Beneficial Effects of Grape Pomace Extract on Hyperglycemia, Dyslipidemia, and Oxidative Stress in Experimental Diabetes Mellitus
Abstract
1. Introduction
2. Results
2.1. Quantitative and Qualitative Composition of Grape Pomace Extract
2.2. Antioxidant Capacity of Grape Pomace Extract In Vitro
2.3. Effect of Grape Pomace Extract on the Glycemic Profile
2.4. Effect of Grape Pomace Extract on the Lipid Profile
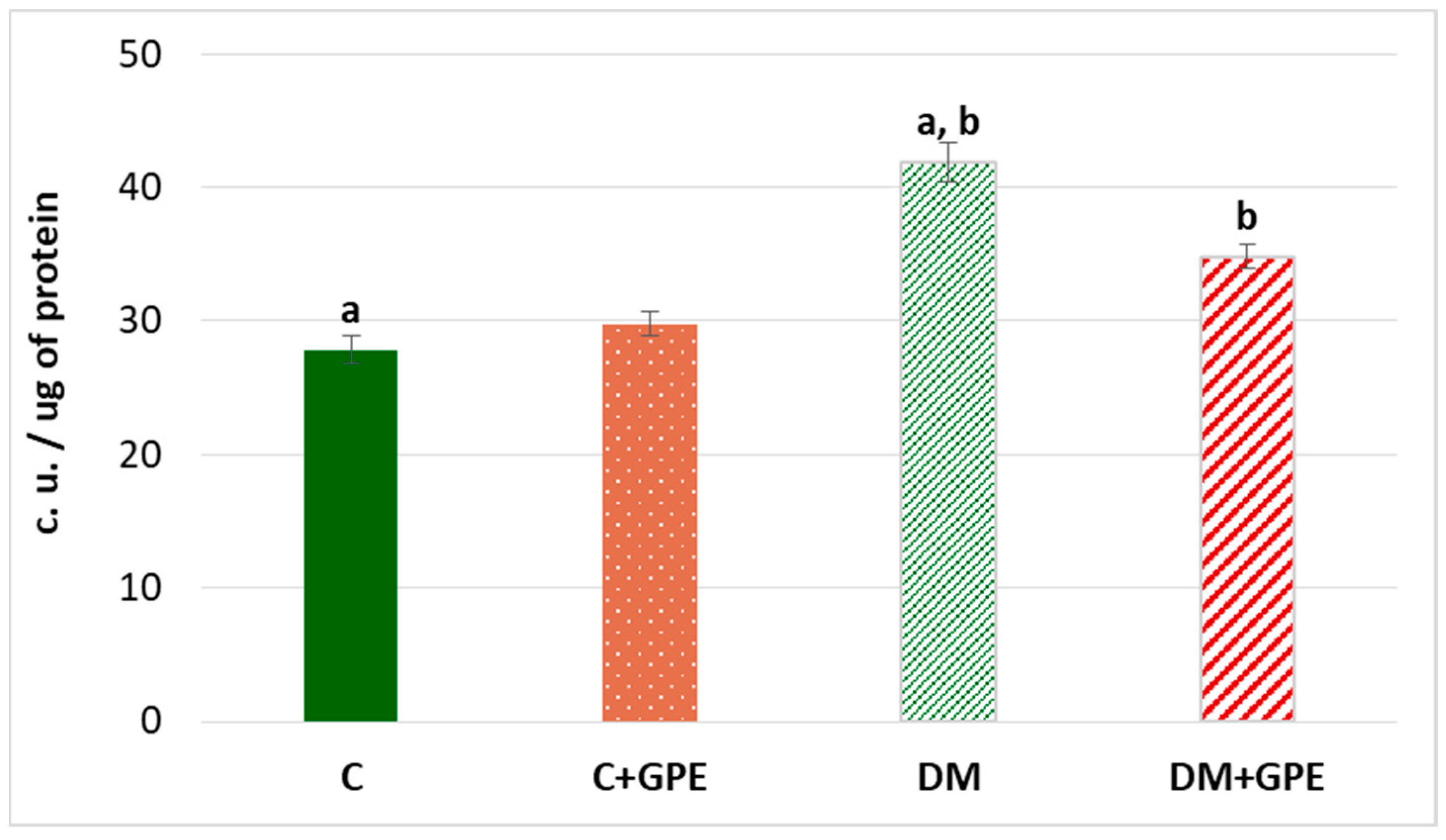
2.5. Effect of Grape Pomace Extract on Antioxidant System in Blood Plasma in Diabetes
3. Discussion
4. Materials and Methods
4.1. Chemicals and Standards
4.2. Extract from Grape Pomace Obtaining
4.3. Qualitative and Quantitative Determination of Polyphenols in the Grape Pomace Extract
4.4. DPPH Scavenging Assay
4.5. Animals
4.6. Induction of Diabetes Mellitus in Rats
4.7. Determination of Glucose Concentration
4.8. Administration of Grape Pomace Extract to Animals
4.9. Experimental Design
4.10. The Glucose Tolerance Test and the Starch Tolerance Test
4.11. Blood Plasma Collection
4.12. Determination of Fructosamine Concentration
4.13. Determination of Plasma Lipid Profile
4.13.1. Determination of Cholesterol Content
4.13.2. Determination of Triglyceride Content
4.13.3. Determination of HDL (High-Density Lipoprotein) Cholesterol Content
4.14. Determination of Paraoxonase Activity
4.15. Determination of Antioxidant Enzymes Activity
4.15.1. Determination of Superoxide Dismutase Activity
4.15.2. Determination of Catalase Activity
4.15.3. Determination of the Activity of Glutathione Peroxidase
4.16. Determination of Protein Concentration by the Lowry Method
