Impact of Artemisia selengensis Turcz. Leaf Extract on Beer Brewing: Fermentation Dynamics, Flavor Compounds and Hypolipidemic/Antihyperuricemic Effects
Abstract
1. Introduction
2. Results and Discussion
2.1. Effects of ASTLE on Primary Fermentation
2.2. Effects of ASTLE Addition Timing on Total Phenolic and Flavonoid Contents
2.3. Volatile Compound Analysis of AST Beer
2.4. Effects of AST Beer on High-Fat Diet-Fed Mice
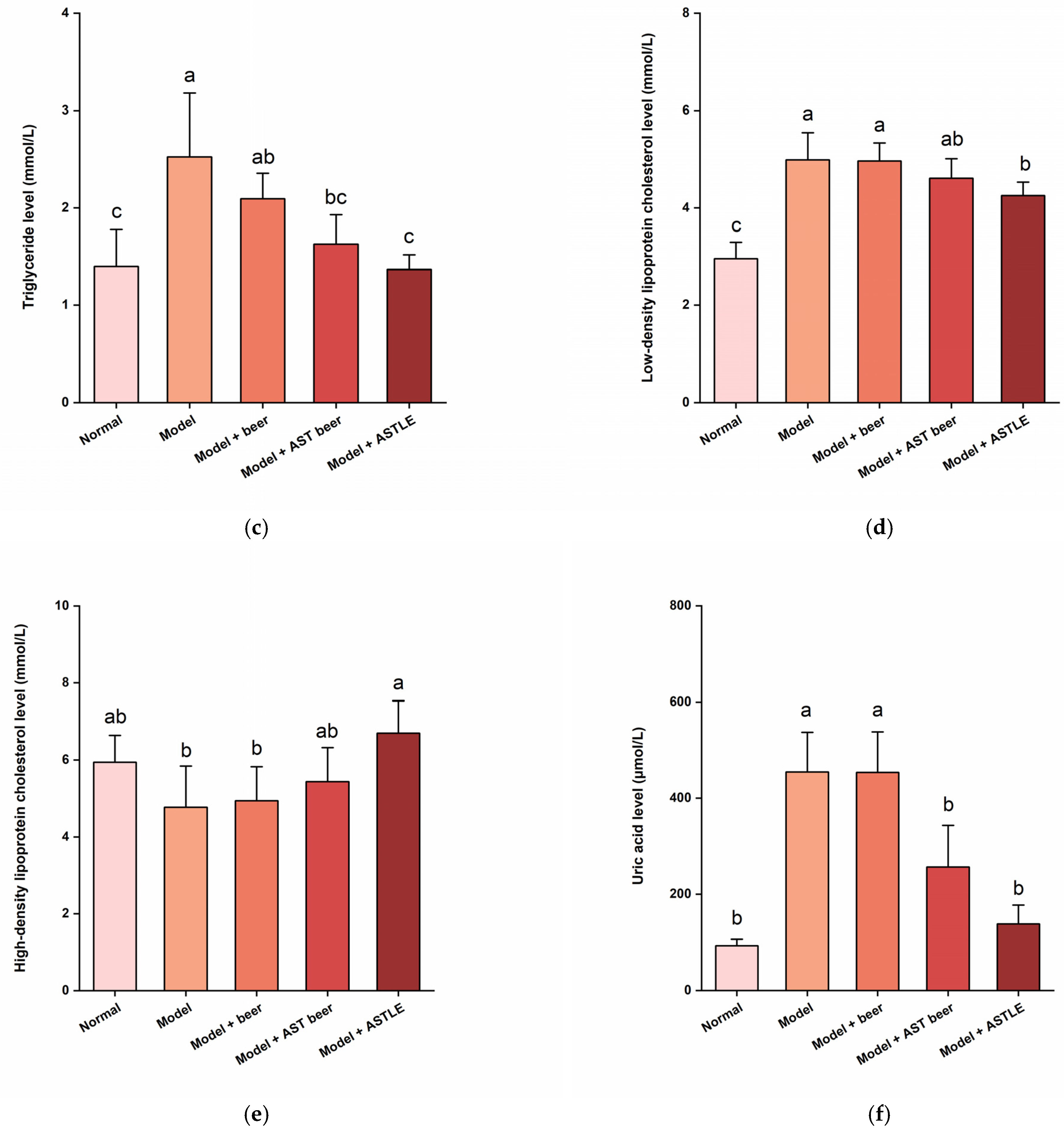
2.4.1. Effects on Body Weight and Serum Lipid Levels
2.4.2. Effects of AST Beer on Serum UA Levels
3. Materials and Methods
3.1. Materials
3.1.1. Raw Materials
3.1.2. Reagents and Standards
3.2. Brewing Process
3.2.1. Preparation of ASTLE
3.2.2. Preparation of Wort
3.2.3. ASTLE Addition and Fermentation
3.3. Fermentation Parameter Monitoring
3.4. Analysis of Bioactive Compounds
3.4.1. Determination of Total Polyphenol Content
3.4.2. Determination of Total Flavonoid Content
3.5. GC-MS Analysis
3.6. Animal Experiments
3.7. Statistical Analysis
4. Conclusions
Author Contributions
Funding
Institutional Review Board Statement
Informed Consent Statement
Data Availability Statement
Acknowledgments
Conflicts of Interest
References
- Li, X.; Meng, X.; Timofeeva, M.; Tzoulaki, I.; Tsilidis, K.K.; Ioannidis, P.A.; Campbell, H.; Theodoratou, E. Serum uric acid levels and multiple health outcomes: Umbrella review of evidence from observational studies, randomised controlled trials, and mendelian randomisation studies. BMJ 2017, 357, j2376. [Google Scholar] [CrossRef]
- Danve, A.; Sehra, S.T.; Neogi, T. Role of diet in hyperuricemia and gout. Best Pract. Res. Clin. Rheumatol. 2021, 35, 101723. [Google Scholar] [CrossRef]
- Yamamoto, T.; Moriwaki, Y.; Takahashi, S.; Tsutsumi, Z.; Ka, T.; Fukuchi, M.; Hada, T. Effect of beer on the plasma concentrations of uridine and purine bases. Metabolism 2002, 51, 1317–1323. [Google Scholar] [CrossRef]
- Larsen, B.A.; Klinedinst, B.S.; Le, S.T.; Pappas, C.; Wolf, T.; Meier, N.F.; Lim, Y.; Willette, A.A. Beer, wine, and spirits differentially influence body composition in older white adults–a United Kingdom biobank study. Obes. Sci. Pract. 2022, 8, 641–656. [Google Scholar] [CrossRef] [PubMed]
- Habschied, K.; Živković, A.; Krstanović, V.; Mastanjević, K. Functional beer—A review on possibilities. Beverages 2020, 6, 51. [Google Scholar] [CrossRef]
