X-ray Structure Determination, Antioxidant Voltammetry Studies of Butein and 2′,4′-Dihydroxy-3,4-dimethoxychalcone. Computational Studies of 4 Structurally Related 2′,4′-diOH Chalcones to Examine Their Antimalarial Activity by Binding to Falcipain-2
Abstract
1. Introduction
2. Materials and Methods
2.1. Materials
2.2. Single Crystal X-ray Diffraction and Analysis
2.3. RRDE Measurement of Antioxidant Activity
2.4. Computational Experiments: Docking Chalcones into Catalytic Site of Falcipain-2
3. Results
3.1. X-ray Crystallography
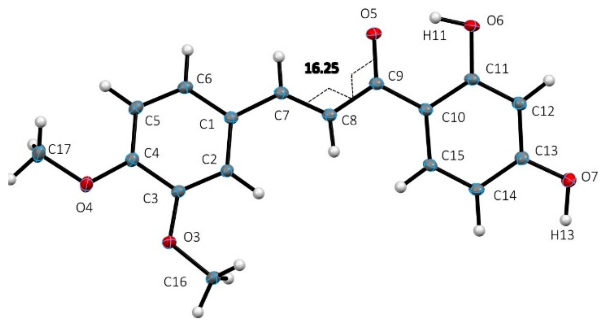
3.1.1. Structural Characterization of 2′,4′-Dihydroxy-3,4-dimethoxychalcone (DHDM)
3.1.2. Structural Characterization of Butein
| #1 | x − 1, y, z |
| #2 | x − 1, y, z + 1 |
| #3 | −x + 1, −y + 1, −z + 1 |
| #4 | −x + 1, −y + 1, −z+2 |
| #5 | x + 3/2, −y + 1/2, z − 1/2 |
3.2. Computational Experiments: Antioxidant Activity Studied Using DFT and Docking Chalcone into Catalytic Site of Falcipain-2
3.2.1. DFT Studies
Butein
DHDM
Homobutein
5-Prenylbutein
3.2.2. Docking of Butein and DHDM
Butein
DHDM
3.2.3. Additional Docking on Known Antimalarial Chalcones
Homobutein
5-Prenylbutein
3.3. RRDE Antioxidant Activity Assay of 2′,4′-Dihydroxy-3,4-dimethoxychalcone (DHDM) and Butein
4. Discussion
5. Conclusions
Supplementary Materials
Author Contributions
Funding
Acknowledgments
Conflicts of Interest
References
- Weatherall, D.J. Genetic variation and susceptibility to infection: The red cell and malaria. Br. J. Haematol. 2008, 141, 276–286. [Google Scholar] [CrossRef] [PubMed]
- Trampuz, A.; Jereb, M.; Muzlovic, I.; Prabhu, R.M. Clinical review: Severe malaria. Crit. Care 2003, 7, 315–323. [Google Scholar] [CrossRef] [PubMed]
- WHO (World Health Organization). World Malaria Report 2020: 20 Years of Global Progress & Challenges; World Health Organization: Geneva, Switzerland, 2020; Available online: https://cdn.who.int/media/docs/default-source/malaria/world-malaria-reports/9789240015791-double-page-view.pdf?sfvrsn=2c24349d_10 (accessed on 23 November 2020).
