Sign in to use this feature.

Years

Between: -

Subjects

remove_circle_outline
remove_circle_outline
remove_circle_outline
remove_circle_outline
remove_circle_outline
remove_circle_outline
remove_circle_outline
remove_circle_outline
remove_circle_outline

Journals

Article Types

Countries / Regions

remove_circle_outline
remove_circle_outline
remove_circle_outline

Search Results (149)

Search Parameters:
Keywords = winding asymmetry

Order results
Result details
Results per page
Select all
Export citation of selected articles as:
22 pages, 6693 KB  
Article
Layered Multi-Objective Optimization of Permanent Magnet Synchronous Linear Motor Considering Thrust Ripple Suppression
by Shiqi Xu, Jinhua Du and Jing Zhang
Appl. Sci. 2026, 16(2), 969; https://doi.org/10.3390/app16020969 (registering DOI) - 17 Jan 2026
Viewed by 98
Abstract
In this study, a layered multi-objective optimization design method is proposed for a segmented skewed pole permanent magnet synchronous linear motor (PMSLM), considering thrust ripple suppression. Based on a 2-D analytical model, the effects of end force, cogging force, and winding asymmetry force [...] Read more.
In this study, a layered multi-objective optimization design method is proposed for a segmented skewed pole permanent magnet synchronous linear motor (PMSLM), considering thrust ripple suppression. Based on a 2-D analytical model, the effects of end force, cogging force, and winding asymmetry force on thrust ripple in PMSLM are analyzed, and the correctness is verified using finite element analysis and experiments. On this basis, a layered multi-objective optimization method is proposed. The whole optimization is divided into three layers. Metamodels of optimal prognosis are established to optimize the structural parameters in a layered manner, achieving a compromise between reducing thrust ripple and increasing average thrust. The effectiveness of the layered multi-objective optimization method is verified through simulation and prototype experiments. The layered structure aims to improve efficiency while ensuring computational accuracy. Full article
Show Figures

Figure 1

19 pages, 7841 KB  
Article
Research on Lateral Loading Behavior of Embedded Rock-Socketed Jacket Offshore Wind Turbines
by Ronghua Zhu, Yuning Zhang, Feipeng Zou, Jiajun Hu, Zijian Tao and Yong Chen
J. Mar. Sci. Eng. 2026, 14(2), 183; https://doi.org/10.3390/jmse14020183 - 15 Jan 2026
Viewed by 59
Abstract
As an innovative foundation type specifically developed for seabed conditions characterized by shallow overburden overlying bedrock, driven embedded rock-socketed jacket offshore wind turbines achieve high bearing capacity by embedding the pile tips into the bedrock. However, the mechanical behavior of this foundation system [...] Read more.
As an innovative foundation type specifically developed for seabed conditions characterized by shallow overburden overlying bedrock, driven embedded rock-socketed jacket offshore wind turbines achieve high bearing capacity by embedding the pile tips into the bedrock. However, the mechanical behavior of this foundation system has not yet been fully clarified. In this study, based on the engineering conditions of an offshore wind power project in Fujian, a 1:100 scaled physical model test is conducted to validate Plaxis 3D finite-element model. On this basis, a parametric sensitivity analysis is conducted to investigate the influences of key geotechnical properties, pile rock-socketed depth, and geometric parameters, with the aim of elucidating the mechanisms governing the lateral loading behavior of the jacket foundation. The results show that the numerical simulations are in good agreement with the experimental measurements. Among all piles, the front-row pile exhibits the most significant displacement at the pile top at the mudline, reflecting the asymmetry in load transfer and deformation of the pile foundation system. The ultimate bearing capacity varies by about 91.7% among different bedrock types, while the influence of rock weathering degree on the lateral bearing performance of the foundation is about 4.7%. The effects of Pile rock-socketed depth and geometric parameters on the lateral bearing capacity of the foundation are approximately 15.2% and 80.8%, respectively. A critical threshold for rock-socket depth exists at about 6D (where D is the pile diameter), beyond which further improvements in embedment depth result in diminishing improvements in lateral bearing capacity. Full article
(This article belongs to the Section Ocean Engineering)
Show Figures

