Topic Editors

Petroleum Engineering School, Southwest Petroleum University, Chengdu 610500, China
China-Pakistan Belt and Road Joint Laboratory on Smart Disaster Prevention of Major Infrastructures, Southeast University, Nanjing 210096, China
Dr. Weibiao Qiao
School of Vehicle and Energy, Yan Shan University, Qinhuangdao 066004, China
School of Civil Engineering and Geomatics, Southwest Petroleum University, Chengdu 610500, China

Oil and Gas Pipeline Network for Industrial Applications

Abstract submission deadline
closed (30 September 2025)
Manuscript submission deadline
31 December 2025
Viewed by
40852

Topic Information

Dear Colleagues,

With the rapid growth of industrial demand, energy demand is also gradually increasing. As an important channel connecting oil and gas production and users, pipeline transportation plays an irreplaceable role. As an important infrastructure to ensure oil and gas supply, oil and gas pipelines are an important support for achieving the revolution of energy production and consumption, and an important energy guarantee for national economic and social development. Therefore, this Topic covers oil and gas pipeline safety assurance technology, oil and gas pipeline operation management technology, and related fields, to improve the level and efficiency of pipeline management and help the high-quality development of the pipeline business. In particular, the topics of interest include but are not limited to the following:

  • Application of big data technology in the field of oil and gas pipeline operation status, fault diagnosis, and risk prediction; 
  • Application and solutions of artificial intelligence in the field of oil and gas pipelines; 
  • Domestic and foreign oil and gas pipeline construction plan and engineering practice; 
  • Energy Strategy and oil and gas pipeline development; 
  • Hydrogen-doped/pure hydrogen pipeline transportation technology; 
  • CO2 pipeline transportation technology; 
  • In situ coal-to-gas gathering and transportation technology; 
  • Production and operation of oil and gas pipelines; 
  • Optimal operation of oil and gas pipelines; 
  • Oil and gas pipeline leak detection and monitoring technology; 
  • Oil and gas pipeline digital twin technology and application; 
  • City gas pipeline integrity management technology; 
  • CFD technology application.

Prof. Dr. Enbin Liu
Dr. Hongfang Lu
Dr. Weibiao Qiao
Prof. Dr. Shanbi Peng
Topic Editors

Keywords

  • modelling
  • simulation
  • pipeline
  • artificial intelligence
  • digital twin
  • optimised operation
  • transportation
  • CFD

Participating Journals

Journal Name Impact Factor CiteScore Launched Year First Decision (median) APC
Applied Sciences
applsci
2.5 5.5 2011 19.8 Days CHF 2400 Submit
Energies
energies
3.2 7.3 2008 16.2 Days CHF 2600 Submit
Fluids
fluids
1.8 4.0 2016 21.7 Days CHF 1800 Submit
Modelling
modelling
1.5 2.2 2020 19.5 Days CHF 1200 Submit
Processes
processes
2.8 5.5 2013 16 Days CHF 2400 Submit

Preprints.org is a multidisciplinary platform offering a preprint service designed to facilitate the early sharing of your research. It supports and empowers your research journey from the very beginning.

MDPI Topics is collaborating with Preprints.org and has established a direct connection between MDPI journals and the platform. Authors are encouraged to take advantage of this opportunity by posting their preprints at Preprints.org prior to publication:

  1. Share your research immediately: disseminate your ideas prior to publication and establish priority for your work.
  2. Safeguard your intellectual contribution: Protect your ideas with a time-stamped preprint that serves as proof of your research timeline.
  3. Boost visibility and impact: Increase the reach and influence of your research by making it accessible to a global audience.
  4. Gain early feedback: Receive valuable input and insights from peers before submitting to a journal.
  5. Ensure broad indexing: Web of Science (Preprint Citation Index), Google Scholar, Crossref, SHARE, PrePubMed, Scilit and Europe PMC.

Published Papers (27 papers)

Order results
Result details
Journals
Select all
Export citation of selected articles as:
21 pages, 4160 KB  
Article
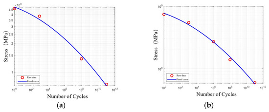
An Interpretable Machine Learning Model for Fatigue Life Prediction of Long-Distance Natural Gas Pipelines with Internal Corrosion Defects
by Zilong Nan, Liqiong Chen, Chuan Cheng and Xingyu Zhou
Processes 2025, 13(12), 3963; https://doi.org/10.3390/pr13123963 - 8 Dec 2025
Viewed by 189
Abstract
Accurately predicting the fatigue life of long-distance natural gas pipelines with internal corrosion defects is essential to ensure structural integrity and operational safety. While data-driven models offer potential in this regard, many lack interpretability. To address this, we propose a novel, interpretable machine [...] Read more.
Accurately predicting the fatigue life of long-distance natural gas pipelines with internal corrosion defects is essential to ensure structural integrity and operational safety. While data-driven models offer potential in this regard, many lack interpretability. To address this, we propose a novel, interpretable machine learning framework that combines an Extreme Gradient Boosting (XGBoost, v3.0.3) model, optimized via Particle Swarm Optimization (PSO), with SHapley Additive exPlanations (SHAP) based post hoc interpretation. A dataset of 510 samples was generated through FE simulations, incorporating realistic pipe geometry, material properties, and statistically representative corrosion defect parameters. The optimized PSO-XGBoost model demonstrated exceptional predictive performance on the test set, with a coefficient of determination (R2) of 0.9921, and a Mean Absolute Error (MAE) of 2.7491 years, significantly outperforming benchmark models. Crucially, the SHAP analysis provided global and local interpretations, revealing that the defect width coefficient (k3) and pipe diameter (D) are the most influential features, while operational pressure (P) had a minimized impact due to multicollinearity handling. The research findings can provide a basis for pipeline risk assessment and integrity management. Full article
(This article belongs to the Topic Oil and Gas Pipeline Network for Industrial Applications)
Show Figures

Figure 1

33 pages, 5432 KB  
Article
Improving Short-Term Gas Load Forecasting Accuracy: A Deep Learning Method with Dual Optimization of Dimensionality Reduction and Noise Reduction
by Enbin Liu, Xinxi He and Dianpeng Lian
Modelling 2025, 6(4), 158; https://doi.org/10.3390/modelling6040158 - 1 Dec 2025
Viewed by 289
Abstract
Accurate short-term (10–20 days) natural gas load forecasting is crucial for the “tactical planning” of gas utilities, yet it faces significant challenges from high volatility, strong noise, and the high-dimensional multicollinearity of influencing factors. To address these issues, this paper proposes a novel [...] Read more.
Accurate short-term (10–20 days) natural gas load forecasting is crucial for the “tactical planning” of gas utilities, yet it faces significant challenges from high volatility, strong noise, and the high-dimensional multicollinearity of influencing factors. To address these issues, this paper proposes a novel hybrid forecasting framework: PCCA-ISSA-GRU. The framework first employs Principal Component Correlation Analysis (PCCA), which improves upon traditional PCA by incorporating correlation analysis to effectively select orthogonal features most relevant to the load, resolving multicollinearity. Concurrently, an Improved Singular Spectrum Analysis utilizes statistical criteria (skewness and kurtosis) to adaptively separate signals from Gaussian noise, denoising the historical load sequence. Finally, the dually optimized data is fed into a Gated Recurrent Unit (GRU) neural network for prediction. Validated on real-world data from a large city in Northern China, the PCCA-ISSA-GRU model demonstrated superior performance. For a 20-day forecast horizon, it achieved a Mean Absolute Percentage Error (MAPE) of 6.09%. Results show its accuracy is not only significantly better than single models (BPNN, LSTM, GRU) and classic hybrids (ARIMA-ANN), but also outperforms the state-of-the-art (SOTA) model, Informer, within the 10–20 days tactical window. This superiority was confirmed to be statistically significant by the Diebold–Mariano test (p < 0.05). More importantly, the model exhibited exceptional robustness, with its error increase during extreme weather scenarios (e.g., cold waves, rapid temperature changes) being substantially lower (+56.7%) than that of Informer (+109.2%). The PCCA-ISSA-GRU framework provides a high-precision, highly robust, and cost-effective solution for urban gas short-term load forecasting, offering significant practical value for critical operational decisions and high-risk scenarios. Full article
(This article belongs to the Topic Oil and Gas Pipeline Network for Industrial Applications)
Show Figures

