Navigating the Digital Landscape: The Impact of Social Media Agility on Customer-Based Brand Equity, Customer Engagement and Customer Motivation
Abstract
1. Introduction
1.1. Perceived Social Media Agility, Customer-Based Brand Equity, Customer Engagement, and Customer Motivation
1.2. Customer Engagement and Customer-Based Brand Equity
1.3. Customer Motivation, Customer-Based Brand Equity, and Customer Engagement
1.4. Change-Seeking, Customer Engagement, Customer Motivation
1.5. The Mediation Role of Customer Engagement and Customer
2. Materials and Methods
2.1. Sampling and Data Collection
2.2. Data Collection and Procedure
2.3. Data Analysis
3. Results
3.1. Measurement Model Assessment
3.1.1. Convergent Validity
3.1.2. Discriminant Validity
3.2. Structural Model Assessment
3.2.1. R-Square, Q2predict, and f-Square
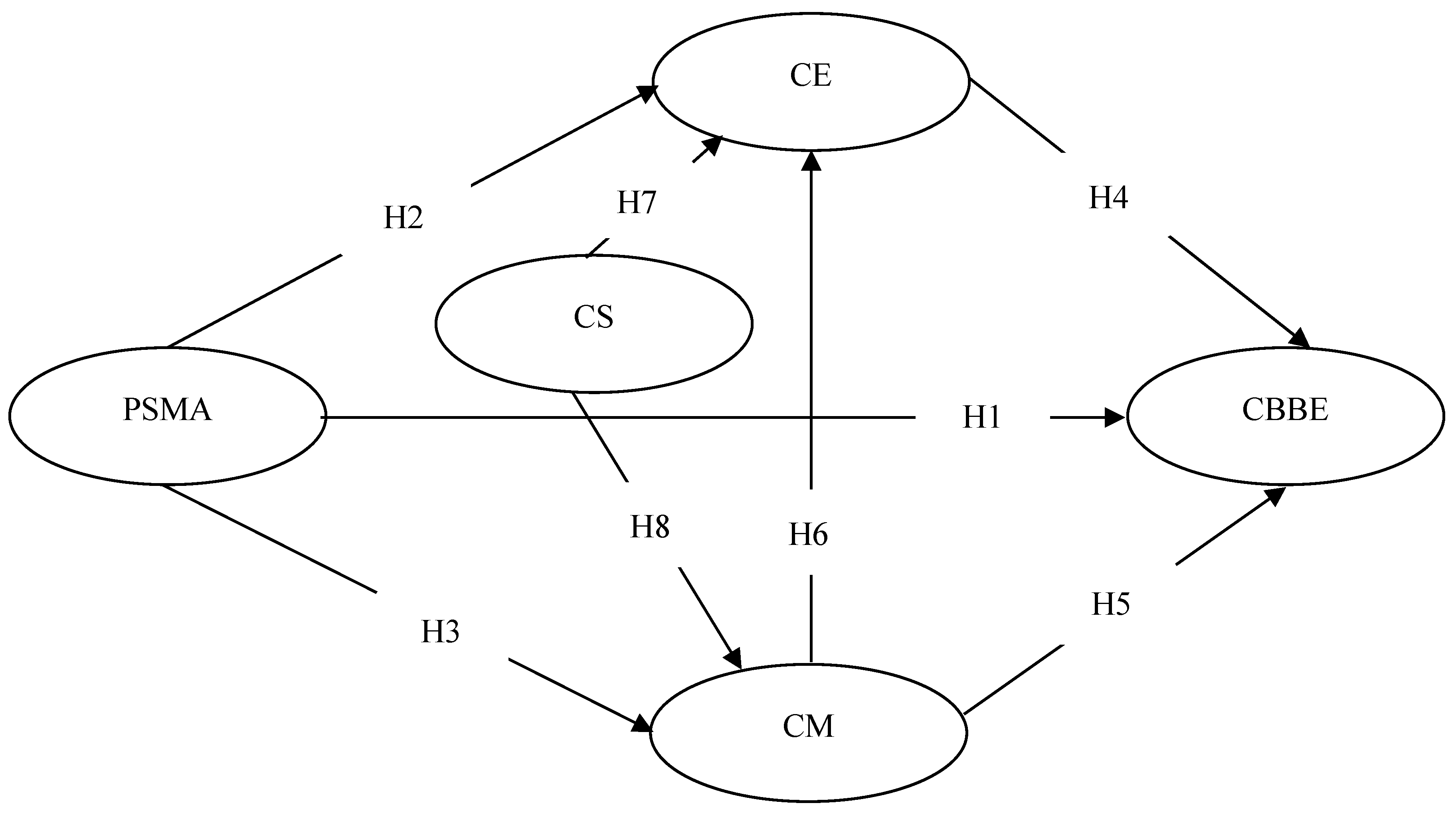
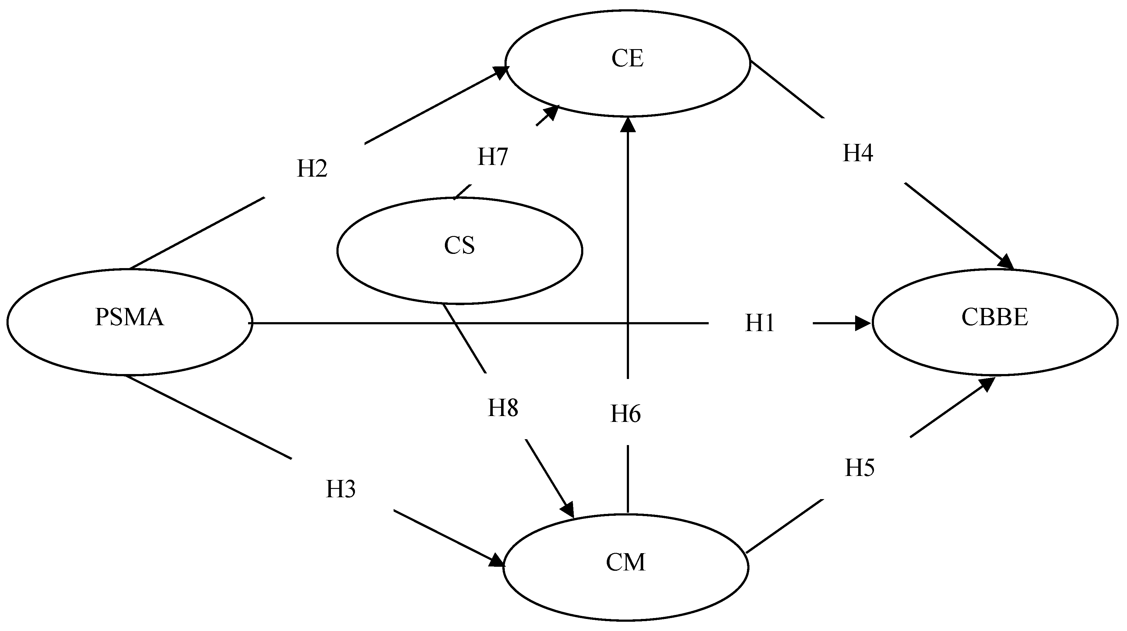
3.2.2. Hypotheses Test
4. Discussion
Main Findings
5. Conclusions
5.1. Theoretical Implications
5.2. Managerial Implications
5.3. Limitations and Future Research
Author Contributions
Funding
Institutional Review Board Statement
Informed Consent Statement
Data Availability Statement
Conflicts of Interest
Abbreviations
| PSMA | Perceived social media agility |
| CS | Change-seeking |
| CE | Customer engagement |
| CBBE | Customer-based brand equity |
| LSMU | Level of Social Media Use |
| CM | Customer Motivation |
Appendix A
| Construct | Item |
|---|---|
| Perceived social media agility | |
| PSMA1 | This brand can quickly detect changes in the social media environment |
| PSMA2 | This brand can promptly identify changes in customer needs in the social media environment |
| PSMA3 | This brand can quickly respond to changes in the social media environment |
| PSMA4 | This brand can quickly respond to changes in customer needs in the social media environment |
| PSMA5 | This brand has the capacity to adjust the scale of its response to changes in the social media environment as needed (e.g., the firm being able to build a significant presence on Snapchat when customers’ preferences shift from Facebook to Snapchat) |
| PSMA6 | This brand has the capacity to adjust the scale of its response to changes in customer needs in the social media environment as needed (e.g., the ability to respond to 1 customer post or 100 customer posts in a day if needed) |
| Change-seeking | |
| CS1 | I like trying new things rather than continue doing the same old things |
| CS2 | I like to experience novelty and change in my daily routine |
| CS3 | I like a job that offers change, variety and travel, even if it involves some danger |
| CS4 | I am continually seeking new ideas and experiences |
| CS5 | I like continually changing activities |
| CS6 | When things get boring, I like to find some new and unfamiliar experience |
| CS7 | I prefer an unpredictable way of life to a routine way of life |
| Customer engagement | |
| CE1 | My interaction with this brand makes me feel valuable |
| CE2 | I feel I have a special bond with this brand |
| CE3 | I feel I have a personal connection with this brand |
| CE4 | I feel I have a special relationship with this brand |
| Customer-based brand equity | |
| CBBE1 | It makes sense to buy the products or use the services of this brand instead of any other brand, even if they are the same |
| CBBE2 | Even if another brand has the same features as this brand, I would prefer to buy the products or use the services of this brand |
| CBBE3 | If there is another brand as good as this brand, I prefer to buy the products or use the services of this brand |
| CBBE4 | If another brand is not different from this brand in any way, it seems smarter to purchase the products or use the services of this brand |
