Sign in to use this feature.

Years

Between: -

Subjects

remove_circle_outline
remove_circle_outline
remove_circle_outline
remove_circle_outline
remove_circle_outline

Journals

Article Types

Countries / Regions

Search Results (24)

Search Parameters:
Keywords = zero forcing circuit

Order results
Result details
Results per page
Select all
Export citation of selected articles as:
14 pages, 2495 KB  
Article
Research on a Feedthrough Suppression Scheme for MEMS Gyroscopes Based on Mixed-Frequency Excitation Signals
by Xuhui Chen, Zhenzhen Pei, Chenchao Zhu, Jiaye Hu, Hongjie Lei, Yidian Wang and Hongsheng Li
Micromachines 2025, 16(10), 1120; https://doi.org/10.3390/mi16101120 - 30 Sep 2025
Viewed by 328
Abstract
Feedthrough interference is inevitably introduced in MEMS gyroscopes due to non-ideal factors such as circuit layout design and fabrication processes, exerting non-negligible impacts on gyroscope performance. This study proposes a feedthrough suppression scheme for MEMS gyroscopes based on mixed-frequency excitation signals. Leveraging the [...] Read more.
Feedthrough interference is inevitably introduced in MEMS gyroscopes due to non-ideal factors such as circuit layout design and fabrication processes, exerting non-negligible impacts on gyroscope performance. This study proposes a feedthrough suppression scheme for MEMS gyroscopes based on mixed-frequency excitation signals. Leveraging the quadratic relationship between excitation voltage and electrostatic force in capacitive resonators, the resonator is excited with a modulated signal at a non-resonant frequency while sensing vibration signals at the resonant frequency. This approach achieves linear excitation without requiring backend demodulation circuits, effectively separating desired signals from feedthrough interference in the frequency domain. A mixed-frequency excitation-based measurement and control system for MEMS gyroscopes is constructed. The influence of mismatch phenomena under non-ideal conditions on the control system is analyzed with corresponding solutions provided. Simulations and experiments validate the scheme’s effectiveness, demonstrating feedthrough suppression through both amplitude-frequency characteristics and scale factor perspectives. Test results confirm the scheme eliminates the zero introduced by feedthrough interference in the gyroscope’s amplitude-frequency response curve and reduces force-to-rebalanced detection scale factor fluctuations caused by frequency split variations by a factor of 21. Under this scheme, the gyroscope achieves zero-bias stability of 0.3118 °/h and angle random walk of 0.2443 °/h/√Hz. Full article
Show Figures

Figure 1

18 pages, 1423 KB  
Article
Design of a Power-Aware Reconfigurable and Parameterizable Pseudorandom Pattern Generator for BIST-Based Applications
by Geethu Remadevi Somanathan, Ujarla Harshavardhan Reddy and Ramesh Bhakthavatchalu
J. Low Power Electron. Appl. 2025, 15(3), 47; https://doi.org/10.3390/jlpea15030047 - 15 Aug 2025
Viewed by 707
Abstract
This paper presents a power-aware Reconfigurable Parameterizable Pseudorandom Pattern Generator (RP-PRPG) for a number of applications, including built in self-testing (BIST) and cryptography. Linear Feedback Shift Registers (LFSRs) are broadly utilized in pattern generation due to their efficiency and simplicity. However, the diversity [...] Read more.
This paper presents a power-aware Reconfigurable Parameterizable Pseudorandom Pattern Generator (RP-PRPG) for a number of applications, including built in self-testing (BIST) and cryptography. Linear Feedback Shift Registers (LFSRs) are broadly utilized in pattern generation due to their efficiency and simplicity. However, the diversity of generated patterns, as well as their power consumption, improves through circuit modifications. This work explores enhancements to LFSR structures to achieve broader range of patterns with reduced power consumption for BIST-based applications. The proposed circuit constructed on the LFSR platform can be programmed to generate patterns with varying degrees of different LFSR configurations. Diverse set of patterns of any circuit arrangement can be created using any characteristic polynomial and by utilizing the reseeding capacity of the circuit. The circuit combines a double-tier linear feedback circuit with zero forcing methods, resulting in more than 70% transition reduction, thus significantly lowering power dissipation. The behaviour of the proposed circuit is assessed for characteristic polynomials with degrees ranging from 4 to 128 using various Linear Feedback Shift Register (LFSR) topologies. For reconfigurable HDL and ASIC synthesis, the power-aware RP-PRPG can be used to generate an efficient set of stream ciphers as well as applications involving the scan-for-test protocol. Full article
Show Figures