- van Schalkwyk, D.A. History of Antimalarial Agents; Wiley: Chichester, UK, 2015; pp. 1–5. [Google Scholar]
- Nsanzabana, C. Resistance to Artemisinin Combination Therapies (ACTs): Do Not Forget the Partner Drug! Trop. Med. Infect. Dis. 2019, 4, 26. [Google Scholar] [CrossRef] [PubMed]
- Silva, J.; Ramos, A.D.S.; Machado, M.; De Moura, D.F.; Neto, Z.; Canto-Cavalheiro, M.M.; Figueiredo, P.; Rosário, V.E.D.; Amaral, A.C.F.; Lopes, D. A review of antimalarial plants used in traditional medicine in communities in Portuguese-Speaking countries: Brazil, Mozambique, Cape Verde, Guinea-Bissau, São Tomé and Príncipe and Angola. Memórias Inst. Oswaldo Cruz 2011, 106, 142–158. [Google Scholar] [CrossRef]
- Okello, D.; Kang, Y. Exploring Antimalarial Herbal Plants across Communities in Uganda Based on Electronic Data. Evid.-Based Complement. Altern. Med. 2019, 2019, 3057180. [Google Scholar] [CrossRef]
- Aniyom, D.D.; Okon, U.E.; Antai, A.B.; Osim, E.E. Effect of Consumption of Artesunate and/or Palm Wine on Serum Electrolytes, Urea, Creatinine and Estimated Glomerular Filtration Rate. Annu. Res. Rev. Biol. 2018, 28, 43295. [Google Scholar] [CrossRef]
- Omeiza, F.O.; Ademowo, G.O.; Ayeni, F.A. Evaluation of in vivo anti-malarial potential of omidun obtained from fermented maize in Ibadan, Nigeria. Malar. J. 2020, 19, 414. [Google Scholar] [CrossRef]
- Oladeji, O.S.; Oluyori, A.P.; Bankole, D.T.; Afolabi, T.Y. Natural Products as Sources of Antimalarial Drugs: Ethnobotanical and Ethnopharmacological Studies. Science 2020, 2020, 7076139. [Google Scholar] [CrossRef]
- Ntie-Kang, F.; Onguéné, P.A.; Lifongo, L.L.; Ndom, J.C.; Sippl, W.; Mbaze, L.M. The potential of anti-malarial compounds derived from African medicinal plants, part II: A pharmacological evaluation of non-alkaloids and non-terpenoids. Malar. J. 2014, 13, 81. [Google Scholar] [CrossRef]
- Obakiro, S.B.; Kiprop, A.; Kigondu, E.; K’Owino, I.; Odero, M.P.; Manyim, S.; Omara, T.; Namukobe, J.; Owor, R.O.; Gavamukulya, Y.; et al. Traditional Medicinal Uses, Phytoconstituents, Bioactivities, and Toxicities of Erythrina abyssinica Lam. ex DC. (Fabaceae): A Systematic Review. Evid.-Based Complement. Altern. Med. 2021, 2021, 5513484. [Google Scholar] [CrossRef]
- Adebayo, J.; Krettli, A. Potential antimalarials from Nigerian plants: A review. J. Ethnopharmacol. 2011, 133, 289–302. [Google Scholar] [CrossRef]
- Yenesew, A.; Induli, M.; Derese, S.; Midiwo, J.O.; Heydenreich, M.; Peter, M.G.; Akala, H.; Wangui, J.; Liyala, P.; Waters, N.C. Anti-plasmodial flavonoids from the stem bark of Erythrina abyssinica. Phytochemistry 2004, 65, 3029–3032. [Google Scholar] [CrossRef]
- Rossi, M.; Caruso, F.; Crespi, E.J.; Pedersen, J.Z.; Nakano, G.; Duong, M.; McKee, C.; Lee, S.; Jiwrajka, M.; Caldwell, C.; et al. Probing antioxidant activity of 2′-hydroxychalcones: Crystal and molecular structures, in vitro antiproliferative studies and in vivo effects on glucose regulation. Biochimie 2013, 95, 1954–1963. [Google Scholar] [CrossRef]
- Yonekura-Sakakibara, K.; Higashi, Y.; Nakabayashi, R. The Origin and Evolution of Plant Flavonoid Metabolism. Front. Plant Sci. 2019, 10, 943. [Google Scholar] [CrossRef]
- Serobatse, K.R.N.; Kabanda, M.M. Antioxidant and antimalarial properties of butein and homobutein based on their ability to chelate iron (II and III) cations: A DFT study in vacuo and in solution. Eur. Food Res. Technol. 2015, 242, 71–90. [Google Scholar] [CrossRef]