- Trendafilova, A.; Moujir, L.M.; Sousa, P.M.C.; Seca, A.M.L. Research advances on health effects of edible Artemisia species and some sesquiterpene lactones constituents. Foods 2020, 10, 65. [Google Scholar] [CrossRef] [PubMed]
- Wan, H.; Wei, Q.; Ji, Q.; Lan, H.; Dai, X.; Chen, W.; Dong, Y.; Zeng, C. The karyotype, genome survey, and assembly of Mud artemisia (Artemisia Selengensis). Mol. Biol. Rep. 2021, 48, 5897–5904. [Google Scholar] [CrossRef]
- Liu, Y.; Deng, W.; Wei, F.; Kang, X.; Han, R.; Feng, X.; Li, C.; Li, M.; Zhao, G.; Yu, J.; et al. Recent advances in the application of foodborne substances in hyperuricemia. J. Agric. Food Chem. 2024, 72, 27639–27653. [Google Scholar] [CrossRef]
- Greger, H. Comparative phytochemistry of polyacetylenes of the genus Artemisia (Asteraceae): Compounds with high biological activities and chemotaxonomic significance. Molecules 2025, 30, 537. [Google Scholar] [CrossRef]
- Wang, T.; Wang, W.; Shi, Z.; Wang, D.; Li, J.; Sun, L.; Zhao, M. Enrichment, antioxidant and enzyme inhibition activities of flavonoids from Artemisia Selengensis Turcz. Chem. Biodivers. 2025, 22, e202401835. [Google Scholar] [CrossRef] [PubMed]
- Zhang, L.; Tu, Z.; Wang, H.; Fu, Z.; Wen, Q.; Fan, D. Metabolic profiling of antioxidants constituents in Artemisia Selengensis leaves. Food Chem. 2015, 186, 123–132. [Google Scholar] [CrossRef]
- Cao, W.; Wu, T.; Liang, F.; Fang, Y.; Cheng, Y.; Pan, S.; Xu, X. Protective effects of di-caffeoylquinic acids from Artemisia Selengensis Turcz. leaves against monosodium urate-induced inflammation via the modulation of NLRP3 inflammasome and Nrf2 signaling pathway in THP-1 macrophages. J. Food Biochem. 2022, 46, e14252. [Google Scholar] [CrossRef] [PubMed]
- Li, Y.; Wan, Y.; Li, R.; Xu, L.; Xie, M.; Fu, G. Solvent extraction of caffeoylquinic acids from Artemisia Selengensis Turcz. leaves and their in vitro inhibitory activities on xanthine oxidase. Ind. Crops Prod. 2018, 118, 296–301. [Google Scholar] [CrossRef]
- Liu, C.; Bao, Y.; Sun, Y.; Ba, D.; Zhang, F.; Wang, J. Untargeted metabolomics of Artemisia Selengensis Turcz. leaves and its mechanism of action in improving cholesterol metabolism in high-fat diet-fed rats. Nutr. Res. Pract. 2025, 19, e39. [Google Scholar]