4.17. Determination of the Content of the Products of Oxidative Modification of Proteins
4.18. Determination of the Content of Lipid Peroxidation Products
4.19. Soluble Lipofuscin Level Assay
4.20. Statistical Analysis
5. Conclusions
Author Contributions
Funding
Institutional Review Board Statement
Informed Consent Statement
Data Availability Statement
Acknowledgments
Conflicts of Interest
Correction Statement
Abbreviations
| AUCglu | area under the glycemic curve |
| C | control |
| DM | diabetes mellitus |
| DPPH | 2, 2-diphenyl-1-picrylhydrazyl radical |
| EC50 | half-maximal effective concentration |
| GPE | grape pomace extract |
| GSH | reduced glutathione |
| HDL | high-density lipoprotein |
| LDL | low-density lipoproteins |
| LPO | lipid peroxidation |
| NTB | nitrotetrazolium blue |
| OGTT | oral glucose tolerance test |
| OSTT | oral starch tolerance test |
| PUFAs | polyunsaturated fatty acids |
| RNS | reactive nitrogen species |
| ROS | reactive oxygen species |
| TBA | thiobarbituric acid |
| TCA | trichloroacetic acid |
| UHPLC-MS | ultra-high performance liquid chromatography coupled mass spectrometry |
References
- Aloke, C.; Egwu, C.O.; Aja, P.M.; Obasi, N.A.; Chukwu, J.; Akumadu, B.O.; Ogbu, P.N.; Achilonu, I. Current Advances in the Management of Diabetes Mellitus. Biomedicines 2022, 10, 2436. [Google Scholar] [CrossRef]
- Forouhi, N.G.; Wareham, N.J. Epidemiology of diabetes. Medicine 2022, 50, 638–643. [Google Scholar] [CrossRef]
- World Health Organization. Diabetes. Available online: https://www.who.int/news-room/fact-sheets/detail/diabetes (accessed on 5 April 2023).