Figure 1

12 pages, 2236 KB  
Article
Novel Indoor Educational I-V Tracer for Photovoltaic Modules
by Jose Vicente Muñoz, Luis Miguel Nieto, Juan Francisco Canalejo, Jesus Montes-Romero, Angel Gaspar Gonzalez-Rodriguez and Slawomir Gulkowski
Electronics 2024, 13(24), 4932; https://doi.org/10.3390/electronics13244932 - 13 Dec 2024
Viewed by 1428
Abstract
The renewable energy market, particularly the photovoltaic sector, has experienced significant growth over the past decade. Higher education institutions must play a vital role in the training of professionals, which the sector is currently demanding and will continue to require in the future. [...] Read more.
The renewable energy market, particularly the photovoltaic sector, has experienced significant growth over the past decade. Higher education institutions must play a vital role in the training of professionals, which the sector is currently demanding and will continue to require in the future. A pivotal resource for understanding the performance of PV modules is the experimental extraction of the characteristic I-V curve in laboratory practices. This paper presents an innovative and low-cost I-V curve tracer which can be used in indoor laboratories for teaching purposes. The described measurement system presents the novelty of helping form an energy-harvesting IC to force a sweep of the voltage from values close to zero to the open voltage circuit (Voc). An Arduino Micro board interfaces the implemented electronics and a LabVIEW-based monitoring and control program. The system proved its reliability and accuracy when it was compared to a calibrated commercial I-V tracer. The experimental results show that for a low-power PV module illuminated by a lamp, the proposed I-V tracer only deviated 1.3% from the commercial one in measurements of the maximum power. Full article
Show Figures

Figure 1

24 pages, 2123 KB  
Article
Mathematical Modeling of SOIC Package Dynamics in Dielectric Fluids during High-Voltage Insulation Testing
by Yohan A. Aparicio and Manuel Jimenez
Appl. Sci. 2024, 14(9), 3693; https://doi.org/10.3390/app14093693 - 26 Apr 2024
Viewed by 1518
Abstract
The efficient testing and validation of the high-voltage (HV) insulation of small-outline integrated circuit (SOIC) packages presents numerous challenges when trying to achieve faster and more accurate processes. The complex behavior these packages when submerged in diverse physical media with varying densities requires [...] Read more.
The efficient testing and validation of the high-voltage (HV) insulation of small-outline integrated circuit (SOIC) packages presents numerous challenges when trying to achieve faster and more accurate processes. The complex behavior these packages when submerged in diverse physical media with varying densities requires a detailed analysis to understand the factors influencing their behavior. We propose a systematic and scalable mathematical model based on trapezoidal motion patterns and a deterministic analysis of hydrodynamic forces to predict SOIC package misalignment during automated high-voltage testing in a dielectric fluid. Our model incorporates factors known to cause misalignment during the maneuvering of packages, such as surface tension forces, sloshing, cavity formation, surface waves, and bubbles during the insertion, extraction, and displacement of devices while optimizing test speed for minimum testing time. Our model was validated via a full-factorial statistical experiment for different SOIC package sizes on a pick-and-place (PNP) machine with preprogrammed software and a zero-insertion force socket immersed in different dielectric fluids under controlled thermal conditions. Results indicate the model achieves 99.64% reliability with a margin of error of less than 4.78%. Our research deepens the knowledge and understanding of the physical and hydrodynamic factors that impact the automated testing processes of high-voltage insulator SOIC packages of different sizes for different dielectric fluids. It enables improved testing times and higher reliability than traditional trial-and-error methods for high-voltage SOIC packages, leading to more efficient and accurate processes in the electronics industry. Full article
(This article belongs to the Special Issue Disruptive Trends in Automation Technology)
Show Figures

