Assessment of 15 CMIP6 Models in Simulating the East Asian Winter Monsoon and Its Relationship with ENSO
Abstract
1. Introduction
2. Data and Method
2.1. Datasets
2.2. Index Definition
2.3. Methods
3. Results
3.1. Fidelity in EAWM Characteristics
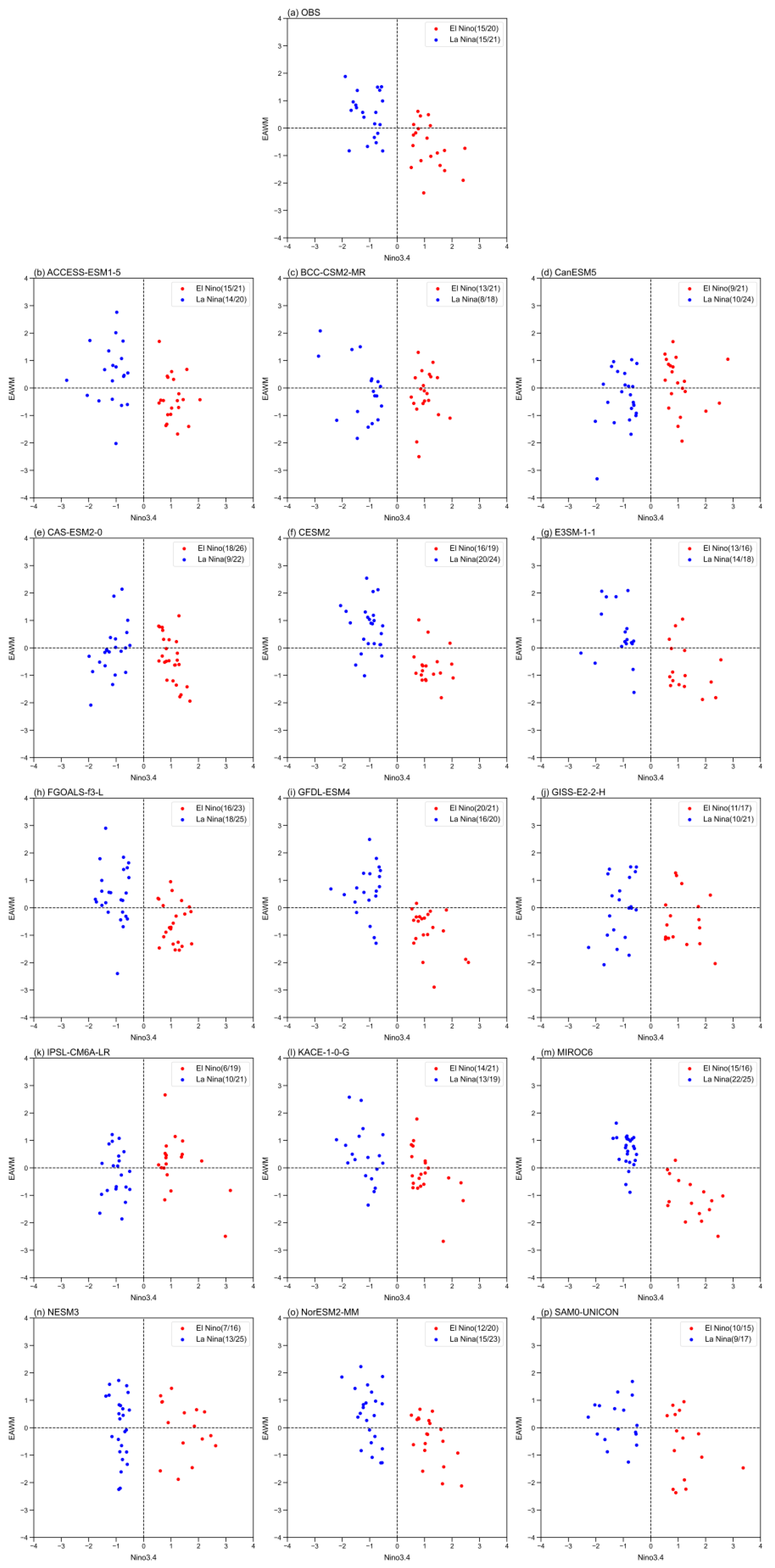
3.2. ENSO–EAWM Relationship
4. Summary and Discussion
Supplementary Materials
Author Contributions
Funding
Institutional Review Board Statement
Informed Consent Statement
Data Availability Statement
Conflicts of Interest
References
- Ding, Y. Monsoon Over China; Kluwer Academic: Norwell, MA, USA, 1994; p. 420. [Google Scholar]
- Chen, W.; Hans-F, G.; Huang, R. The interannual variability of EastEast Asian winter monsoon and its relation to the summer monsoon. Adv. Atmos. Sci. 2000, 17, 48–60. [Google Scholar] [CrossRef]
- Chen, W.; Wang, L.; Feng, J.; Wen, Z.; Ma, T.; Yang, X.; Wang, C. Recent progress in studies of the variabilities and mechanisms of the East asian monsoon in a changing climate. Adv. Atmos. Sci. 2019, 36, 887–901. [Google Scholar] [CrossRef]
- Kang, L.; Chen, W.; Wei, K. The interdecadal variation of winter temperature in China and its relation to the anomalies in atmospheric general circulation. Climatic Environ. Res. 2006, 11, 330–339. (In Chinese) [Google Scholar]
- Zeng, G.; Wang, W.; Sun, Z.; Li, Z. Atmospheric circulation cells associated with anomalous East Asian winter monsoon. Adv. Atmos. Sci. 2011, 28, 913–926. [Google Scholar] [CrossRef]
- Chang, C.; Wang, Z.; Harry, H. The Asian winter monsoon. In The Asia Monsoon; Wang, B., Ed.; Springer: Berlin/Heidelberg, Germany, 2006; pp. 89–127. [Google Scholar]
- Feng, J.; Wang, L.; Chen, W.; Fong, S.; Leong, K. Different impacts of two types of Pacific Ocean warming on Southeast Asian rainfall during boreal winter. J. Geophys. Res. 2010, 115, D24122. [Google Scholar] [CrossRef]
- Wang, Z.; Wu, R.; Gong, H.; Jia, X.; Dai, P. What determine the performance of the ENSO-East Asian winter monsoon relationship in CMIP6 models? J. Geophys. Res. 2022, 127, e2021JD036227. [Google Scholar] [CrossRef]
- Zhou, W.; Wang, X.; Zhou, T.; Li, C.; Chan, J. Interdecadal variability of the relationship between the East Asian winter monsoon and ENSO. Meteor. Atmos. Phys. 2007, 98, 283–293. [Google Scholar] [CrossRef]
- Ding, Y.; Liu, Y.; Liang, S.; Ma, X.; Zhang, Y.; Si, D.; Liang, P.; Song, Y.; Zhang, J. Interdecadal variability of the East Asian winter monsoon and its possible links to global climate change. J. Meteor. Res. 2014, 28, 693–713. [Google Scholar] [CrossRef]