| Level of Social Media Use | |
| LSMU1 | Social media has been used by many salespersons in our company. |
| LSMU2 | Social media is widely recognized among our salespersons |
| LSMU3 | Social media is used by our salespersons almost every day. |
| Customer Motivation | |
| CM1 | I am satisfied with the experience of using SNSs |
| CM2 | I am pleased with the experience of using SNSs |
| CM3 | My decision to use SNSs was a wise one |
| CM4 | My feeling with using SNSs was good |
References
- Werder, K.; Maedche, A. Explaining the emergence of team agility: A complex adaptive systems perspective. Inf. Technol. People 2018, 31, 819–844. [Google Scholar] [CrossRef]
- Manzoor, U.; Baig, S.A.; Hashim, M.; Sami, A.; Rehman, H.-U.; Sajjad, I. The effect of supply chain agility and lean practices on operational performance: A resource-based view and dynamic capabilities perspective. TQM J. 2021, 34, 1273–1297. [Google Scholar] [CrossRef]
- Pertheban, T.R.; Thurasamy, R.; Marimuthu, A.; Venkatachalam, K.R.; Annamalah, S.; Paraman, P.; Hoo, W.C. The Impact of Proactive Resilience Strategies on Organizational Performance: Role of Ambidextrous and Dynamic Capabilities of SMEs in Manufacturing Sector. Sustainability 2023, 15, 12665. [Google Scholar] [CrossRef]
- Vinerean, S.; Opreana, A. Measuring Customer Engagement in Social Media Marketing: A Higher-Order Model. J. Theor. Appl. Electron. Commer. Res. 2021, 16, 2633–2654. [Google Scholar] [CrossRef]
- Alviani, D.; Hilmiana; Widianto, S.; Muizu, W.O.Z. Workforce agility: A systematic literature review and research agenda. Front. Psychol. 2024, 15, 1376399. [Google Scholar] [CrossRef]
- Jiang, Z.; Wang, Y.; Li, W.; Peng, K.Z.; Wu, C.-H. Career proactivity: A bibliometric literature review and a future research agenda. Appl. Psychol. 2023, 72, 144–184. [Google Scholar] [CrossRef]
- Kolasani, S. Leadership in business innovation and transformation, navigating complex digital landscapes and enterprise technology ecosystems and achieving sustainable growth in today’s rapidly evolving market. Int. J. Holist. Manag. Perspect. 2023, 4, 1–23. [Google Scholar]
- Pradhan, B.; Kishore, K.; Gokhale, N. Social media influencers and consumer engagement: A review and future research agenda. Int. J. Consum. Stud. 2023, 47, 2106–2130. [Google Scholar] [CrossRef]
- Alalwan, A.A.; Rana, N.P.; Dwivedi, Y.K.; Algharabat, R. Social media in marketing: A review and analysis of the existing literature. Telemat. Inform. 2017, 34, 1177–1190. [Google Scholar] [CrossRef]
- Pang, H. Identifying associations between mobile social media users’ perceived values, attitude, satisfaction, and eWOM engagement: The moderating role of affective factors. Telemat. Inform. 2021, 59, 101561. [Google Scholar] [CrossRef]
- Zakharchenko, A.; Peráček, T.; Fedushko, S.; Syerov, Y.; Trach, O. When Fact-Checking and ‘BBC Standards’ Are Helpless: ‘Fake Newsworthy Event’ Manipulation and the Reaction of the ‘High-Quality Media’ on It. Sustainability 2021, 13, 573. [Google Scholar] [CrossRef]
- Sabla, Y.; Gour, S. Social Media Networking Analytics and Growth Perspectives. In ICT: Innovation and Computing; Joshi, A., Mahmud, M., Ragel, R.G., Karthik, S., Eds.; Springer Nature: Singapore, 2024; pp. 273–285. ISBN 978-981-9994-86-1. [Google Scholar]
- Aldamen, Y. Understanding Social Media Dependency, and Uses and Gratifications as a Communication System in the Migration Era: Syrian Refugees in Host Countries as a Case Study. Soc. Sci. 2023, 12, 322. [Google Scholar] [CrossRef]
- Haris, A. Digital Marketing and Consumer Engagement: A Systematic Review. Amkop Manag. Account. Rev. (AMAR) 2023, 3, 75–89. [Google Scholar] [CrossRef]