Figure 1

11 pages, 3717 KB  
Article
A Hybrid Scheme for TX I/Q Imbalance Self-Calibration in a Direct-Conversion Transceiver
by Ruhao Wang, Peng Gao, Jiarui Liu, Zhiyu Wang, Chenge Wang and Faxin Yu
Electronics 2024, 13(9), 1653; https://doi.org/10.3390/electronics13091653 - 25 Apr 2024
Cited by 2 | Viewed by 1686
Abstract
A generic transmitter (TX) I/Q imbalance self-calibration method, which was designed based on a hybrid analog and digital structure, is proposed in this paper. The whole calibration scheme was implemented using low-complexity digital–analog circuits based on a zero-force feedback loop. In order to [...] Read more.
A generic transmitter (TX) I/Q imbalance self-calibration method, which was designed based on a hybrid analog and digital structure, is proposed in this paper. The whole calibration scheme was implemented using low-complexity digital–analog circuits based on a zero-force feedback loop. In order to eliminate the negative effect of local oscillator (LO) harmonics on the calibration, we used a variable-delay line (VDL) in the analog domain instead of the digital phase compensator. The prototype chip was fabricated within a 0.2∼5.0 GHz direct-conversion transmitter in a 65 nm CMOS process, and measurements found an image rejection ratio (IRR) of 65 dBc. Full article
(This article belongs to the Section Circuit and Signal Processing)
Show Figures

Figure 1

21 pages, 7483 KB  
Article
Single-Stage Step-Down Power Factor Corrector without Full-Bridge Rectifier
by Kuo-Ing Hwu, Jenn-Jong Shieh and Yu-Ping He
Appl. Sci. 2024, 14(8), 3449; https://doi.org/10.3390/app14083449 - 19 Apr 2024
Viewed by 1512
Abstract
In this paper, a single-stage step-down power factor corrector without a full-bridge rectifier is developed, which is designed to operate in discontinuous conduction mode (DCM). In terms of control, the DCM has the advantages of simple control and easy realization, no slope compensation, [...] Read more.
In this paper, a single-stage step-down power factor corrector without a full-bridge rectifier is developed, which is designed to operate in discontinuous conduction mode (DCM). In terms of control, the DCM has the advantages of simple control and easy realization, no slope compensation, zero current switching, and no diode reverse current. By sampling the output voltage and using the voltage-follower control to generate the necessary control force to drive the power switch, not only can the output voltage be stabilized at the desired value, but also the input current can be, as much as possible, in the form of a sinusoidal waveform and can follow the phase of the input voltage. Moreover, the harmonic distortion meets the requirements of the IEC6100-3-2 Class D harmonics standard, and, thus, the proposed rectifier is appropriate for the computer, computer monitor, and television receiver. Eventually, by means of mathematical deductions, simulations by PSIM version 9.1, and experimental results, the feasibility and effectiveness of the proposed circuit can be verified. Full article
Show Figures

