Research on the Effect of Static Pressure on the Rheological Properties of Waxy Crude Oil
Abstract
1. Introduction
2. Method
2.1. Experimental Instruments and Samples
2.2. Experimental Program
2.2.1. Modulus and Loss Factor
2.2.2. Viscosity
2.2.3. Thixotropy
3. Results and Discussion
3.1. Gel Point of Waxy Crude Oil
3.2. Viscosity of Waxy Crude Oil
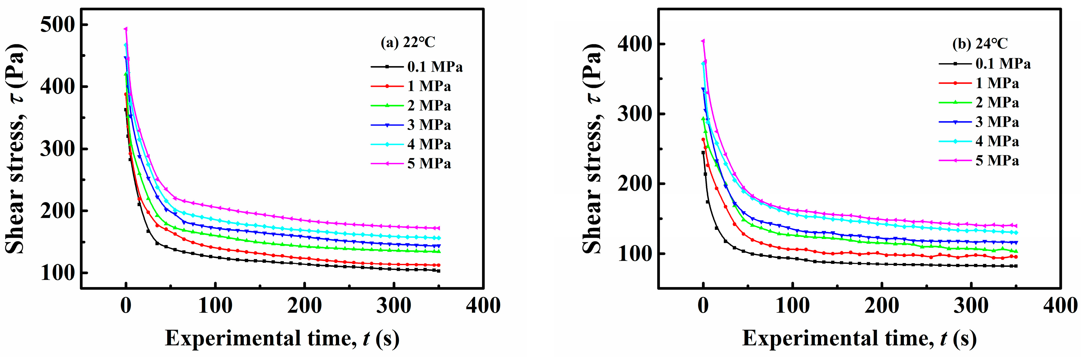
3.3. Thixotropy of Waxy Crude Oil
4. Conclusions
Author Contributions
Funding
Data Availability Statement
Conflicts of Interest
References
- Liu, H.; Li, H.; Zhao, Y.; Wang, X.; Li, H.; Zhang, J. Nonlinear viscoelastic characteristic investigations of waxy crude oils under stress-controlled large amplitude oscillatory shear (laostress). Rheol. Acta 2022, 61, 483–497. [Google Scholar] [CrossRef]
- Khattab, H.; Gawish, A.A.; Gomaa, S.; Hamdy, A.; El-Hoshoudy, A.N. Assessment of modified chitosan composite in acidic reservoirs through pilot and field-scale simulation studies. Sci. Rep. 2024, 14, 0634. [Google Scholar] [CrossRef] [PubMed]
- Khattab, H.; Gawish, A.A.; Hamdy, A.; Gomaa, S.; El-Hoshoudy, A.N. Assessment of a novel xanthan gum-based composite for oil recovery improvement at reservoir conditions; Assisted with simulation and economic studies. J. Polym. Environ. 2024. [Google Scholar] [CrossRef]
- Bao, Y.; Zhang, J.; Wang, X.; Liu, W. Effect of pre-shear on structural behavior and pipeline restart of gelled waxy crude oil. RSC Adv. 2016, 6, 80529–80540. [Google Scholar] [CrossRef]
- Sun, L.; Yang, G.; Wang, Y.; Jing, D. Experimental study on high-pressure rheology of water/crude oil emulsion in the presence of methane. J. Dispers. Sci. Technol. 2016, 38, 789–795. [Google Scholar] [CrossRef]
- Suárez-Domínguez, E.J.; Pérez-Sánchez, J.F.; Palacio-Pérez, A.; Rodríguez-Valdes, A.; Izquierdo-Kulich, E.; González-Santana, S. A viscosity bio-reducer for extra-heavy crude oil. Pet. Sci. Technol. 2018, 36, 166–172. [Google Scholar] [CrossRef]
- Yang, F.; Li, C.X.; Li, B.; Lu, Y. The solubility and rheology of live oils saturated by different alkane gases. Pet. Sci. Technol. 2014, 32, 1340–1348. [Google Scholar] [CrossRef]
- Li, H.; Gong, J. The pressure effect on rheological behavior of water content of waxy crude oil. Pet. Sci. Technol. 2011, 29, 1344–1352. [Google Scholar] [CrossRef]
- Mortazavi-Manesh, S.; Shaw, J.M. Effect of pressure on the rheological properties of maya crude oil. Energy Fuels 2016, 30, 759–765. [Google Scholar] [CrossRef]
- Macdonald, B.A.; Miadonye, A. Improvement on the viscosity models for the effects of temperature and pressure on the viscosity of heavy crude oils. J. Chem. Eng. Data 2017, 62, 924–930. [Google Scholar] [CrossRef]