- Davids, Z.; Brown, I. The collective storytelling organisational framework for social media use. Telemat. Inform. 2021, 62, 101636. [Google Scholar] [CrossRef]
- Rabal-Conesa, J.; Jiménez-Jiménez, D.; Martínez-Costa, M. Organisational agility, environmental knowledge and green product success. J. Knowl. Manag. 2021, 26, 2440–2462. [Google Scholar] [CrossRef]
- Gligor, D.; Bozkurt, S. The role of perceived social media agility in customer engagement. J. Res. Interact. Mark. 2021, 15, 125–146. [Google Scholar] [CrossRef]
- Siman, F.A. The role of perceived social media agility in customer engagement/Fatin Atirah Siman. In Article Review: Social Media in Business Records; Jack, S., Ed.; Perpustakaan Tun Abdul Razak, Universiti Teknologi MARA Sarawak: Kota Samarahan, Malaysia, 2022; pp. 3–6. [Google Scholar]
- Dwivedi, Y.K.; Ismagilova, E.; Hughes, D.L.; Carlson, J.; Filieri, R.; Jacobson, J.; Jain, V.; Karjaluoto, H.; Kefi, H.; Krishen, A.S.; et al. Setting the future of digital and social media marketing research: Perspectives and research propositions. Int. J. Inf. Manag. 2021, 59, 102168. [Google Scholar] [CrossRef]
- Shukla, P.; Singh, J.; Wang, W. The influence of creative packaging design on customer motivation to process and purchase decisions. J. Bus. Res. 2022, 147, 338–347. [Google Scholar] [CrossRef]
- Kautish, P.; Purohit, S.; Filieri, R.; Dwivedi, Y.K. Examining the role of consumer motivations to use voice assistants for fashion shopping: The mediating role of awe experience and eWOM. Technol. Forecast. Soc. Change 2023, 190, 122407. [Google Scholar] [CrossRef]
- Zhang, M.; Berghäll, S. E-Commerce in Agri-Food Sector: A Systematic Literature Review Based on Service-Dominant Logic. J. Theor. Appl. Electron. Commer. Res. 2021, 16, 3356–3374. [Google Scholar] [CrossRef]
- Sarantidis, G. The Paradigm of Value Co-creation: A Conceptual Review. Spoud. J. Econ. Bus. 2023, 73, 24–41. [Google Scholar]
- Liang, X.; Mohd Hirwani Wan Hussain, W.; Salem, M.R.M. Mapping the digital silk road: Evolution and strategic shifts in Chinese social media marketing (2015–2025). Cogent Bus. Manag. 2025, 12, 2546086. [Google Scholar] [CrossRef]
- Bozkurt, S.; Gligor, D.; Locander, J.; Ahmad Rather, R. How social media self-efficacy and social anxiety affect customer purchasing from agile brands on social media. J. Res. Interact. Mark. 2023, 17, 813–830. [Google Scholar] [CrossRef]
- Hyun, H.; Park, J.; Hawkins, M.A.; Kim, D. How luxury brands build customer-based brand equity through phygital experience. J. Strateg. Mark. 2024, 32, 1195–1219. [Google Scholar] [CrossRef]
- Sürücü, Ö.; Öztürk, Y.; Okumus, F.; Bilgihan, A. Brand awareness, image, physical quality and employee behavior as building blocks of customer-based brand equity: Consequences in the hotel context. J. Hosp. Tour. Manag. 2019, 40, 114–124. [Google Scholar] [CrossRef]
- Upadhyay, Y.; Paul, J.; Baber, R. Effect of online social media marketing efforts on customer response. J. Consum. Behav. 2022, 21, 554–571. [Google Scholar] [CrossRef]
- Gligor, D.; Gligor, N.; Holcomb, M.; Bozkurt, S. Distinguishing between the concepts of supply chain agility and resilience: A multidisciplinary literature review. Int. J. Logist. Manag. 2019, 30, 467–487. [Google Scholar] [CrossRef]
- Bozkurt, S.; Gligor, D.M.; Babin, B.J. The role of perceived firm social media interactivity in facilitating customer engagement behaviors. Eur. J. Mark. 2021, 55, 995–1022. [Google Scholar] [CrossRef]
- Kim, E.; Drumwright, M. Engaging consumers and building relationships in social media: How social relatedness influences intrinsic vs. extrinsic consumer motivation. Comput. Hum. Behav. 2016, 63, 970–979. [Google Scholar] [CrossRef]