Figure 1

13 pages, 9032 KB  
Article
Dual-Functional Energy Harvesting and Low-Frequency Vibration Attenuation: Electromagnetic Resonant Shunt Series Quasi-Zero-Stiffness Isolators
by Qingchao Yang, Zhaozhao Ma, Ruiping Zhou, Heow Pueh Lee and Kai Chai
Appl. Sci. 2023, 13(12), 7302; https://doi.org/10.3390/app13127302 - 19 Jun 2023
Cited by 3 | Viewed by 2347
Abstract
In recent times, there has been a significant focus on electromagnetic resonant shunt damping (ERSD) and quasi-zero-stiffness vibration isolators (QZS VI) as prominent solutions for vibration mitigation or energy harvesting. In this paper, an innovative retrofittable model is proposed for dual-functional energy harvesting [...] Read more.
In recent times, there has been a significant focus on electromagnetic resonant shunt damping (ERSD) and quasi-zero-stiffness vibration isolators (QZS VI) as prominent solutions for vibration mitigation or energy harvesting. In this paper, an innovative retrofittable model is proposed for dual-functional energy harvesting and low-frequency vibration attenuation by combining the ERSD and two-stage quasi-zero-stiffness vibration isolator (TQZS VI). The viscous dissipative element between the TQZS VI upper and lower layers is implemented using an electromagnetic shunt transducer that is connected in parallel with a resonant RLC (resistor–inductor–capacitor) circuit. Firstly, the mathematical model of the electromagnetic resonant shunt series quasi-zero-stiffness isolator (ERS-TQZS VI) is developed. Then, the magnitude-frequency response equations of the ERS-TQZS VI system are approximately solved using the harmonic balance method (HBM) in combination with the pseudo-arc-length method (PLM). The analytical approach is validated using numerical simulations. Moreover, the force transmissibility and output power of the ERS-TQZS VI are defined, and detailed parametric analysis for energy harvesting and low-frequency vibration attenuation is performed to assess the critical design parameters that result in optimal performance of the ERS-TQZS VI. The results demonstrate that the ERS-TQZS VI exhibits a significant reduction in resonance peaks of low-frequency vibration while simultaneously enabling effective vibration energy harvesting. Full article
Show Figures

Figure 1

15 pages, 4740 KB  
Article
Analysis and Design of the High Current Rising Rate Hybrid DC Current Limiting Circuit Breaker
by Zhiyong Lv, Xiangjun Wang, Jinwu Zhuang, Luhui Liu, Zhifang Yuan, Siguang Li and Jin Wu
Electronics 2023, 12(12), 2657; https://doi.org/10.3390/electronics12122657 - 13 Jun 2023
Cited by 7 | Viewed by 1941
Abstract
To solve the problem of the high rising rate and large peak value of the expected current of the short-circuit current in marine DC power system faults, a hybrid DC current limiting circuit breaker scheme based on a high-speed electromagnetic repulsion mechanism is [...] Read more.
To solve the problem of the high rising rate and large peak value of the expected current of the short-circuit current in marine DC power system faults, a hybrid DC current limiting circuit breaker scheme based on a high-speed electromagnetic repulsion mechanism is proposed. A parameter selection model is constructed by comprehensively considering the short-time withstand of the thyristor, the volume of the commutation circuit, and capacitor energy, and the optimal value of the commutation circuit parameters at a certain voltage level is obtained. The finite element mathematical model of the high-speed electromagnetic repulsion mechanism is established by coupling the electromagnetic force field, which enables the deformation process of the mechanism under the condition of high acceleration to be considered. The von Mises yield criterion is adopted as the mechanical boundary condition in the design of a high-speed electromagnetic repulsion mechanism, which solves the problem of the long inherent time of opening. The experiment platform is built, and the experiment under the fault condition with a current rising rate of 20 A/μs is completed. The arcing time, commutation time, zero-voltage recovery time, and contact movement characteristics are obtained, which meet the design requirements, verify the effectiveness of the analysis, and lay a solid foundation for further research and development of the current limiting circuit breakers for medium voltage DC systems. Full article
(This article belongs to the Topic Power System Protection)
(This article belongs to the Section Power Electronics)
Show Figures