Figure 1

21 pages, 6542 KB  
Article
Performance Analysis of a Novel 3D-Printed Three-Blade Savonius Wind Turbine Rotor with Pointed Deflectors
by Edward Ang and Jaime Honra
Fluids 2026, 11(1), 9; https://doi.org/10.3390/fluids11010009 - 29 Dec 2025
Viewed by 399
Abstract
This study presents a compact, 3D-printed Savonius wind turbine rotor incorporating pointed deflectors to enhance concave-side airflow and mitigate blade-edge vortex formation. The prototype, fabricated from ABS plastic, was experimentally evaluated in an Eiffel-type wind tunnel under low-speed wind conditions (3, 4, and [...] Read more.
This study presents a compact, 3D-printed Savonius wind turbine rotor incorporating pointed deflectors to enhance concave-side airflow and mitigate blade-edge vortex formation. The prototype, fabricated from ABS plastic, was experimentally evaluated in an Eiffel-type wind tunnel under low-speed wind conditions (3, 4, and 5 m/s), with blockage effects taken into account. Flow visualization revealed improved airflow attachment and pressure concentration on the concave blade surfaces, increasing drag asymmetry and torque generation. Corresponding power coefficients with applied blockage ratio were observed to be 0.181, 0.185 and 0.186, while torque coefficients with applied blockage ratio were observed to be 0.385, 0.374 and 0.375 at each wind speed and optimal tip-speed ratio, respectively, and were compared with previously reported computational results. The optimal operating tip-speed ratios identified for the torque and power coefficients were remarkably close, enabling efficient torque and power generation during operation. The experimental findings validate earlier numerical predictions and underscore the importance of physical testing in assessing turbine performance. Observed deviations between predicted and experimental coefficients suggest that fabrication parameters may influence prototype performance and warrant further investigation. Overall, the results demonstrate the technical viability of 3D-printed Savonius turbines for small-scale urban energy harvesting applications in the Philippines. Full article
(This article belongs to the Section Mathematical and Computational Fluid Mechanics)
Show Figures

Figure 1

18 pages, 3018 KB  
Article
Different Climate Responses to Northern, Tropical, and Southern Volcanic Eruptions in CMIP6 Models
by Qinghong Zeng and Shengbo Chen
Climate 2026, 14(1), 8; https://doi.org/10.3390/cli14010008 - 28 Dec 2025
Viewed by 489
Abstract
Explosive volcanic eruptions are key drivers of climate variability, yet their hemispheric-dependent impacts remain uncertain. Using multi-model ensembles from Coupled Model Intercomparison Project Phase 6 (CMIP6) historical data and Decadal Climate Prediction Project (DCPP) simulations, this study examines how the spatial distribution of [...] Read more.
Explosive volcanic eruptions are key drivers of climate variability, yet their hemispheric-dependent impacts remain uncertain. Using multi-model ensembles from Coupled Model Intercomparison Project Phase 6 (CMIP6) historical data and Decadal Climate Prediction Project (DCPP) simulations, this study examines how the spatial distribution of volcanic aerosols modulates climate responses to Northern Hemisphere (NH), Tropical (TR), and Southern Hemisphere (SH) eruptions. The CMIP6 ensemble captures observed temperature and precipitation patterns, providing a robust basis for assessing volcanic effects. The results show that the hemispheric distribution of aerosols strongly controls radiative forcing, surface air temperature, and hydrological responses. TR eruptions cause nearly symmetric cooling and widespread tropical rainfall reduction, while NH and SH eruptions produce asymmetric temperature anomalies and clear Intertropical Convergence Zone (ITCZ) displacements away from the perturbed hemisphere. The vertical temperature structure, characterized by stratospheric warming and tropospheric cooling, further amplifies hemispheric contrasts through enhanced cross-equatorial energy transport and shifts in the Hadley circulation. ENSO-like responses depend on eruption latitude, TR and NH eruptions favor El Niño–like warming through westerly wind anomalies and Bjerknes feedback, and SH eruptions induce La Niña–like cooling. The DCPP experiments confirm that these signals primarily arise from volcanic forcing rather than internal variability. These findings highlight the critical role of aerosol asymmetry and vertical temperature structure in shaping post-eruption climate patterns and advancing the understanding of volcanic–climate interactions. Full article
Show Figures