- Rasines-Perea, Z.; Teissedre, P.-L. Grape Polyphenols’ Effects in Human Cardiovascular Diseases and Diabetes. Molecules 2017, 22, 68. [Google Scholar] [CrossRef]
- Kumar, S.; Mittal, A.; Babu, D.; Mittal, A. Herbal Medicines for Diabetes Management and its Secondary Complications. Curr. Diabetes Rev. 2021, 17, 437–456. [Google Scholar] [CrossRef]
- Kato-Schwartz, C.G.; Corrêa, R.C.G.; de Souza Lima, D.; de Sá-Nakanishi, A.B.; de Almeida Gonçalves, G.; Seixas, F.A.V.; Haminiuk, C.W.I.; Barros, L.; Ferreira, I.C.F.R.; Bracht, A.; et al. Potential anti-diabetic properties of Merlot grape pomace extract: An in vitro, in silico and in vivo study of α-amylase and α-glucosidase inhibition. Food Res. Int. 2020, 137, 109462. [Google Scholar] [CrossRef]
- Machado, T.O.X.; Portugal, I.; de A.C. Kodel, H.; Droppa-Almeida, D.; Lima, M.D.S.; Fathi, F.; Oliveira, M.B.P.P.; de Albuquerque-Júnior, R.L.C.; Dariva, C.; Souto, E.B. Therapeutic potential of grape pomace extracts: A review of scientific evidence. Food Biosci. 2024, 60, 104210. [Google Scholar] [CrossRef]
- Nagalievska, M.; Sabadashka, M.; Sybirna, N. Red Wine and Yacon as a Source of Bioactive Compounds with Antidiabetic and Antioxidant Potential. In Alternative Medicine—Update; Akram, M., Ed.; IntechOpen: London, UK, 2021. [Google Scholar] [CrossRef]
- Moutinho, J.; Gouvinhas, I.; Domínguez-Perles, R.; Barros, A. Optimization of the Extraction Methodology of Grape Pomace Polyphenols for Food Applications. Molecules 2023, 28, 3885. [Google Scholar] [CrossRef] [PubMed]
- Castellanos-Gallo, L.; Ballinas-Casarrubias, L.; Espinoza-Hicks, J.C.; Hernández-Ochoa, L.R.; Muñoz-Castellanos, L.N.; Zermeño-Ortega, M.R.; Borrego-Loya, A.; Salas, E. Grape Pomace Valorization by Extraction of Phenolic Polymeric Pigments: A Review. Processes 2022, 10, 469. [Google Scholar] [CrossRef]
- Schiano, E.; Vaccaro, S.; Scorcia, V.; Carnevali, A.; Borselli, M.; Chisari, D.; Guerra, F.; Iannuzzo, F.; Tenore, G.C.; Giannaccare, G.; et al. From Vineyard to Vision: Efficacy of Maltodextrinated Grape Pomace Extract (MaGPE) Nutraceutical Formulation in Patients with Diabetic Retinopathy. Nutrients 2024, 16, 2850. [Google Scholar] [CrossRef]
- Shori, A.B. Screening of antidiabetic and antioxidant activities of medicinal plants. J. Integr. Med. 2015, 13, 297–305. [Google Scholar] [CrossRef]
- Kehm, R.; Baldensperger, T.; Raupbach, J.; Höhn, A. Protein oxidation—Formation mechanisms, detection and relevance as biomarkers in human diseases. Redox Biol. 2021, 42, 101901. [Google Scholar] [CrossRef]
- Kapusta, I.; Cebulak, T.; Oszmiański, J. The anthocyanins profile of red grape cultivars growing in south-east Poland (Subcarpathia region). J. Food Meas. Charact. 2017, 11, 1863–1873. [Google Scholar] [CrossRef]
- Ostrowski, W.; Wojakowska, A.; Grajzer, M.; Stobiecki, M. Mass spectrometric behavior of phenolic acids standards and their analysis in the plant samples with LC/ESI/MS system. J. Chromatogr. B 2014, 967, 21–27. [Google Scholar] [CrossRef]
- Tkacz, K.; Wojdyło, A.; Turkiewicz, I.P.; Ferreres, F.; Moreno, D.A.; Nowicka, P. UPLC-PDA-Q/TOF-MS profiling of phenolic and carotenoid compounds and their influence on anticholinergic potential for AChE and BuChE inhibition and on-line antioxidant activity of selected Hippophaë rhamnoides L. cultivars. Food Chem. 2020, 309, 125766. [Google Scholar] [CrossRef] [PubMed]
