Isolation, Total Synthesis and Anti-Diabetic Activity of Filiforidine from Cassytha filiformis
Abstract
1. Introduction
2. Results and Discussion
2.1. Extraction and Identification of Filiforidine
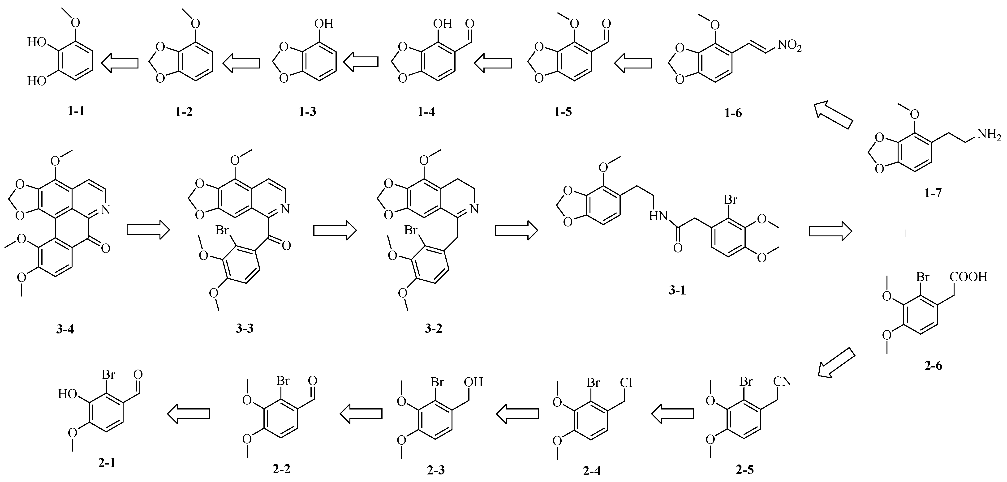
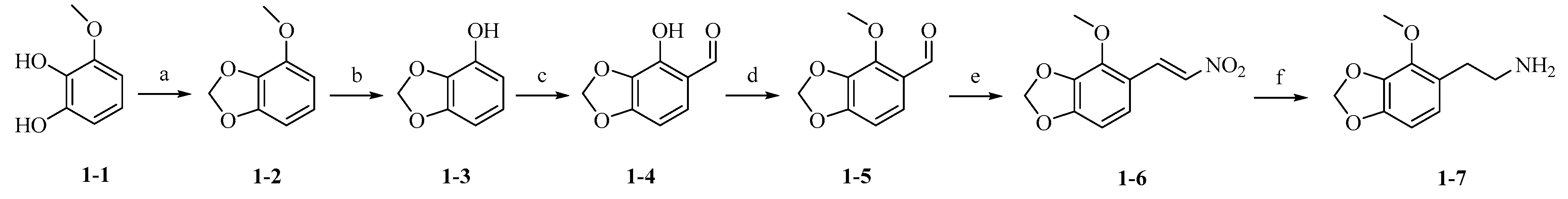
2.2. Total Synthesis of Filiforidine
2.3. Filiforidine Potently Stimulates Glucose Consumption and Shows No Cytotoxicity in HL-7702 Cells
3. Materials and Methods
3.1. General
3.2. Plant Material
3.3. Extraction and Isolation of Filiforidine
3.4. Structural Identification of Filiforidine
3.5. Total Synthesis of Filiforidine
3.5.1. Methoxy-1,3-benzodioxole (1-2)
3.5.2. 1,3-Benzodioxol-4-ol (1-3)
3.5.3. 4-Hydroxy-1,3-benzodioxole-5-carbaldehyde (1-4)
3.5.4. 4-Methoxy-1,3-benzodioxole-5-carbaldehyde (1-5)
3.5.5. (E)-4-Methoxy-5-(2-nitrovinyl)-1,3-benzodioxole (1-6)
3.5.6. β-(2-Methoxy-3,4-methylenedioxyphenyl) ethylamine (1-7)
3.5.7. 2-Bromo-3,4-dimethoxybenzaldehyde (2-2)
3.5.8. 2-Bromo-3,4-dimethoxybenzyl alcohol (2-3)
3.5.9. 2-Bromo-1-(chloromethyl)-3,4-dimethoxybenzene (2-4)
3.5.10. 2-(2-Bromo-3,4-dimethoxyphenyl) acetonitrile (2-5)
3.5.11. 2-(2-Bromo-3,4-dimethoxyphenyl) acetic acid (2-6)
3.5.12. N-[2-(4-Methoxy-1,3-methylenedioxyphenyl-5-yl)ethyl]-3,4-dimethoxy-2-bromophenethylamide (3-1)
3.5.13. 5-[(2-Bromo-3,4-dimethoxyphenyl) methyl]-9-methoxy-7,8-dihydro-[1,3]dioxolo [4,5-g]isoquinoline (3-2)
3.5.14. (2-Bromo-3,4-dimethoxyphenyl) (9-methoxy-[1,3]dioxolo[4,5-g] isoquinolin-5-yl) methanone (3-3)
3.5.15. 3,10,11-Trimethoxy-1,2-methylenedioxy-7-oxoaporphine (Filiforidine, 3-4)
3.6. Cytotoxicity Assay
3.7. Glucose Consumption Assay
3.8. Statistical Analysis
4. Conclusions
Supplementary Materials
Author Contributions
Funding
Institutional Review Board Statement
Informed Consent Statement
Data Availability Statement
Conflicts of Interest
References
- Bysani, M.; Agren, R.; Davegårdh, C.; Colkov, P.; Rönn, T.; Unneberg, P.; Bacos, K.; Ling, C. ATAC-seq reveals alterations in open chromatin in pancreatic islets from subjects with type 2 diabetes. Sci. Rep. 2019, 9, 7785. [Google Scholar] [CrossRef]
- Singh, A.; Shadangi, S.; Gupta, P.K.; Rana, S. Type 2 diabetes mellitus: A comprehensive review of pathophysiology, comorbidities, and emerging therapies. Compr. Physiol. 2025, 15, e70003. [Google Scholar] [CrossRef]
- I.D.F. Diabetes Atlas, 11th ed.; I.D.F.: Tel Aviv, Israel, 2025. [Google Scholar]
- Zhou, Q.; Melton, D.A. Pancreas regeneration. Nature 2018, 557, 351–358. [Google Scholar] [CrossRef] [PubMed]
- Belete, T.M. A recent achievement in the discovery and development of novel targets for the treatment of type-2 diabetes mellitus. J. Exp. Pharmacol. 2020, 12, 1–15. [Google Scholar] [CrossRef]