- Behzadfar, E.; Hatzikiriakos, S.G. Rheology of bitumen: Effects of temperature, pressure, CO2 concentration and shear rate. Fuel 2014, 116, 578–587. [Google Scholar] [CrossRef]
- Li, B.F.; Guo, Z.Y.; Du, M.J.; Han, D.; Han, J.; Zheng, L.; Yang, C. Research status and outlook of mechanism, characterization, performance evaluation, and type of pour point depressants in waxy crude oil: A review. Energy Fuels 2024, 38, 7480–7509. [Google Scholar] [CrossRef]
- Li, B.F.; Guo, Z.Y.; Zheng, L.M.; Shi, E.; Qi, B. A comprehensive review of wax deposition in crude oil systems: Mechanisms, influencing factors, prediction and inhibition techniques. Fuel 2024, 357, 129676. [Google Scholar] [CrossRef]
- GB/T 1884-2000; Crude Petroleum and Liquid Petroleum Products—Laboratory Determination of Density—Hydrometer Method. National Standards of the People’s Republic of China: Beijing, China, 2000. (In Chinese)
- Li, C.; Yang, Q.; Lin, M. Effects of stress and oscillatory frequency on the structural properties of Daqing gelled crude oil at different temperatures. J. Pet. Sci. Eng. 2009, 65, 167–170. [Google Scholar] [CrossRef]
- Li, C.X. Study on Structural Properties and Chemical Modification Mechanism of Gelled Waxy Crude Oil. Ph.D. Thesis, Shandong University, Shandong, China, 2003. (In Chinese). [Google Scholar]
- Lin, M. Investigation on Properties and Mechanism of Sol-Gel Transformation for Non-Newtonian Waxy Crude Oil. Ph.D. Thesis, China University of Petroleum (East China), Qingdao, China, 2010. (In Chinese). [Google Scholar]






| Density (20 °C, kg/m3) | Wax Content (%) | Asphaltene Content (%) | Resin Content (%) | Gel Point (°C) |
|---|---|---|---|---|
| 884.0 | 34.67 | 0.68 | 4.88 | 24.4 |
| Temperature | Parameter | 0.1 MPa | 1 MPa | 2 MPa | 3 MPa | 4 MPa | 5 MPa |
|---|---|---|---|---|---|---|---|
| 18 °C | K | 21.44 | 23.94 | 25.50 | 27.68 | 29.86 | 32.42 |
| n | 0.31 | 0.295 | 0.285 | 0.273 | 0.258 | 0.233 | |
| 20 °C | K | 14.39 | 16.67 | 19.88 | 21.49 | 22.59 | 24.15 |
| n | 0.350 | 0.332 | 0.312 | 0.287 | 0.277 | 0.257 | |
| 22 °C | K | 8.59 | 10.28 | 12.32 | 14.73 | 15.89 | 17.07 |
| n | 0.372 | 0.350 | 0.319 | 0.306 | 0.292 | 0.286 | |
| 24 °C | K | 4.68 | 6.07 | 7.06 | 9.39 | 10.15 | 11.21 |
| n | 0.403 | 0.394 | 0.354 | 0.342 | 0.323 | 0.313 |
| Temperature | Fitted Equation | R2 | Fitted Equation | R2 |
|---|---|---|---|---|
| 18 °C | K = 21.46 + 2.14p | 0.995 | n = 0.312 − 0.015p | 0.969 |
| 20 °C | K = 14.99 + 1.95p | 0.959 | n = 0.349 − 0.019p | 0.990 |
| 22 °C | K = 8.74 + 1.76p | 0.982 | n = 0.365 − 0.018p | 0.935 |
| 24 °C | K = 4.72 + 1.35p | 0.977 | n = 0.403 − 0.019p | 0.950 |