Figure 1

27 pages, 7867 KB  
Article
Comparative Deep Learning Models for Short-Term Wind Power Forecasting: A Real-World Case Study from Tokat Wind Farm, Türkiye
by Avşin Ay, Kevser Önal, Ahmet Top, Cem Haydaroğlu, Heybet Kılıç and Özal Yıldırım
Symmetry 2026, 18(1), 11; https://doi.org/10.3390/sym18010011 - 19 Dec 2025
Viewed by 370
Abstract
Accurate short-term wind power forecasting plays a critical role in maintaining grid stability due to the inherently irregular and fluctuating nature of wind resources. Deep learning models such as LSTM, GRU, and CNN are widely used to learn temporal dynamics; however, their ability [...] Read more.
Accurate short-term wind power forecasting plays a critical role in maintaining grid stability due to the inherently irregular and fluctuating nature of wind resources. Deep learning models such as LSTM, GRU, and CNN are widely used to learn temporal dynamics; however, their ability to capture or adapt to the underlying symmetries and asymmetries inherent in real-world wind energy data remains insufficiently explored. In this study, we evaluate and compare these models using authentic production and meteorological data from the Tokat Wind Farm in Türkiye. The forecasting scenarios were designed to reflect the temporal structure of the dataset, including seasonal patterns, recurrent behaviors, and the symmetry-breaking effects caused by abrupt changes in wind speed and operational variability. The results demonstrate that the LSTM model most effectively captures the temporal relationships and partial symmetries within the data, yielding the lowest error metrics (RMSE = 0.2355, MAE = 0.1249, MAPE = 25.16%, R2 = 0.8199). GRU and CNN offer moderate performance but show reduced sensitivity to asymmetric fluctuations, particularly during periods of high variability. The comparative findings highlight how symmetry-informed model behavior—specifically the ability to learn repeating temporal structures and respond to symmetry-breaking events—can significantly influence forecasting accuracy. This study provides practical insights into the interplay between data symmetries and model performance, supporting the development of more robust deep learning approaches for real-world wind energy forecasting. Full article
(This article belongs to the Special Issue Applications in Symmetry/Asymmetry and Machine Learning)
Show Figures

Figure 1

16 pages, 1259 KB  
Article
Impact and Detection of Coil Asymmetries in a Permanent Magnet Synchronous Generator with Parallel Connected Stator Coils
by Nikolaos Gkiolekas, Alexandros Sergakis, Marios Salinas, Markus Mueller and Konstantinos N. Gyftakis
Machines 2026, 14(1), 6; https://doi.org/10.3390/machines14010006 - 19 Dec 2025
Viewed by 259
Abstract
Permanent magnet synchronous generators (PMSGs) are suitable for offshore applications due to their high efficiency and power density. Inter-turn short circuits (ITSCs) stand as one of the most critical faults in these machines due to their rapid evolution in phase or ground short [...] Read more.
Permanent magnet synchronous generators (PMSGs) are suitable for offshore applications due to their high efficiency and power density. Inter-turn short circuits (ITSCs) stand as one of the most critical faults in these machines due to their rapid evolution in phase or ground short circuits. It is therefore necessary to detect ITSCs at an early stage. In the literature, ITSC detection is often based on current signal processing methods. One of the challenges that these methods face is the presence of imperfections in the stator coils, which also affects the three-phase symmetry. Moreover, when the stator coils are connected in parallel, this type of fault becomes important, as circulating currents will flow between the parallel windings. This, in turn, increases the thermal stress on the insulation and the permanent magnets, while also exacerbating the vibrations of the generator. In this study, a finite-element analysis (FEA) model has been developed to simulate a dual-rotor PMSG under conditions of coil asymmetry. To further investigate the impact of this asymmetry, mathematical modeling has been conducted. For fault detection, negative-sequence current (NSC) analysis and torque monitoring have been used to distinguish coil asymmetry from ITSCs. While both methods demonstrate potential for fault identification, NSC induced small amplitudes and the torque analysis was unable to detect ITSCs under low-severity conditions, thereby underscoring the importance of developing advanced strategies for early-stage ITSC detection. The innovative aspect of this work is that, despite these limitations, the combined use of NSC phase-angle tracking and torque harmonic analysis provides, for the first time in a core-less PMSG with parallel-connected coils, a practical way to distinguish ITSC from coil asymmetry, even though both faults produce almost identical signatures in conventional current-based indices. Full article
(This article belongs to the Special Issue Fault Diagnostics and Fault Tolerance of Synchronous Electric Drives)
Show Figures

