Sign in to use this feature.

Years

Between: -

Subjects

remove_circle_outline
remove_circle_outline
remove_circle_outline
remove_circle_outline
remove_circle_outline
remove_circle_outline
remove_circle_outline
remove_circle_outline
remove_circle_outline

Journals

remove_circle_outline
remove_circle_outline
remove_circle_outline
remove_circle_outline
remove_circle_outline
remove_circle_outline
remove_circle_outline
remove_circle_outline
remove_circle_outline
remove_circle_outline
remove_circle_outline
remove_circle_outline
remove_circle_outline
remove_circle_outline
remove_circle_outline
remove_circle_outline
remove_circle_outline
remove_circle_outline

Article Types

Countries / Regions

remove_circle_outline
remove_circle_outline
remove_circle_outline
remove_circle_outline
remove_circle_outline
remove_circle_outline

Search Results (3,440)

Search Parameters:
Keywords = water surface ratio

Order results
Result details
Results per page
Select all
Export citation of selected articles as:
30 pages, 7257 KB  
Article
Water Surface Ratio and Inflow Rate of Paddy Polder Under the Stella Nitrogen Cycle Model
by Yushan Jiang, Junyu Hou, Fanyu Zeng, Jilin Cheng and Liang Wang
Sustainability 2026, 18(2), 897; https://doi.org/10.3390/su18020897 - 15 Jan 2026
Abstract
To address the challenge of optimizing hydrological parameters for nitrogen pollution control in paddy polders, this study coupled the Stella eco-dynamics model with an external optimization algorithm and developed a nonlinear programming framework using the water surface ratio and inflow rate as decision [...] Read more.
To address the challenge of optimizing hydrological parameters for nitrogen pollution control in paddy polders, this study coupled the Stella eco-dynamics model with an external optimization algorithm and developed a nonlinear programming framework using the water surface ratio and inflow rate as decision variables and the maximum nitrogen removal rate as the objective function. The simulation and optimization conducted for the Hongze Lake polder area indicated that the model exhibited strong robustness, as verified through Monte Carlo uncertainty analysis, with coefficients of variation (CV) of nitrogen outlet concentrations all below 3%. Under the optimal regulation scheme, the maximum nitrogen removal rates (η1, η2, and η4) during the soaking, tillering, and grain-filling periods reached 98.86%, 98.74%, and 96.26%, respectively. The corresponding optimal inflow rates (Q*) were aligned with the lower threshold limits of each growth period (1.20, 0.80, and 0.50 m3/s). The optimal channel water surface ratios (A1*) were 3.81%, 3.51%, and 3.34%, respectively, while the optimal pond water surface ratios (A2*) were 19.94%, 16.30%, and 17.54%, respectively. Owing to the agronomic conflict between “water retention without drainage” and concentrated fertilization during the heading period, the maximum nitrogen removal rate (η3) during this stage was only 37.34%. The optimal channel water surface ratio (A1*) was 2.37%, the pond water surface ratio (A2*) was 19.04%, and the outlet total nitrogen load increased to 8.39 mg/L. Morphological analysis demonstrated that nitrate nitrogen and organic nitrogen dominated the outlet water body. The “simulation–optimization” coupled framework established in this study can provides quantifiable decision-making tools and methodological support for the precise control and sustainable management of agricultural non-point source pollution in the floodplain area. Full article
28 pages, 2672 KB  
Article
Response Surface Methodology in the Photo-Fenton Process for COD Reduction in an Atrazine/Methomyl Mixture
by Alex Pilco-Nuñez, Cecilia Rios-Varillas de Oscanoa, Cristian Cueva-Soto, Paul Virú-Vásquez, Américo Milla-Figueroa, Jorge Matamoros de la Cruz, Abner Vigo-Roldán, Máximo Baca-Neglia, Luigi Bravo-Toledo, Nestor Cuellar-Condori and Luis Oscanoa-Gamarra
Appl. Sci. 2026, 16(2), 882; https://doi.org/10.3390/app16020882 - 15 Jan 2026
Abstract
This study optimized a homogeneous photo-Fenton process for the simultaneous degradation of the emerging pesticides atrazine and methomyl in water using Response Surface Methodology (RSM). A synthetic agricultural effluent containing 2.0 mg L−1 of each pesticide (COD = 103.2 mg O2 [...] Read more.
This study optimized a homogeneous photo-Fenton process for the simultaneous degradation of the emerging pesticides atrazine and methomyl in water using Response Surface Methodology (RSM). A synthetic agricultural effluent containing 2.0 mg L−1 of each pesticide (COD = 103.2 mg O2 L−1; TOC = 26.1 mg C L−1; BOD5 = 45.8 mg O2 L−1) was treated in a recirculating UV–H2O2/Fe2+ reactor. A 23 factorial design with replication and five central points identified the H2O2/Fe2+ ratio and irradiation time as the main factors controlling mineralization, achieving up to 88.9% COD removal in the best screening run. Steepest-ascent experiments were then performed to approach the region of maximum response, followed by a rotatable Central Composite Design (20 runs). The resulting quadratic model explained 98.14% of the COD variance (R2 = 0.9814; adjusted R2 = 0.9646; predicted R2 = 0.8591; CV = 0.2736%) and predicted a maximum COD removal of 94.5% at a volumetric flow rate of 0.466 L min−1, a Fenton ratio of 12.713 mg mg−1, and a treatment time of 71.0 min. Experimental validation under these optimized conditions yielded highly reproducible removals of 94.2 ± 0.04% COD and 81% TOC, confirming the predictive capability of the RSM model and demonstrating a high degree of organic mineralization. The response surfaces revealed that increasing the Fenton ratio enhances oxidation up to an optimum, beyond which hydroxyl-radical self-scavenging slightly decreases efficiency. Overall, the integration of multivariable experimental design and RSM provided a robust framework to maximize photo-Fenton performance with moderate reagent consumption and operating time, consolidating this process as a viable alternative for the mitigation of pesticide-laden agricultural wastewaters. Full article
Show Figures