Figure 1

17 pages, 21103 KB  
Article
Research on the Electromagnetic Characteristics of an Integrated Multi-Winding Inductive Filtering Converter Transformer and Its Filter System
by Jianying Li, Yuexing Zhang, Jianqi Li, Minsheng Yang, Jingying Wan and Xunchang Xiao
Electronics 2023, 12(1), 227; https://doi.org/10.3390/electronics12010227 - 2 Jan 2023
Cited by 2 | Viewed by 1961
Abstract
In this paper, the electromagnetic characteristics of a novel integrated multi-winding inductive filtering converter transformer, including two parallel-connected delta filter windings with zero impedance, are studied. First, based on Ansoft, a 3D FEM model of the novel converter transformer is built according to [...] Read more.
In this paper, the electromagnetic characteristics of a novel integrated multi-winding inductive filtering converter transformer, including two parallel-connected delta filter windings with zero impedance, are studied. First, based on Ansoft, a 3D FEM model of the novel converter transformer is built according to its structural parameters and material characteristics. Next, the external circuit connection based on the established 3D FEM model is realized so the corresponding field-circuit coupling model can be established under three different working conditions. On this basis, the electric field characteristics, magnetic field characteristics, winding electromagnetic force characteristics, and core loss characteristics of the novel converter transformer with different conditions are analyzed. The results show that because the harmonic current is effectively suppressed, the flux chain passing through the windings of the novel converter transformer is closer to the sinusoidal wave and the harmonic magnetic potential is effectively suppressed; the electromagnetic force received by each winding of the converter transformer and the high-frequency vibration component are significantly reduced; and the transformer core loss is also significantly reduced. The research on the internal electromagnetic characteristics of the integrated multi-winding inductive filter converter transformer reveals the mechanism of reducing vibration and noise. Full article
(This article belongs to the Special Issue IoT Applications for Renewable Energy Management and Control)
Show Figures

Figure 1

14 pages, 3722 KB  
Article
Fast Fault Detection and Active Isolation of Bidirectional Z-Source Circuit Breaker with Mechanical Switch
by Hyeon-Seung Lee, Young-Maan Cho, Kun-A Lee and Jae-Ho Rhee
Energies 2022, 15(23), 8899; https://doi.org/10.3390/en15238899 - 24 Nov 2022
Cited by 2 | Viewed by 2010
Abstract
In this paper, a new design is provided so that the Z-source circuit breaker with a mechanical switch operates quickly at a low-impedance fault. When the fault occurs, the Z-source circuit breaker uses an impedance network to generate forced current zero crossing on [...] Read more.
In this paper, a new design is provided so that the Z-source circuit breaker with a mechanical switch operates quickly at a low-impedance fault. When the fault occurs, the Z-source circuit breaker uses an impedance network to generate forced current zero crossing on the switch. This current zero-crossing time is not sufficient when mechanical switches are applied. In addition, since the MS switch operates through the fault detection sensor, the speed is slowed down. At a slower speed, the circuit breaker may not allow fault current isolation. To solve this problem, the Thomson coil was added to the circuit. It operates immediately in a low-impedance fault without additional fault detection devices. As a result, the faster operating speed is expected to reduce the size of the Z-source circuit breaker component and the stress of the breaker. It is mathematically analyzed and derived, and verified through simulations and experiments. The main features of the proposed model are fast detection and operation, normal-state circuit disconnect, fault current limitation, and low conduction loss. Full article
Show Figures

Figure 1

15 pages, 7710 KB  
Article
Forces and Stresses in the Windings of a Superconducting Fault Current Limiter
by Janusz Kozak
Energies 2022, 15(18), 6519; https://doi.org/10.3390/en15186519 - 7 Sep 2022
Cited by 4 | Viewed by 1924
Abstract
This paper presents the design of a Superconducting Fault Current Limiter (SFCL) and calculation results of forces and stresses in the windings of a resistive fault current limiter. The design of the fault current limiter consists of two parallelly connected and magnetically coupled [...] Read more.
This paper presents the design of a Superconducting Fault Current Limiter (SFCL) and calculation results of forces and stresses in the windings of a resistive fault current limiter. The design of the fault current limiter consists of two parallelly connected and magnetically coupled windings, cooled by a single stage cryocooler. Magnetically compensated windings made of HTS tape give a very low voltage on the limiter at a nominal current. Limitation of the short-circuit time and the value of the maximum initial fault current reduces the thermal and dynamic effects of the passage of a fault current. Using devices which limit the value of a fault current can lower the level of required short-circuit capacity of the elements in a system. However, selected means of fault currents limitation must maintain the power quality standards. A perfect fault current limiter is required to have substantial impedance in fault conditions and zero impedance at work currents. Such requirements are met by a SFCL. An increase of current caused by the occurrence of a fault current results in the transition of the superconducting material from the superconducting state into the resistive state. This increases the impedance of short-circuit loop, allowing the fault current value to decrease. During a short-circuit, the forces generated from the short-circuit current also act on the limiter windings. Short-circuit current causes stresses in the superconducting tape. Exceeding the permissible stress value results in an irreversible reduction in the critical current of the superconducting tape. Calculations of the forces and stresses in the HTS tape for the maximum value of the short-circuit current were carried out using the finite element method. The constructed limiter was tested and the winding design ensures that the tape stresses are at a safe level even for short-circuit currents. Full article
Show Figures