Figure 1

16 pages, 11319 KB  
Article
Dynamic Response Mechanism and Risk Assessment of Threaded Connections During Jarring Operations in Ultra-Deep Wells
by Zhe Wang, Chunsheng Wang, Zhaoyang Zhao, Shaobo Feng, Ning Li, Xiaohai Zhao and Zhanghua Lian
Modelling 2025, 6(4), 123; https://doi.org/10.3390/modelling6040123 - 10 Oct 2025
Viewed by 420
Abstract
With the frequent occurrence of stuck pipe incidents during the ultra-deep well drilling operation, the hydraulic-while-drilling (HWD) jar has become a critical component of the bottom hole assembly (BHA). However, during jarring operations for stuck pipe release, the drill string experiences severe vibrations [...] Read more.
With the frequent occurrence of stuck pipe incidents during the ultra-deep well drilling operation, the hydraulic-while-drilling (HWD) jar has become a critical component of the bottom hole assembly (BHA). However, during jarring operations for stuck pipe release, the drill string experiences severe vibrations induced by the impact loads from the jar, which significantly alter the stress state and dynamic response of the threaded connections—the structurally weakest elements—under cyclic dynamic loading, often leading to fracture failures. here, a thread failure incident of a hydraulic jar in an ultra-deep well in the Tarim Basin, Xinjiang, is investigated. A drill string dynamic impact model incorporating the actual three-dimensional wellbore trajectory is established to capture the time-history characteristics of multi-axial loads at the threaded connection during up and down jarring. Meanwhile, a three-dimensional finite element model of a double-shouldered threaded connection with helix angle is developed, and the stress distribution of the joint thread is analyzed on the boundary condition acquired from the time-history characteristics of multi-axial loads. Numerical results indicate that the axial compression induces local bending of the drill string during down jarring, resulting in significantly greater bending moment fluctuations than in up jarring and a correspondingly higher amplitude of circumferential acceleration at the thread location. Among all thread positions, the first thread root at the pin end consistently experiences the highest average stress and stress variation, rendering it most susceptible to fatigue failure. This study provides theoretical and practical insights for optimizing drill string design and enhancing the reliability of threaded connections in deep and ultra-deep well drilling. Full article
(This article belongs to the Topic Oil and Gas Pipeline Network for Industrial Applications)
Show Figures

Graphical abstract

24 pages, 3995 KB  
Article
Research on Leakage Localization in Gaseous CO2 Pipelines Using the Acoustic Emission Method
by Xinze Li and Yao Ma
Appl. Sci. 2025, 15(19), 10501; https://doi.org/10.3390/app151910501 - 28 Sep 2025
Viewed by 593
Abstract
In the CCUS industrial chain, the pipeline transportation of CO2 is a crucial link that connects the upstream and downstream. However, currently, there is still no reliable, stable, and efficient method for detecting pipeline leaks. Based on the time difference in arrival [...] Read more.
In the CCUS industrial chain, the pipeline transportation of CO2 is a crucial link that connects the upstream and downstream. However, currently, there is still no reliable, stable, and efficient method for detecting pipeline leaks. Based on the time difference in arrival (TDOA) localization method within the acoustic emission technique, this study conducted preliminary experiments on air pipeline leak localization and experiments on gaseous CO2 pipeline leak localization, thereby establishing the applicability of acoustic emission technology for leak detection in gaseous CO2 pipelines. In the preliminary experiment on air pipeline leak location, the SNR (signal-to-noise ratio) of the CEEMDAN denoising algorithm is greater than that of the EEMD denoising algorithm. The larger the SNR, the smaller the signal interference, which proves the superiority of the CEEMDAN denoising algorithm. In the experiment on gaseous CO2 pipeline leak location, the CEEMDAN denoising algorithm was adopted. Five time-delay estimation methods, namely GCC, Roth weighting, PHAT weighting, ML weighting, and SCOT weighting, were used for location calculations. The positioning accuracies were 10.6%, 6.9%, 6.9%, 8.6%, and 8.6% respectively, all meeting the engineering accuracy requirements. Combining the results of the preliminary experiment on air pipeline leak location, the Roth weighting time-delay estimation method is recommended. The results show that: Acoustic emission technology can be used for the leak location of gaseous CO2 pipelines. Full article
(This article belongs to the Topic Oil and Gas Pipeline Network for Industrial Applications)
Show Figures

Figure 1

19 pages, 5279 KB  
Article
Research on Carbon Dioxide Pipeline Leakage Localization Based on Gaussian Plume Model
by Xinze Li, Fengming Li, Jiajia Chen, Zixu Wang, Dezhong Wang and Yanqi Ran
Processes 2025, 13(9), 2994; https://doi.org/10.3390/pr13092994 - 19 Sep 2025
Viewed by 648
Abstract
Carbon dioxide (CO2) is a non-toxic asphyxiant gas that, once released, can pose severe risks, including suffocation, poisoning, frostbite, and even death. As a critical component of carbon capture, utilization, and storage (CCUS) technology, CO2 pipeline transportation requires reliable leakage [...] Read more.
Carbon dioxide (CO2) is a non-toxic asphyxiant gas that, once released, can pose severe risks, including suffocation, poisoning, frostbite, and even death. As a critical component of carbon capture, utilization, and storage (CCUS) technology, CO2 pipeline transportation requires reliable leakage detection and precise localization to safeguard the environment, ensure pipeline operational safety, and support emergency response strategies. This study proposes an inversion model that integrates wireless sensor networks (WSNs) with the Gaussian plume model for CO2 pipeline leakage monitoring. The WSN is employed to collect real-time CO2 concentration data and environmental parameters around the pipeline, while the Gaussian plume model is used to simulate and invert the dispersion process, enabling both leak source localization and emission rate estimation. Simulation results demonstrate that the proposed model achieves a source localization error of 12.5% and an emission rate error of 3.5%. Field experiments further confirm the model’s applicability, with predicted concentrations closely matching the measurements, yielding an error range of 3.5–14.7%. These findings indicate that the model satisfies engineering accuracy requirements and provides a technical foundation for emergency response following CO2 pipeline leakage. Full article
(This article belongs to the Topic Oil and Gas Pipeline Network for Industrial Applications)
Show Figures

