Sign in to use this feature.

Years

Between: -

Subjects

remove_circle_outline
remove_circle_outline
remove_circle_outline
remove_circle_outline
remove_circle_outline
remove_circle_outline
remove_circle_outline
remove_circle_outline
remove_circle_outline

Journals

remove_circle_outline
remove_circle_outline
remove_circle_outline
remove_circle_outline
remove_circle_outline
remove_circle_outline
remove_circle_outline
remove_circle_outline
remove_circle_outline
remove_circle_outline
remove_circle_outline
remove_circle_outline

Article Types

Countries / Regions

remove_circle_outline
remove_circle_outline
remove_circle_outline
remove_circle_outline
remove_circle_outline

Search Results (1,001)

Search Parameters:
Keywords = workspace

Order results
Result details
Results per page
Select all
Export citation of selected articles as:
19 pages, 5129 KB  
Article
High-Resolution Contact Localization and Three-Axis Force Estimation with a Sparse Strain-Node Tactile Interface Device
by Yanyan Wu, Hanhan Wu, Yifei Han, Yi Ding, Bosheng Cao and Chongkun Xia
Sensors 2026, 26(4), 1378; https://doi.org/10.3390/s26041378 - 22 Feb 2026
Viewed by 148
Abstract
High-resolution contact localization and three-axis force estimation are crucial for human–robot interaction and precision manipulation, yet the sensing area is limited by channel density and wiring cost. Sparse strain readout makes joint estimation of location and three-axis force challenging due to cross-axis coupling [...] Read more.
High-resolution contact localization and three-axis force estimation are crucial for human–robot interaction and precision manipulation, yet the sensing area is limited by channel density and wiring cost. Sparse strain readout makes joint estimation of location and three-axis force challenging due to cross-axis coupling and nonlinear responses, while dense arrays or extensive calibration increase complexity. We present a sparse strain-node tactile interface device (SSTID) whose three-module layout is optimized via particle swarm optimization to maximize informative response overlap, enabling contact localization (x,y) and three-axis force (Fx,Fy,Fz) estimation using only nine strain channels. We further propose a strain-node contact-state decoding framework (SCDF) implemented with a lightweight multilayer perceptron and trained via a two-stage sim-to-real strategy, including FEM pretraining followed by few-shot real-data adaptation. Experiments demonstrate accurate contact-state decoding with full-workspace characterization, supporting low-cost and scalable deployment of sparse tactile interfaces. Full article
Show Figures

Figure 1

17 pages, 5909 KB  
Article
Optimization and Performance Study of 3D Printed Concrete Mixture for Underground Utility Tunnels
by Peixi Guo, Hanwen Zhang, Enmu Ge, Ming Lin, Hang Jia, Yao Zhang and Xinyu Fan
Buildings 2026, 16(4), 859; https://doi.org/10.3390/buildings16040859 - 20 Feb 2026
Viewed by 172
Abstract
The construction of traditional underground utility tunnels faces prominent challenges, including high costs, long construction cycles, and limited workspace. Although 3D printing technology offers an effective solution to these issues, its practical application is largely constrained by key performance factors such as the [...] Read more.
The construction of traditional underground utility tunnels faces prominent challenges, including high costs, long construction cycles, and limited workspace. Although 3D printing technology offers an effective solution to these issues, its practical application is largely constrained by key performance factors such as the printability, early strength, and interlayer bonding of concrete materials. This study aims to develop a 3D-printable concrete material specifically suited for the construction of underground utility tunnels. Through collaborative optimization of parameters such as the water–binder ratio, additives, and fiber content using single-factor and orthogonal tests, the optimal mix proportion was determined: a water–binder ratio of 0.30, a 10% dosage of rapid-hardening sulphoaluminate cement (R·SAC), a sand-to-binder ratio of 1.0, 20% mineral admixtures (15% fly ash + 5% silica fume), and a 1.0% volume fraction of polypropylene fibers. The results indicate that the fresh paste achieved a flowability of 192 mm, demonstrating excellent printability. Specimens printed using a sawtooth toolpath reached a 3-day compressive strength of 37.8 MPa, with 28-day compressive and flexural strengths increasing to 56.3 MPa and 7.8 MPa, respectively, and an interlayer bond strength of 3.5 MPa. Crucially, the compressive and flexural anisotropy coefficients were as low as 0.023 and 0.066, respectively, showing a preliminary exploratory trend superior to levels reported in some literature and suggesting the potential of printed components to improve structural performance consistency. This material system not only meets the requirements of 3D printing for early strength and workability but also, by introducing R·SAC to form a low-alkalinity binder system, provides a potential pathway for enhancing long-term durability in corrosive environments. This study offers a reliable theoretical and experimental basis for the application of 3D printing technology in underground engineering. Long-term durability will remain a primary focus of subsequent research. Full article
(This article belongs to the Special Issue Advances in the 3D Printing of Concrete)
Show Figures