- Yoo, T.-K.; Jeong, W.T.; Kim, J.G.; Ji, H.S.; Ahn, M.-A.; Chung, J.-W.; Lim, H.B.; Hyun, T.K. UPLC-ESI-Q-TOF-MS-Based Metabolite Profiling, Antioxidant and Anti-Inflammatory Properties of Different Organ Extracts of Abeliophyllum distichum. Antioxidants 2021, 10, 70. [Google Scholar] [CrossRef]
- Czerniewicz, P.; Sytykiewicz, H.; Durak, R.; Borowiak-Sobkowiak, B.; Chrzanowski, G. Role of phenolic compounds during antioxidative responses of winter triticale to aphid and beetle attack. Plant Physiol. Biochem. 2017, 118, 529–540. [Google Scholar] [CrossRef]
- Sabadashka, M.; Hertsyk, D.; Strugała-Danak, P.; Dudek, A.; Kanyuka, O.; Kucharska, A.Z.; Kaprelyants, L.; Sybirna, N. Anti-Diabetic and Antioxidant Activities of Red Wine Concentrate Enriched with Polyphenol Compounds under Experimental Diabetes in Rats. Antioxidants 2021, 10, 1399. [Google Scholar] [CrossRef]
- Chen, X.; Yin, O.Q.P.; Zuo, Z.; Chow, M.S.S. Pharmacokinetics and modeling of quercetin and metabolites. Pharm. Res. 2005, 22, 892–901. [Google Scholar] [CrossRef] [PubMed]
- Eker, M.E.; Aaby, K.; Budic-Leto, I.; Brnčić, S.R.; El, S.N.; Karakaya, S.; Simsek, S.; Manach, C.; Wiczkowski, W.; de Pascual-Teresa, S. A Review of Factors Affecting Anthocyanin Bioavailability: Possible Implications for the Inter-Individual Variability. Foods 2019, 9, 2. [Google Scholar] [CrossRef]
- Ayvaz, H.; Cabaroglu, T.; Akyildiz, A.; Pala, C.U.; Temizkan, R.; Ağçam, E.; Ayvaz, Z.; Durazzo, A.; Lucarini, M.; Direito, R.; et al. Anthocyanins: Metabolic Digestion, Bioavailability, Therapeutic Effects, Current Pharmaceutical/Industrial Use, and Innovation Potential. Antioxidants 2022, 12, 48. [Google Scholar] [CrossRef]
- Piskula, M.K.; Terao, J. Accumulation of (−)-Epicatechin Metabolites in Rat Plasma after Oral Administration and Distribution of Conjugation Enzymes in Rat Tissues. J. Nutr. 1998, 128, 1172–1178. [Google Scholar] [CrossRef]
- Kim, S.; Lee, M.J.; Hong, J.; Li, C.; Smith, T.J.; Yang, G.Y.; Seril, D.N.; Yang, C.S. Plasma and tissue levels of tea catechins in rats and mice during chronic consumption of green tea polyphenols. Nutr. Cancer 2000, 37, 41–48. [Google Scholar] [CrossRef]
- Gasmi, A.; Mujawdiya, P.K.; Noor, S.; Lysiuk, R.; Darmohray, R.; Piscopo, S.; Lenchyk, L.; Antonyak, H.; Dehtiarova, K.; Shanaida, M.; et al. Polyphenols in Metabolic Diseases. Molecules 2022, 27, 6280. [Google Scholar] [CrossRef]
- Shahwan, M.; Alhumaydhi, F.; Ashraf, G.M.; Hasan, P.M.Z.; Shamsi, A. Role of polyphenols in combating Type 2 Diabetes and insulin resistance. Int. J. Biol. Macromol. 2022, 206, 567–579. [Google Scholar] [CrossRef]
- Solayman, M.; Ali, Y.; Alam, F.; Islam, M.A.; Alam, N.; Khalil, M.I.; Gan, S.H. Polyphenols: Potential Future Arsenals in the Treatment of Diabetes. Curr. Pharm. Des. 2016, 22, 549–565. [Google Scholar] [CrossRef]
- Nie, T.; Cooper, G.J.S. Mechanisms Underlying the Antidiabetic Activities of Polyphenolic Compounds: A Review. Front. Pharmacol. 2021, 12, 798329. [Google Scholar] [CrossRef] [PubMed]
- de Paulo Farias, D.; de Araújo, F.F.; Neri-Numa, I.A.; Pastore, G.M. Antidiabetic potential of dietary polyphenols: A mechanistic review. Food Res. Int. 2021, 145, 110383. [Google Scholar] [CrossRef] [PubMed]