- Li, R.; Kenyon, G.L.; Cohen, F.E.; Chen, X.; Gong, B.; Dominguez, J.N.; Davidson, E.; Kurzban, G.; Miller, R.E.; Nuzum, E.O.; et al. In Vitro Antimalarial Activity of Chalcones and Their Derivatives. J. Med. Chem. 1995, 38, 5031–5037. [Google Scholar] [CrossRef]
- Tajuddeen, N.; Van Heerden, F.R. Antiplasmodial natural products: An update. Malar. J. 2019, 18, 404. [Google Scholar] [CrossRef]
- Frölich, S.; Schubert, C.; Bienzle, U.; Jenett-Siems, K. In vitro antiplasmodial activity of prenylated chalcone derivatives of hops (Humulus lupulus) and their interaction with haemin. J. Antimicrob. Chemother. 2005, 55, 883–887. [Google Scholar] [CrossRef]
- Sinha, S.; Batovska, D.I.; Medhi, B.; Radotra, B.D.; Bhalla, A.; Markova, N.; Sehgal, R. In vitro anti-malarial efficacy of chalcones: Cytotoxicity profile, mechanism of action and their effect on erythrocytes. Malar. J. 2019, 18, 421. [Google Scholar] [CrossRef]
- Tadigoppula, N.; Korthikunta, V.; Gupta, S.; Kancharla, P.; Khaliq, T.; Soni, A.; Srivastava, R.K.; Srivastava, K.; Puri, S.K.; Raju, K.S.R.; et al. Synthesis and Insight into the Structure–Activity Relationships of Chalcones as Antimalarial Agents. J. Med. Chem. 2013, 56, 31–45. [Google Scholar] [CrossRef]
- Ettari, R.; Bova, F.; Zappalà, M.; Grasso, S.; Micale, N. Falcipain-2 inhibitors. Med. Res. Rev. 2010, 30, 136–167. [Google Scholar] [CrossRef]
- Tarkang, P.A.; Atchan, A.P.N.; Kuiate, J.-R.; Okalebo, F.A.; Guantai, A.N.; Agbor, G. Antioxidant Potential of a Polyherbal Antimalarial as an Indicator of Its Therapeutic Value. Adv. Pharmacol. Sci. 2013, 2013, 678458. [Google Scholar] [CrossRef]
- Sheldrick, G.M. Crystal structure refinement with SHELXL. Acta Crystallogr. Sect. C Struct. Chem. 2015, 71, 3–8. [Google Scholar] [CrossRef]
- Belli, S.; Rossi, M.; Molasky, N.; Middleton, L.; Caldwell, C.; Bartow-McKenney, C.; Duong, M.; Chiu, J.; Gibbs, E.; Caldwell, A.; et al. Effective and Novel Application of Hydrodynamic Voltammetry to the Study of Superoxide Radical Scavenging by Natural Phenolic Antioxidants. Antioxidants 2019, 8, 14. [Google Scholar] [CrossRef]
- Delley, B. From molecules to solids with the DMol3 approach. J. Chem. Phys. 2000, 113, 7756–7764. [Google Scholar] [CrossRef]
- Perdew, J.P.; Chevary, J.A.; Vosko, S.H.; Jackson, K.A.; Pederson, M.R.; Singh, D.J.; Fiolhais, C. Atoms, molecules, solids, and surfaces: Applications of the generalized gradient approximation for exchange and correlation. Phys. Rev. B 1992, 46, 6671–6687. [Google Scholar] [CrossRef]
- Becke, A.D. Density-functional exchange-energy approximation with correct asymptotic behavior. Phys. Rev. A 1988, 38, 3098–3100. [Google Scholar] [CrossRef]
- Grimme, S. Semiempirical GGA-type density functional constructed with a long-range dispersion correction. J. Comput. Chem. 2006, 27, 1787–1799. [Google Scholar] [CrossRef]
- Lee, C.; Yang, W.; Parr, R.G. Development of the Colle-Salvetti correlation-energy formula into a functional of the electron density. Phys. Rev. B 1988, 37, 785–789. [Google Scholar] [CrossRef]
- Nishio, M. CH/π hydrogen bonds in crystals. CrystEngComm 2004, 6, 130–158. [Google Scholar] [CrossRef]
- Umezawa, Y.; Nishio, M. Thymine-methyl/pi interaction implicated in the sequence-dependent deformability of DNA. Nucleic Acids Res. 2002, 30, 2183–2192. [Google Scholar] [CrossRef] [PubMed]