- Vivek, S.D.; Beatty, S.E.; Morgan, R.M. Customer Engagement: Exploring Customer Relationships Beyond Purchase. J. Mark. Theory Pract. 2012, 20, 122–146. [Google Scholar] [CrossRef]
- Wallace, E.; Torres, P.; Augusto, M.; Stefuryn, M. Do brand relationships on social media motivate young consumers’ value co-creation and willingness to pay? The role of brand love. J. Prod. Brand Manag. 2022, 31, 189–205. [Google Scholar] [CrossRef]
- Bapat, D.; Hollebeek, L.D. Customer value, customer engagement, and customer-based brand equity in the context of a digital payment app. Mark. Intell. Plan. 2023, 41, 837–853. [Google Scholar] [CrossRef]
- Sohaib, M.; Safeer, A.A.; Majeed, A. Does firm-created social media communication develop brand evangelists? Role of perceived values and customer experience. Mark. Intell. Plan. 2024, 42, 1074–1092. [Google Scholar] [CrossRef]
- Kuvykaite, R.; Piligrimiene, Z. Consumer Engagement into Brand Equity Creation. Procedia—Soc. Behav. Sci. 2014, 156, 479–483. [Google Scholar] [CrossRef]
- Vo, T.-H.; Wei-Han Tan, G.; Pham, N.T.; Truong, T.H.-D.; Ooi, K.-B. Promoting Customer Engagement and Brand Loyalty on Social Media: The Role of Virtual Influencers. Int. J. Consum. Stud. 2025, 49, e70028. [Google Scholar] [CrossRef]
- Vo Minh, S.; Nguyen Huong, G.; Dang Nguyen Ha, G. The role of social brand engagement on brand equity and purchase intention for fashion brands. Cogent Bus. Manag. 2022, 9, 2143308. [Google Scholar] [CrossRef]
- Hutter, K.; Hautz, J.; Dennhardt, S.; Füller, J. The impact of user interactions in social media on brand awareness and purchase intention: The case of MINI on Facebook. J. Prod. Brand Manag. 2013, 22, 342–351. [Google Scholar] [CrossRef]
- Sohail, M.S. Understanding consumer engagement in online brand communities: An application of self-expansion theory. J. Mark. Anal. 2023, 11, 69–81. [Google Scholar] [CrossRef]
- Żyminkowska, K.; Perek-Białas, J.; Humenny, G. The effect of product category on customer motivation for customer engagement behaviour. Int. J. Consum. Stud. 2023, 47, 299–316. [Google Scholar] [CrossRef]
- Xiao, J.; Gong, Y.; Li, J.; Tang, X.; Javeed, S.A.; Deng, Y. A Study on the Relationship Between Consumer Motivations and Subjective Well-Being: A Latent Profile Analysis. Front. Psychol. 2022, 13, 938060. [Google Scholar] [CrossRef]
- Fishbach, A.; Woolley, K. The Structure of Intrinsic Motivation. Annu. Rev. Organ. Psychol. Organ. Behav. 2022, 9, 339–363. [Google Scholar] [CrossRef]
- Nohutlu, Z.D.; Englis, B.G.; Groen, A.J.; Constantinides, E. Innovating with the Customer: Co-Creation Motives in Online Communities. Int. J. Electron. Commer. 2023, 27, 523–557. [Google Scholar] [CrossRef]
- Tran, P.D.; Le, T.D.; Nguyen, N.P.; Nguyen, U.T. The impact of source characteristics and parasocial relationship on electronic word-of-mouth influence: The moderating role of brand credibility. Asia Pac. J. Mark. Logist. 2024, 36, 2813–2830. [Google Scholar] [CrossRef]
- Abdullah, A.; Siraj, S. Brand Equity through Customer Engagement in Social Media: A Critical Review. IOSR J. Bus. Manag. 2016, 18, 38–46. [Google Scholar] [CrossRef]
- Aldhamiri, A.; Carlson, J.; Vilches-Montero, S.; Rahman, S.M.; Gudergan, S.P. What drives higher active customer engagement in luxury brands’ social media? Measurement and contingencies. J. Retail. Consum. Serv. 2024, 79, 103804. [Google Scholar] [CrossRef]
- Soleymani, A.; Aghajani, M.; Landaran, S. Identifying Factors Affecting Variety-Seeking Behavior of Customers in Online Retail Markets: A Qualitative Study. Dyn. Manag. Bus. Anal. 2024, 3, 245–257. [Google Scholar] [CrossRef]