Figure 1

35 pages, 14987 KB  
Article
High-Resolution Modeling of Storm Surge Response to Typhoon Doksuri (2023) in Fujian, China: Impacts of Wind Field Fusion, Parameter Sensitivity, and Sea-Level Rise
by Ziyi Xiao and Yimin Lu
J. Mar. Sci. Eng. 2026, 14(1), 5; https://doi.org/10.3390/jmse14010005 - 19 Dec 2025
Viewed by 374
Abstract
To quantitatively assess the storm surge induced by Super Typhoon Doksuri (2023) along the complex coastline of Fujian Province, a high-resolution Finite-Volume Coastal Ocean Model (FVCOM) was developed, driven by a refined Holland–ERA5 hybrid wind field with integrated physical corrections. The hybrid approach [...] Read more.
To quantitatively assess the storm surge induced by Super Typhoon Doksuri (2023) along the complex coastline of Fujian Province, a high-resolution Finite-Volume Coastal Ocean Model (FVCOM) was developed, driven by a refined Holland–ERA5 hybrid wind field with integrated physical corrections. The hybrid approach retains the spatiotemporal coherence of the European Centre for Medium-Range Weather Forecasts (ECMWF) ERA5 reanalysis in the far field, while incorporating explicit inner-core adjustments for quadrant asymmetry, sea-surface-temperature dependency, and bounded decay after landfall. A series of numerical experiments were conducted, including paired tidal-only and full storm-forcing simulations, along with a systematic sensitivity ensemble in which bottom-friction parameters were perturbed and the anomalous (typhoon-related) wind component was scaled by factors ranging from 0.8 to 1.2. Static sea-level rise (SLR) scenarios (+0.3 m, +0.5 m, +1.0 m) were imposed to evaluate their influence on extreme water levels. Storm surge extremes were analyzed using a multi-scale coastal buffer framework, comparing two extreme extraction methods: element-mean followed by time-maximum, and node-maximum then assigned to elements. The model demonstrates high skill in reproducing astronomical tides (Pearson r = 0.979–0.993) and hourly water level series (Pearson r > 0.98) at key validation stations. Results indicate strong spatial heterogeneity in the sensitivity of surge levels to both bottom friction and wind intensity. While total peak water levels rise nearly linearly with SLR, the storm surge component itself exhibits a nonlinear response. The choice of extreme-extraction method significantly influences design values, with the node-based approach yielding peak values 0.8% to 4.5% higher than the cell-averaged method. These findings highlight the importance of using physically motivated adjustments to wind fields, extreme-value analysis across multiple coastal buffer scales, and uncertainty quantification in future SLR-informed coastal risk assessments. By integrating analytical, physics-based inner-core corrections with sensitivity experiments and multi-scale analysis, this study provides an enhanced framework for storm surge modeling suited to engineering and coastal management applications. Full article
(This article belongs to the Section Physical Oceanography)
Show Figures

Figure 1

16 pages, 3889 KB  
Article
Assessment of 15 CMIP6 Models in Simulating the East Asian Winter Monsoon and Its Relationship with ENSO
by Yiqiong Tang and Mengyu Li
Atmosphere 2025, 16(12), 1400; https://doi.org/10.3390/atmos16121400 - 12 Dec 2025
Viewed by 451
Abstract
The East Asian winter monsoon (EAWM) is a critical component of the boreal winter global climate system, exerting profound influences on weather and climate anomalies across East Asia. This study systematically evaluates the capability of 15 Coupled Model Intercomparison Project Phase 6 (CMIP6) [...] Read more.
The East Asian winter monsoon (EAWM) is a critical component of the boreal winter global climate system, exerting profound influences on weather and climate anomalies across East Asia. This study systematically evaluates the capability of 15 Coupled Model Intercomparison Project Phase 6 (CMIP6) models in simulating the typical associated circulation, temporal characteristics, and the relationship with the El Niño–Southern Oscillation (ENSO) during the historical period of 1951–2013. Results indicate that the multi-model ensemble demonstrates considerable fidelity in reproducing the climatological spatial patterns of key EAWM systems, including the Siberian High, Aleutian Low, and low-level meridional winds. However, a systematic eastward shift is identified in the simulated sea level pressure anomaly centers over the North Pacific. In terms of temporal variability, most models realistically capture the dominant interdecadal periodicity of 15–20 years found in observations after 11-year low-passed filter. Four models reproduce a similar bimodal periodicity. Regarding the ENSO–EAWM relationship, approximately 80% of the evaluated models successfully capture the observed negative correlation, although its strength is consistently underestimated across the model ensemble. More notably, only three CMIP6 models faithfully capture the observed intrinsic asymmetry in the ENSO–EAWM relationship (i.e., the stronger impact of El Niño compared to La Niña). Full article
Show Figures