| Temperature | Pressure (MPa) | K | ΔK | a | b | m | n | R2 |
|---|---|---|---|---|---|---|---|---|
| 22 °C | 0.1 | 40.71 | 99.01 | 0.00483 | 0.0225 | 0.407 | 0.353 | 0.978 |
| 1 | 49.32 | 109.6 | 0.00331 | 0.0230 | 0.355 | 0.329 | 0.966 | |
| 2 | 64.13 | 123.7 | 0.00158 | 0.0307 | 0.258 | 0.252 | 0.980 | |
| 3 | 69.52 | 133.4 | 0.00587 | 0.0316 | 0.0220 | 0.219 | 0.980 | |
| 4 | 76.27 | 162.8 | 0.00841 | 0.0430 | 0.0300 | 0.210 | 0.969 | |
| 5 | 88.46 | 173.3 | 0.00341 | 0.0476 | 0.207 | 0.200 | 0.967 | |
| 24 °C | 0.1 | 24.17 | 88.5 | 0.01627 | 0.0243 | 0.369 | 0.282 | 0.960 |
| 1 | 32.58 | 101.6 | 0.00833 | 0.0281 | 0.106 | 0.252 | 0.984 | |
| 2 | 40.75 | 115.3 | 0.00989 | 0.0304 | 0.1 | 0.231 | 0.973 | |
| 3 | 52.49 | 124.0 | 0.00891 | 0.0341 | 0.082 | 0.212 | 0.965 | |
| 4 | 61.44 | 135.1 | 0.00915 | 0.0435 | 0.07 | 0.209 | 0.957 | |
| 5 | 73.05 | 149.2 | 0.00665 | 0.0450 | 0.01 | 0.199 | 0.964 |
| Temperature | Fitted Equation | R2 | Temperature | Formula | R2 |
|---|---|---|---|---|---|
| 22 °C | K = 41.05 + 9.41p | 0.978 | 24 °C | K = 22.40 + 9.94p | 0.997 |
| ΔK = 94.15 + 15.69p | 0.968 | ΔK = 88.87 + 11.95p | 0.993 | ||
| b = 0.019 + 0.0054p | 0.926 | b = 0.023 + 0.0045p | 0.944 | ||
| n = 0.345 − 0.033p | 0.867 | n = 0.272 − 0.016p | 0.893 |
Disclaimer/Publisher’s Note: The statements, opinions and data contained in all publications are solely those of the individual author(s) and contributor(s) and not of MDPI and/or the editor(s). MDPI and/or the editor(s) disclaim responsibility for any injury to people or property resulting from any ideas, methods, instructions or products referred to in the content. |
© 2024 by the authors. Licensee MDPI, Basel, Switzerland. This article is an open access article distributed under the terms and conditions of the Creative Commons Attribution (CC BY) license (https://creativecommons.org/licenses/by/4.0/).
Share and Cite
Yang, C.; Qi, J.; Li, B.; Luo, H. Research on the Effect of Static Pressure on the Rheological Properties of Waxy Crude Oil. Processes 2024, 12, 1712. https://doi.org/10.3390/pr12081712
Yang C, Qi J, Li B, Luo H. Research on the Effect of Static Pressure on the Rheological Properties of Waxy Crude Oil. Processes. 2024; 12(8):1712. https://doi.org/10.3390/pr12081712
Chicago/Turabian StyleYang, Chao, Jingjing Qi, Bingfan Li, and Haijun Luo. 2024. "Research on the Effect of Static Pressure on the Rheological Properties of Waxy Crude Oil" Processes 12, no. 8: 1712. https://doi.org/10.3390/pr12081712
APA StyleYang, C., Qi, J., Li, B., & Luo, H. (2024). Research on the Effect of Static Pressure on the Rheological Properties of Waxy Crude Oil. Processes, 12(8), 1712. https://doi.org/10.3390/pr12081712