Figure 1

35 pages, 10695 KB  
Article
Modeling of a 4-DOF Flexible Laparoscopic Instrument for Robot-Assisted Minimally Invasive Surgery
by Calin Vaida, Ionut Zima, Florin Graur, Bogdan Gherman, Vasile Bulbucan, Paul Tucan, Alexandru Pusca, Florin Zaharie, Pierre Mougenot, Adrian Pisla, Damien Chablat, Nadim Al Hajjar and Doina Pisla
Robotics 2026, 15(2), 46; https://doi.org/10.3390/robotics15020046 - 17 Feb 2026
Viewed by 248
Abstract
Background: Flexible surgical instruments for Robot-Assisted Minimally Invasive Surgery (RAMIS) face a critical limitation: the inability to rotate the distal head while the instrument is in a bent configuration, which restricts the maneuverability in narrow surgical workspaces. Methods: This paper presents a novel [...] Read more.
Background: Flexible surgical instruments for Robot-Assisted Minimally Invasive Surgery (RAMIS) face a critical limitation: the inability to rotate the distal head while the instrument is in a bent configuration, which restricts the maneuverability in narrow surgical workspaces. Methods: This paper presents a novel 4-degree-of-freedom (DOF) flexible laparoscopic instrument with a 10 mm diameter, incorporating a 3D-printed flexible element. The design enables independent bending (0–90°), continuous distal head rotation (360°), gripper actuation (0–60°), and rod rotation (180°). A constant-curvature kinematic model was developed. The instrument was manufactured using PolyJet 3D printing technology and integrated with the ATHENA parallel robot for proof-of-concept experimental validation. Results: Experimental tests demonstrated successful independent 360° distal head rotation across the full bending range (0–90°), validated through simulated surgical procedures including stomach retraction. Quantitative characterization using optical motion capture revealed a maximum angular deflection of 79.85° at 670 g applied load, with tip displacements of 74.95 mm (X) and 91.18 mm (Y). The measured grasping force was approximately 2 N, tip position repeatability was ±2.86 mm, and fatigue testing demonstrated no degradation after 500 bending cycles, confirmed by digital microscope inspection. The instrument performed multiple manipulation tasks, including elastic band transfer, wire path navigation, spring manipulation, and tissue grasping. Conclusions: The proposed instrument addresses a significant white spot in surgical robotics by adding an additional functional capability enabling grasper reorientation without repositioning the entire instrument. Full article
Show Figures