Figure 1

24 pages, 4562 KB  
Article
Hydrochemical Appraisal of Groundwater Quality for Managed Aquifer Recharge (MAR) in Southern Punjab, Pakistan
by Ghulam Zakir-Hassan, Lee Baumgartner, Catherine Allan and Jehangir F. Punthakey
Geosciences 2026, 16(1), 43; https://doi.org/10.3390/geosciences16010043 - 14 Jan 2026
Abstract
Water quality assessment is crucial for the sustainable use and management of groundwater resources. This study was carried out in the irrigated plains of Vehari District, Punjab, Pakistan, to evaluate groundwater suitability for a managed aquifer recharge (MAR) project. Twenty groundwater samples were [...] Read more.
Water quality assessment is crucial for the sustainable use and management of groundwater resources. This study was carried out in the irrigated plains of Vehari District, Punjab, Pakistan, to evaluate groundwater suitability for a managed aquifer recharge (MAR) project. Twenty groundwater samples were collected in June 2021 from an area of 1522 km2 and analysed for major physicochemical parameters including electrical conductivity (EC), total dissolved solids (TDS), pH, turbidity, calcium (Ca), magnesium (Mg), chloride (Cl), alkalinity (Alk), bicarbonate (HCO3), hardness, potassium (K), sulphate (SO42−), sodium (Na), and nitrate (NO3). Water quality was assessed using WHO and PID standards, alongside derived hydrochemical indices such as sodium percentage (%Na), Kelly’s ratio (KR), sodium adsorption ratio (SAR), residual sodium carbonate (RSC), and the water quality index (WQI). The dataset was interpreted using geo-statistical, geospatial, multivariate, and correlation analyses. Cations and anion dominance followed the order Na+ > Ca2+ > Mg2+ > K+ and HCO3 > SO42− > Cl > NO3. According to the WQI analysis, 35% of the water samples are classified as “poor,” half (50%) as “very poor,” and the remaining 15% as “unsuitable” for drinking purposes. However, irrigation suitability indices confirmed that groundwater is generally acceptable for agricultural use, though unfit for drinking. The outcomes of this study provide essential insights for groundwater management in the region, where the Punjab Irrigation Department (PID) has initiated a MAR project. Considering that the irrigation sector is the major groundwater consumer in the area, the compatibility of groundwater and surface water quality supports the implementation of MAR to enhance agricultural sustainability. Full article
Show Figures