Figure 1

15 pages, 3730 KB  
Article
Study on a Repair Clamp Device for Leakage Prevention in Defective Pipes
by Jiajun Feng, Xinjie Suo, Xiaoling Liao, Hong Wang, Linming Xia, Yuxuan Song and Yuebing Li
Appl. Sci. 2025, 15(16), 9019; https://doi.org/10.3390/app15169019 - 15 Aug 2025
Viewed by 1078
Abstract
Clamp repair is a primary method for defective pipe rehabilitation, but the application of repair clamps can conversely affect the safety of the defective pipe. This study presents an optimized repair clamp structure for a defective pipe with diameter of 219 mm through [...] Read more.
Clamp repair is a primary method for defective pipe rehabilitation, but the application of repair clamps can conversely affect the safety of the defective pipe. This study presents an optimized repair clamp structure for a defective pipe with diameter of 219 mm through finite element analysis and experimental validation, with a consideration of the sealing performance of clamp. The sealing capability is first verified by contact pressure analysis. When the medium pressure increased from 5 MPa to 20 MPa, the sealing contact pressure correspondingly rose from 11.6 MPa to 27.2 MPa, consistently exceeding the medium pressure. A sensitivity analysis of the maximum safe pressure of defective pipe is then conducted, evaluating critical parameters including defect dimensions, clamp installation distance, and applied pressure range. To ensure safe pipe operation, the recommended optimal installation distance is approximately 40 mm. A hydrostatic pressure test is performed for final validation. Results confirmed the clamp’s robust sealing performance, enabling defective pipe to operate normally at 7.5 MPa medium pressure. Full article
(This article belongs to the Topic Oil and Gas Pipeline Network for Industrial Applications)
Show Figures

Figure 1

19 pages, 667 KB  
Review
A Review of Optimization Methods for Pipeline Monitoring Systems: Applications and Challenges for CO2 Transport
by Teke Xu, Sergey Martynov and Haroun Mahgerefteh
Energies 2025, 18(14), 3591; https://doi.org/10.3390/en18143591 - 8 Jul 2025
Cited by 1 | Viewed by 1587
Abstract
Carbon Capture and Storage (CCS) is a key technology for reducing anthropogenic greenhouse gas emissions, in which pipelines play a vital role in transporting CO2 captured from industrial emitters to geological storage sites. To aid the efficient and safe operation of the [...] Read more.
Carbon Capture and Storage (CCS) is a key technology for reducing anthropogenic greenhouse gas emissions, in which pipelines play a vital role in transporting CO2 captured from industrial emitters to geological storage sites. To aid the efficient and safe operation of the CO2 transport infrastructure, robust, accurate, and reliable solutions for monitoring pipelines transporting industrial CO2 streams are urgently needed. This literature review study summarizes the monitoring objectives and identifies the problems and relevant mathematical algorithms developed for optimization of monitoring systems for pipeline transportation of water, oil, and natural gas, which can be relevant to the future CO2 pipelines and pipeline networks for CCS. The impacts of the physical properties of CO2 and complex designs and operation scenarios of CO2 transport on the pipeline monitoring systems design are discussed. It is shown that the most relevant to liquid- and dense-phase CO2 transport are the sensor placement optimization methods developed in the context of detecting leaks and flow anomalies for water distribution systems and pipelines transporting oil and petroleum liquids. The monitoring solutions relevant to flow assurance and monitoring impurities in CO2 pipelines are also identified. Optimizing the CO2 pipeline monitoring systems against several objectives, including the accuracy of measurements, the number and type of sensors, and the safety and environmental risks, is discussed. Full article
(This article belongs to the Topic Oil and Gas Pipeline Network for Industrial Applications)
Show Figures

Figure 1

17 pages, 5399 KB  
Article
Experimental Research of the Possibility of Applying the Hartmann–Sprenger Effect to Regulate the Pressure of Natural Gas in Non-Stationary Conditions
by Artem Belousov, Vladimir Lushpeev, Anton Sokolov, Radel Sultanbekov, Yan Tyan, Egor Ovchinnikov, Aleksei Shvets, Vitaliy Bushuev and Shamil Islamov
Processes 2025, 13(4), 1189; https://doi.org/10.3390/pr13041189 - 14 Apr 2025
Cited by 31 | Viewed by 1707
Abstract
This research focuses on the development of a quasi-isothermal pressure regulator based on the principle of flow mixing after energy separation. Currently, no established methods exist for designing pressure reduction devices that utilize energy separation effects, and this study aims to fill this [...] Read more.
This research focuses on the development of a quasi-isothermal pressure regulator based on the principle of flow mixing after energy separation. Currently, no established methods exist for designing pressure reduction devices that utilize energy separation effects, and this study aims to fill this gap. The paper presents experimental results on the performance of a pressure reduction device operating based on the Hartmann–Sprenger effect. This study investigated the hypothesis that by selecting the size of resonators, relative distances, and their mutual location, it would be possible to realize pressure regulation, simultaneously providing both the maintenance of a significant effect and the full provision of the functions of pressure regulators operating in non-stationary conditions. The experiments involved three resonators (45.5 mm, 70.5 mm, and 97.5 mm) in regurgitant mode. The findings revealed that the smallest resonator demonstrated the highest rate of temperature increase, with an average value of 2.36 K/s. The medium resonator exhibited the highest reliability under non-stationary conditions, while the largest resonator provided the highest temperature, with a maximum excess of 102 K over the temperature in front of the nozzle. The primary goal of this study was to develop technology suitable for installation at a pressure reduction station, considering mass and dimensional constraints. Full article
(This article belongs to the Topic Oil and Gas Pipeline Network for Industrial Applications)
Show Figures

Figure 1

22 pages, 6378 KB  
Article
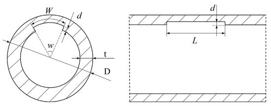
Explainable Ensemble Learning Model for Residual Strength Forecasting of Defective Pipelines
by Hongbo Liu and Xiangzhao Meng
Appl. Sci. 2025, 15(7), 4031; https://doi.org/10.3390/app15074031 - 6 Apr 2025
Cited by 1 | Viewed by 1134
Abstract
The accurate prediction of the residual strength of defective pipelines is a critical prerequisite for ensuring the safe operation of oil and gas pipelines, and it holds significant implications for the pipeline’s remaining service life and preventive maintenance. Traditional machine learning algorithms often [...] Read more.
The accurate prediction of the residual strength of defective pipelines is a critical prerequisite for ensuring the safe operation of oil and gas pipelines, and it holds significant implications for the pipeline’s remaining service life and preventive maintenance. Traditional machine learning algorithms often fail to comprehensively account for the correlative factors influencing the residual strength of defective pipelines, exhibit limited capability in extracting nonlinear features from data, and suffer from insufficient predictive accuracy. Furthermore, the predictive models typically lack interpretability. To address these issues, this study proposes a hybrid prediction model for the residual strength of defective pipelines based on Bayesian optimization (BO) and eXtreme Gradient Boosting (XGBoost). This approach resolves the issues of excessive iterations and high computational costs associated with conventional hyperparameter optimization methods, significantly enhancing the model’s predictive performance. The model’s prediction performance is evaluated using mainstream metrics such as the Mean Absolute Percentage Error (MAPE), Coefficient of Determination (R2), Root Mean Square Error (RMSE), robustness analysis, overfitting analysis, and grey relational analysis. To enhance the interpretability of the model’s predictions, reveal the significance of features, and confirm prior domain knowledge, Shapley additive explanations (SHAP) are employed to conduct the relevant research. The results indicate that, compared with Random Forest, LightGBM, Support Vector Machine, gradient boosting regression tree, and Multi-Layer Perceptron, the BO-XGBoost model exhibits the best prediction performance, with MAPE, R2, and RMSE values of 5.5%, 0.971, and 1.263, respectively. Meanwhile, the proposed model demonstrates the highest robustness, the least tendency for overfitting, and the most significant grey relation degree value. SHAP analysis reveals that the factors influencing the residual strength of defective pipelines, ranked in descending order of importance, are defect depth (d), wall thickness (t), yield strength (σy), external diameter (D), defect length (L), tensile strength (σu), and defect width (w). The development of this model contributes to improving the integrity management of oil and gas pipelines and provides decision support for the intelligent management of defective pipelines in oil and gas fields. Full article
(This article belongs to the Topic Oil and Gas Pipeline Network for Industrial Applications)
Show Figures