- Hanhineva, K.; Törrönen, R.; Bondia-Pons, I.; Pekkinen, J.; Kolehmainen, M.; Mykkänen, H.; Poutanen, K. Impact of Dietary Polyphenols on Carbohydrate Metabolism. Int. J. Mol. Sci. 2010, 11, 1365–1402. [Google Scholar] [CrossRef] [PubMed]
- Krawczyk, M.; Burzynska-Pedziwiatr, I.; Wozniak, L.A.; Bukowiecka-Matusiak, M. Impact of polyphenols on inflammatory and oxidative stress factors in diabetes mellitus: Nutritional antioxidants and their application in improving antidiabetic therapy. Biomolecules 2023, 13, 1402. [Google Scholar] [CrossRef]
- Kim, Y.; Keogh, J.; Clifton, P. Polyphenols and Glycemic Control. Nutrients 2016, 8, 17. [Google Scholar] [CrossRef]
- Williamson, G. Possible effects of dietary polyphenols on sugar absorption and digestion. Mol. Nutr. Food Res. 2013, 57, 48–57. [Google Scholar] [CrossRef]
- Kopytek, M.; Ząbczyk, M.; Mazur, P.; Undas, A.; Natorska, J. Accumulation of advanced glycation end products (AGEs) is associated with the severity of aortic stenosis in patients with concomitant type 2 diabetes. Cardiovasc. Diabetol. 2020, 19, 92. [Google Scholar] [CrossRef]
- John, J.; Sakarde, A.; Chafle, J.; Amle, D.; Jose, J.; Sakhare, V.; Rathod, B.D. An Assessment of the Utility of Serum Fructosamine in the Diagnosis and Monitoring of Diabetes Mellitus. Cureus 2023, 15, e33549. [Google Scholar] [CrossRef] [PubMed]
- Hirano, T. Pathophysiology of Diabetic Dyslipidemia. J. Atheroscler. Thromb. 2018, 25, 771–782. [Google Scholar] [CrossRef]
- Jialal, I.; Singh, G. Management of diabetic dyslipidemia: An update. World J. Diabetes 2019, 10, 280–290. [Google Scholar] [CrossRef] [PubMed]
- Ngamukote, S.; Mäkynen, K.; Thilawech, T.; Adisakwattana, S. Cholesterol-Lowering Activity of the Major Polyphenols in Grape Seed. Molecules 2011, 16, 5054–5061. [Google Scholar] [CrossRef]
- Kumar, S.; Kumari, B.; Kaushik, A.; Banerjee, A.; Mahto, M.; Bansal, A. Relation Between HbA1c and Lipid Profile Among Prediabetics, Diabetics, and Non-diabetics: A Hospital-Based Cross-Sectional Analysis. Cureus 2022, 14, e32909. [Google Scholar] [CrossRef] [PubMed]
- Kamiyama, M.; Iijima, K.; Okuzawa, R.; Kawata, R.; Kimura, A.; Shinohara, Y.; Shimada, A.; Yamanaka, M.; Youda, A.; Iwamoto, T. Mechanisms of the Effects of Polyphenols on Diabetic Nephropathy. Curr. Issues Mol. Biol. 2025, 47, 735. [Google Scholar] [CrossRef]
- Lupoli, R.; Ciciola, P.; Costabile, G.; Giacco, R.; Minno, M.N.D.D.; Capaldo, B. Impact of Grape Products on Lipid Profile: A Meta-Analysis of Randomized Controlled Studies. J. Clin. Med. 2020, 9, 313. [Google Scholar] [CrossRef]
- Femlak, M.; Gluba-Brzózka, A.; Ciałkowska-Rysz, A.; Rysz, J. The role and function of HDL in patients with diabetes mellitus and the related cardiovascular risk. Lipids Health Dis. 2017, 16, 207. [Google Scholar] [CrossRef]
- Yasuda, A.; Natsume, M.; Osakabe, N.; Kawahata, K.; Koga, J. Cacao Polyphenols Influence the Regulation of Apolipoprotein in HepG2 and Caco2 Cells. J. Agric. Food Chem. 2011, 59, 1470–1476. [Google Scholar] [CrossRef]
- De Farias, L.M.; Lopes Rodrigues, L.A.R.; de Carvalho Lavôr, L.C.; de Lima, A.; Sampaio da Paz, S.M.R.; Pereira da Silva, J.D.; de Macêdo Gonçalves Frota, K.; Lucarini, M.; Durazzo, A.; Arcanjo, D.D.R.; et al. Association between Polyphenol Intake and Lipid Profile of Adults and Elders in a Northeastern Brazilian Capital. Nutrients 2023, 15, 2174. [Google Scholar] [CrossRef] [PubMed]