- Brumbaugh, A.M.; Grier, S.A. Agents of Change: A Scale to Identify Diversity Seekers. J. Public Policy Mark. 2013, 32, 144–155. [Google Scholar] [CrossRef]
- Miller, R.S. Inattentive and contented: Relationship commitment and attention to alternatives. J. Personal. Soc. Psychol. 1997, 73, 758–766. [Google Scholar] [CrossRef]
- Gupta, A.; Pandey, S. Should we engage variety seeking customers? J. Asia Bus. Stud. 2022, 16, 885–903. [Google Scholar] [CrossRef]
- Menidjel, C.; Hollebeek, L.D.; Urbonavicius, S.; Sigurdsson, V. Why switch? The role of customer variety-seeking and engagement in driving service switching intention. J. Serv. Mark. 2023, 37, 592–605. [Google Scholar] [CrossRef]
- Mak, A.H.N.; Lumbers, M.; Eves, A.; Chang, R.C.Y. The effects of food-related personality traits on tourist food consumption motivations. Asia Pac. J. Tour. Res. 2017, 22, 1–20. [Google Scholar] [CrossRef]
- Martenson, R. Curiosity motivated vacation destination choice in a reward and variety-seeking perspective. J. Retail. Consum. Serv. 2018, 41, 70–78. [Google Scholar] [CrossRef]
- Gündoğan, H.; Akın, H. The Effect of Food Neophobia, Variety Seeking, and Food Consumption Motivation on Intention to Purchase Local Food. J. Tour. 2023, 9, 50–61. [Google Scholar] [CrossRef]
- Sharma, P.; Sivakumaran, B.; Marshall, R. Exploring impulse buying and variety seeking by retail shoppers: Towards a common conceptual framework. J. Mark. Manag. 2010, 26, 473–494. [Google Scholar] [CrossRef]
- Legault, L. Self-Determination Theory. In Encyclopedia of Personality and Individual Differences; Zeigler-Hill, V., Shackelford, T.K., Eds.; Springer International Publishing: Cham, Switzerland, 2017; pp. 1–9. ISBN 978-3-319-28099-8. [Google Scholar]
- Bagga, T.; Bhatt, M. A Study of Intrinsic and Extrinsic Factors Influencing Consumer Buying Behaviour Online. Asia-Pac. J. Manag. Res. Innov. 2013, 9, 77–90. [Google Scholar] [CrossRef]
- Lim, W.M.; Rasul, T. Customer engagement and social media: Revisiting the past to inform the future. J. Bus. Res. 2022, 148, 325–342. [Google Scholar] [CrossRef]
- Kulikovskaja, V.; Hubert, M.; Grunert, K.G.; Zhao, H. Driving marketing outcomes through social media-based customer engagement. J. Retail. Consum. Serv. 2023, 74, 103445. [Google Scholar] [CrossRef]
- De Oliveira Santini, F.; Ladeira, W.J.; Pinto, D.C.; Herter, M.M.; Sampaio, C.H.; Babin, B.J. Customer engagement in social media: A framework and meta-analysis. J. Acad. Mark. Sci. 2020, 48, 1211–1228. [Google Scholar] [CrossRef]
- Loureiro, S.M.C.; Ruediger, K.H.; Demetris, V. Brand emotional connection and loyalty. J. Brand Manag. 2012, 20, 13–27. [Google Scholar] [CrossRef]
- Huang, Y.; Zhang, X.; Zhu, H. How do customers engage in social media-based brand communities: The moderator role of the brand’s country of origin? J. Retail. Consum. Serv. 2022, 68, 103079. [Google Scholar] [CrossRef]
- Jeswani, R. The Role and Importance of Social Media Marketing in Brand Building. Ir. Interdiscip. J. Sci. Res. 2023, 7, 01–09. [Google Scholar] [CrossRef]
- Ahmad, S.; Wasim, S.; Irfan, S.; Gogoi, S.; Srivastava, A.; Farheen, Z. Qualitative v/s. Quantitative Research- A Summarized Review. J. Evid. Based Med. Healthc. 2019, 6, 2828–2832. [Google Scholar] [CrossRef] [PubMed]
- McNabb, D.E. Research Methods for Political Science: Quantitative and Qualitative Methods; Routledge: Oxfordshire, UK, 2015; ISBN 978-1-317-46097-8. [Google Scholar]
- Fetters, M.D.; Curry, L.A.; Creswell, J.W. Achieving Integration in Mixed Methods Designs—Principles and Practices. Health Serv. Res. 2013, 48, 2134–2156. [Google Scholar] [CrossRef] [PubMed]
