performance and Extremely Stable W-Doped In2O3 Gate-All-Around (GAA) Nanosheet FET. IEEE Trans. Elec. Dev. 2025, 72, 2662–2669. [Google Scholar] [CrossRef]













| Preparation Method | Process Temperature (°C) | Mobility (cm2/Vs) | Lch | Best Dopant |
|---|---|---|---|---|
| Spin-coating | 200–300 | 0.1–10 | >µm | Sn, Ga |
| Spray-coating | >350 | 30–50 | Down to ~1 µm | Ga |
| Vacuum process (ALD) | <250 | 80–150 | Down to nm | W, H |
| SPC | <250 | ~100 | >µm | H |
| Dopant | Purpose |
|---|---|
| H | Mobility, Crystal size |
| Lanthanides | NBIS stability |
| Ga | Mobility, amorphization |
| Sn | Mobility, high frequency operation |
| W, Li | Mobility |
| Mo, Hf, Sb, Si, B, S | Amorphization Vth, On/Off ratio, S.S. control and improvement Reduction of carrier concentration |
| PEI, PEIE | Mobility |
Disclaimer/Publisher’s Note: The statements, opinions and data contained in all publications are solely those of the individual author(s) and contributor(s) and not of MDPI and/or the editor(s). MDPI and/or the editor(s) disclaim responsibility for any injury to people or property resulting from any ideas, methods, instructions or products referred to in the content. |
© 2025 by the authors. Licensee MDPI, Basel, Switzerland. This article is an open access article distributed under the terms and conditions of the Creative Commons Attribution (CC BY) license (https://creativecommons.org/licenses/by/4.0/).
Share and Cite
Avis, C.; Jang, J. In2O3: An Oxide Semiconductor for Thin-Film Transistors, a Short Review. Molecules 2025, 30, 4762. https://doi.org/10.3390/molecules30244762
Avis C, Jang J. In2O3: An Oxide Semiconductor for Thin-Film Transistors, a Short Review. Molecules. 2025; 30(24):4762. https://doi.org/10.3390/molecules30244762
Chicago/Turabian StyleAvis, Christophe, and Jin Jang. 2025. "In2O3: An Oxide Semiconductor for Thin-Film Transistors, a Short Review" Molecules 30, no. 24: 4762. https://doi.org/10.3390/molecules30244762
APA StyleAvis, C., & Jang, J. (2025). In2O3: An Oxide Semiconductor for Thin-Film Transistors, a Short Review. Molecules, 30(24), 4762. https://doi.org/10.3390/molecules30244762