- Huang, Y.; Xu, W.; Dong, W.; Chen, G.; Sun, Y.; Zeng, X. Anti-diabetic effect of dicaffeoylquinic acids is associated with the modulation of gut microbiota and bile acid metabolism. J. Adv. Res. 2025, 72, 17–35. [Google Scholar] [CrossRef] [PubMed]
- Wu, Y.; Huang, L.; Xu, Y.; Zhang, Y.; Nie, L.; Kang, S.; Wei, F.; Ma, S. Rapid and accurate detection of cinnamon oil adulteration in perilla leaf oil using atmospheric solids analysis probe-mass spectrometry. Food Chem. 2025, 462, 140965. [Google Scholar] [CrossRef] [PubMed]
- Zhang, Y.; Cao, Y.; Wang, F.; Wang, L.; Xiong, L.; Shen, X.; Song, H. Polysaccharide from Momordica charantia L. Alleviates Type 2 Diabetes Mellitus in Mice by Activating the IRS1/PI3K/Akt and AMPK Signaling Pathways and Regulating the Gut Microbiota. J. Agric. Food Chem. 2025, 73, 7298–7309. [Google Scholar] [CrossRef]
- Newman, D.J.; Cragg, G.M. Natural products as aources of new drugs over the nearly four decades from 01/1981 to 09/2019. J. Nat. Prod. 2020, 83, 770–803. [Google Scholar] [CrossRef]
- Shen, Z. Research progress of total alkaloids of Mulberry Twig in the treatment of diabetes mellitus. Chin. J. Pharmacol. Toxicol. 2021, 35, 725. [Google Scholar]
- Mythili, S.; Sathiavelu, A.; Sridharan, T.B. Evaluation of antioxidant activity of Cassytha filiformis. Int. J. Appl. Biol. Pharm. Technol. 2011, 2, 380–385. [Google Scholar]
- Cheng, T. Effect of alkaloids from Cassytha filiformis on mice hepatocellular carcinoma. Fujian Norm. Univ. 2011, 28, 59–64. [Google Scholar]
- Hoet, S.; Stévigny, C.; Block, S.; Opperdoes, F.; Colson, P.; Bladeyrou, B.; Lansiaux, A.; Bailly, C.; Quetin-leclercq, J. Alkaloids from Cassytha filiformis and related aporphines: Antitrypanosomal activity, cytotoxicity, and interaction with DNA and topoisomerases. Planta Med. 2004, 70, 407–413. [Google Scholar]
- Ezeigbo, I.; Asuzu, I.U. Preliminary evaluation of the antihyperglycaemic properties of medicinal plants in Nsukka Area, Enugu State, Nigeria. Int. J. Curr. Res. 2010, 5, 6–8. [Google Scholar]
- Chang, F.R.; Chao, Y.C.; Teng, C.M.; Wu, Y.C. Chemical constituents from Cassytha filiformis II. J. Nat. Prod. 1998, 61, 863–866. [Google Scholar] [CrossRef]
- Zhang, C.Y.; Lin, Y.R.; Xie, L.C.; Wang, Y.R.; Xie, Z.R.; Dong, L.; Fu, Y.H. Three new aporphine alkaloids with glucose consumption increase activity from Cassytha filiformis. Molecules 2025, 30, 4544. [Google Scholar] [CrossRef] [PubMed]