Figure 1

27 pages, 59170 KB  
Article
Effects of Vectorial Inflow on the Multi-Axis Aerodynamic Performance of a Small-Sized UAV Rotor
by Cong Liu, Yu Wang and Zhiqiang Wei
Aerospace 2025, 12(12), 1096; https://doi.org/10.3390/aerospace12121096 - 10 Dec 2025
Viewed by 480
Abstract
Variations in flight trajectory and velocity during vertical takeoff, transition, and level flight cause substantial changes in the relative inflow vector of multi-rotor unmanned aerial vehicles (UAVs). In urban environments, disturbances from complex wind fields further increase the uncertainty of inflow conditions. This [...] Read more.
Variations in flight trajectory and velocity during vertical takeoff, transition, and level flight cause substantial changes in the relative inflow vector of multi-rotor unmanned aerial vehicles (UAVs). In urban environments, disturbances from complex wind fields further increase the uncertainty of inflow conditions. This study investigates the aerodynamic characteristics of a fixed-pitch small-sized UAV rotor under varying inflow angles, velocities, and rotational speeds using a subsonic return-flow wind tunnel. The experimental setup enables inflow angle control from −90° to +90° via a turntable. Results indicate that, without incoming flow, the axial thrust and torque coefficients remain nearly constant. With inflow, both coefficients become highly sensitive to velocity in the 2000–5000 rpm range, with deviations up to four times those under static conditions. The in-plane lateral force along the X-axis increases significantly with inflow velocity, reaching about half the axial force, while the Y-axis component is minor and negligible under symmetric configurations. Pitching and rolling moments increase rapidly once inflow velocity exceeds 8 m/s, surpassing the axial torque and exhibiting strong directional asymmetry around ±15° inflow angles. The results demonstrate coupled aerodynamic force and moment behavior of small rotors under complex inflow, providing experimental evidence for improved dynamic modeling, control design, and the energy optimization of UAVs operating in turbulent wind environments. Full article
Show Figures

Figure 1

19 pages, 2332 KB  
Article
Symmetry and Environmental Performance of PTB7-Th:ZY-4Cl Non-Fullerene Solar Cells: LCA, Benchmarking, and Process Optimization
by Muhammad Raheel Khan, Bożena Jarząbek, Wan Haliza Abd Majid and Marcin Adamiak
Symmetry 2025, 17(12), 2106; https://doi.org/10.3390/sym17122106 - 8 Dec 2025
Viewed by 309
Abstract
Organic photovoltaics (OPVs) based on non-fullerene acceptors (NFAs) are rapidly advancing as lightweight, flexible, and low-cost solar technologies, with power conversion efficiencies approaching 20%. To ensure that environmental sustainability progresses symmetrically alongside performance improvements, it is essential to quantify the environmental footprint of [...] Read more.
Organic photovoltaics (OPVs) based on non-fullerene acceptors (NFAs) are rapidly advancing as lightweight, flexible, and low-cost solar technologies, with power conversion efficiencies approaching 20%. To ensure that environmental sustainability progresses symmetrically alongside performance improvements, it is essential to quantify the environmental footprint of these emerging technologies, particularly during early development stages when material and process choices remain adaptable. This study presents a cradle-to-gate life cycle assessment (LCA) of PTB7-Th:ZY-4Cl solar cells, aiming to identify asymmetries in environmental impact distribution and guide eco-efficient optimization strategies. Using laboratory-scale fabrication data, global warming potential (GWP), cumulative energy demand (CED), acidification (AP), eutrophication (EP), and fossil fuel depletion (FFD) were evaluated via the TRACI methodology. Results reveal that electricity consumption in thermomechanical operations (ultrasonic cleaning, spin coating, annealing, and stirring) disproportionately dominates most impact categories, while chemical inputs such as PEDOT:PSS, PTB7-Th:ZY-4Cl precursors, and solvents contribute significantly to fossil fuel depletion. Substituting grid electricity with renewable sources (hydro, wind, PV) markedly reduces GWP, and solvent recovery or replacement with greener alternatives offers further gains. Although extrapolation to a 1 m2 pilot-scale module reveals impacts higher than established PV technologies, prospective scenarios with realistic efficiencies (10%) and lifetimes (10–20 years) suggest values of ~150–500 g CO2-eq/kWh—comparable to fullerene OPVs and approaching perovskite and thin-film benchmarks. These findings underscore the value of early-stage LCA in identifying asymmetrical hotspots, informing material and process optimization, and supporting the sustainable scale-up of next-generation OPVs. Full article
(This article belongs to the Section Engineering and Materials)
Show Figures