- Capozzi, M.A.M.; Terraneo, G.; Cardellicchio, C. Structural insights into methyl- or methoxy-substituted 1-(α-aminobenzyl)-2-naphthol structures: The role of C—H. π interactions. Acta Crystallogr. Sect. C Struct. Chem. 2019, 75, 189–195. [Google Scholar] [CrossRef] [PubMed]
- Saito, N.; Ueno, K.; Sasada, Y. The Crystal and Molecular Structure of Butein Monohydrate, Isolated fromDahlia variabilis. Bull. Chem. Soc. Jpn. 1972, 45, 2274–2277. [Google Scholar] [CrossRef]
- Rossi, M.; Wen, K.; Caruso, F.; Belli, S. Emodin Scavenging of Superoxide Radical Includes π–π Interaction. X-ray Crystal Structure, Hydrodynamic Voltammetry and Theoretical Studies. Antioxidants 2020, 9, 194. [Google Scholar] [CrossRef]
- Caruso, F.; Rossi, M.; Kaur, S.; Garcia-Villar, E.; Molasky, N.; Belli, S.; Sitek, J.D.; Gionfra, F.; Pedersen, J.Z.; Incerpi, S. Antioxidant Properties of Embelin in Cell Culture. Electrochemistry and Theoretical Mechanism of Scavenging. Potential Scavenging of Superoxide Radical through the Cell Membrane. Antioxidants 2020, 9, 382. [Google Scholar] [CrossRef]
- Kerr, I.D.; Lee, J.H.; Pandey, K.C.; Harrison, A.; Sajid, M.; Rosenthal, P.J.; Brinen, L.S. Structures of Falcipain-2 and Falcipain-3 Bound to Small Molecule Inhibitors: Implications for Substrate Specificity. J. Med. Chem. 2009, 52, 852–857. [Google Scholar] [CrossRef]
- Caruso, F.; Singh, M.; Belli, S.; Berinato, M.; Rossi, M. Interrelated Mechanism by Which the Methide Quinone Celastrol, Obtained from the Roots of Tripterygium wilfordii, Inhibits Main Protease 3CLpro of COVID-19 and Acts as Superoxide Radical Scavenger. Int. J. Mol. Sci. 2020, 21, 9266. [Google Scholar] [CrossRef]
- Wu, G.; Robertson, D.H.; Brooks, C.L.; Vieth, M. Detailed analysis of grid-based molecular docking: A case study of CDOCKER? A CHARMm-based MD docking algorithm. J. Comput. Chem. 2003, 24, 1549–1562. [Google Scholar] [CrossRef]
- Chen, D.; Oezguen, N.; Urvil, P.; Ferguson, C.; Dann, S.M.; Savidge, T.C. Regulation of protein-ligand binding affinity by hydrogen bond pairing. Sci. Adv. 2016, 2, e1501240. [Google Scholar] [CrossRef]
- Spiegel, M.; Kapusta, K.; Kołodziejczyk, W.; Saloni, J.; Żbikowska, B.; Hill, G.A.; Sroka, Z. Antioxidant Activity of Selected Phenolic Acids–Ferric Reducing Antioxidant Power Assay and QSAR Analysis of the Structural Features. Molecules 2020, 25, 3088. [Google Scholar] [CrossRef]
- Al-Mamary, M.A.; Moussa, Z. Antioxidant Activity: The Presence and Impact of Hydroxyl Groups in Small Molecules of Natural and Synthetic Origin. In Antioxidants; IntechOpen: London, UK, 2021; pp. 1–28. [Google Scholar] [CrossRef]
- Raza, A.; Varshney, S.K.; Khan, H.M.; Malik, M.A.; Mehdi, A.A.; Shukla, I. Superoxide dismutase activity in patients of cerebral malaria. Asian Pac. J. Trop. Dis. 2015, 5, S51–S53. [Google Scholar] [CrossRef]
































| Chemical Compound | 2′,4′-Dihydroxy-3,4-Dimethoxy Chalcone (DHDM) | Butein |
|---|---|---|
| Chemical formula | C17H16O5 | C15H14O6 |
| Formula weight | 300.30 g/mol | 290.26 g/mol |
| Temperature | 125 K | 125 K |
| Wavelength | 0.71073 Å | 0.71073 Å |
| Crystal size | 0.050 × 0.080 × 0.310 mm | 0.030 × 0.040 × 0.190 mm |
| Crystal system | orthorhombic | monoclinic |
| Crystal habit/color | clear yellow needle | clear yellow plate |
| Space group | P b c a | P 21/n |
| Unit Cell Dimensions | a = 15.5081(11) Å | a = 4.2416(5) Å |
| b = 7.9651(5) Å | b = 28.896(3) Å | |
| c = 23.7534(16) Å | c = 10.8045(13) Å | |
| β = 99.604(2)° | ||
| Volume | 2934.1(3) Å3 | 1305.7(3) Å3 |
| Z | 8 | 4 |