- Wang, X.; Qian, S.; Feng, G. A study of the winter recurrence mechanism of the temperatures in Northern East Asia. J. Trop. Meteor. 2018, 24, 49–59. [Google Scholar] [CrossRef]
- Jhun, J.; Lee, E. A new East Asian winter monsoon index and associated characteristics of the winter monsoon. J. Clim. 2004, 17, 711–726. [Google Scholar] [CrossRef]
- Miao, J.; Wang, T.; Wang, H.; Zhu, Y.; Sun, J. Interdecadal weakening of the east Asian winter monsoon in the mid-1980s: The roles of external forcings. J. Clim. 2018, 31, 8985–9000. [Google Scholar] [CrossRef]
- Chen, D.; Sun, J.; Gao, Y. Effects of AO on the interdecadal oscillating relationship between the ENSO and East Asian winter monsoon. Int. J. Climatol. 2020, 40, 4374–4383. [Google Scholar] [CrossRef]
- Ding, Y.H.; Krishnamurti, T.N. Heat budget of the Siberian high and the winter monsoon. Mon. Weather Rev. 1987, 115, 2428–2449. [Google Scholar] [CrossRef]
- Wu, B.; Li, T.; Zhou, T. Asymmetry of atmospheric circulation anomalies over the western North Pacific between El Niño and La Niña. J. Clim. 2010, 23, 4807–4822. [Google Scholar] [CrossRef]
- Zhang, R.; Min, Q.; Su, J. Impact of El nino on atmospheric circulations over East Asia and rainfall in China: Role of the anomalous Western North Pacific anticyclone. Sci. China-Earth Sci. 2017, 60, 1124–1132. [Google Scholar] [CrossRef]
- Feng, J.; Chen, W.; Li, Y. Asymmetry of the winter extra-tropical teleconnections in the Northern Hemisphere associated with two types of ENSO. Clim. Dyn. 2017, 48, 2135–2151. [Google Scholar] [CrossRef]
- Wei, K.; Xu, T.; Du, Z.; Gong, H.; Xie, B. How well do the current state-of-the-art CMIP5 models characterize the climatology of the East Asian winter monsoon? Clim. Dyn. 2013, 43, 1241–1255. [Google Scholar] [CrossRef]
- Gong, H.; Wang, L.; Chen, W.; Wu, R.; Wei, K.; Cui, X. The climatology and interannual variability of the East Asian winter Monsoon in CMIP5 models. J. Clim. 2014, 27, 1659–1678. [Google Scholar] [CrossRef]
- Jiang, W.; Gong, H.; Huang, P.; Wang, L.; Huang, G.; Hu, L. Biases and improvements of the ENSO-East Asian winter monsoon teleconnection in CMIP5 and CMIP6 models. Clim. Dyn. 2022, 59, 2467–2480. [Google Scholar] [CrossRef]
- Guo, W.; Hao, X.; Zhou, B.; Li, J.; Han, T. Understanding the ENSO–East Asian winter monsoon relationship in CMIP6 models: Performance evaluation and influencing factors. Clim. Dyn. 2024, 62, 7519–7534. [Google Scholar] [CrossRef]
- Hersbach, H.; Bell, B.; Berrisford, P.; Hirahara, S.; Horányi, A.; Sabater, J.M.; Nicolas, J.P.; Peubey, C.; Radu, R.; Schepers, D.; et al. The ERA5 global reanalysis. Quart. J. Roy. Meteor. Soc. 2020, 146, 1999–2049. [Google Scholar] [CrossRef]