- Rong, L.; Peng, L.-J.; Ho, C.-T.; Yan, S.-H.; Meurens, M.; Zhang, Z.-Z.; Li, D.-X.; Wan, X.-C.; Bao, G.-H.; Gao, X.-L.; et al. Brewing and volatiles analysis of three tea beers indicate a potential interaction between tea components and lager yeast. Food Chem. 2015, 197, 161–167. [Google Scholar] [CrossRef]
- Grinvald, S.A.; Barakova, N.; Kiprushkina, E.; Jamaldinova, B.; Ushaeva, I.; Tochilnikov, G.; Sadovoy, V.; Gunkova, P. The effect of phenolic compounds contained in flour from green buckwheat, flaxseed, grape and dogwood seeds on the fermentation activity of yeast S. cerevisiae. Funct. Foods Health Dis. 2024, 14, 207–218. [Google Scholar] [CrossRef]
- Pires, E.J.; Teixeira, J.A.; Brányik, T.; Brandão, T.; Vicente, A.A. Continuous beer fermentation—Diacetyl as a villain. J. Inst. Brew. 2015, 121, 55–61. [Google Scholar] [CrossRef]
- Choi, E.J.; Ahn, H.W.; Kim, W.J. Effect of α-acetolactate decarboxylase on diacetyl content of beer. Food Sci. Biotechnol. 2015, 24, 1373–1380. [Google Scholar] [CrossRef]
- Brányik, T.; Vicente, A.A.; Dostálek, P.; Teixeira, J.A. A review of flavour formation in continuous beer fermentations. J. Inst. Brew. 2008, 114, 3–13. [Google Scholar] [CrossRef]
- Wu, J.; He, T.; Wang, Z.; Mao, J.; Sha, R. The dynamic analysis of non-targeted metabolomics and antioxidant activity of Dendrobium officinale kimura et Migo by the synergistic fermentation of bacteria and enzymes. LWT 2024, 203, 116354. [Google Scholar] [CrossRef]
- Gorinstein, S.; Caspi, A.; Libman, I.; Leontowicz, H.; Leontowicz, M.; Tashma, Z.; Katrich, E.; Jastrzebski, Z.; Trakhtenberg, S. Bioactivity of beer and its influence on human metabolism. Int. J. Food Sci. Nutr. 2007, 58, 94–107. [Google Scholar] [CrossRef]
- Huang, G.; Zhang, M.; Zhang, S.; Wang, J.; Zhang, R.; Dong, L.; Huang, F.; Su, D.; Deng, M. Unveiling biotransformation of free flavonoids into phenolic acids and Chromones alongside dynamic migration of bound Phenolics in Lactobacillus-fermented lychee pulp. Food Chem. 2024, 457, 140115. [Google Scholar] [CrossRef]
- Yang, S.; Chen, R.; Cao, X.; Wang, G.; Zhou, Y.J. De novo biosynthesis of the hops bioactive flavonoid xanthohumol in yeast. Nat. Commun. 2024, 15, 253. [Google Scholar] [CrossRef] [PubMed]
- Wang, B.; Dou, S.; Wang, S.; Wang, Y.; Zhang, S.; Lin, X.; Ji, C.; Dong, L. Molecular mechanism of saturated aldehyde oxidation: A DFT insight into volatiles forming from decanal thermal oxidation. Food Chem. 2024, 454, 139751. [Google Scholar] [CrossRef] [PubMed]