- Kota, S.; Meher, L.; Kota, S.; Jammula, S.; Krishna, S.V.S.; Modi, K. Implications of serum paraoxonase activity in obesity, diabetes mellitus, and dyslipidemia. Indian J. Endocrinol. Metab. 2013, 17, 402. [Google Scholar] [CrossRef]
- Meneses, M.J.; Silvestre, R.; Sousa-Lima, I.; Macedo, M.P. Paraoxonase-1 as a Regulator of Glucose and Lipid Homeostasis: Impact on the Onset and Progression of Metabolic Disorders. Int. J. Mol. Sci. 2019, 20, 4049. [Google Scholar] [CrossRef] [PubMed]
- Martini, D.; Bo’, C.D.; Porrini, M.; Ciappellano, S.; Riso, P. Role of polyphenols and polyphenol-rich foods in the modulation of PON1 activity and expression. J. Nutr. Biochem. 2017, 48, 1–8. [Google Scholar] [CrossRef]
- Tiwari, B.K.; Pandey, K.B.; Abidi, A.B.; Rizvi, S.I. Markers of Oxidative Stress during Diabetes Mellitus. J. Biomark. 2013, 2013, 378790. [Google Scholar] [CrossRef]
- Fujii, J.; Homma, T.; Osaki, T. Superoxide Radicals in the Execution of Cell Death. Antioxidants 2022, 11, 501. [Google Scholar] [CrossRef]
- Madi, M.; Babu, S.; Kumari, S.; Shetty, S.; Achalli, S.; Madiyal, A.; Bhat, M. Status of Serum and Salivary Levels of Superoxide Dismutase in Type 2 Diabetes Mellitus with Oral Manifestations: A Case Control Study. Ethiop. J. Health Sci. 2016, 26, 523. [Google Scholar] [CrossRef]
- Gebicka, L.; Krych-Madej, J. The role of catalases in the prevention/promotion of oxidative stress. J. Inorg. Biochem. 2019, 197, 110699. [Google Scholar] [CrossRef] [PubMed]
- Magrone, T.; Magrone, M.; Russo, M.A.; Jirillo, E. Recent Advances on the Anti-Inflammatory and Antioxidant Properties of Red Grape Polyphenols: In Vitro and In Vivo Studies. Antioxidants 2019, 9, 35. [Google Scholar] [CrossRef]
- Elejalde, E.; Villarán, M.C.; Alonso, R.M. Grape polyphenols supplementation for exercise-induced oxidative stress. J. Int. Soc. Sports Nutr. 2021, 18, 3. [Google Scholar] [CrossRef] [PubMed]
- Chedea, V.S.; Macovei, Ș.O.; Bocșan, I.C.; Măgureanu, D.C.; Levai, A.M.; Buzoianu, A.D.; Pop, R.M. Grape Pomace Polyphenols as a Source of Compounds for Management of Oxidative Stress and Inflammation—A Possible Alternative for Non-Steroidal Anti-Inflammatory Drugs? Molecules 2022, 27, 6826. [Google Scholar] [CrossRef]
- Colombo, G.; Reggiani, F.; Angelini, C.; Finazzi, S.; Astori, E.; Garavaglia, M.L.; Landoni, L.; Portinaro, N.M.; Giustarini, D.; Rossi, R.; et al. Plasma Protein Carbonyls as Biomarkers of Oxidative Stress in Chronic Kidney Disease, Dialysis, and Transplantation. Oxidative Med. Cell. Longev. 2020, 2020, 2975256. [Google Scholar] [CrossRef]
- Hecker, M.; Wagner, A.H. Role of protein carbonylation in diabetes. J. Inherit. Metab. Dis. 2018, 41, 29–38. [Google Scholar] [CrossRef]
- Asmat, U.; Abad, K.; Ismail, K. Diabetes mellitus and oxidative stress—A concise review. Saudi Pharm. J. 2016, 24, 547–553. [Google Scholar] [CrossRef]
- Rudrapal, M.; Khairnar, S.J.; Khan, J.; Dukhyil, A.B.; Ansari, M.A.; Alomary, M.N.; Alshabrmi, F.M.; Palai, S.; Deb, P.K.; Devi, R. Dietary Polyphenols and Their Role in Oxidative Stress-Induced Human Diseases: Insights into Protective Effects, Antioxidant Potentials and Mechanism(s) of Action. Front. Pharmacol. 2022, 13, 806470. [Google Scholar] [CrossRef] [PubMed]
- Skorobahatko, V.; Sabadashka, M.; Chala, D.; Sybirna, N. Diabetes-correcting and antioxidant effects of grape pomace extract rich in natural complex of polyphenols. Stud. Biol. 2023, 17, 51–62. [Google Scholar] [CrossRef]