| Density (calculated) | 1.360 g/cm3 | 1.477 g/cm3 |
| Absorption coefficient | 0.100 mm−1 | 0.115 mm−1 |
| F (000) | 1264 | 608 |
| Diffractometer software | Bruker SAINT software | Bruker SAINT software |
| Absorption correction | Multi-Scan (SADABS) | Multi-Scan (SADABS) |
| No. of measured, independent reflections | 70049, 4679 | 25876, 2883 |
| Max, min transmission | 0.9950 and 0.9700 | 0.9970 and 0.9780 |
| R(int) | 0.0467 | 0.1121 |
| Final R indices, data with I > 2σ(I) | 3581 data; R1 = 0.0461, wR2 = 0.1247 | 1603 data; I > 2σ(I)R1 = 0.0394, wR2 = 0.0676 |
| Final R indices, All data | 4679 data; R1 = 0.0652, wR2 = 0.1352 | 2883 data; R1 = 0.0954, wR2 = 0.0788 |
| No. of parameters | 263 | 246 |
| No. of restraints | 0 | 0 |
| Donor-H | Acceptor-H | Donor-Acceptor | Angle | |
|---|---|---|---|---|
| O1W-H2W⋯O3#3 | 0.90(3) | 1.90(3) | 2.792(2) | 174(3) |
| O4-H11⋯O3 | 0.96(2) | 1.63(3) | 2.5102(18) | 151(2) |
| O5-H13⋯O1#5 | 0.91(2) | 1.85(2) | 2.7468(19) | 168(2) |
| O1-H3⋯O4#2 | 0.83(2) | 1.94(2) | 2.7362(19) | 158(2) |
| O1-H3⋯O2 | 0.83(2) | 2.32(2) | 2.7367(19) | 111.2(1.8) |
| O2-H4⋯O1W#1 | 1.00(2) | 1.64(2) | 2.642(2) | 176(2) |
| C5-H5⋯O1W#1 | 1.018(17) | 2.636(17) | 3.353(3) | 127.4(1.2) |
| O1W-H1W⋯O2#4 | 0.92(3) | 1.98(3) | 2.875(2) | 166(3) |
| Catechol and Non-Catechol Fixed Torsion Angle (°) | ΔEnergy for Ring B Torsion Angle Variation (kcal/mol) | ΔEnergy for Ring A Torsion Angle Variation (kcal/mol) |
|---|---|---|
| 15 | 0.04 | 1.14 |
| 30 | 1.48 | 4.83 |
| 45 | 3.61 | 9.17 |
| 60 | 6.02 | 13.05 |
| 75 | 7.80 | 15.81 |
| 90 | 8.47 | 16.85 |
Publisher’s Note: MDPI stays neutral with regard to jurisdictional claims in published maps and institutional affiliations. |
© 2021 by the authors. Licensee MDPI, Basel, Switzerland. This article is an open access article distributed under the terms and conditions of the Creative Commons Attribution (CC BY) license (https://creativecommons.org/licenses/by/4.0/).
Share and Cite
Okoye, I.; Yu, S.; Caruso, F.; Rossi, M. X-ray Structure Determination, Antioxidant Voltammetry Studies of Butein and 2′,4′-Dihydroxy-3,4-dimethoxychalcone. Computational Studies of 4 Structurally Related 2′,4′-diOH Chalcones to Examine Their Antimalarial Activity by Binding to Falcipain-2. Molecules 2021, 26, 6511. https://doi.org/10.3390/molecules26216511
Okoye I, Yu S, Caruso F, Rossi M. X-ray Structure Determination, Antioxidant Voltammetry Studies of Butein and 2′,4′-Dihydroxy-3,4-dimethoxychalcone. Computational Studies of 4 Structurally Related 2′,4′-diOH Chalcones to Examine Their Antimalarial Activity by Binding to Falcipain-2. Molecules. 2021; 26(21):6511. https://doi.org/10.3390/molecules26216511
Chicago/Turabian StyleOkoye, Ijeoma, Sandra Yu, Francesco Caruso, and Miriam Rossi. 2021. "X-ray Structure Determination, Antioxidant Voltammetry Studies of Butein and 2′,4′-Dihydroxy-3,4-dimethoxychalcone. Computational Studies of 4 Structurally Related 2′,4′-diOH Chalcones to Examine Their Antimalarial Activity by Binding to Falcipain-2" Molecules 26, no. 21: 6511. https://doi.org/10.3390/molecules26216511
APA StyleOkoye, I., Yu, S., Caruso, F., & Rossi, M. (2021). X-ray Structure Determination, Antioxidant Voltammetry Studies of Butein and 2′,4′-Dihydroxy-3,4-dimethoxychalcone. Computational Studies of 4 Structurally Related 2′,4′-diOH Chalcones to Examine Their Antimalarial Activity by Binding to Falcipain-2. Molecules, 26(21), 6511. https://doi.org/10.3390/molecules26216511