- Yang, L.; Aobulikasimu, N.; Cheng, P.; Wang, J.-H.; Li, H. Analysis of floral volatile components and antioxidant activity of different varieties of Chrysanthemum morifolium. Molecules 2017, 22, 1790. [Google Scholar] [CrossRef]
- Sun, H.; Zhang, T.; Fan, Q.; Qi, X.; Zhang, F.; Fang, W.; Jiang, J.; Chen, F.; Chen, S. Identification of floral scent in chrysanthemum cultivars and wild relatives by gas chromatography-mass spectrometry. Molecules 2015, 20, 5346–5359. [Google Scholar] [CrossRef] [PubMed]
- Torres, A.; Noriega, L.G.; Delgadillo-Puga, C.; Tovar, A.R.; Navarro-Ocaña, A. Caffeoylquinic acid derivatives of purple sweet potato as modulators of mitochondrial function in mouse primary hepatocytes. Molecules 2021, 26, 319. [Google Scholar] [CrossRef]
- Liu, Y.; Zhong, X.; Lin, S.; Xu, H.; Liang, X.; Wang, Y.; Xu, J.; Wang, K.; Guo, X.; Wang, J.; et al. Limosilactobacillus reuteri and caffeoylquinic acid synergistically promote adipose browning and ameliorate obesity-associated disorders. Microbiome 2022, 10, 226. [Google Scholar] [CrossRef]
- Zhang, L.; Deng, M.; Wen, Q.; Xie, Y.; Ding, Q.; Xie, X.; Xie, Q.; Chen, M. Effect of Artemisia Selengensis Turcz extract on lipid metabolism and gut microbiota in high-fat diet-induced C57BL/6J obese mice. J. Food Sci. 2025, 90, e70162. [Google Scholar] [CrossRef]
- Liang, N.; Yuan, X.; Zhang, L.; Shen, X.; Zhong, S.; Li, L.; Li, R.; Xu, X.; Chen, X.; Yin, C.; et al. Fatty acid oxidation-induced HIF-1α activation facilitates hepatic urate synthesis through upregulating NT5C2 and XDH. Life Metab. 2024, 3, loae018. [Google Scholar] [CrossRef]
- Xiang, L.; Huang, Y.; Li, R.; Tao, Y.; Wu, T.; Pan, S.; Xu, X. Artemisia Selengensis Turcz. leaves extract ameliorates hyperuricemia in mice by inhibiting hepatic xanthine oxidase activity, modulating renal uric acid transporters, and improving metabolic disorders. Food Biosci. 2023, 56, 102639. [Google Scholar] [CrossRef]
- Cao, W.; Fang, Y.; Wu, T.; Liang, F.; Cheng, Y.; Salah, M.; Pan, S.; Xu, X. Insights from multispectral and molecular docking investigation on the xanthine oxidase inhibition by 1,4-dicaffeoylquinic acid. J. Mol. Struct. 2020, 1219, 128475. [Google Scholar] [CrossRef]
- GB/T 4928-2008; Method for Analysis of Beer. General Administration of Quality Supervision, National Standardization Administration: Beijing, China, 2008.