Figure 1

21 pages, 3307 KB  
Article
Identification of Static Eccentricity and Load Current Unbalance via Space Vector Stray Flux in Permanent Magnet Synchronous Generators
by Ilyas Aladag, Taner Goktas, Muslum Arkan and Bulent Yaniktepe
Electronics 2025, 14(24), 4788; https://doi.org/10.3390/electronics14244788 - 5 Dec 2025
Viewed by 405
Abstract
Permanent Magnet Synchronous Generators (PMSGs) have become increasingly important in industrial applications such as wind turbine systems due to their high efficiency and power density. However, their operational reliability can be affected by asymmetries such as static eccentricity (SE) and load current unbalance [...] Read more.
Permanent Magnet Synchronous Generators (PMSGs) have become increasingly important in industrial applications such as wind turbine systems due to their high efficiency and power density. However, their operational reliability can be affected by asymmetries such as static eccentricity (SE) and load current unbalance (UnB), which exhibit similar spectral features and are therefore difficult to differentiate using conventional techniques such as Motor Current Signature Analysis (MCSA). Stray flux analysis provides an alternative diagnostic approach, yet single-point measurements often lack the sensitivity required for accurate fault discrimination. This study introduces a diagnostic methodology based on the Space Vector Stray Flux (SVSF) for identifying static eccentricity (SE) and load current unbalance (UnB) faults in PMSG-based systems. The SVSF is derived from three external stray flux sensors placed 120° electrical degrees apart and analyzed through symmetrical component decomposition, focusing on the +5fs positive-sequence harmonic. Two-dimensional Finite Element Analysis (FEA) conducted on a 36-slot/12-pole PMSG model shows that the amplitude of the +5fs harmonic increases markedly under static eccentricity, while it remains nearly unchanged under load current unbalance. To validate the simulation findings, comprehensive experiments have been conducted on a dedicated test rig equipped with high-sensitivity fluxgate sensors. The experimental results confirm the robustness of the proposed SVSF method against practical constraints such as sensor placement asymmetry, 3D axial flux effects, and electromagnetic interference (EMI). The identified harmonic thus serves as a distinct and reliable indicator for differentiating static eccentricity from load current unbalance faults. The proposed SVSF-based approach significantly enhances the accuracy and robustness of fault detection and provides a practical tool for condition monitoring in PMSG. Full article
(This article belongs to the Special Issue Energy Saving Management Systems: Challenges and Applications)
Show Figures

Graphical abstract

20 pages, 25465 KB  
Article
Late Pleistocene Low-Altitude Atlantic Palaeoglaciation and Palaeo-ELA Modelling: Insights from Serra da Cabreira, NW Iberia
by Edgar Figueira, Alberto Gomes and Jorge Costa
Quaternary 2025, 8(4), 71; https://doi.org/10.3390/quat8040071 - 1 Dec 2025
Viewed by 695
Abstract
Low-altitude palaeoglaciation in Atlantic mountain regions provides important insights into past climatic conditions and moisture dynamics during the Last Glacial Cycle. This study presents the first quantitative reconstruction of palaeoglaciers in Serra da Cabreira (northwest Portugal), a mid-altitude granite massif located along the [...] Read more.
Low-altitude palaeoglaciation in Atlantic mountain regions provides important insights into past climatic conditions and moisture dynamics during the Last Glacial Cycle. This study presents the first quantitative reconstruction of palaeoglaciers in Serra da Cabreira (northwest Portugal), a mid-altitude granite massif located along the Atlantic fringe of the Iberian Peninsula. Detailed geomorphological mapping (1:14,000) and field surveys identified 48 glacial and periglacial landforms, enabling reconstruction of two small valley glaciers in the Gaviões and Azevedas valleys using GlaRe numerical modelling. The spatial distribution of palaeoglacial landforms shows a pronounced west–east asymmetry: periglacial features prevail on wind-exposed west-facing slopes, whereas glacial erosion and depositional landforms characterise the more protected east-facing valleys. The reconstructed glaciers covered 0.24–0.98 km2, with maximum ice thicknesses of 72–89 m. Equilibrium-line altitudes were estimated using AABR, AAR, and MELM methods, yielding consistent palaeo-ELA values of ~1020–1080 m. These results indicate temperature depressions of ~6–10 °C and enhanced winter precipitation associated with humid, Atlantic-dominated conditions. Comparison with regional ELA datasets situates Cabreira within a clear Atlantic–continentality gradient across northwest Iberia, aligning with other low-altitude maritime palaeoglaciers in the northwest Iberian mountains. The findings highlight the strong influence of the orographic barrier position, moisture availability, valley hypsometry, and structural controls in sustaining small, climatically sensitive glaciers at low elevations. Serra da Cabreira thus provides a key reference for understanding Last Glacial Cycle palaeoclimatic variability along the Western Iberian margin. Full article
Show Figures