Figure 1

14 pages, 3450 KB  
Article
From the Lab to the Land: Challenges of Upscaling Biobased Materials for Architecture
by Mercedes Garcia-Holguera
Appl. Sci. 2026, 16(4), 1990; https://doi.org/10.3390/app16041990 - 17 Feb 2026
Viewed by 231
Abstract
The field of biology offers great inspiration for sustainable design solutions through the exploration and implementation of biobased materials in architecture. Research on this topic is increasingly viewed as a key pathway to addressing climate change, partly because biobased materials have lower embedded [...] Read more.
The field of biology offers great inspiration for sustainable design solutions through the exploration and implementation of biobased materials in architecture. Research on this topic is increasingly viewed as a key pathway to addressing climate change, partly because biobased materials have lower embedded energy, can be integrated into circular economy strategies, can be produced locally, and in some cases, biobased materials have been shown to have similar or improved mechanical and hygrothermal properties compared to standard construction materials. However, significant challenges need to be addressed to facilitate a smooth and consistent transition toward a biobased construction industry. Some of these barriers relate to growth processes, cultural perceptions, standardization, and mass production of materials. Another barrier is transitioning from micro-scale structures developed in laboratory settings to metre-scale structures used in architectural applications. Upscaling biobased materials requires adjustments in growth techniques, workspaces, material manipulation tools, and post-processing to ensure the materials meet the requirements for use in the built environment. This document examines bacterial cellulose in this context, illustrating the process followed to upscale the production of the material and adapt it from a controlled lab environment to a larger architectural scale. The study presents and assesses the steps taken to adapt lab growing conditions, harvesting and drying techniques, and coating choices, among other critical procedures. The barriers and opportunities encountered through this process contribute to the ongoing discussion on shifting from traditional to biobased materials in the built environment. Moreover, this research underscores the transformative role that biobased materials like bacterial cellulose can play in advancing sustainable architectural practices and highlights the importance of interdisciplinary efforts to bridge laboratory research and large-scale built design. Full article
Show Figures

Figure 1

19 pages, 4477 KB  
Article
ASCON: A Hybrid Path Planning Algorithm for Manipulators in Strongly Constrained Narrow Passages
by Yifei Zhou, Chunyang Liu, Xin Sui, Yan Huang, Nan Guo, Tian Gao, Kunning Ji, Weiwei Zou and Zhixin Zhao
Machines 2026, 14(2), 228; https://doi.org/10.3390/machines14020228 - 15 Feb 2026
Viewed by 226
Abstract
Path planning for high-DOF robotic manipulators in highly constrained environments (e.g., narrow passages) remains challenging due to poor configuration-space (C-space) connectivity, low computational efficiency, and susceptibility to local minima. This paper proposes a hybrid planner, termed ASCON, which couples the directional guidance of [...] Read more.
Path planning for high-DOF robotic manipulators in highly constrained environments (e.g., narrow passages) remains challenging due to poor configuration-space (C-space) connectivity, low computational efficiency, and susceptibility to local minima. This paper proposes a hybrid planner, termed ASCON, which couples the directional guidance of an improved Artificial Potential Field (APF) with the global exploration capability of RRT-Connect to achieve robust planning in non-convex, strongly constrained workspaces. A smoothed potential-field formulation is introduced to suppress oscillations and improve motion smoothness, while a link-radius-based envelope collision-checking strategy is incorporated to ensure safety margins for real deployment. The evaluation is conducted in two benchmark scenarios—dual-layer stacked obstacles and a 100 mm narrow passage—with 50 independent trials per method per scenario; a run is considered successful only if a collision-free feasible path is found within preset iteration/time limits using fixed hyperparameters. Results show that, compared with conventional APF, ASCON reduces average planning time by 66.0%, decreases iteration count by 80.5%, shortens path length by 13.5%, and lowers peak jerk by 40.3%. Physical experiments further validate practical feasibility by guiding a real manipulator through a 100 mm narrow passage in a collision-free manner, demonstrating efficient, smooth, and robust planning under extreme constraints. Full article
Show Figures