- Bertuzzi, T.; Mulazzi, A.; Rastelli, S.; Donadini, G.; Rossi, F.; Spigno, G. Targeted healthy compounds in small and large-scale brewed beers. Food Chem. 2019, 310, 125935. [Google Scholar] [CrossRef] [PubMed]
- Yao, J.; Ma, Z.; Wang, Y.; Wang, Y.; Sun, L.; Liu, X. Effects of dandelion addition on antioxidant property, sensory characteristics and inhibitory activity against xanthine oxidase of beer. Curr. Res. Food Sci. 2022, 5, 927–939. [Google Scholar] [CrossRef] [PubMed]





| Category | Compounds | RI | CAS | Relative Content (%) | |
|---|---|---|---|---|---|
| CK | AST Beer | ||||
| Alcohols (32) | Ethanol | 1968 | 64-17-5 | 35.01 | 31.17 |
| 2-methyl-1-Propanol | 2167 | 78-83-1 | 0.73 | 0.63 | |
| 3-methyl-1-Butanol | 1136 | 123-51-3 | 10.08 | 8.71 | |
| 1-Heptanol | 1869 | 111-70-6 | 0.06 | 0.06 | |
| 2-ethyl-1-Hexanol | 1259 | 104-76-7 | 0.07 | — | |
| 2-Nonanol | 1259 | 628-99-9 | 0.01 | 0.02 | |
| 3,7-dimethyl-1,6-Octadien-3-ol | 1284 | 78-70-6 | 0.08 | 0.13 | |
| 1-Octanol | 995 | 111-87-5 | 0.24 | 0.27 | |
| 3-Furanmethanol | 785 | 4412-91-3 | 0.01 | — | |
| 1-Nonanol | 1179 | 143-08-8 | 0.07 | 0.09 | |
| 3-(methylthio)-1-Propanol | 1228 | 505-10-2 | 0.01 | 0.01 | |
| 2-Tridecanol | 1710 | 1653-31-2 | 0.01 | 0.02 | |
| 1-Decanol | 1083 | 112-30-1 | 0.24 | 0.26 | |
| Citronellol | 1183 | 106-22-9 | 0.05 | — | |
| (Z)-3,7-dimethyl-2,6-Octadien-1-ol | 1580 | 106-25-2 | 0.01 | 0.01 | |
| 10-Undecen-1-ol | 1447 | 112-43-6 | 0.01 | 0.01 | |
| Phenylethyl Alcohol | 775 | 60-12-8 | 9.71 | 8.85 | |
| 1-Dodecanol | 1035 | 112-53-8 | 0.06 | 0.08 | |
| (E)-3,7,11-trimethyl-1,6,10-Dodecatrien-3-ol | 1814 | 40716-66-3 | 0.03 | 0.05 | |
| 1-Hexadecanol | 1381 | 36653-82-4 | 0.06 | 0.11 | |
| trans-Farnesol | 860 | 106-28-5 | 0.04 | 0.05 | |
| n-Heptadecanol-1 | 960 | 1454-85-9 | 0.01 | — | |
| Eucalyptol | 1059 | 470-82-6 | — | 1.21 | |
| 1-Hexanol | 1179 | 111-27-3 | — | 0.03 | |
| 1-Octen-3-ol | 1083 | 3391-86-4 | — | 0.07 | |
| (R)-4-methyl-1-(1-methylethyl)-3-Cyclohexen-1-ol | 1183 | 20126-76-5 | — | 0.18 | |
| (Z)-2-(3,3-dimethylcyclohexylidene)ethan-1-ol | 1258 | 26532-23-0 | — | 0.10 | |
| 6-Octen-1-ol, 3,7-dimethyl-, (R)- | 1204 | 1117-61-9 | — | 0.08 | |
| Ledol | 1347 | 577-27-5 | — | 0.05 | |
| alpha-Cadinol | 1457 | 481-34-5 | — | 0.01 | |
| 2-(dodecyloxy)-Ethanol | 2175 | 4536-30-5 | — | 0.01 | |
| (E)-(±)-3,7,11-trimethyl-6,10-Dodecadien-1-ol | 1507 | 20576-54-9 | — | 0.04 | |
| Aldehydes (5) | Nonanal | 1186 | 124-19-6 | 0.04 | 0.02 |
| Decanal | 1913 | 112-31-2 | 0.02 | — | |
| 2,4-dimethyl-Benzaldehyde | 1282 | 15764-16-6 | 0.06 | 0.06 | |
| 2,6,6-trimethyl-1,3-Cyclohexadiene-1-carboxaldehyde | 697 | 116-26-7 | — | 0.06 | |
| (±)-1,3,3-Trimethylcyclohex-1-ene-4-carboxaldehyde | 984 | 127128-60-3 | — | 0.05 | |
| Ketones (4) | (-)-Carvone | 1190 | 6485-40-1 | — | 0.21 |
| 4,6,6-trimethyl-Bicyclo[3.1.1]hept-3-en-2-one | 1137 | 80-57-9 | — | 0.23 | |