Figure 1

23 pages, 4538 KB  
Article
Implementation of Current Harmonic Suppression for Imbalance in Six-Phase Permanent Magnet Synchronous Motor Drives
by Yu-Ting Lin, Jonq-Chin Hwang and Cheng-Tsung Lin
Energies 2025, 18(23), 6112; https://doi.org/10.3390/en18236112 - 22 Nov 2025
Viewed by 364
Abstract
Current harmonics in six-phase permanent magnet synchronous motors (PMSMs) arise from inherent asymmetries caused by manufacturing tolerances and nonlinear characteristics in the inverter output. Additionally, magnetic saturation and slight imbalances in the windings introduce flux linkage asymmetries, resulting in both fundamental current imbalance [...] Read more.
Current harmonics in six-phase permanent magnet synchronous motors (PMSMs) arise from inherent asymmetries caused by manufacturing tolerances and nonlinear characteristics in the inverter output. Additionally, magnetic saturation and slight imbalances in the windings introduce flux linkage asymmetries, resulting in both fundamental current imbalance and low-order harmonics. Although these imbalances are minor and do not indicate fault conditions, they can cause uneven copper loss and eventually reduce the overall service life of the motor. This paper proposes a harmonic suppression strategy for mitigating imbalance current harmonics in non-ideal six-phase PMSMs. The method integrates back-electromotive force harmonic feedforward compensation (BEMF-HFC) with harmonic synchronous reference frame current control (HSRF-CC). An imbalance flux linkage harmonic model is developed in simulations to replicate the measured imbalance phase currents and to validate the effectiveness of the proposed strategy. The experimental setup is built using a microcontroller from Texas Instruments (TI), which generates six-phase complementary PWM signals for the power stage and receives feedback signals including phase currents, DC bus voltage, and rotor position. Rotor position is acquired through a 12-pole resolver and a 12-bit resolver-to-digital converter (RDC). The six-phase PMSM used in the tests is specified with 12 poles, a rated DC bus voltage of 600 V, a rated current of 200 Arms, and a rated rotor speed of 1200 rpm. Compared with conventional harmonic suppression strategies that do not target imbalance current harmonics, the proposed method achieves a better current balance and lower total harmonic distortion (THD). At 1200 rpm, the magnitude deviation of the fundamental, third, and fifth current harmonics is reduced from 8.61%, 2.88%, and 2.94% to 1.19%, 1.02%, and 0.5%, respectively. Full article
Show Figures