Figure 1

12 pages, 3112 KB  
Article
CdSe/ZnS QDs and O170 Dye-Decorated Spider Silk for pH Sensing
by Yangjie Tang, Hao Zhang, Ran Xiao, Qixuan Wu, Jie Zhang, Chenchen Liu, Peng Yu, Guowei Yang and Hongxiang Lei
Coatings 2026, 16(1), 110; https://doi.org/10.3390/coatings16010110 - 14 Jan 2026
Abstract
Effective in situ pH sensing holds exciting prospects in environmental and biomedical applications, but still faces a great challenge. Until now, pH sensors with small size, high sensitivity, good stability and repeatability, great biosafety, wide detection range, and flexible structure have rarely been [...] Read more.
Effective in situ pH sensing holds exciting prospects in environmental and biomedical applications, but still faces a great challenge. Until now, pH sensors with small size, high sensitivity, good stability and repeatability, great biosafety, wide detection range, and flexible structure have rarely been reported. Herein, we propose a novel dual-emission ratiometric fluorescent pH sensor by decorating ethyl cellulose (EC)-encapsulated CdSe/ZnS quantum dots (QDs) and oxazine 170 perchlorate (O170 dye) on the surface of the spider silk. When a 473 nm excitation light is coupled into the pH sensor, the evanescent wave transmitting along the surface of the spider silk will excite the CdSe/ZnS QDs and then the O170 dye based on the fluorescence resonance energy transfer (FRET) effect from the QDs; thus, the pH sensing of the surrounding liquid environment can be achieved in real time by collecting the photoluminescence (PL) spectra of the pH sensor and measuring the emission intensity ratio of the two fluorescent materials. The sensor has also demonstrated a high sensing sensitivity (0.775/pH unit) within a wide pH range of 1.92–12.11, as well as excellent reusability and reversibility, structure and time stability, biocompatibility, and biosafety. The proposed pH sensor has a potential application in an in situ monitor of water microenvironments, cellular metabolism, tumor microenvironments, etc. Full article
(This article belongs to the Special Issue Advances in Nanostructured Thin Films and Coatings, 3rd Edition)
Show Figures

Figure 1

12 pages, 7850 KB  
Article
Comparative Analysis of Annealing–Dissolution Techniques for Hollow Submicron Metal Oxide Fiber Synthesis
by Borislava Georgieva, Blagoy Spasov Blagoev, Albena Paskaleva, Kirilka Starbova, Nikolay Starbov, Ivalina Avramova, Peter Tzvetkov, Krastyo Buchkov and Vladimir Mehandzhiev
Materials 2026, 19(2), 327; https://doi.org/10.3390/ma19020327 - 14 Jan 2026
Abstract
Double-shell ZnO/Al2O3 submicron hollow fibers were successfully fabricated through a combined electrospinning and atomic layer deposition (ALD) approach. Polyvinyl alcohol (PVA) fibers were first produced by electrospinning and subsequently coated with a conformal Al2O3 barrier layer via [...] Read more.
Double-shell ZnO/Al2O3 submicron hollow fibers were successfully fabricated through a combined electrospinning and atomic layer deposition (ALD) approach. Polyvinyl alcohol (PVA) fibers were first produced by electrospinning and subsequently coated with a conformal Al2O3 barrier layer via low-temperature ALD employing trimethylaluminum (TMA) and deionized (DI) H2O to preserve the integrity of the temperature-sensitive polymer core. The inner polymer was then removed using two different techniques—thermal annealing and water dissolution—to compare their effects on the fiber morphology. Finally, a functional ZnO layer was deposited by thermal ALD with diethylzinc (DEZ) and DI H2O. It was found that the polymer removal method critically determined the final structural and morphological characteristics of the fibers. Thermal annealing resulted in smooth, shrunken fibers, while water dissolution led to diameter expansion and the formation of a highly rough, bubble-like surface structure due to swelling-induced micro-cracking. The selection of the polymer removal method offers a precise and controllable route for tailoring the fiber morphology. The resulting high-aspect-ratio (HAR) structures, particularly the rough and expanded fibers, exhibit enhanced specific surface area, making them highly promising for applications in sensing, catalysis, and filtration. Full article
(This article belongs to the Section Advanced Nanomaterials and Nanotechnology)
Show Figures