Figure 1

27 pages, 7099 KB  
Article
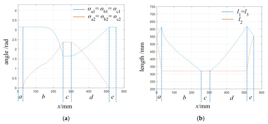
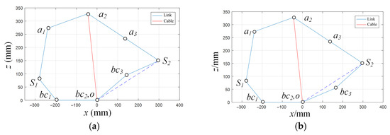
Kinematic Analysis and Gait Planning of a Novel Rigid–Flexible Coupling Rolling Mechanism
by Haibao Gao, Ruiqin Li and Zehui Li
Machines 2026, 14(2), 227; https://doi.org/10.3390/machines14020227 - 14 Feb 2026
Viewed by 259
Abstract
A novel rigid–flexible coupling rolling mechanism is proposed, which is composed of three planar 3R branched chains, two triangular flexible joints and three flexible cables. The degrees of freedom and kinematics of the rigid–flexible coupling rolling mechanism are analyzed, and the relationship between [...] Read more.
A novel rigid–flexible coupling rolling mechanism is proposed, which is composed of three planar 3R branched chains, two triangular flexible joints and three flexible cables. The degrees of freedom and kinematics of the rigid–flexible coupling rolling mechanism are analyzed, and the relationship between the input parameters and the rolling velocity is obtained. The projection of the CoM (center of mass) workspace of the mechanism is solved by the equivalent planar mechanism method. Two kinds of motion modes are designed for the mechanism: one is the star gait rolling mode, and the other is the deformable triangular prism rolling mode. In the star gait rolling mode, a rolling gait with minimum impact is designed. The motion mode of the deformable triangular prism includes creeping motion and rolling motion, which combines the advantages of the two kinds of motions to improve both motion efficiency and motion accuracy. Finally, a prototype is developed, and the rolling motion of the mechanism is verified. Full article
(This article belongs to the Section Machine Design and Theory)
Show Figures

Figure 1

39 pages, 7710 KB  
Article
A Cable-Driven Hybrid Robot with Series-Parallel Coupling: Design, Modeling, Optimization Analysis, and Trajectory Tracking
by Zhifu Xue, Zhiquan Yang, Junyi Hu, Bin Zhu and Jianqing Peng
Sensors 2026, 26(4), 1147; https://doi.org/10.3390/s26041147 - 10 Feb 2026
Viewed by 219
Abstract
Compared to purely serial robots or cable-driven parallel robots (CDPRs), cable-driven hybrid robots (CDHRs) combine the advantages of both, addressing their limitations and enabling the execution of complex tasks. The series-parallel coupling structure increases the complexity of the system, complicating modeling, calibration, and [...] Read more.
Compared to purely serial robots or cable-driven parallel robots (CDPRs), cable-driven hybrid robots (CDHRs) combine the advantages of both, addressing their limitations and enabling the execution of complex tasks. The series-parallel coupling structure increases the complexity of the system, complicating modeling, calibration, and force-closure workspace (FCW) analysis. This study develops a CDHR system equipped with various sensors and proposes methods for series-parallel coupling modeling, workspace analysis, and self-calibration of complex systems. First, the modular design requirements for the CDHR are analyzed, comprising an 8-cable parallel drive and a 4-degree-of-freedom serial manipulator. Second, a kinematic model of the CDHR with series-parallel coupling was derived, and the positions of the dynamic anchor seats were optimized using an optimization algorithm. Based on these optimized results, a modeling and analysis method for the statics and FCW is proposed. Furthermore, considering the complex and interdependent structural parameters of the system, a method for the self-calibration of the system parameters and trajectory planning for the CDHR is presented. Finally, experimental validation on both simulations and a physical prototype confirmed the effectiveness of the proposed methods. The developed prototype and the proposed method provide a basis for high-precision operations in large spaces, operations in dangerous/extreme environments, and automated operations in logistics/warehousing. Full article
Show Figures