- Rayner, N.; Parker, D.; Horton, E.; Folland, C.; Alexander, L.; Rowell, D.; Kent, E.; Kaplan, A. Global analyses of sea surface temperature, sea ice, and night marine air temperature since the late nineteenth century. J. Geophys. Res. 2003, 108, 4407. [Google Scholar] [CrossRef]
- Jones, P.W. First-and second-order conservative remapping schemes for grids in spherical coordinates. Mon. Weather Rev. 1999, 127, 2204–2210. [Google Scholar] [CrossRef]
- Yang, S.; Lau, K.M.; Kim, K.M. Variations of the East Asian jet stream and Asian-Pacific-American winter climate anomalies. J. Clim. 2002, 15, 306–324. [Google Scholar] [CrossRef]
- Wang, L.; Chen, W. How well do existing indices measure the strength of the East Asian winter monsoon? Adv. Atmos. Sci. 2010, 27, 855–870. [Google Scholar] [CrossRef]
- Duchon, C. Lanczos filtering in one and two dimensions. J. Appl. Meteorol. 1979, 18, 1016–1022. [Google Scholar] [CrossRef]
- Bretherton, C.S.; Widmann, M.; Dymnikov, V.P.; Wallace, J.M.; Bladé, I. The Effective Number of Spatial Degrees of Freedom of a Time-Varying Field. J. Clim. 1999, 12, 1990–2009. [Google Scholar] [CrossRef]
- Wang, H.; He, S. Weakening relationship between East Asian winter monsoon and ENSO after mid-1970s. Chin. Sci. Bull. 2012, 57, 3535–3540. [Google Scholar] [CrossRef]
- Sun, J.; Wu, S.; Ao, J. Role of the North Pacific Sea surface temperature in the East Asian winter monsoon decadal variability. Clim. Dyn. 2016, 46, 3793–3805. [Google Scholar] [CrossRef]
- Ma, T.; Chen, W. Climate variability of the East Asian winter monsoon and associated extratropical–tropical interaction: A review. Ann. N. Y. Acad. Sci. 2021, 1504, 44–62. [Google Scholar] [CrossRef]
- Ma, T.; Chen, W. Recent progress in understanding the interaction between ENSO and the East Asian winter monsoon: A review. Front. Earth Sci. 2023, 11, 1098517. [Google Scholar] [CrossRef]
- Zhang, R.; Sumi, A.; Kimoto, M. Impact of El Niño on the East asian monsoon: A diagnostic study of the ’86/87 and ’91/92 events. J. Meteorol. Soc. Jpn. 1996, 74, 49–62. [Google Scholar] [CrossRef]
- Chen, W. Impacts of El Niño and La Niña on the cycle of the East asian winter and summer monsoon. Chin. J. Atmos. Sci. 2002, 26, 595–610. (In Chinese) [Google Scholar] [CrossRef]
- Gao, R.; Zhang, R.; Wen, M.; Li, T. Interdecadal changes in the asymmetric impacts of ENSO on wintertime rainfall over China and atmospheric circulations over Western North Pacific. Clim. Dyn. 2019, 52, 7525–7536. [Google Scholar] [CrossRef]
- Wang, B.; Wu, R.; Fu, X. Pacific-East Asian teleconnection: How does ENSO affect East Asian climate? J. Clim. 2000, 13, 1517–1536. [Google Scholar] [CrossRef]