| (S)-3-methyl-6-(1-methylethenyl)-2-Cyclohexen-1-one | 1359 | 16750-82-6 | — | 0.34 | |
| Chrysanthenone | 1661 | 473-06-3 | — | 1.76 | |
| Acids (15) | Acetic acid | 820 | 64-19-7 | 0.08 | 0.02 |
| 2-methyl-Propanoic acid | 1779 | 79-31-2 | 0.01 | — | |
| Butanoic acid | 1173 | 107-92-6 | 0.02 | — | |
| 3-methyl-Butanoic acid | 1104 | 503-74-2 | 0.05 | 0.04 | |
| Octanoic acid | 1175 | 124-07-2 | 4.00 | 5.57 | |
| n-Decanoic acid | 2077 | 334-48-5 | 1.39 | 2.33 | |
| 9-Decenoic acid | 1352 | 14436-32-9 | 0.24 | 0.37 | |
| Dodecanoic acid | 974 | 143-07-7 | 0.12 | 0.13 | |
| Tetradecanoic acid | 984 | 544-63-8 | 0.06 | 0.06 | |
| Pentadecanoic acid | 1570 | 1002-84-2 | 0.01 | 0.01 | |
| n-Hexadecanoic acid | 1159 | 57-10-3 | 0.17 | 0.19 | |
| Octadecanoic acid | 1362 | 57-11-4 | 0.15 | 0.15 | |
| Oleic Acid | 1954 | 112-80-1 | 0.12 | 0.14 | |
| Hexanoic acid | 1208 | 142-62-1 | — | 0.82 | |
| 9-Hexadecenoic acid | 1476 | 2091-29-4 | — | 0.03 | |
| Esters (30) | Butanoic acid ethyl ester | 1976 | 105-54-4 | 0.05 | 0.03 |
| 3-methyl-1-Butanol acetate | 1615 | 123-92-2 | 11.67 | 9.40 | |
| Hexanoic acid ethyl ester | 1270 | 123-66-0 | 3.34 | 2.75 | |
| Acetic acid hexyl ester | 1281 | 142-92-7 | 0.07 | 0.07 | |
| Heptanoic acid ethyl ester | 1680 | 106-30-9 | 0.04 | 0.03 | |
| Octanoic acid ethyl ester | 1372 | 106-32-1 | 6.40 | 6.44 | |
| Acetic acid octyl ester | 969 | 112-14-1 | 0.03 | — | |
| Nonanoic acid ethyl ester | 1854 | 123-29-5 | 0.03 | 0.03 | |
| Decanoic acid ethyl ester | 1564 | 110-38-3 | 3.23 | 5.06 | |
| Ethyl 9-decenoate | 1878 | 67233-91-4 | 1.92 | 2.23 | |
| (Z)-3,7-dimethyl-2,6-Octadien-1-ol acetate | 885 | 141-12-8 | 0.01 | — | |
| Acetic acid 2-phenylethyl ester | 1731 | 103-45-7 | 5.70 | 5.56 | |
| Dodecanoic acid ethyl ester | 1059 | 106-33-2 | 0.56 | 1.28 | |
| Pentadecanoic acid 3-methylbutyl ester | 1119 | 2306-91-4 | 0.04 | 0.04 | |
| Benzenepropanoic acid ethyl ester | 1580 | 2021-28-5 | 0.02 | 0.02 | |
| Ethyl 9-hexadecenoate | 1133 | 54546-22-4 | 0.14 | 0.14 | |
| Ethyl tridecanoate | 1036 | 28267-29-0 | 0.01 | 0.01 | |
| Heptadecanoic acid ethyl ester | 811 | 14010-23-2 | 0.04 | — | |
| dihydro-5-pentyl-2(3H)-Furanone | 912 | 104-61-0 | 0.02 | 0.02 | |
| Isopropyl myristate | 1240 | 110-27-0 | 0.01 | 0.02 | |
| Tetradecanoic acid ethyl ester | 1769 | 124-06-1 | 0.12 | 0.10 | |
| Pentadecanoic acid ethyl ester | 1986 | 41114-00-5 | 0.03 | 0.02 | |
| Hexadecanoic acid ethyl ester | 1131 | 628-97-7 | 0.09 | 0.09 | |
| 1,2-Benzenedicarboxylic acid bis(2-methylpropyl) ester | 1654 | 84-69-5 | 0.01 | 0.03 | |
| Dibutyl phthalate | 1860 | 84-74-2 | 0.10 | 0.16 | |
| Acetic acid heptyl ester | 1530 | 112-06-1 | — | 0.04 | |
| 5-methyl-2-(1-methylethenyl)-4-Hexen-1-ol acetate | 1978 | 25905-14-0 | — | 0.01 | |
| Benzeneacetic acid ethyl ester | 1078 | 101-97-3 | — | 0.01 | |