Figure 1

40 pages, 21213 KB  
Article
Intuitive, Low-Cost Cobot Control System for Novice Operators, Using Visual Markers and a Portable Localisation Scanner
by Peter George, Chi-Tsun Cheng and Toh Yen Pang
Machines 2026, 14(2), 201; https://doi.org/10.3390/machines14020201 - 9 Feb 2026
Viewed by 303
Abstract
Collaborative robots (cobots) can work cooperatively alongside humans, while contributing to task automation in industries such as manufacturing. Designed with enhanced safety features, cobots can safely assist a range of users, including those with no previous robotics experience. Despite the human-centric design of [...] Read more.
Collaborative robots (cobots) can work cooperatively alongside humans, while contributing to task automation in industries such as manufacturing. Designed with enhanced safety features, cobots can safely assist a range of users, including those with no previous robotics experience. Despite the human-centric design of cobots, programming them can be challenging for novice operators, who may lack the skills and understanding of robotics. If left with a choice between major worker upskilling or replacement and investing in expensive and complex precision cobot positioning and object-detection systems, business owners may be reluctant to embrace cobot ownership. Furthermore, if a cobot’s primary intended tasks were simple Pick-and-Place operations, the tenuous return on investment, compared to retaining current manual processes, could make cobot adoption financially impracticable. This paper proposes a low-cost cobot control system (LCCS), an intuitive cobot solution for Pick-and-Place tasks, designed for novice cobot operators. Off-the-shelf vision-based positioning solutions, priced at around $US20,000, are typically designed to be assigned to a single cobot. The LCCS comprises a Raspberry Pi, a standard USB webcam and ArUco fiducial markers, which can easily be incorporated into a multi-cobot operation, with a combined total hardware cost of around $US100. The system scales simply and economically to support an expanding operation and it is easy to use It allows a user to specify a target pick location by positioning a portable localisation scanner upon an object to be grasped by the cobot end-effector. The scanner’s integrated webcam captures the location and orientation perspective from ArUco markers affixed to predefined positions outside the cobot workspace. By pressing a switch mounted on the scanner, the user relays the captured information, converted to 3D coordinates, to the cobot controller. Finally, the cobot’s integrated processor calculates the corresponding pose using inverse kinematics, which allows the cobot to move to the target position. Subsequent actions can be pre-programmed as required, as part of the initial system configuration. Preliminary testing indicates that the proposed system provides accurate and repeatable localisation information, with a mean positional error below 3.5 mm and a mean standard deviation less than 1.8. With a hardware investment just 0.3% of the UR5e purchase price, an easy to use, customisable, and easily scalable vision-based Pick-and-Place localisation system for cobots can be implemented. It has the potential to be a reliable and robust system that significantly lowers cobot operation barriers for novice operators by alleviating the programming requirement. By reducing the reliance on experienced programmers in a production environment, cobot tasks could be deployed more rapidly and with greater flexibility. Full article
(This article belongs to the Special Issue Artificial Intelligence and Robotics in Manufacturing and Automation)
Show Figures