Figure 1

15 pages, 6196 KB  
Article
Analysis and Control of Abnormal Wear of Reciprocating Compressors in Natural Gas Underground Storage Caverns
by Sijia Zheng, Zhixiang Dai, Fei Wang, Feng Wang, Yongbo Wang, Qin Bie, Wei Jiang, Jingdong Chen, Zicheng Peng and Jie Sun
Processes 2025, 13(4), 996; https://doi.org/10.3390/pr13040996 - 26 Mar 2025
Viewed by 727
Abstract
Throughout China’s 14th five-year plan, the national natural gas pipeline network has been interconnected, and the gas quality became increasingly complex. A certain amount of dust particles widely spread in the natural gas pipeline and lead to abnormal wear of the reciprocating compressor’s [...] Read more.
Throughout China’s 14th five-year plan, the national natural gas pipeline network has been interconnected, and the gas quality became increasingly complex. A certain amount of dust particles widely spread in the natural gas pipeline and lead to abnormal wear of the reciprocating compressor’s compression cylinder within the underground storage cavern. The wear characteristics of the compression cylinder are effectively demonstrated based on the tangential impact energy model, and combined with field measurement and the moving-grid method of computational fluid dynamics. The results reveal that the lubricating oil forms “grinding paste” when mixed with dust particles. With an increase in the dust mass concentration from 0.01% to 3.00%, the viscosity of the “grinding paste” increases from 450,800 mPa·s to 1,274,000 mPa·s, and the density increases from 890 kg/m3 to 980 kg/m3. The abnormal wear frequently occurs at the 12 o’clock and 6 o’clock directions of the compression cylinder. When the piston is in the midpoint of the stroke, the wall shear rate and the wear rate are the highest. When the piston is at both endpoints of the stroke, the wall shear rate and the wear rate are the lowest. For every 1000 h of operation without repairing the cylinder, the dust concentration should be controlled below 0.60%. For every 5000 h and 10,000 h of operation without replacing the cylinder, the dust concentration should be controlled below 1.3% and 0.4%. When the dust mass concentration is 0.01%, the wear rate decreases with decreasing lubricating oil viscosity. When the dust mass concentration is 0.51% and 1.0%, and the lubricating oil viscosities are 259,700 mPa·s, 220,500 mPa·s, and 196,980 mPa·s, the wear rate increases dramatically with decreasing lubricating oil viscosity. Full article
(This article belongs to the Topic Oil and Gas Pipeline Network for Industrial Applications)
Show Figures

Graphical abstract

24 pages, 8527 KB  
Article
Real-Time Elbow and T-Junction Detection and Estimation Framework for In-Line Inspection in Natural Gas Pipelines Using 3D Point Cloud
by Hoa-Hung Nguyen, Jae-Hyun Park, Jae-Jun Kim, Kwanghyun Yoo, Dong-Kyu Kim and Han-You Jeong
Appl. Sci. 2025, 15(6), 3397; https://doi.org/10.3390/app15063397 - 20 Mar 2025
Cited by 1 | Viewed by 928
Abstract
In-line inspection (ILI) is essential for maintaining the integrity of natural gas pipelines. In ILI, pipeline inspection gauges (PIGs) autonomously navigate through pipelines under real-time and resource-constrained conditions to measure pipeline irregularities. Elbow and T-junction detection and estimation (ETDE) play a critical role [...] Read more.
In-line inspection (ILI) is essential for maintaining the integrity of natural gas pipelines. In ILI, pipeline inspection gauges (PIGs) autonomously navigate through pipelines under real-time and resource-constrained conditions to measure pipeline irregularities. Elbow and T-junction detection and estimation (ETDE) play a critical role in enabling PIG navigation to avoid speed excursions which prevent effective data collection or even damage the PIG and pipelines. Existing approaches are often computationally intensive, incomplete, or late estimations, making them unsuitable for real-time operation in such environments. This paper proposes a real-time elbow and T-junction detection and estimation (RT-ETDE) framework that efficiently detects elbows and T-junctions and estimates their critical parameters for PIG navigation using 3D point clouds. Our framework relies on intelligent point cloud partition and feature extraction together with simple geometric solutions which greatly reduce computational complexity. Furthermore, several real-time adaptation techniques are introduced to ensure real-time operation. Experimental results on a prototype pipeline demonstrate that the RT-ETDE framework consistently detects elbows and T-junctions while achieving a 10 Hz frame rate on a real PIG processing unit, validating its suitability for next-generation pipeline inspection systems. Full article
(This article belongs to the Topic Oil and Gas Pipeline Network for Industrial Applications)
Show Figures

Figure 1

21 pages, 15426 KB  
Article
Numerical Simulation on Aerodynamic Noise of (K)TS Control Valves in Natural Gas Transmission and Distribution Stations in Southwest China
by Xiaobo Feng, Lu Yu, Hui Cao, Ling Zhang, Yizhi Pei, Jingchen Wu, Wenhao Yang and Junmin Gao
Energies 2025, 18(4), 968; https://doi.org/10.3390/en18040968 - 17 Feb 2025
Viewed by 837
Abstract
Fluid dynamic noise produced by eddy disturbances and friction along pipe walls poses a significant challenge in natural gas transmission and distribution stations. (K)TS control valves are widely used in natural gas transmission and distribution stations across Southwest China and are among the [...] Read more.
Fluid dynamic noise produced by eddy disturbances and friction along pipe walls poses a significant challenge in natural gas transmission and distribution stations. (K)TS control valves are widely used in natural gas transmission and distribution stations across Southwest China and are among the primary sources of noise in these facilities. In this study, a 3D geometric model of the (K)TS valve was developed, and the gas flow characteristics were simulated to analyze the gas flow field and sound field within the valve under varying pipeline flow velocities, outlet pressures, and valve openings. The results demonstrate that accurate calculations of the 3D valve model can be achieved with a grid cell size of 3.6 mm and a boundary layer set to 3. The noise-generating regions of the valve are concentrated around the throttle port, valve chamber, and valve inlet. The primary factors contributing to the aerodynamic noise include high gas flow velocity gradients, intense turbulence, rapid turbulent energy dissipation, and vortex formation and shedding within the valve. An increase in inlet flow velocity intensifies turbulence and energy dissipation inside the valve, while valve opening primarily influences the size of vortex rings in the valve chamber and throttle outlet. In contrast, outlet pressure exerts a relatively weak effect on the flow field characteristics within the valve. Under varying operating conditions, the noise directivity distribution remains consistent, exhibiting symmetrical patterns along the central axis of the flow channel and forming six-leaf or four-leaf flower shapes. As the distance from the monitoring point to the valve increases, noise propagation becomes more concentrated in the vertical direction of the valve. These findings provide a theoretical basis for understanding the mechanisms of aerodynamic noise generation within (K)TS control valves during natural gas transmission, and can also offer guidance for designing noise reduction solutions for valves. Full article
(This article belongs to the Topic Oil and Gas Pipeline Network for Industrial Applications)
Show Figures