Figure 1

15 pages, 6090 KB  
Article
Effect of Quadrature Control Mode on ZRO Drift of MEMS Gyroscope and Online Compensation Method
by Feng Bu, Shuwen Guo, Bo Fan and Yiwang Wang
Micromachines 2022, 13(3), 419; https://doi.org/10.3390/mi13030419 - 8 Mar 2022
Cited by 12 | Viewed by 3781
Abstract
The quadrature coupling error is an important factor that affects the detection output of microelectromechanical system (MEMS) gyroscopes. In this study, two quadrature error control methods, quadrature force-to-rebalance control (Mode I) and quadrature stiffness control (Mode II) were analyzed. We obtained the main [...] Read more.
The quadrature coupling error is an important factor that affects the detection output of microelectromechanical system (MEMS) gyroscopes. In this study, two quadrature error control methods, quadrature force-to-rebalance control (Mode I) and quadrature stiffness control (Mode II) were analyzed. We obtained the main factors affecting the zero-rate output (ZRO) under force-to-rebalance (FTR) closed-loop detection. The analysis results showed that the circuit phase delay in Mode I caused the quadrature channel to leak into the in-phase channel. However, in Mode II, the quadrature coupling stiffness was corrected in real time, which effectively improved the stability of the ZRO. The changes in the vibration displacement and Q-factor were the main factors for the ZRO drift in Mode II. Therefore, we propose an online compensation method for ZRO drift based on multiparameter fusion. The experimental results on a cobweb-like disk resonator gyroscope (CDRG) with a 340 k Q-factor showed that the bias instability (BI) of Mode II was significantly better than that of Mode I. After online compensation, the BI reached 0.23°/h, and the bias repeatability reached 3.15°/h at room temperature. Full article
Show Figures

Figure 1

13 pages, 3406 KB  
Article
Broadband Zero-Power Wakeup MEMS Device for Energy-Efficient Sensor Nodes
by Minhaz Ahmed, Torben Dankwort, Sven Grünzig, Volker Lange and Björn Gojdka
Micromachines 2022, 13(3), 407; https://doi.org/10.3390/mi13030407 - 2 Mar 2022
Cited by 9 | Viewed by 3989
Abstract
A zero-power wakeup scheme for energy-efficient sensor applications is presented in this study based on a piezoelectric MEMS energy harvester featuring wafer-level-integrated micromagnets. The proposed setup overcomes a hybrid assembly of magnets on a chip-level, a major drawback of similar existing solutions. The [...] Read more.
A zero-power wakeup scheme for energy-efficient sensor applications is presented in this study based on a piezoelectric MEMS energy harvester featuring wafer-level-integrated micromagnets. The proposed setup overcomes a hybrid assembly of magnets on a chip-level, a major drawback of similar existing solutions. The wakeup device can be excited at low frequencies by frequency up-conversion, both in mechanical contact and contactless methods due to magnetic force coupling, allowing various application scenarios. In a discrete circuit, a wakeup within 30–50 ms is realized in frequency up-conversion at excitation frequencies < 50 Hz. A power loss in the off state of 0.1 nW renders the scheme virtually lossless. The potential extension of battery lifetime compared to cyclical wakeup schemes is discussed for a typical wireless sensor node configuration. Full article
Show Figures