Figure 1

19 pages, 313 KB  
Article
Multidimensional Aspects of Teachers’ Well-Being Imbalance During Remote Teaching
by Sérgio Lousada, Dainora Jankauskienė, Akvilė Virbalienė and Aurelija Šiurienė
Educ. Sci. 2026, 16(2), 266; https://doi.org/10.3390/educsci16020266 - 8 Feb 2026
Viewed by 158
Abstract
Remote and hybrid teaching have become enduring features of European higher education, yet their implications for teachers’ well-being are often examined in fragmented ways. This study investigated a systemic imbalance across five interdependent domains—physical, emotional, cognitive, social, and existential well-being—among Lithuanian higher education [...] Read more.
Remote and hybrid teaching have become enduring features of European higher education, yet their implications for teachers’ well-being are often examined in fragmented ways. This study investigated a systemic imbalance across five interdependent domains—physical, emotional, cognitive, social, and existential well-being—among Lithuanian higher education teachers, interpreted through the Job Demands–Resources framework and Self-Determination Theory. Using a mixed-methods design, data were collected from 385 teachers via a structured online questionnaire that included demographic variables, 10-point imbalance ratings across the five domains, and open-ended questions. Quantitative analyses (descriptive statistics and correlational pattern exploration) were complemented by thematic analysis of teachers’ narratives. Results indicate a widespread multidimensional disruption: elevated stress and emotional exhaustion, substantial physical strain associated with inadequate home workspaces, cognitive overload linked to multi-platform teaching, reduced collegial connection, blurred work–life boundaries, and challenges to professional meaning. Strain was unevenly distributed, with higher vulnerability associated with gender and caregiving demands, early-career status, limited ergonomic conditions, and weak institutional support. The findings support a systemic interpretation in which intensified demands, reduced resources, and frustrated psychological needs jointly drive well-being imbalance. Sustainable remote/hybrid teaching therefore requires institution-level measures (workload regulation, training, ergonomic support, and boundary-setting policies) rather than reliance on individual coping alone. Full article
23 pages, 9435 KB  
Article
Triplet-Fusion Self-Attention-Enhanced Pyramidal Convolutional Neural Network for Surgical Robot Kinematic Solution
by Tiecheng Su, Lu Liang, Mingzhang Pan, Changcheng Fu, Hengqiu Huang, Jing’ao Li and Ke Liang
Actuators 2026, 15(2), 104; https://doi.org/10.3390/act15020104 - 5 Feb 2026
Viewed by 204
Abstract
Surgical robots are increasingly utilized in medicine for their reliability and convenience. An accurate kinematic model is essential for precise robot control and enhanced surgical safety. However, the high nonlinearity and computational complexity of kinematics pose significant challenges to traditional numerical methods. This [...] Read more.
Surgical robots are increasingly utilized in medicine for their reliability and convenience. An accurate kinematic model is essential for precise robot control and enhanced surgical safety. However, the high nonlinearity and computational complexity of kinematics pose significant challenges to traditional numerical methods. This study designs a surgical robotic arm and establishes the motion mapping relationship between the joint space and the end-effector workspace. Subsequently, a hybrid kinematic estimation model based on deep pyramid convolutional neural network (DPCNN) is proposed, which integrates data sampling and an attention mechanism to improve computational accuracy. The Latin hypercube sampling technique is used to improve the uniformity of dataset sampling, and the triplet-fusion self-attention mechanism (TFSAM) is employed for multi-scale feature information. Experimental results show that the TFSAM-DPCNN model achieves coefficient of determination (R2) values exceeding 0.99 across all testing scenarios. Compared with other models, the proposed model reduced the root mean square error (RMSE) by up to 81.34%, exhibiting superior performance. Furthermore, the developed 3D simulation platform validates the effectiveness of the proposed model. This study offers a robust solution for multi-degree-of-freedom robot modeling, with potential applications across a range of robotic motion control systems. Full article
(This article belongs to the Section Actuators for Robotics)
Show Figures

Figure 1

14 pages, 1049 KB  
Article
Fractional Fuzzy Force-Position Control of Constrained Robots
by Aldo Jonathan Muñoz-Vázquez, Mohamed Gharib, Juan Diego Sánchez-Torres and Anh-Tu Nguyen
Mathematics 2026, 14(3), 565; https://doi.org/10.3390/math14030565 - 4 Feb 2026
Viewed by 233
Abstract
Modern robotic tasks often require interaction with the surrounding elements in the workspace. In some high-precision tasks, it is essential to stabilize the contact force on a smooth yet rigid surface, which can be modeled as a unilateral constraint. This challenge becomes increasingly [...] Read more.
Modern robotic tasks often require interaction with the surrounding elements in the workspace. In some high-precision tasks, it is essential to stabilize the contact force on a smooth yet rigid surface, which can be modeled as a unilateral constraint. This challenge becomes increasingly complex in the presence of disturbances. This study addresses these issues using a robust fuzzy force-position controller that combines the approximation capabilities of fuzzy inference systems with the nonlocal properties of fractional operators. The proposed approach extends the error integration to include proportional-integral-derivative (PID) components of the position error, along with the integral of the contact force error. This formulation leverages the orthogonality between force and velocity subspaces to achieve accurate force-position stabilization. Additionally, an adaptive mechanism enhances closed-loop performance and robustness. The effectiveness of the proposed controller is validated through analytical derivations and simulations, thereby demonstrating its reliability in constrained environments. Full article
Show Figures