Figure 1

18 pages, 9478 KB  
Article
Robust and Unbiased Estimation of Robot Pose and Pipe Diameter for Natural Gas Pipeline Inspection Using 3D Time-of-Flight (ToF) Sensors
by Hoa-Hung Nguyen, Jae-Hyun Park, Jae-Jun Kim, Kwanghyun Yoo, Dong-Kyu Kim and Han-You Jeong
Appl. Sci. 2025, 15(4), 2105; https://doi.org/10.3390/app15042105 - 17 Feb 2025
Cited by 3 | Viewed by 1429
Abstract
The estimation of robot pose and pipe diameter is an essential task for reliable in-line inspection (ILI) operations and the accurate assessment of pipeline attributes. This paper addresses the problem of robot pose and pipe diameter estimation for natural gas pipelines based on [...] Read more.
The estimation of robot pose and pipe diameter is an essential task for reliable in-line inspection (ILI) operations and the accurate assessment of pipeline attributes. This paper addresses the problem of robot pose and pipe diameter estimation for natural gas pipelines based on 3D time-of-flight (ToF) sensors. To tackle this challenge, we model the problem as a non-linear least-squares optimization that fits 3D ToF sensor measurements in its local coordinates to an elliptic cylindrical model of the pipe inner surface. We identify and prove that the canonical ellipse-based estimation method (C-EPD), which uses a canonical residual function, suffers from bias in diameter estimation due to its asymmetry to depth errors. To overcome this limitation, we propose the robust and unbiased estimation of pose and diameter (RU-EPD) approach, which employs a novel error-based residual function. The proposed function is symmetric to depth errors, effectively reducing estimation bias. Extensive numerical simulations and prototype pipeline experiments demonstrate that RU-EPD outperforms C-EPD, achieving an at least six times lower estimation bias and a 2.5 times smaller estimation error range in pipe diameter and about a 2 times smaller estimation error range in pose estimation. Full article
(This article belongs to the Topic Oil and Gas Pipeline Network for Industrial Applications)
Show Figures

Figure 1

21 pages, 2911 KB  
Article
Fast and Accurate Prediction of Corrosion Rate of Natural Gas Pipeline Using a Hybrid Machine Learning Approach
by Hongbo Liu, Xinlei Cai and Xiangzhao Meng
Appl. Sci. 2025, 15(4), 2023; https://doi.org/10.3390/app15042023 - 14 Feb 2025
Cited by 3 | Viewed by 2705
Abstract
The precise prediction of natural gas pipeline corrosion rates holds great significance for pipeline maintenance and corrosion control. Existing prediction methods, especially traditional models, often fail to adequately consider noise interference and the strong nonlinear characteristics of corrosion data, resulting in insufficient prediction [...] Read more.
The precise prediction of natural gas pipeline corrosion rates holds great significance for pipeline maintenance and corrosion control. Existing prediction methods, especially traditional models, often fail to adequately consider noise interference and the strong nonlinear characteristics of corrosion data, resulting in insufficient prediction accuracy. To enhance predictive performance, a hybrid prediction model based on machine learning is been proposed. This model consists of three main components: data processing, model optimization, and prediction performance evaluation. In this model, data decomposition algorithms and principal component analysis are employed to eliminate redundant noise from the original data and capture their primary features. A stratified sampling method is utilized to divide the data into a training set and test set, avoiding biases caused by random sampling. A modified particle swarm optimization algorithm is applied to optimize the parameters of a back propagation neural network. The model’s predictive performance is assessed using various indicators, including R2, MAPE, RMSE, MAE, U1, U2, RE, forecasting effectiveness, comparing the results with existing literature, Grey Relational Analysis, and interpretability research. The proposed prediction model is compared with eight advanced prediction models using data from a natural gas pipeline in western China. This study reveals that the developed model outperforms the others, demonstrating excellent prediction accuracy and effectively guiding the formulation of corrosion control measures. Full article
(This article belongs to the Topic Oil and Gas Pipeline Network for Industrial Applications)
Show Figures

Figure 1

20 pages, 4825 KB  
Article
Risk Diagnosis Analysis of Ethane Storage Tank Leakage Based on Fault Tree and Fuzzy Bayesian Network
by Min Pang, Zheyuan Zhang, Zhaoming Zhou and Qing Li
Appl. Sci. 2025, 15(4), 1754; https://doi.org/10.3390/app15041754 - 9 Feb 2025
Cited by 3 | Viewed by 1288
Abstract
This study proposes a risk assessment method for ethane tank leakage based on Fault Tree Analysis (FTA) and the Fuzzy Bayesian Network (FBN). It aims to diagnose and probabilistically evaluate system risks in scenarios where leakage data are imprecise and insufficient. Initially, a [...] Read more.
This study proposes a risk assessment method for ethane tank leakage based on Fault Tree Analysis (FTA) and the Fuzzy Bayesian Network (FBN). It aims to diagnose and probabilistically evaluate system risks in scenarios where leakage data are imprecise and insufficient. Initially, a fault tree for ethane tank leakage risk is constructed using the connectivity of logical gates. Then, through the analysis of minimal cut sets, the fundamental causes of ethane tank leakage risk are identified, including cracking, instability, and corrosion perforation. Subsequently, the fault tree is mapped into a Bayesian network, which is then integrated to transform it into an FTA–FBN risk diagnostic probability model. Prior probabilities of parent nodes and conditional probability tables are obtained through fuzzy mathematics principles and expert guidance. These are combined with Bayesian inference to derive posterior probabilities, thereby determining the contribution of each basic event to the ethane tank leakage risk. By leveraging the advantages of the fuzzy Bayesian network in handling uncertain problems, the model and analysis effectively address the ambiguities encountered in real-world scenarios. In order to better cope with the uncertainty of leakage, the weakest t-norm algorithm and the similarity aggregation method are introduced for the parameter learning of the fuzzy Bayesian network to achieve an accurate solution of the model. Finally, this integrated model is used in a real case to study the causes of ethane storage tank leakage. The research results are of great scientific significance for revealing the evolution mechanism of ethane storage tank leakage accidents and ensuring system safety throughout the life cycle. Full article
(This article belongs to the Topic Oil and Gas Pipeline Network for Industrial Applications)
Show Figures

Figure 1

22 pages, 2326 KB  
Review
Basic Theory and Applications of Oil and Gas Pipeline Non-Destructive Testing Methods
by Yuqin Wang, Fei Song, Qingshan Feng, Weibiao Qiao, Shaohua Dong, Yangyang Jiang and Qianli Ma
Energies 2024, 17(24), 6366; https://doi.org/10.3390/en17246366 - 18 Dec 2024
Cited by 7 | Viewed by 2940
Abstract
In recent years, with the increasing construction mileage of oil and gas pipelines (OGPs), the aging problem of OGPs has become increasingly prominent, so, ensuring the safety of OGPs is of great significance. In addition, the safety of OGP transportation is also an [...] Read more.
In recent years, with the increasing construction mileage of oil and gas pipelines (OGPs), the aging problem of OGPs has become increasingly prominent, so, ensuring the safety of OGPs is of great significance. In addition, the safety of OGP transportation is also an important component of pipeline integrity. Therefore, to ensure the safety of OGP transportation, regular OGP inspections should be carried out. During this process, defects in the OGP and measured wall thickness information should be recorded to provide a basis for subsequent pipeline repair or replacement. This study analyzes the literature on pipeline testing and reviews approximately eighty articles. Based on these articles, we summarize the types of common OGP defects and review the basic principles of various non-destructive testing methods for pipelines, including electromagnetic acoustic transducer inspection, magnetic flux leakage testing, ultrasonic testing, and eddy current testing. We also provide a detailed introduction to the applications and innovative testing methods based on the above OGP inspection methods. Finally, an analysis and outlook on the future research focus of OGP inspection technology are presented. This research suggests that different detection methods should be used for different types of defects, such as using the magnetic leakage method for the internal detection of natural gas pipelines. Full article
(This article belongs to the Topic Oil and Gas Pipeline Network for Industrial Applications)
Show Figures