- Rockinson-Szapkiw, A. The development and validation of the scholar–practitioner research development scale for students enrolled in professional doctoral programs. J. Appl. Res. High. Educ. 2018, 10, 478–492. [Google Scholar] [CrossRef]
- Koran, N.; Berkmen, B.; Adalıer, A. Mobile technology usage in early childhood: Pre-COVID-19 and the national lockdown period in North Cyprus. Educ. Inf. Technol. 2022, 27, 321–346. [Google Scholar] [CrossRef]
- Xiaozhou, D. A study on the relationship among customer behavior stickiness, motivation of shopping and customer value in the online shopping. J. Contemp. Mark. Sci. 2019, 2, 196–216. [Google Scholar] [CrossRef]
- Purwanto, A.; Sudargini, Y. Partial Least Squares Structural Squation Modeling (PLS-SEM) Analysis for Social and Management Research: A Literature Review. J. Ind. Eng. Manag. Res. 2021, 2, 114–123. [Google Scholar] [CrossRef]
- Cheung, G.W.; Cooper-Thomas, H.D.; Lau, R.S.; Wang, L.C. Reporting reliability, convergent and discriminant validity with structural equation modeling: A review and best-practice recommendations. Asia Pac. J. Manag. 2024, 41, 745–783. [Google Scholar] [CrossRef]
- Kamyabi, M.; Özgit, H.; Ahmed, J.N. Sustaining Digital Marketing Strategies to Enhance Customer Engagement and Brand Promotion: Position as a Moderator. Sustainability 2025, 17, 3270. [Google Scholar] [CrossRef]
- Yesilada, F.; Tshala, A.; Ahmed, J.; Nwosu, L. The role of perceived telemedicine quality in enhancing patient satisfaction during the COVID-19 pandemic: The mediation of telemedicine satisfaction. Multidiscip. Sci. J. 2025, 7, 2025127. [Google Scholar] [CrossRef]
- Yousaf, M.Z.; Singh, A.R.; Khalid, S.; Bajaj, M.; Kumar, B.H.; Zaitsev, I. Enhancing HVDC transmission line fault detection using disjoint bagging and bayesian optimization with artificial neural networks and scientometric insights. Sci. Rep. 2024, 14, 23610. [Google Scholar] [CrossRef] [PubMed]
- Setiadi, D.R.I.M.; Susanto, A.; Nugroho, K.; Muslikh, A.R.; Ojugo, A.A.; Gan, H.-S. Rice Yield Forecasting Using Hybrid Quantum Deep Learning Model. Computers 2024, 13, 191. [Google Scholar] [CrossRef]
- Nuhu, J.A.; Yesilada, F.; Aghaei, I. A critical assessment of male HIV/AIDS patients’ satisfaction with antiretroviral therapy and its implications for sustainable development in Sub-Saharan Africa. J. Health Organ. Manag. 2025. ahead-of-print. [Google Scholar] [CrossRef] [PubMed]
- Tessema, D.H.; Nuhu, J.A.; Obeng, H.A.; Assefa, H.K. The relationship between total quality management, patient satisfaction, service quality, and trust in the healthcare sector: The case of ethiopian public hospitals. Uluslararası Anadolu Sos. Bilim. Derg. 2024, 8, 164–176. [Google Scholar] [CrossRef]
- Susanti, M.; Samara, A. Analysis of profitability, leverage, liquidity, and activity of financial distress basic study of chemical sub sector industry listed on BEI. J. Ekon. Lemb. Layanan Pendidik. Tinggi Wil. I 2024, 1, 5–13. [Google Scholar] [CrossRef]
- Tessema, D.H.; Yesilada, F.; Aghaei, I.; Ahmed, J.N. Influence of perceived service quality on word-of-mouth: The mediating role of brand trust and student satisfaction. J. Appl. Res. High. Educ. 2024. ahead-of-print. [Google Scholar] [CrossRef]
- Obeng, H.A.; Arhinful, R.; Tessema, D.H.; Nuhu, J.A. The mediating role of organisational stress in the relationship between gender diversity and employee performance in Ghanaian public hospitals. Futur. Bus. J. 2025, 11, 38. [Google Scholar] [CrossRef]
- Ahmed, J.N.; Adalıer, A.; Özgit, H.; Kamyabi, M. Do Social Media Platforms Control the Sustainable Purchase Intentions of Younger People? Sustainability 2025, 17, 5488. [Google Scholar] [CrossRef]