Figure 1

21 pages, 5818 KB  
Article
Effect of Impinging Jet Ventilation System Geometry and Location on Thermal Comfort Achievements and Flow Characteristics
by Naif Albelwi, Abdullah M.A. Alsharif, Abdulrhman Farran, H. A. Refaey and Mohamed A. Karali
Buildings 2026, 16(3), 639; https://doi.org/10.3390/buildings16030639 - 3 Feb 2026
Viewed by 258
Abstract
Impinging jet ventilation (IJV) systems have attracted significant attention due to their potential to augment indoor thermal comfort and airflow distribution. Previous studies have primarily investigated corner and mid-wall IJV installations; however, comparative analyses focusing on different diffuser geometries remain limited. [...] Read more.
Impinging jet ventilation (IJV) systems have attracted significant attention due to their potential to augment indoor thermal comfort and airflow distribution. Previous studies have primarily investigated corner and mid-wall IJV installations; however, comparative analyses focusing on different diffuser geometries remain limited. Accordingly, this study examines the combined effects of IJV diffuser geometry and installation location on thermal comfort indices and airflow characteristics. A full three-dimensional computational fluid dynamics (CFD) model, without the use of symmetry, is developed to simulate a realistic office environment (3 × 3 × 2.9 m3), operating in cooling mode under hot summer climatic conditions. Three IJV diffuser cross-section geometries—triangular, square, and circular—are evaluated at four installation locations (two corners and two mid-wall positions), assuming a fixed occupant location. A combined return and exhaust outlet configuration is adopted. The results indicate that the IJV location influences airflow and temperature distributions more strongly than the diffuser geometry. Nevertheless, the circular diffuser exhibits superior performance compared to the triangular and square geometries. The mid-wall location placed behind the occupant and away from the hot exterior wall demonstrates reduced thermal stratification, improved airflow characteristics, and weaker vortex formation, making it the most favorable configuration. From an architectural perspective, these findings highlight the importance of early coordination between ventilation design and office spatial planning, as diffuser placement directly influences occupant comfort zones and furniture layout. Moreover, the preference for mid-wall installations supports a more flexible façade design and allows for greater freedom in organizing workspaces without compromising thermal performance. Full article
(This article belongs to the Topic Indoor Air Quality and Built Environment)
Show Figures

Figure 1

23 pages, 6708 KB  
Article
Feasibility Domain Construction and Characterization Method for Intelligent Underground Mining Equipment Integrating ORB-SLAM3 and Depth Vision
by Siya Sun, Xiaotong Han, Hongwei Ma, Haining Yuan, Sirui Mao, Chuanwei Wang, Kexiang Ma, Yifeng Guo and Hao Su
Sensors 2026, 26(3), 966; https://doi.org/10.3390/s26030966 - 2 Feb 2026
Viewed by 258
Abstract
To address the limited environmental perception capability and the difficulty of achieving consistent and efficient representation of the workspace feasible domain caused by high dust concentration, uneven illumination, and enclosed spaces in underground coal mines, this paper proposes a digital spatial construction and [...] Read more.
To address the limited environmental perception capability and the difficulty of achieving consistent and efficient representation of the workspace feasible domain caused by high dust concentration, uneven illumination, and enclosed spaces in underground coal mines, this paper proposes a digital spatial construction and representation method for underground environments by integrating RGB-D depth vision with ORB-SLAM3. First, a ChArUco calibration board with embedded ArUco markers is adopted to perform high-precision calibration of the RGB-D camera, improving the reliability of geometric parameters under weak-texture and non-uniform lighting conditions. On this basis, a “dense–sparse cooperative” OAK-DenseMapper Pro module is further developed; the module improves point-cloud generation using a mathematical projection model, and combines enhanced stereo matching with multi-stage depth filtering to achieve high-quality dense point-cloud reconstruction from RGB-D observations. The dense point cloud is then converted into a probabilistic octree occupancy map, where voxel-wise incremental updates are performed for observed space while unknown regions are retained, enabling a memory-efficient and scalable 3D feasible-space representation. Experiments are conducted in multiple representative coal-mine tunnel scenarios; compared with the original ORB-SLAM3, the number of points in dense mapping increases by approximately 38% on average; in trajectory evaluation on the TUM dataset, the root mean square error, mean error, and median error of the absolute pose error are reduced by 7.7%, 7.1%, and 10%, respectively; after converting the dense point cloud to an octree, the map memory footprint is only about 0.5% of the original point cloud, with a single conversion time of approximately 0.75 s. The experimental results demonstrate that, while ensuring accuracy, the proposed method achieves real-time, efficient, and consistent representation of the 3D feasible domain in complex underground environments, providing a reliable digital spatial foundation for path planning, safe obstacle avoidance, and autonomous operation. Full article
Show Figures