Figure 1

16 pages, 6596 KB  
Article
Study on Explosion Venting Characteristics of L-Type Venting Duct
by Fan Wu, Xing Zhou, Yongmei Hao and Sunqi Zhuang
Processes 2024, 12(12), 2726; https://doi.org/10.3390/pr12122726 - 2 Dec 2024
Cited by 1 | Viewed by 1050
Abstract
The failure state of the natural gas pipelines in underground space may cause explosions, and an explosion flow field is affected by the structure of the venting duct. Based on FLACS software v9.0, the influence of the explosion vent and venting duct on [...] Read more.
The failure state of the natural gas pipelines in underground space may cause explosions, and an explosion flow field is affected by the structure of the venting duct. Based on FLACS software v9.0, the influence of the explosion vent and venting duct on temperature and pressure fields is studied. The results show that when the area of the explosion vent increases from 0 to 100 cm2, the peak overpressure decreases by half, and the overpressure drops to zero within 0.3 s. For different L-type venting ducts, when the structural coefficient is less than 5, the peak overpressures and pressure variations are similar. When the structural coefficient is equal to 5, the peak overpressure significantly decreases, and the time to reach the peak value is extended by 50%. From the perspective of achieving a safe and efficient venting effect, the optimal structural coefficient is 5 for the L-type venting duct. Full article
(This article belongs to the Topic Oil and Gas Pipeline Network for Industrial Applications)
Show Figures

Figure 1

13 pages, 5482 KB  
Article
Simulation Analysis of the Annular Liquid Disturbance Induced by Gas Leakage from String Seals During Annular Pressure Relief
by Qiang Du, Ruikang Ke, Xiangwei Bai, Cheng Du, Zhaoqian Luo, Yao Huang, Lang Du, Senqi Pei and Dezhi Zeng
Modelling 2024, 5(4), 1674-1686; https://doi.org/10.3390/modelling5040087 - 8 Nov 2024
Viewed by 1110
Abstract
Due to the failure of string seals, gas can leak and result in the abnormal annulus pressure in gas wells, so it is necessary to relieve the pressure in gas wells. In the process of pressure relief, the leaked gas enters the annulus, [...] Read more.
Due to the failure of string seals, gas can leak and result in the abnormal annulus pressure in gas wells, so it is necessary to relieve the pressure in gas wells. In the process of pressure relief, the leaked gas enters the annulus, causes a the great disturbance to the annulus flow field, and thus reduces the protection performance of the annular protection fluid in the string. In order to investigate the influence of gas leakage on the annular flow field, a VOF finite element model of the gas-liquid two-phase flow disturbed by gas leakage in a casing was established to simulate the transient flow field in the annular flow disturbed by gas leakage, and the influences of leakage pressure differences, leakage direction, and leakage time on annular flow field disturbance and wall shear force were analyzed. The analysis results showed that the larger leakage pressure difference corresponded to the faster diffusion rate of the leaked gas in the annulus, the faster the flushing rate of the leaked gas against the casing wall, and a larger shear force on the tubing wall was detrimental to the formation of the corrosion inhibitor film on the tubing wall and casing wall. Under the same conditions, the shear action on the outer wall of tubing in the leakage direction of 90° was stronger than that in the leakage directions of 135° and 45° and the diffusion range was also larger. With the increase in leakage time, leaked gas further moved upward in the annulus and the shear effect on the outer wall of tubing was gradually strengthened. The leaked acid gas flushed the outer wall of casing, thus increasing the peeling-off risk of the corrosion inhibitor film. The study results show that the disturbance law of gas leakage to annular protection fluid is clear, and it was suggested to reduce unnecessary pressure relief time in the annulus to ensure the safety and integrity of gas wells. Full article
(This article belongs to the Topic Oil and Gas Pipeline Network for Industrial Applications)
Show Figures

Figure 1

21 pages, 7042 KB  
Article
Development of Machine Learning-Based Production Forecasting for Offshore Gas Fields Using a Dynamic Material Balance Equation
by Junhyeok Hyoung, Youngsoo Lee and Sunlee Han
Energies 2024, 17(21), 5268; https://doi.org/10.3390/en17215268 - 23 Oct 2024
Cited by 3 | Viewed by 2500
Abstract
Offshore oil and gas fields pose significant challenges due to their lower accessibility compared to onshore fields. To enhance operational efficiency in these deep-sea environments, it is essential to design optimal fluid production conditions that ensure equipment durability and flow safety. This study [...] Read more.
Offshore oil and gas fields pose significant challenges due to their lower accessibility compared to onshore fields. To enhance operational efficiency in these deep-sea environments, it is essential to design optimal fluid production conditions that ensure equipment durability and flow safety. This study aims to develop a smart operational solution that integrates data from three offshore gas fields with a dynamic material balance equation (DMBE) method. By combining the material balance equation and inflow performance relation (IPR), we establish a reservoir flow analysis model linked to an AI-trained production pipe and subsea pipeline flow analysis model. We simulate time-dependent changes in reservoir production capacity using DMBE and IPR. Additionally, we utilize SLB’s PIPESIM software to create a vertical flow performance (VFP) table under various conditions. Machine learning techniques train this VFP table to analyze pipeline flow characteristics and parameter correlations, ultimately developing a model to predict bottomhole pressure (BHP) for specific production conditions. Our research employs three methods to select the deep learning model, ultimately opting for a multilayer perceptron (MLP) combined with regression. The trained model’s predictions show an average error rate of within 1.5% when compared with existing commercial simulators, demonstrating high accuracy. This research is expected to enable efficient production management and risk forecasting for each well, thus increasing revenue, minimizing operational costs, and contributing to stable plant operations and predictive maintenance of equipment. Full article
(This article belongs to the Topic Oil and Gas Pipeline Network for Industrial Applications)
Show Figures

Figure 1

21 pages, 8403 KB  
Article
Research on the Dynamic Leaking and Diffusion Law of Hydrogen-Blended Natural Gas under the Soil–Atmosphere Coupled Model
by Shuai Ren, Jingyi Huang, Jiuqing Ban, Jiyong Long, Xin Wang and Gang Liu
Energies 2024, 17(20), 5035; https://doi.org/10.3390/en17205035 - 10 Oct 2024
Cited by 1 | Viewed by 1403
Abstract
With the breakthrough in mixing hydrogen into natural gas pipelines for urban use, the widespread application of hydrogen-blended natural gas (HBNG) in energy delivery is imminent. However, this development also introduces significant safety concerns due to notable disparities in the physical and chemical [...] Read more.
With the breakthrough in mixing hydrogen into natural gas pipelines for urban use, the widespread application of hydrogen-blended natural gas (HBNG) in energy delivery is imminent. However, this development also introduces significant safety concerns due to notable disparities in the physical and chemical properties between methane and hydrogen, heightening the risks associated with gas leaks. Current models that simulate the diffusion of leaked HBNG from buried pipelines into the atmosphere often employ fixed average leakage rates, which do not accurately represent the dynamic nature of gas leakage and diffusion. This study uses computational fluid dynamics (CFD) 2024R1 software to build a three-dimensional simulation model under a soil–atmosphere coupling model for HBNG leakage and diffusion. The findings reveal that, in the soil–atmosphere coupling model, the gas diffusion range under a fixed leakage rate is smaller than that under a dynamic leakage rate. Under the same influencing factors in calm wind conditions, the gas primarily diffuses in the vertical direction, whereas under the same influencing factors in windy conditions, the gas mainly diffuses in the horizontal direction. Full article
(This article belongs to the Topic Oil and Gas Pipeline Network for Industrial Applications)
Show Figures