- Jańczak-Pieniążek, M.; Cichoński, J.; Michalik, P.; Chrzanowski, G. Effect of Heavy Metal Stress on Phenolic Compounds Accumulation in Winter Wheat Plants. Molecules 2022, 28, 241. [Google Scholar] [CrossRef] [PubMed]
- Brand-Williams, W.; Cuvelier, M.E.; Berset, C. Use of a free radical method to evaluate antioxidant activity. LWT-Food Sci. Technol. 1995, 28, 25–30. [Google Scholar] [CrossRef]
- Martín-Carro, B.; Donate-Correa, J.; Fernández-Villabrille, S.; Martín-Vírgala, J.; Panizo, S.; Carrillo-López, N.; Martínez-Arias, L.; Navarro-González, J.F.; Naves-Díaz, M.; Fernández-Martín, J.L.; et al. Experimental Models to Study Diabetes Mellitus and Its Complications: Limitations and New Opportunities. Int. J. Mol. Sci. 2023, 24, 10309. [Google Scholar] [CrossRef]
- Hachkova, H.; Nagalievska, M.; Soliljak, Z.; Kanyuka, O.; Kucharska, A.Z.; Sokół-Łętowska, A.; Belonovskaya, E.; Buko, V.; Sybirna, N. Medicinal Plants Galega officinalis L. and Yacon Leaves as Potential Sources of Antidiabetic Drugs. Antioxidants 2021, 10, 1362. [Google Scholar] [CrossRef]
- Yeh, S.-T. Trapezoidal Rule for the Area Under a Curve Calculation. In Proceedings of the 27th Annual SAS® Users Group International Conference (SUGI’02), Orlando, FL, USA, 14–17 April 2002. [Google Scholar]
- Johnson, R.N.; Metcalf, P.A.; Baker, J.R. Fructosamine: A new approach to the estimation of serum glycosylprotein. An index of diabetic control. Clin. Chim. Acta 1983, 127, 87–95. [Google Scholar] [CrossRef] [PubMed]
- Dantoine, T.F.; Debord, J.; Charmes, J.P.; Merle, L.; Marquet, P.; Lachatre, G.; Leroux-Robert, C. Decrease of serum paraoxonase activity in chronic renal failure. J. Am. Soc. Nephrol. 1998, 9, 2082–2088. [Google Scholar] [CrossRef] [PubMed]
- Lowry, O.H.; Rosebrough, N.J.; Farr, A.L.; Randall, R.J. Protein measurement with the Folin phenol reagent. J. Biol. Chem. 1951, 193, 265–275. [Google Scholar] [CrossRef] [PubMed]
- Hegedus, Z.L.; Frank, H.A.; Steinman, T.I.; Altschule, M.D.; Nayak, U. Elevated levels of plasma lipofuscins in patients with chronic renal failure. Arch. Int. Physiol. Biochim. 1988, 96, 211–221. [Google Scholar] [CrossRef]









| No | Rt (min) | Compound | Mass Observed 1 | M | Concentration of Phenolic Compounds |
|---|---|---|---|---|---|
| Phenolic acids and derivatives | |||||
| 1 | 1.93 | Catechol | 109.01 | 110.11 | 0.190 ± 0.018 a 2 |
| 2 | 2.77 | Gallic acid | 169.00 | 170.12 | 0.833 ± 0.022 b |
| 3 | 4.61 | Gallic acid hexoside | 331.02 | 332.26 | 1.221 ± 0.060 c |
| 4 | 6.28 | Vanillic acid | 167.00 | 168.15 | 0.214 ± 0.105 a |
| 5 | 7.14 | p-Coumaric acid | 163.01 | 164.16 | 0.182 ± 0.015 a |
| 6 | 9.53 | trans-Cinnamic acid | 147.02 | 148.16 | 1.342 ± 0.161 c |
| Flavonoids and derivatives | |||||
| 1 | 5.60 | Catechin | 289.04 | 290.27 | 0.509 ± 0.022 f 2 |
| 2 | 6.25 | Epicatechin | 289.04 | 290.27 | 0.637 ± 0.030 g |
| 3 | 6.97 | Rutin | 609.11 | 610.52 | 0.065 ± 0.011 b |
| 4 | 7.17 | Quercetin 3-O-glucoside | 463.06 | 464.38 | 0.221 ± 0.007 e |
| 5 | 7.14 | Quercetin 3-O-rhamnoside | 447.07 | 445.38 | 0.025 ± 0.003 a |
| 6 | 8.88 | Quercetin | 301.00 | 302.24 | 0.495 ± 0.021 f |
| 7 | 9.56 | Naringenin | 271.03 | 272.25 | 0.012 ± 0.001 a |
| 8 | 7.89 | Myricetin | 317.01 | 318.24 | 0.120 ± 0.001 c |