- Liu, X.; Sun, Y.; Dou, L.; Wu, Y.N.; Tan, Y.F.; Dong, L.; Zhang, X.P. Research progress in anti-diabetic activities of aporphine alkaloids. Prog. Pharm. Sci. 2017, 41, 704–709. [Google Scholar]
- Liao, Y.C.; Yeh, C.C.; Chueh, Y.F.; Huang, M.S.; Wu, J.S.; Wen, Y.X.; Chang, Y.T.; Lai, Y.R.; Chen, J.J.; Chang, T.H. Effects of the oxoaporphine alkaloid hernandonine on dengue virus. Evidence for its mechanisms of action. Phytomedicine 2024, 134, 155986. [Google Scholar] [CrossRef] [PubMed]
- Chen, J.Q.; Jin, C.; Xu, B.L.; Shu, J.C.; Shao, F.; Yuan, C.J.; Li, F.Q.; Huang, L.P.; Huang, H.L. New compounds from the stems of Fissistigma oldhamii var. longistipitatum and their cytotoxic activities. Fitoterapia 2021, 151, 104883. [Google Scholar] [CrossRef]
- Granchelli, F.E.; Neumeyer, J.L. Approaches to the synthesis of 7-hydroxyaporphines: Stereoselective synthesis of (±)-10,11-dimethoxy-7-oxoaporphine, (±)-7-hydroxyaporphine and (±)-7-hydroxynoraporphine. Tetrahedron 1974, 30, 3701–3707. [Google Scholar] [CrossRef]
- Castillo, P.; Rodriguez-Ubis, J.C.; Rodriguez, F. A high-yield method for the methylenation ofo-dihydroxyaromatic compounds: Synthesis of methylenedioxycoumarins. Synthesis 1986, 1986, 839–840. [Google Scholar] [CrossRef]
- Al-Awar, R.; Isaac, M.; Chau, A.M.; Mamai, I.; Watson, G.; Poda, P.; Subramanian, B.; Wilson, D.; Uehling, M.; Prakesch, B.; et al. Preparation of Substituted Pyrrolopyrimidinylacetamides as Inhibitors of the BCL6 BTB Domain Protein-Protein Interaction and Uses Thereof. WIPO Patent 2019153080A1, 15 August 2019. [Google Scholar]
- Kirkpatrick, L.D.; Indarte, M.; Ihle, N.T. Methods and Compositions for Inhibiting CNKSR1. U.S.Patent Application US20150307482A1, 29 October 2015. [Google Scholar]
- Rao, D.H.S.; Shivani, K.; Padhi, S.K. Immobilized arabidopsis thaliana hydroxynitrile lyase-catalyzed retro-henry reaction in the synthesis of (S)-β-nitroalcohols. Appl. Biochem. Biotechnol. 2021, 193, 560–576. [Google Scholar] [CrossRef]
- Liu, M.; Gui, D.; Deng, P.; Zhou, H. Asymmetric Henry Reaction of 2-Acylpyridine N-Oxides Catalyzed by a Ni-Aminophenol Sulfonamide Complex: An Unexpected Mononuclear Catalyst. Molecules 2019, 24, 1471. [Google Scholar] [CrossRef]
- Zhu, R.R.; Hou, X.Q.; Du, D.M. Squaramide-catalyzed asymmetric mannich/hemiketalization retro-henry cascade reaction of o-hydroxy-alpha-aminosulfones with alpha-nitroketones. J. Org. Chem. 2025, 90, 1877–2888. [Google Scholar] [CrossRef] [PubMed]
- Mahmoud, A.G.; Guedes da Silva, M.F.C.; Sliwa, E.I.; Śliwa, E.; Smoleńskiet, P.; Kuznetsov, M.L.; Pombeiro, A.J.L. Copper (II) and sodium (I) complexes based on 3,7-diacetyl-1,3,7-triaza-5-phosphabicyclo [3.3.1] nonane-5-oxide: Synthesis, characterization, and catalytic activity. Chem. Asian J. 2018, 13, 2868–2880. [Google Scholar] [CrossRef] [PubMed]