Figure 1

28 pages, 4652 KB  
Article
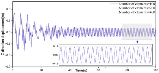
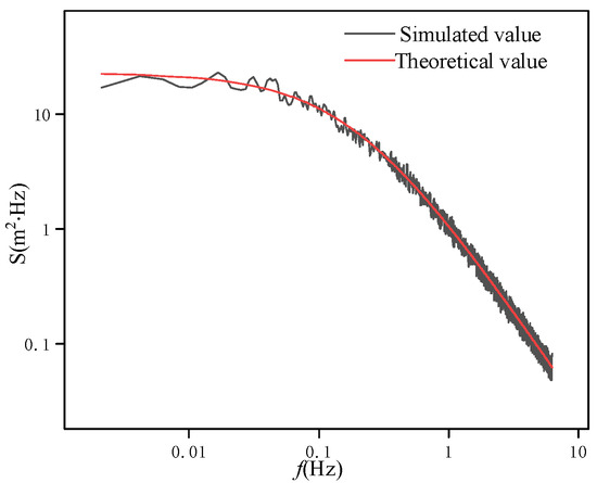
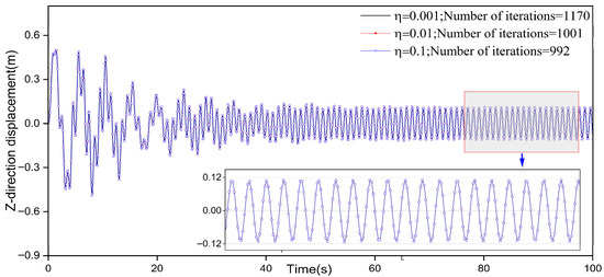
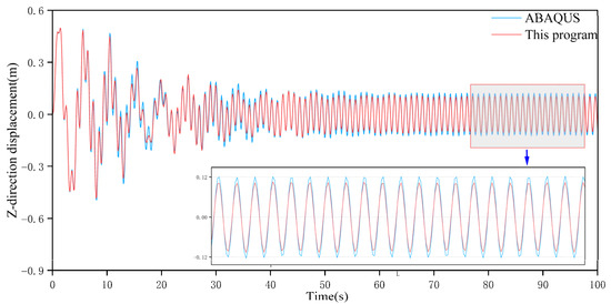
Research on the Influence of Span on Wind Deflection Angle of Insulator Strings in Stochastic Wind Fields
by Guanghui Liu, Zhongbin Lv, Bo Zhang, Chuan Wu, Zhan Huang, Xiaohui Liu and Jinze He
Symmetry 2025, 17(11), 1968; https://doi.org/10.3390/sym17111968 - 14 Nov 2025
Viewed by 386
Abstract
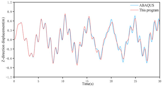
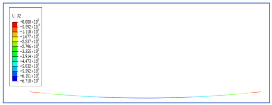
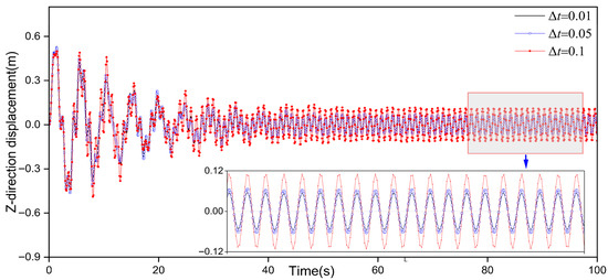
This paper presents an independently developed finite element analysis software built on the QT and VTK platforms. Its core innovation is the integration of the analytical solution from catenary theory with nonlinear finite element methods. The software accurately predicts the initial configuration and [...] Read more.
This paper presents an independently developed finite element analysis software built on the QT and VTK platforms. Its core innovation is the integration of the analytical solution from catenary theory with nonlinear finite element methods. The software accurately predicts the initial configuration and tension distribution of conductors based on catenary theory, utilizing these results as high-precision initial values for static equilibrium iterations. This approach overcomes the convergence difficulties commonly encountered in traditional commercial software when analyzing such flexible cable structures. Using this software, we systematically investigated the nonlinear effects of asymmetric span arrangements on the mean value and standard deviation of wind deflection angles, and subsequently established a practical wind deflection calculation model that accounts for span asymmetry. The study reveals that higher wind speeds lead to larger wind deflection angles, with static wind deflection angles approximating the mean values under pulsating wind conditions. When one span length is fixed, the wind deflection angle first increases and then decreases as the adjacent span length increases. Symmetrical span arrangements were found to amplify the fluctuation range of the wind deflection angles. The research further developed polynomial regression models to systematically analyze the influence of wind speed and span length on dynamic amplification factors and elucidate their interactions and nonlinear relationships. Finally, based on symbolic regression and least squares methods, three expressions for the dynamic amplification factor in terms of span length and wind speed were derived. These formulas all demonstrate certain engineering applicability for predicting the dynamic amplification factor. Full article
(This article belongs to the Section Engineering and Materials)
Show Figures

Figure 1

19 pages, 2960 KB  
Article
An Optimal Capacity Configuration Method for a Renewable Energy Integration-Transmission System Considering Economics and Reliability
by Zhicheng Sha, Canyu Cui, Zhuodi Wang, Fei Yu, Shujian Yin, Zhishuo Yang, Chuanyu Cao, Xiaohan Huang and Zhijie Liu
Symmetry 2025, 17(11), 1880; https://doi.org/10.3390/sym17111880 - 5 Nov 2025
Cited by 1 | Viewed by 534
Abstract
Integrated Energy Transmission Systems (IETSs) are essential to bridge the geographical gap between where energy is produced and where it is needed, transporting power from resource-rich regions to distant load centers. The fundamental challenge is to resolve the inherent asymmetry between an intermittent [...] Read more.
Integrated Energy Transmission Systems (IETSs) are essential to bridge the geographical gap between where energy is produced and where it is needed, transporting power from resource-rich regions to distant load centers. The fundamental challenge is to resolve the inherent asymmetry between an intermittent power supply and distant load demand. Conventional approaches, focusing only on capacity, fail to address this issue while achieving an effective economic and reliable balance. To address the concerns above, a bilevel optimization framework is proposed to optimize the capacity configuration of IETSs, including wind power, photovoltaic (PV), thermal power, and pumped storage. The optimal capacity of wind and PV is determined by the upper-level model to minimize electricity price, whereas the lower-level model optimizes the system’s operational dispatch for given configuration to minimize operational expenses. A detailed IETS model is also developed to accurately capture the operational characteristics of diverse power sources. Furthermore, the proposed model integrates carbon emission costs and High-Voltage Direct Current (HVDC) utilization constraints, thereby allowing for a comprehensive assessment of their economic efficiency and reliability for capacity configuration. Case studies are conducted to verify the proposed method. The results show that the capacities of wind and PV are optimized, and the electricity costs of IETSs are minimized while satisfying reliability constraints. Full article
Show Figures

Figure 1

Back to TopTop