- Nwosu, L.; Yesilada, F.; Aghaei, I.; Nuhu, J.A. The impact of perceived physician communication skills on revisit intention: A moderated mediation model. Gadjah Mada Int. J. Bus. 2025, 27, 221–246. [Google Scholar] [CrossRef]
- Wijaya, T.T.; Jiang, P.; Mailizar, M.; Habibi, A. Predicting Factors Influencing Preservice Teachers’ Behavior Intention in the Implementation of STEM Education Using Partial Least Squares Approach. Sustainability 2022, 14, 9925. [Google Scholar] [CrossRef]
- Welch, E.; Gligor, D.; Bozkurt, S. Exploring the impact of perceived social media agility on co-creation opportunities and brand attachment: The moderating role of technology reflectiveness. J. Prod. Amp; Brand Manag. 2024, 33, 397–409. [Google Scholar] [CrossRef]
- Onngam, W.; Charoensukmongkol, P. Effect of social media agility on performance of small and medium enterprises: Moderating roles of firm size and environmental dynamism. J. Entrep. Emerg. Econ. 2023, 16, 1611–1633. [Google Scholar] [CrossRef]
- Bağcı, R.B.; Taşçıoğlu, M. Proactive and Collaborative Strategies to Boost Customer-Brand Engagement and Experience: A Complexity Theory Approach. J. Internet Commer. 2024, 23, 262–283. [Google Scholar] [CrossRef]
- Algharabat, R.; Rana, N.P.; Alalwan, A.A.; Baabdullah, A.; Gupta, A. Investigating the antecedents of customer brand engagement and consumer-based brand equity in social media. J. Retail. Consum. Serv. 2020, 53, 101767. [Google Scholar] [CrossRef]
- Cambra-Fierro, J.J.; Fuentes-Blasco, M.; Huerta-Álvarez, R.; Olavarría, A. Customer-based brand equity and customer engagement in experiential services: Insights from an emerging economy. Serv. Bus. 2021, 15, 467–491. [Google Scholar] [CrossRef]
- Nyadzayo, M.W.; Leckie, C.; Johnson, L.W. The impact of relational drivers on customer brand engagement and brand outcomes. J. Brand Manag. 2020, 27, 561–578. [Google Scholar] [CrossRef]
- Chen, X.; Jiao, C.; Ji, R.; Li, Y. Examining Customer Motivation and Its Impact on Customer Engagement Behavior in Social Media: The Mediating Effect of Brand Experience. Sage Open 2021, 11, 21582440211052256. [Google Scholar] [CrossRef]
- van Esch, P.; Cui, Y. (Gina) Does Consumer Promiscuity Influence Purchase Intent? The Role of Artificial Intelligence (AI), Change Seeking, and Pride. J. Assoc. Consum. Res. 2021, 6, 394–401. [Google Scholar] [CrossRef]
- Ni, S.; Ueichi, H. Factors influencing behavioral intentions in livestream shopping: A cross-cultural study. J. Retail. Consum. Serv. 2024, 76, 103596. [Google Scholar] [CrossRef]
- Bozkurt, S.; Gligor, D.; Ozer, S.; Sarp, S.; Srivastava, R. The impact of perceived social media interactivity on brand trust. The mediating role of perceived social media agility and the moderating role of brand value. J. Mark. Anal. 2024, 12, 523–536. [Google Scholar] [CrossRef]


| Items | Loadings | α | CR | AVE | VIF |
|---|---|---|---|---|---|
| CBBE1 | 0.901 | 0.916 | 0.941 | 0.798 | 3.017 |
| CBBE2 | 0.890 | 2.894 | |||
| CBBE3 | 0.903 | 3.120 | |||
| CBBE4 | 0.879 | 2.565 | |||
| CE1 | 0.742 | 0.801 | 0.87 | 0.626 | 1.461 |
| CE2 | 0.758 | 1.571 | |||
| CE3 | 0.839 | 1.873 | |||
| CE4 | 0.821 | 1.659 | |||
| CM1 | 0.876 | 0.905 | 0.933 | 0.778 | 2.583 |
| CM2 | 0.905 | 3.060 | |||
| CM3 | 0.885 | 2.673 | |||
| CM4 | 0.861 | 2.377 | |||
| CS1 | 0.774 | 0.903 | 0.924 | 0.634 | 2.093 |
| CS2 | 0.805 | 2.287 | |||
| CS3 | 0.873 | 3.328 | |||
| CS4 | 0.802 | 2.235 | |||
| CS5 | 0.735 | 2.137 | |||
| CS6 | 0.819 | 2.450 | |||
| CS7 | 0.757 | 1.936 | |||
| PSMA1 | 0.668 | 0.889 | 0.915 | 0.645 | 1.623 |
| PSMA2 | 0.784 | 2.055 | |||
| PSMA3 | 0.834 | 2.406 | |||
| PSMA4 | 0.854 | 2.593 | |||
| PSMA5 | 0.866 | 2.682 | |||
| PSMA6 | 0.795 | 2.143 |
| CBBE | CE | CM | CS | PSMA | |
|---|---|---|---|---|---|
| CBBE | 0.893 | ||||
| CE | 0.607 | 0.791 | |||