Figure 1

26 pages, 12305 KB  
Article
Development and Experimental Evaluation of the Athena Parallel Robot for Minimally Invasive Pancreatic Surgery
by Alexandru Pusca, Razvan Ciocan, Bogdan Gherman, Andra Ciocan, Andrei Caprariu, Nadim Al Hajjar, Calin Vaida, Adrian Pisla, Corina Radu, Andrei Cailean, Paul Tucan, Damien Chablat and Doina Pisla
Robotics 2026, 15(2), 33; https://doi.org/10.3390/robotics15020033 - 1 Feb 2026
Viewed by 327
Abstract
This paper presents the development and experimental evaluation of the Athena parallel robot, a novel system designed for robot-assisted pancreatic surgery. The development of the experimental model based on the kinematic scheme, including the command and control system (hardware and software), the calibration [...] Read more.
This paper presents the development and experimental evaluation of the Athena parallel robot, a novel system designed for robot-assisted pancreatic surgery. The development of the experimental model based on the kinematic scheme, including the command and control system (hardware and software), the calibration procedure, and the performance measurements of the experimental model based on finite element analyses of the 3D model, are also detailed in this paper. Based on these finite element analyses, a region of the robot that introduces clearance during the operation of the experimental model is found. The paper also presents the methodology used for mapping the robot’s workspace with an optical system, which enabled improvements to ensure coverage of the entire pancreas area. The results obtained before and after the mechanical improvements are presented, demonstrating a reduction in clearance by up to 4.1 times following part replacement, as well as a workspace extension that enables the active instrument to reach the entire pancreatic region. Full article
Show Figures

Figure 1

18 pages, 670 KB  
Article
When Feedback Backfires: Effects of Real-Time Participation Feedback and Group Norm Prompt on Team Creativity in Virtual Workspaces
by Woonki Hong and Heajung Jung
Behav. Sci. 2026, 16(2), 204; https://doi.org/10.3390/bs16020204 - 30 Jan 2026
Viewed by 297
Abstract
This study examines how structured interventions influence team creativity on a metaverse-based collaboration platform. Using B.sket, a custom virtual workspace, we tested two interventions during an online brainstorming task: (1) real-time participation feedback delivered as a communication barcode showing each member’s speaking time [...] Read more.
This study examines how structured interventions influence team creativity on a metaverse-based collaboration platform. Using B.sket, a custom virtual workspace, we tested two interventions during an online brainstorming task: (1) real-time participation feedback delivered as a communication barcode showing each member’s speaking time and sequence (an informational cue), and (2) a group norm communication encouraging equal participation (a social-normative cue). Eighty-one university students in South Korea, recruited through online advertisements using a convenience sampling method, participated in a 2 (group norm prompt: provided vs. not) × 2 (participation feedback: provided vs. not) between-subject factorial design. Team creativity was evaluated by fluency, flexibility, and originality. Results revealed that, contrary to expectations, participation feedback significantly reduced idea fluency and showed marginally negative effects on flexibility and originality. The group norm prompt produced no significant improvements in creativity. We speculate that these findings can be explained by self-determination theory and ego depletion theory, such that real-time participation feedback may undermine individuals’ sense of autonomy and induce cognitive distraction, thereby reducing creative performance. We discuss practical implications that team process interventions for promoting equal participation should be designed carefully to avoid these unexpected consequences. Full article
Show Figures

Figure 1

Back to TopTop