Figure 1

14 pages, 4086 KB  
Article
A Bi-Directional DC Solid-State Circuit Breaker Based on Flipped Γ-Source
by Jing Gao, Ziming Liu, Jinming Luo, Hongjiang Wang, Yiqi Liu and Junyuan Zheng
Energies 2022, 15(3), 745; https://doi.org/10.3390/en15030745 - 20 Jan 2022
Cited by 4 | Viewed by 2745
Abstract
As the continuous consumption of non-renewable energy leads to resource shortages, distributed PV generation technology has received widespread attention. The DC microgrid is an effective way to connect distributed PV generation. However, DC microgrids have numerous challenges, such as the absence of zero [...] Read more.
As the continuous consumption of non-renewable energy leads to resource shortages, distributed PV generation technology has received widespread attention. The DC microgrid is an effective way to connect distributed PV generation. However, DC microgrids have numerous challenges, such as the absence of zero current crossing point and high fault current rising rate. In the paper, a bi-directional DC solid-state circuit breaker based on flipped Γ-source is proposed to overcome some of the challenges in DC microgrid. The topology uses the mutual inductance current generated by the transformer to force the SCR naturally commutates off. Which can rapidly interrupt and isolate the faulty part, and at the same time, there will be no circulating current impact on the source side. The diode bridges allow the response to faults on either the source or load side with only a single controlled switch. Therefore, the topology is simplified while enabling it to obtain the capability of bidirectional operation protection. Finally, using the simulation software PSCAD/EMTDC and experimental platform verifies the effectiveness of the topology in this paper. Full article
(This article belongs to the Topic Application of Innovative Power Electronic Technologies)
Show Figures

Figure 1

12 pages, 10262 KB  
Article
A Novel High-Q Dual-Mass MEMS Tuning Fork Gyroscope Based on 3D Wafer-Level Packaging
by Pengfei Xu, Chaowei Si, Yurong He, Zhenyu Wei, Lu Jia, Guowei Han, Jin Ning and Fuhua Yang
Sensors 2021, 21(19), 6428; https://doi.org/10.3390/s21196428 - 26 Sep 2021
Cited by 12 | Viewed by 3805
Abstract
Tuning fork gyroscopes (TFGs) are promising for potential high-precision applications. This work proposes and experimentally demonstrates a novel high-Q dual-mass tuning fork microelectromechanical system (MEMS) gyroscope utilizing three-dimensional (3D) packaging techniques. Except for two symmetrically decoupled proof masses (PM) with synchronization structures, a [...] Read more.
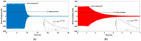
Tuning fork gyroscopes (TFGs) are promising for potential high-precision applications. This work proposes and experimentally demonstrates a novel high-Q dual-mass tuning fork microelectromechanical system (MEMS) gyroscope utilizing three-dimensional (3D) packaging techniques. Except for two symmetrically decoupled proof masses (PM) with synchronization structures, a symmetrically decoupled lever structure is designed to force the antiparallel, antiphase drive mode motion and eliminate low frequency spurious modes. Thermoelastic damping (TED) and anchor loss are greatly reduced by the linearly coupled, momentum- and torque-balanced antiphase sense mode. Moreover, a novel 3D packaging technique is used to realize high Q-factors. A composite substrate encapsulation cap, fabricated by through-silicon-via (TSV) and glass-in-silicon (GIS) reflow processes, is anodically bonded to the wafer-scale sensing structures. A self-developed control circuit is adopted to realize loop control and characterize gyroscope performances. It is shown that a high-reliability electrical connection, together with a high air impermeability package, can be fulfilled with this 3D packaging technique. Furthermore, the Q-factors of the drive and sense modes reach up to 51,947 and 49,249, respectively. This TFG realizes a wide measurement range of ±1800 °/s and a high resolution of 0.1°/s with a scale factor nonlinearity of 720 ppm after automatic mode matching. In addition, long-term zero-rate output (ZRO) drift can be effectively suppressed by temperature compensation, inducing a small angle random walk (ARW) of 0.923°/√h and a low bias instability (BI) of 9.270°/h. Full article
(This article belongs to the Section Electronic Sensors)
Show Figures

Figure 1

Back to TopTop