| CM | 0.682 | 0.477 | 0.882 | ||
| CS | 0.757 | 0.621 | 0.674 | 0.796 | |
| PSMA | 0.629 | 0.503 | 0.580 | 0.543 | 0.803 |
| CBBE | CE | CM | CS | PSMA | |
|---|---|---|---|---|---|
| CBBE | |||||
| CE | 0.701 | ||||
| CM | 0.748 | 0.557 | |||
| CS | 0.828 | 0.718 | 0.741 | ||
| PSMA | 0.694 | 0.585 | 0.629 | 0.594 |
| R-Square | Q2predict | f-Square | |
|---|---|---|---|
| CBBE | 0.606 | 0.592 | |
| CE | 0.424 | 0.416 | |
| CM | 0.519 | 0.513 | |
| CE → CBBE | 0.150 | ||
| CM → CBBE | 0.247 | ||
| CM → CE | 0.000 | ||
| CS → CE | 0.208 | ||
| CS → CM | 0.380 | ||
| PSMA → CBBE | 0.097 | ||
| PSMA → CE | 0.057 | ||
| PSMA → CM | 0.135 |
| Path | Β | Mean | T-Statistics | p Value | Decision | |
|---|---|---|---|---|---|---|
| H1 | PSMA → CBBE | 0.253 | 0.255 | 5.156 | 0.000 | Supported |
| H2 | PSMA → CE | 0.229 | 0.234 | 4.330 | 0.000 | Supported |
| H3 | PSMA → CM | 0.304 | 0.303 | 6.639 | 0.000 | Supported |
| H4 | CE → CBBE | 0.291 | 0.290 | 7.052 | 0.000 | Supported |
| H5 | CM → CBBE | 0.397 | 0.394 | 9.208 | 0.000 | Supported |
| H6 | CM → CE | 0.018 | 0.015 | 0.286 | 0.775 | Rejected |
| H7 | CS → CE | 0.484 | 0.485 | 8.092 | 0.000 | Supported |
| H8 | CS → CM | 0.509 | 0.510 | 12.414 | 0.000 | Supported |
| Mediation | ||||||
|---|---|---|---|---|---|---|
| Path | Β | Mean | T-Statistics | p Value | Decision | |
| H9 | PSMA → CM → CBBE | 0.120 | 0.119 | 5.767 | 0.000 | Supported |
| H10 | PSMA → CE → CBBE | 0.067 | 0.068 | 3.536 | 0.000 | Supported |
| Path | Β | Mean | Standard Deviation | T Statistics | p Values |
|---|---|---|---|---|---|
| Direct Effect | |||||
| PSMA → CBBE | 0.253 | 0.255 | 0.049 | 5.156 | 0.000 |
| Indirect Effect | |||||
| PSMA → CM → CBBE | 0.120 | 0.119 | 0.021 | 5.767 | 0.000 |
| PSMA → CE → CBBE | 0.067 | 0.068 | 0.019 | 3.536 | 0.000 |
| Total Effect | |||||
| PSMA → CBBE | 0.441 | 0.444 | 0.047 | 9.427 | 0.000 |
Disclaimer/Publisher’s Note: The statements, opinions and data contained in all publications are solely those of the individual author(s) and contributor(s) and not of MDPI and/or the editor(s). MDPI and/or the editor(s) disclaim responsibility for any injury to people or property resulting from any ideas, methods, instructions or products referred to in the content. |
© 2025 by the authors. Licensee MDPI, Basel, Switzerland. This article is an open access article distributed under the terms and conditions of the Creative Commons Attribution (CC BY) license.
Share and Cite
Ikoko, C.F.; Yeşilada, F.; Aghaei, I. Navigating the Digital Landscape: The Impact of Social Media Agility on Customer-Based Brand Equity, Customer Engagement and Customer Motivation. J. Theor. Appl. Electron. Commer. Res. 2026, 21, 15. https://doi.org/10.3390/jtaer21010015
Ikoko CF, Yeşilada F, Aghaei I. Navigating the Digital Landscape: The Impact of Social Media Agility on Customer-Based Brand Equity, Customer Engagement and Customer Motivation. Journal of Theoretical and Applied Electronic Commerce Research. 2026; 21(1):15. https://doi.org/10.3390/jtaer21010015
Chicago/Turabian StyleIkoko, Chinedu Felix, Figen Yeşilada, and Iman Aghaei. 2026. "Navigating the Digital Landscape: The Impact of Social Media Agility on Customer-Based Brand Equity, Customer Engagement and Customer Motivation" Journal of Theoretical and Applied Electronic Commerce Research 21, no. 1: 15. https://doi.org/10.3390/jtaer21010015
APA StyleIkoko, C. F., Yeşilada, F., & Aghaei, I. (2026). Navigating the Digital Landscape: The Impact of Social Media Agility on Customer-Based Brand Equity, Customer Engagement and Customer Motivation. Journal of Theoretical and Applied Electronic Commerce Research, 21(1), 15. https://doi.org/10.3390/jtaer21010015