Figure 1

26 pages, 10499 KB  
Article
Novel Adaptive Hidden Markov Model Utilizing Expectation–Maximization Algorithm for Advanced Pipeline Leak Detection
by Omid Zadehbagheri, Mohammad Reza Salehizadeh, Seyed Vahid Naghavi, Mazda Moattari and Behzad Moshiri
Modelling 2024, 5(4), 1339-1364; https://doi.org/10.3390/modelling5040069 - 24 Sep 2024
Cited by 1 | Viewed by 1549
Abstract
In the oil industry, the leakage of pipelines containing hydrocarbon fluids causes significant environmental and economic damage. Recently, there has been a growing trend in employing data mining techniques for detecting leaks. Among these methods is the Hidden Markov Model, which, despite good [...] Read more.
In the oil industry, the leakage of pipelines containing hydrocarbon fluids causes significant environmental and economic damage. Recently, there has been a growing trend in employing data mining techniques for detecting leaks. Among these methods is the Hidden Markov Model, which, despite good results with stationary data, becomes inefficient when a leak causes a drop in the pressure or flow, reducing its accuracy. This paper presents an adaptive Hidden Markov method. Previous methods had low accuracy due to insufficient information for accurate leak detection. They often classified the size and location of leaks broadly. In contrast, the proposed model extracts hidden features to accurately identify the location and size of leaks, even in noisy conditions. Simulating a leak in a section of an oil pipeline in the Iranian Oil Export Corridor demonstrates the proposed method’s superiority over common methods like K-NN, SVM, Naive Bayes, and logistic regression. Full article
(This article belongs to the Topic Oil and Gas Pipeline Network for Industrial Applications)
Show Figures

Figure 1

17 pages, 10336 KB  
Article
Numerical Analysis of Leakage and Diffusion Characteristics of In-Situ Coal Gas with Complex Components
by Enbin Liu, Lianle Zhou, Ping Tang, Bo Kou, Xi Li and Xudong Lu
Energies 2024, 17(18), 4694; https://doi.org/10.3390/en17184694 - 20 Sep 2024
Cited by 2 | Viewed by 1325
Abstract
To alleviate the shortage of natural gas supply, the in-situ conversion of coal to natural gas is more beneficial for advancing the clean and efficient use of energy. Since in-situ coal gas contains complex components, such as H2, CH4, [...] Read more.
To alleviate the shortage of natural gas supply, the in-situ conversion of coal to natural gas is more beneficial for advancing the clean and efficient use of energy. Since in-situ coal gas contains complex components, such as H2, CH4, and CO, their leakage poses a serious risk to human life and property. Currently, the area of consequence of the harm caused by a leak in a gathering pipeline transporting in-situ coal gas has not been clarified. Therefore, this paper adopted the method of numerical simulation to pre-study the concentration distribution of each component and determined that the main components of concern are CO and H2 components. Afterward, the diffusion law of in-situ coal gas is analyzed and studied under different working conditions, such as wind speed, temperature, pipe diameter, leakage direction, and leakage aperture ratio. The results indicate that when a pipeline leak occurs, the CO component has the largest influence range. With increasing wind speed, the warning boundary of CO rapidly expands downwind, then gradually diminishes, reaching a peak value of 231.62 m at 7 m/s. The range of influence of the leaked gas is inversely proportional to temperature and directly proportional to pipe diameter and leakage aperture ratio. When the gas leaks laterally, the diffusion early warning boundary value of each component is maximal. Among them, the leakage aperture ratio has a significant impact on the concentration distribution of in-situ coal gas, whereas the effect of temperature is relatively minor. This study contributes to an understanding of the leakage and diffusion characteristics of in-situ coal gas-gathering pipelines. Full article
(This article belongs to the Topic Oil and Gas Pipeline Network for Industrial Applications)
Show Figures

Figure 1

23 pages, 3710 KB  
Article
A Novel Hybrid Internal Pipeline Leak Detection and Location System Based on Modified Real-Time Transient Modelling
by Seyed Ali Mohammad Tajalli, Mazda Moattari, Seyed Vahid Naghavi and Mohammad Reza Salehizadeh
Modelling 2024, 5(3), 1135-1157; https://doi.org/10.3390/modelling5030059 - 2 Sep 2024
Cited by 10 | Viewed by 3818
Abstract
A This paper proposes a modified real-time transient modelling (MRTTM) framework to address the critical challenge of leak detection and localization in pipeline transmission systems. Pipelines are essential infrastructure for transporting liquids and gases, but they are susceptible to leaks, with severe environmental [...] Read more.
A This paper proposes a modified real-time transient modelling (MRTTM) framework to address the critical challenge of leak detection and localization in pipeline transmission systems. Pipelines are essential infrastructure for transporting liquids and gases, but they are susceptible to leaks, with severe environmental and economic impacts. MRTTM tackles this challenge with a three-stage operational process. First, “Data Collection” gathers sensor data from designated observation points. Second, the “Detection” stage identifies leaks. Finally, “Decision-Making” utilizes MRTTM to pinpoint the exact leak magnitude and location. This paper introduces an innovative method designed to significantly enhance pipeline leak detection and localization through the application of artificial intelligence and advanced signal processing techniques. The improved MRTTM framework integrates AI for pattern recognition, state space modelling for leak segment identification, and an extended Kalman filter (EKF) for precise leak location estimation, addressing the limitations of traditional methods. This paper showcases the application of MRTTM through a case study using the K-nearest neighbors (KNN) method on a water transmission pipeline for leak detection. KNN aids in classifying leak patterns and identifying the most likely leak location. Additionally, MRTTM incorporates the EKF, enabling real-time updates during transient events for faster leak identification. Preprocessing sensor data before comparison with the leakage pattern bank (LPB) minimizes false alarms and enhances detection reliability. Overall, the AI-powered MRTTM framework offers a powerful solution for swift and precise leak detection and localization in pipeline systems. The functionality of the framework is examined, and the results effectively approve the effectiveness of this methodology. The experimental results validate the practical utility of the MRTTM framework in real-world applications, demonstrating up to 90% detection accuracy and an F1 score of 0.92. Full article
(This article belongs to the Topic Oil and Gas Pipeline Network for Industrial Applications)
Show Figures