| 9 | 6.59 | Myricetin 3-O-glucoside | 479.06 | 480.38 | 0.174 ± 0.009 d |
| Anthocyanins and derivatives | |||||
| 1 | 5.95 | Malvidin 3-O-glucoside | 493.04 | 493.40 | 0.995 ± 0.034 c 2 |
| 2 | 8.43 | Peonidin 3-O-glucoside | 463.02 | 498.90 | 3.888 ± 0.250 e |
| 3 | 5.46 | Cyanidin 3-O-glucoside | 449.08 | 484.80 | 0.634 ± 0.027 b |
| 4 | 6.56 | Petunidin 3-O-glucoside | 479.23 | 479.40 | 0.239 ± 0.039 a |
| 5 | 7.00 | Cyanidin 3-O-(6”-O-acetyl)-glucoside | 491.04 | 491.40 | 0.724 ± 0.043 b |
| 6 | 8.98 | Delphinidin 3-O-(6”-O-acetyl)-glucoside | 507.05 | 507.40 | 0.289 ± 0.038 a |
| 7 | 6.52 | Phloretin 2’-glucuronide | 437.15 | 436.40 | 3.212 ± 0.141 d |
| Sample | EC50 (ug/mL) |
|---|---|
| GPE | 208.27 ± 11.34 1 |
| Trolox | 155.96 ± 7.38 |
| Quercetin | 77.16 ± 5.08 |
| Experimetal Group | Total Cholesterol, mmol/L | Triglycerides, mmol/L | High-Density Lipoproteins, mmol/L |
|---|---|---|---|
| C | 1.31 ± 0.10 a | 0.46 ± 0.05 c | 1.36 ± 0.07 a |
| C + GPE | 1.57 ± 0.08 | 0.40 ± 0.03 | 1.17 ± 0.08 |
| DM | 2.79 ± 0.26 a | 0.86 ± 0.09 c,d | 0.86 ± 0.07 a,b |
| DM + GPE | 1.99 ± 0.29 | 0.44 ± 0.07 d | 1.37 ± 0.06 b |
| Experimental Group | Superoxide Dismutase, U/ug of Protein | Catalase, nmol H2O2/min × mg of Protein | Glutathione Peroxidase, umol GSH/min × mg of Protein |
|---|---|---|---|
| C | 11.80 ± 0.53 a | 3.52 ± 0.29 a | 216.23 ± 7.96 a |
| C + GPE | 11.30 ± 0.54 | 3.11 ± 0.15 | 218.08 ± 10.08 |
| DM | 8.47 ± 0.35 a, b | 2.59 ± 0.19 a,b | 162.12 ± 9.11 a,b |
| DM + GPE | 12.06 ± 0.79 b | 3.83 ± 0.18 b | 211.57 ± 7.96 b |
Disclaimer/Publisher’s Note: The statements, opinions and data contained in all publications are solely those of the individual author(s) and contributor(s) and not of MDPI and/or the editor(s). MDPI and/or the editor(s) disclaim responsibility for any injury to people or property resulting from any ideas, methods, instructions or products referred to in the content. |
© 2025 by the authors. Licensee MDPI, Basel, Switzerland. This article is an open access article distributed under the terms and conditions of the Creative Commons Attribution (CC BY) license (https://creativecommons.org/licenses/by/4.0/).
Share and Cite
Sabadashka, M.; Chala, D.; Chrzanowski, G.; Cichoński, J.; Sybirna, N. Beneficial Effects of Grape Pomace Extract on Hyperglycemia, Dyslipidemia, and Oxidative Stress in Experimental Diabetes Mellitus. Molecules 2025, 30, 4183. https://doi.org/10.3390/molecules30214183
Sabadashka M, Chala D, Chrzanowski G, Cichoński J, Sybirna N. Beneficial Effects of Grape Pomace Extract on Hyperglycemia, Dyslipidemia, and Oxidative Stress in Experimental Diabetes Mellitus. Molecules. 2025; 30(21):4183. https://doi.org/10.3390/molecules30214183
Chicago/Turabian StyleSabadashka, Mariya, Dariya Chala, Grzegorz Chrzanowski, Jan Cichoński, and Nataliia Sybirna. 2025. "Beneficial Effects of Grape Pomace Extract on Hyperglycemia, Dyslipidemia, and Oxidative Stress in Experimental Diabetes Mellitus" Molecules 30, no. 21: 4183. https://doi.org/10.3390/molecules30214183
APA StyleSabadashka, M., Chala, D., Chrzanowski, G., Cichoński, J., & Sybirna, N. (2025). Beneficial Effects of Grape Pomace Extract on Hyperglycemia, Dyslipidemia, and Oxidative Stress in Experimental Diabetes Mellitus. Molecules, 30(21), 4183. https://doi.org/10.3390/molecules30214183