- Kopylovich, M.N.; Mizar, A.; Guedes da Silva, M.F.C.; Leod, T.C.O.; Mahmudov, K.T.; Pombeiro, A.J.L. Template syntheses of copper (II) complexes from arylhydrazones of malononitrile and their catalytic activity towards alcohol oxidations and the nitroaldol reaction: Hydrogen bond-assisted ligand liberation and E/Z isomerisation. Chemistry 2013, 19, 588–600. [Google Scholar] [CrossRef] [PubMed]
- Li, C.; Tang, H.; Fang, Y.; Xiao, Z.F.; Wang, K.Y.; Wu, X.; Niu, H.L.; Zhu, C.F.; Zhou, H.C. Bottom-up assembly of a highly efficient metal-organic framework for cooperative catalysis. Inorg. Chem. 2018, 57, 13912–13919. [Google Scholar] [CrossRef]
- Colligs, V.; Hansen, S.P.; Imbri, D.; Seo, E.J.; Kadioglu, O.; Efferth, T.; Opatz, T. Synthesis and biological evaluation of a D-ring-contracted analogue of lamellarin D. Bioorg. Med. Chem. Lett. 2017, 25, 6137–6148. [Google Scholar] [CrossRef]
- Leese, M.P.; Jourdan, F.L.; Major, M.R.; Dhle, W.; Hamel, E.; Ferrandis, E.; Fiore, A.; Kasprzyk, P.G.; Potter, B.V.L. Tetrahydroisoquinolinone-based steroidomimetic and chimeric microtubule disruptors. Chem. Med. Chem. 2014, 9, 85–108. [Google Scholar] [CrossRef]
- Ding, Y.Y.; Zhou, H.; Deng, P.; Zhang, B.Q.; Zhang, Z.J.; Wang, G.H.; Zhang, S.Y.; Wu, Z.R.; Wang, Y.R.; Liu, Y.Q. Antimicrobial activiity of natural and semi-synthetic carbazole alkaloids. Eur. J. Med. Chem. 2023, 259, 115627. [Google Scholar] [CrossRef]
- Parhi, A.; Lu, S.; Kelley, C.; Kaul, M.; Pilch, D.S.; LaVoie, E.J. Antibacterial activity of substituted dibenzo[a,g]quinolizin-7-ium derivatives. Bioorg. Med. Chem. Lett. 2012, 22, 6962. [Google Scholar] [CrossRef]
- Weinstock, J.; Ladd, L.D.; Wilson, W.J.; Brush, C.K.; Yim, N.C.; Gallagher, G., Jr.; McCarthy, M.E.; Silvestri, J.; Sarau, H.M.; Flaim, K.E. Synthesis and renal vasodilator activity of some dopamine agonist 1-aryl-2,3,4,5-tetrahydro-1H-3-benzazepine-7,8-diols: Halogen and methyl analogs of fenoldopam. J. Med. Chem. 2002, 29, 2315–2325. [Google Scholar]
- Sharma, V.; Jaiswal, P.K.; Kumar, S.; Mathur, M.; Swami, A.K.; Yadav, D.K.; Chaudhary, S. Discovery of aporphine analogues as potential antiplatelet and antioxidant agents: Design, synthesis, structure-activity relationships, biological evaluations, and in silico molecular docking studies. Chem. Med. Chem. 2018, 13, 1817–1832. [Google Scholar] [CrossRef]
- Skiles, J.W.; Cava, M.P. Subsessiline: Structure revision and synthesis. J. Org. Chem. 1979, 44, 409–412. [Google Scholar] [CrossRef]