| 2-methyl-Propanoic acid 3-hydroxy-2,4,4-trimethylpentyl ester | 463 | 74367-34-3 | — | 0.02 | |
| 2-Ethylhexyl salicylate | 576 | 118-60-5 | — | 0.01 | |
| Alkanes (5) | Dodecamethyl-cyclohexasiloxane | 1190 | 540-97-6 | 1.55 | 0.01 |
| Tetradecamethyl-cycloheptasiloxane | 1371 | 107-50-6 | 0.89 | 0.07 | |
| Hexadecamethyl-cyclooctasiloxane | 1579 | 556-68-3 | 0.47 | 0.52 | |
| Octadecamethyl-cyclononasiloxane | 1331 | 556-71-8 | 0.04 | 0.51 | |
| Caryophyllene oxide | 1082 | 1139-30-6 | — | 0.04 | |
| Olefins (2) | Verbenyl ethyl ether | 597 | 823204-45-1 | — | 0.04 |
| Humulene | 711 | 6753-98-6 | — | 0.01 | |
| Other (8) | 4-Hydroxy-2-methylacetophenone | 1119 | 875-59-2 | 0.06 | 0.06 |
| 2,4-bis(1,1-dimethylethyl)-Phenol | 1184 | 96-76-4 | 0.05 | 0.05 | |
| 2,3-dihydro-Benzofuran | 1908 | 496-16-2 | 0.01 | 0.01 | |
| 1,2,3,4-tetramethyl-Benzene | 2037 | 488-23-3 | — | 0.02 | |
| [1S-(1.alpha.,3.alpha.,5.alpha.)]-6,6-dimethyl-2-methylene-Bicyclo[3.1.1]heptan-3-ol | 1363 | 547-61-5 | — | 0.03 | |
| Naphthalene | 1345 | 91-20-3 | 0.05 | 0.06 | |
| 1-methyl-Naphthalene | 1231 | 90-12-0 | 0.02 | 0.02 | |
| 1-(1H-pyrrol-2-yl)ethenone | 1555 | 1072-83-9 | 0.01 | 0.02 | |
Disclaimer/Publisher’s Note: The statements, opinions and data contained in all publications are solely those of the individual author(s) and contributor(s) and not of MDPI and/or the editor(s). MDPI and/or the editor(s) disclaim responsibility for any injury to people or property resulting from any ideas, methods, instructions or products referred to in the content. |
© 2025 by the authors. Licensee MDPI, Basel, Switzerland. This article is an open access article distributed under the terms and conditions of the Creative Commons Attribution (CC BY) license (https://creativecommons.org/licenses/by/4.0/).
Share and Cite
Li, Z.; Zhou, J.; Ye, C.; Yang, J.; Zeng, C. Impact of Artemisia selengensis Turcz. Leaf Extract on Beer Brewing: Fermentation Dynamics, Flavor Compounds and Hypolipidemic/Antihyperuricemic Effects. Molecules 2025, 30, 3936. https://doi.org/10.3390/molecules30193936
Li Z, Zhou J, Ye C, Yang J, Zeng C. Impact of Artemisia selengensis Turcz. Leaf Extract on Beer Brewing: Fermentation Dynamics, Flavor Compounds and Hypolipidemic/Antihyperuricemic Effects. Molecules. 2025; 30(19):3936. https://doi.org/10.3390/molecules30193936
Chicago/Turabian StyleLi, Zeyu, Jiazhi Zhou, Chaoqun Ye, Jian Yang, and Changli Zeng. 2025. "Impact of Artemisia selengensis Turcz. Leaf Extract on Beer Brewing: Fermentation Dynamics, Flavor Compounds and Hypolipidemic/Antihyperuricemic Effects" Molecules 30, no. 19: 3936. https://doi.org/10.3390/molecules30193936
APA StyleLi, Z., Zhou, J., Ye, C., Yang, J., & Zeng, C. (2025). Impact of Artemisia selengensis Turcz. Leaf Extract on Beer Brewing: Fermentation Dynamics, Flavor Compounds and Hypolipidemic/Antihyperuricemic Effects. Molecules, 30(19), 3936. https://doi.org/10.3390/molecules30193936