- Wu, R.; Wang, B. Interannual variability of summer monsoon onset over the Western North Pacific and the underlying processes. J. Clim. 2000, 13, 2483–2501. [Google Scholar] [CrossRef]
- Kwon, Y.O.; Alexander, M.A.; Bond, N.A.; Frankignoul, C.; Nakamura, H.; Qiu, B.; Thompson, L.A. Role of the Gulf Stream and Kuroshio–Oyashio systems in large-scale atmosphere–ocean interaction: A review. J. Clim. 2010, 23, 3249–3281. [Google Scholar] [CrossRef]








| No. | Model | Institute, Country | Atmosphere Resolution (lat lon Grid Points) |
|---|---|---|---|
| 1 | ACCESS-ESM1-5 | CSIRO, Australia | |
| 2 | BCC-CSM2-MR | BCC, China | |
| 3 | CanESM5 | CCCma, Canada | |
| 4 | CAS-ESM2-0 | CAS, China | |
| 5 | CESM2 | NCAR, USA | |
| 6 | E3SM-1-1 | E3SM-Project, USA | |
| 7 | FGOALS-f3-L | CAS, China | |
| 8 | GFDL-ESM4 | NOAA-GFDL, USA | |
| 9 | GISS-E2-2-H | NOAA-GISS, USA | |
| 10 | IPSL-CM6A-LR | IPSL, France | |
| 11 | KACE-1-0-G | NIMS-KMA, Republic of Korea | |
| 12 | MIROC6 | MIROC, Japan | |
| 13 | NESM3 | NUIST, China | |
| 14 | NorESM2-MM | NCC, Norway | |
| 15 | SAM0-UNICON | SNU, Republic of Korea |
Disclaimer/Publisher’s Note: The statements, opinions and data contained in all publications are solely those of the individual author(s) and contributor(s) and not of MDPI and/or the editor(s). MDPI and/or the editor(s) disclaim responsibility for any injury to people or property resulting from any ideas, methods, instructions or products referred to in the content. |
© 2025 by the authors. Licensee MDPI, Basel, Switzerland. This article is an open access article distributed under the terms and conditions of the Creative Commons Attribution (CC BY) license (https://creativecommons.org/licenses/by/4.0/).
Share and Cite
Tang, Y.; Li, M. Assessment of 15 CMIP6 Models in Simulating the East Asian Winter Monsoon and Its Relationship with ENSO. Atmosphere 2025, 16, 1400. https://doi.org/10.3390/atmos16121400
Tang Y, Li M. Assessment of 15 CMIP6 Models in Simulating the East Asian Winter Monsoon and Its Relationship with ENSO. Atmosphere. 2025; 16(12):1400. https://doi.org/10.3390/atmos16121400
Chicago/Turabian StyleTang, Yiqiong, and Mengyu Li. 2025. "Assessment of 15 CMIP6 Models in Simulating the East Asian Winter Monsoon and Its Relationship with ENSO" Atmosphere 16, no. 12: 1400. https://doi.org/10.3390/atmos16121400
APA StyleTang, Y., & Li, M. (2025). Assessment of 15 CMIP6 Models in Simulating the East Asian Winter Monsoon and Its Relationship with ENSO. Atmosphere, 16(12), 1400. https://doi.org/10.3390/atmos16121400