- Zheng, B.; Qu, H.Y.; Meng, T.Z.; Lu, X.; Zheng, J.; He, Y.G.; Fan, Q.Q.; Shi, X.X. Novel total syntheses of oxoaporphine alkaloids enabled by mild Cu-catalyzed tandem oxidation/aromatization of 1-Bn-DHIQs. RSC Adv. 2018, 8, 28997–29007. [Google Scholar] [CrossRef]
- Chuang, T.H.; Li, C.F.; Lee, H.Z.; Wen, Y.C. Direct conversion of 1-(2-bromobenzoyl)isoquinolines to dibenzo[de,g]quinolin-7-ones via reductive photocyclization. J. Org. Chem. 2013, 78, 4974–4984. [Google Scholar] [CrossRef]
- Gu, S.; Hu, X.; Zhen, X.; Shi, L.; Shao, H.; Sun, X.; Gu, Y.; Huang, M.; Dong, H. Comparison of glucose-lowering drugs as second-line treatment for type 2 diabetes: A systematic review and meta-analysis. J. Clin. Med. 2022, 11, 5435. [Google Scholar] [PubMed]
- Nasykhova, Y.A.; Tonyan, Z.N.; Mikhailova, A.A.; Danilova, M.M.; Glotov, A.S. Pharmacogenetics of type 2 diabetes progress and prospects. Int. J. Mol. Sci. 2020, 21, 6842. [Google Scholar] [CrossRef] [PubMed]
- Nombela Manzaneque, N.; Perez-Arechaederra, D.; Caperos Montalban, J.M. Side effects and practices to improve management of type 2 diabetes mellitus from the viewpoint of patient experience and health care management. A narrative review. Endocrinol. Diabetes Nutr. (Engl. Ed.) 2019, 66, 596–610. [Google Scholar] [CrossRef]
- Kong, M.; Xie, K.; Lv, M.; Li, J.; Yao, J.; Yan, K.; Wu, X.; Xu, Y.; Ye, D. Anti-inflammatory phytochemicals for the treatment of diabetes and its complications: Lessons learned and future promise. Biomed. Pharmacother. 2021, 133, 110975. [Google Scholar] [CrossRef]
- Xiao, E.; Luo, L. Alternative therapies for diabetes: A comparison of western and Traditional Chinese Medicine (TCM) approaches. Curr. Diabetes Rev. 2018, 14, 487–496. [Google Scholar] [CrossRef] [PubMed]
- Liu, M.; Liu, Z.; Xu, B.; Zhang, W.; Cai, J. Review of systematic reviews and Meta-analyses investigating Traditional Chinese Medicine treatment for type 2 diabetes mellitus. J. Tradit. Chin. Med. 2016, 36, 555–563. [Google Scholar] [CrossRef] [PubMed]
- Dai, H.; Mei, W. Pharmacology of Li Nationality; Science and Technology Press of China: Beijing, China, 2008; p. 36. [Google Scholar]
- Ezuruike, U.F.; Chieli, E.; Prieto, J.M. In Vitro modulation of glibenclamide transport by P-glycoprotein inhibitory antidiabetic african plant extracts. Planta Med. 2019, 85, 987–996. [Google Scholar] [CrossRef] [PubMed]
- Ma, C.; Wang, J.; Chu, H.; Zhang, X.; Wang, Z.; Wang, H.; Li, G. Purification and characterization of aporphine alkaloids from leaves of Nelumbo nucifera Gaertn and their effects on glucose consumption in 3T3-L1 adipocytes. Int. J. Mol. Sci. 2014, 15, 3481–3494. [Google Scholar] [CrossRef]