Figure 1

15 pages, 6330 KB  
Article
Study on Wax Deposition Process of Crude Oil System under Shear Flow Field Conditions
by Haibo Liu, Chao Yang, Jingjing Qi, Chao Liu, Haijun Luo and Bingfan Li
Processes 2024, 12(8), 1774; https://doi.org/10.3390/pr12081774 - 21 Aug 2024
Cited by 1 | Viewed by 1669
Abstract
This paper adopted numerical simulation based on the MD method to research the effect of different shear rates and wax contents on wax deposition focused on crude oil. The findings indicated that under shear flow conditions, there were primarily four steps during deposition. [...] Read more.
This paper adopted numerical simulation based on the MD method to research the effect of different shear rates and wax contents on wax deposition focused on crude oil. The findings indicated that under shear flow conditions, there were primarily four steps during deposition. Diffusion was the initial stage when wax diffused onto the metal surface. In the second stage, wax adsorbed onto a metal surface aligned itself parallel to the surface via Brownian motion, generating two different kinds of deposits. Subsequently, agglomerates were formed between the adsorbed deposits and the wax as a result of molecular interactions and bridging effects. Furthermore, the second and third deposited layers gradually showed peeling off and sliding under shear force. The wax deposition process was comparable for crude oil systems with varying shear rates and wax concentrations, and the deposited layer’s thickness on the metal surface was constant. The first, second, and third deposits were mainly adsorbed at 0.122 nm, 0.532 nm, and 1.004 nm away from the Fe surface, and the interaction energy between crude oil molecules and the Fe surface was mainly vdW force. The contact between Fe and wax progressively increased as the shear rate and wax content rose, promoting the wax adsorption on the metal surface and causing more of the wax to congregate in the deposited wax. The findings of the research can theoretically help a more thorough comprehension of the wax deposition. Full article
(This article belongs to the Topic Oil and Gas Pipeline Network for Industrial Applications)
Show Figures

Figure 1

22 pages, 5866 KB  
Article
Structure Analysis of the Fractionator Overhead Vapor Line of a Delayed Coker Unit
by Chun-Lang Yeh and Yu-Hsi Chung
Appl. Sci. 2024, 14(16), 7193; https://doi.org/10.3390/app14167193 - 15 Aug 2024
Viewed by 1383
Abstract
In view of the great impact of the pipeline system in a delayed coker unit (DCU) on production and operation safety, we applied computational fluid dynamics (CFD) to investigate the flow in a fractionator overhead vapor line connected to an air cooler in [...] Read more.
In view of the great impact of the pipeline system in a delayed coker unit (DCU) on production and operation safety, we applied computational fluid dynamics (CFD) to investigate the flow in a fractionator overhead vapor line connected to an air cooler in a previous study. The causes of the pipeline damage and the strategies to alleviate the occurrence of the damage were discussed. It is found that if two 24″ pipes are connected and five 18″ pipes are also connected, the force uniformity can be improved, and the forces on the caps, reducers, and T-junctions can be reduced. In this paper, we further applied the finite element method to perform structure analysis to confirm the strength of the original and the improved pipeline system. It is found that the static stress is larger when the pipelines are connected. The first four modes of the pipeline vibration are primarily affected by the vibration of the 30″ main pipe, while the fifth and the sixth modes are primarily affected by the vibration of the smaller pipes. In the case of a magnitude 1 earthquake (parallel mode) and a magnitude 2 wind, the maximum harmonic response stresses (stresses obtained from harmonic response analysis) occur at the same locations. After the pipelines are connected, some positions of the maximum harmonic response stresses are shifted from the 30″ main pipe to the 24″ pipe. In terms of the wind effect, the pipelines connected or unconnected can both withstand moderate typhoons of magnitude 13 without fatigue damage. In terms of the seismic effect, the pipelines connected can withstand a strong earthquake of magnitude 5(+) without fatigue damage, while the pipelines unconnected can withstand a very strong earthquake of magnitude 6(−) without fatigue damage, which is better than the pipelines connected. Under the action of a magnitude 17 severe typhoon, the stresses for the pipelines connected or unconnected are both lower than the yield strength and the ultimate tensile strength (UTS). There is no danger of immediate damage in terms of the wind effect. The pipelines connected or unconnected can withstand magnitude 7 earthquakes up to accelerations of 1718 gal (17.18 m/s2) and 2236 gal (22.36 m/s2), respectively, without exceeding the UTS. The pipelines unconnected are slightly better than the pipelines connected in terms of earthquake resistance. The purpose of this series study is to explore the flow development and the structural strength of the DCU pipeline system to improve its operational safety. Full article
(This article belongs to the Topic Oil and Gas Pipeline Network for Industrial Applications)
Show Figures

Figure 1

10 pages, 3876 KB  
Article
Research on the Effect of Static Pressure on the Rheological Properties of Waxy Crude Oil
by Chao Yang, Jingjing Qi, Bingfan Li and Haijun Luo
Processes 2024, 12(8), 1712; https://doi.org/10.3390/pr12081712 - 15 Aug 2024
Viewed by 1248
Abstract
In this paper, with the application of a MARS 60 high-pressure rheometer, experimental tests are conducted on Shengli crude oil to test its gel point, viscosity and thixotropy under different static pressures. Consequently, the effect of static pressure on the rheological parameters of [...] Read more.
In this paper, with the application of a MARS 60 high-pressure rheometer, experimental tests are conducted on Shengli crude oil to test its gel point, viscosity and thixotropy under different static pressures. Consequently, the effect of static pressure on the rheological parameters of waxy crude oil is revealed. It is proven that with the increase in the static pressure, the gel point of Shengli crude oil increases linearly, and the viscosity also gradually increases. The power law equation is employed to describe the relationship between the apparent viscosity and shear rate of Shengli crude oil under different static pressures. With the increase in the static pressure, the consistency coefficient (K) increases linearly, and the rheological index (n) decreases linearly. The relationship between the viscosity of Shengli crude oil and the static pressure and shear rate can be obtained. The Cross thixotropic model is used to describe the thixotropic curve of Shengli crude oil under different static pressures. With the increase in the static pressure, the thixotropic coefficient of consistency (ΔK) and the structure fracture constant (b) increase linearly. This is because a high pressure results in high structure strength and strong non-Newton rheological behavior in gelled crude oil and also causes remarkable structure fracture in crude oil. The results in this paper can provide an important theoretical basis for crude oil production and transportation. Full article
(This article belongs to the Topic Oil and Gas Pipeline Network for Industrial Applications)
Show Figures

Figure 1

15 pages, 5946 KB  
Article
A Reliability Assessment Method for Natural Gas Pipelines with Corroded Defects That Considers Detection Cycles
by An Li, Feng Jin, Yuan Li, Wen Lan, Pan Liu, Zhifeng Yu and Kai Wen
Energies 2024, 17(14), 3366; https://doi.org/10.3390/en17143366 - 9 Jul 2024
Cited by 2 | Viewed by 2111
Abstract
With the development of natural gas pipelines, the proportion of aged pipelines in service has been increasing, and corrosion remains a primary cause of pipeline failure. Regular inspections and reliability assessments are crucial to ensure the safe operation of pipelines. This study investigated [...] Read more.
With the development of natural gas pipelines, the proportion of aged pipelines in service has been increasing, and corrosion remains a primary cause of pipeline failure. Regular inspections and reliability assessments are crucial to ensure the safe operation of pipelines. This study investigated an efficient reliability assessment method for corroded pipelines that considers in-line inspection intervals. First, this study compared the commonly used limit state equations for corrosion defects to select one suitable for X80-grade steel pipelines. Additionally, a Tail-Fit Monte Carlo Simulation (TF-MCS) algorithm was proposed to improve the computational speed by 30 times compared to traditional Monte Carlo simulations. Then, this study explored the inspection intervals used for reliability assessments of corroded pipelines. Finally, the parameter sensitivity was analyzed considering the yield strength, maximum operating pressure, and pipe diameter. This study ensures the reliable operation of corroded gas pipelines. Full article
(This article belongs to the Topic Oil and Gas Pipeline Network for Industrial Applications)
Show Figures

Figure 1

Back to TopTop