- Chi, T.C.; Lee, S.S.; Su, M.J. Antihyperglycemic effect of aporphines and their derivatives in normal and diabetic rats. Planta Med. 2006, 72, 1175–1180. [Google Scholar] [CrossRef] [PubMed]
- Ma, D.; Wang, W.; Xue, B.; Li, L.; Zhu, L.; Liu, Z. Chrysanthemi Indici FlosAnti-diabetic effects of linarin from via AMPK activation. Chin. Herb. Med. 2019, 42, 111–117. [Google Scholar]








| No. | δc | δH | No. | δc | δH |
|---|---|---|---|---|---|
| 1 | 150.4 | - | 7a | 126.5 | - |
| 1a | 99.8 | - | 8 | 125.3 | 8.07, d, (8.8) |
| 1b | 123.2 | - | 9 | 113.2 | 7.34, d, (8.8) |
| 2 | 138.6 | - | 10 | 158.3 | - |
| 3 | 135.8 | - | 11 | 146.0 | - |
| 3a | 130.5 | 11a | 126.2 | - | |
| 4 | 144.5 | 8.76, d, (5.2) | 3-OMe | 60.8 | 4.21, s |
| 5 | 118.6 | 8.10, d, (5.2) | 10-OMe | 56.8 | 3.96, s |
| 6a | 144.2 | - | 11-OMe | 61.0 | 3.80, s |
| 7 | 180.9 | - | O-CH2-O | 103.1 | 6.36, s |
Disclaimer/Publisher’s Note: The statements, opinions and data contained in all publications are solely those of the individual author(s) and contributor(s) and not of MDPI and/or the editor(s). MDPI and/or the editor(s) disclaim responsibility for any injury to people or property resulting from any ideas, methods, instructions or products referred to in the content. |
© 2025 by the authors. Licensee MDPI, Basel, Switzerland. This article is an open access article distributed under the terms and conditions of the Creative Commons Attribution (CC BY) license (https://creativecommons.org/licenses/by/4.0/).
Share and Cite
Zhang, C.; Zhu, H.; Zhang, F.; Jiang, Y.; Huang, Z.; Lin, D.; Chen, N.; Zhang, X.; Fu, Y. Isolation, Total Synthesis and Anti-Diabetic Activity of Filiforidine from Cassytha filiformis. Molecules 2025, 30, 4763. https://doi.org/10.3390/molecules30244763
Zhang C, Zhu H, Zhang F, Jiang Y, Huang Z, Lin D, Chen N, Zhang X, Fu Y. Isolation, Total Synthesis and Anti-Diabetic Activity of Filiforidine from Cassytha filiformis. Molecules. 2025; 30(24):4763. https://doi.org/10.3390/molecules30244763
Chicago/Turabian StyleZhang, Caiyun, Hong Zhu, Fang Zhang, Yuexia Jiang, Zibao Huang, Dong Lin, Niangen Chen, Xiaopo Zhang, and Yanhui Fu. 2025. "Isolation, Total Synthesis and Anti-Diabetic Activity of Filiforidine from Cassytha filiformis" Molecules 30, no. 24: 4763. https://doi.org/10.3390/molecules30244763
APA StyleZhang, C., Zhu, H., Zhang, F., Jiang, Y., Huang, Z., Lin, D., Chen, N., Zhang, X., & Fu, Y. (2025). Isolation, Total Synthesis and Anti-Diabetic Activity of Filiforidine from Cassytha filiformis. Molecules, 30(24), 4763. https://doi.org/10.3390/molecules30244763