Graphical abstract

17 pages, 3706 KB  
Article
Carbonation of Calcined Clay Dolomite for the Removal of Co(II): Performance and Mechanism
by Can Wang, Jingxian Xu, Tingting Gao, Xiaomei Hong, Fakang Pan, Fuwei Sun, Kai Huang, Dejian Wang, Tianhu Chen and Ping Zhang
J. Xenobiot. 2026, 16(1), 13; https://doi.org/10.3390/jox16010013 - 13 Jan 2026
Abstract
The rising levels of Co(II) in aquatic environments present considerable risks, thereby necessitating the development of effective remediation strategies. This study introduces an innovative pre-hydration method for synthesizing carbonated calcined clay dolomite (CCCD) to efficiently remove Co(II) from contaminated water. This pre-hydration treatment [...] Read more.
The rising levels of Co(II) in aquatic environments present considerable risks, thereby necessitating the development of effective remediation strategies. This study introduces an innovative pre-hydration method for synthesizing carbonated calcined clay dolomite (CCCD) to efficiently remove Co(II) from contaminated water. This pre-hydration treatment successfully reduced the complete carbonation temperature of the material from 500 °C to 400 °C, significantly enhancing energy efficiency. The Co(II) removal performance was systematically investigated by varying key parameters such as contact time, initial Co(II) concentration, pH, and solid/liquid ratio. Optimal removal was achieved at 318 K with pH of 4 and a solid/liquid ratio of 0.5 g·L−1. Continuous flow column experiments confirmed the excellent long-term stability of CCCD, maintaining a consistent Co(II) removal efficiency of 99.0% and a stable effluent pH of 8.5 over one month. Isotherm and kinetic models were used to empirically describe concentration-dependent and time-dependent uptake behavior. The equilibrium data were best described by the Langmuir model, while kinetics followed a pseudo-second-order model. An apparent maximum removal capacity of 621.1 mg g−1 was obtained from Langmuir fitting of equilibrium uptake data. Mechanistic insights from Visual MINTEQ calculations and solid phase characterizations (XRD, XPS, and TEM) indicate that Co(II) removal is dominated by mineral water interface precipitation. The gradual hydration of periclase (MgO) forms Mg(OH)2, which creates localized alkaline microenvironments at particle surfaces and drives Co(OH)2 formation. Carbonate availability further favors CoCO3 formation and retention on CCCD. Importantly, this localized precipitation pathway maintains a stable, mildly alkaline effluent pH (around 8.5), reducing downstream pH adjustment demand and improving operational compatibility. Overall, CCCD combines high Co(II) immobilization efficiency, strong long-term stability, and an energy-efficient preparation route, supporting its potential for scalable remediation of Co(II) contaminated water. Full article
Show Figures

Graphical abstract

22 pages, 1961 KB  
Article
Efficiency of Advanced Oxidation Processes for Treating Wastewater from Lithium-Ion Battery Recycling
by Ronja Wagner-Wenz, Frederik Funk, Regine Peter, Tobias Necke, Fabian Brückner, Maximilian Philipp, Markus Engelhart, Anke Weidenkaff and Emanuel Ionescu
Clean Technol. 2026, 8(1), 13; https://doi.org/10.3390/cleantechnol8010013 - 13 Jan 2026
Viewed by 45
Abstract
A treatment process was developed for effluents from direct physical lithium-ion battery (LIB) recycling with a focus on the removal of organic contaminants. The high chemical oxygen demand to biological oxygen demand ratio (COD/BOD5) of 3.9–4.6 indicates that biological treatment is [...] Read more.
A treatment process was developed for effluents from direct physical lithium-ion battery (LIB) recycling with a focus on the removal of organic contaminants. The high chemical oxygen demand to biological oxygen demand ratio (COD/BOD5) of 3.9–4.6 indicates that biological treatment is not feasible. Therefore, three advanced oxidation processes were evaluated: UV/H2O2 oxidation, the Fenton process and electrochemical oxidation. Two target scenarios were considered, namely compliance with the limit for discharge into the sewer system (COD = 800 mg/L) and compliance with the stricter limit for direct discharge into surface waters (COD = 200 mg/L). Under the investigated conditions, UV/H2O2 oxidation and the Fenton process did not meet the required discharge limits and exhibited high chemical consumption. In contrast, electrochemical oxidation achieved both discharge criteria with a lower energy demand, requiring 32.8 kWh/kgCODremoved for sewer discharge and 95.3 kWh/kgCODremoved for direct discharge. An economic assessment further identified electrochemical oxidation as the most cost-effective option, with treatment costs of EUR 6.63/m3, compared to EUR 17.31/m3 for UV/H2O2 oxidation and EUR 28.66/m3 for the Fenton process. Overall, electrochemical oxidation proved to be the most efficient and environmentally favorable technology for treating wastewater from LIB recycling, enabling compliance with strict discharge regulations while minimizing the chemical and energy demand. Full article
(This article belongs to the Topic Wastewater Treatment Based on AOPs, ARPs, and AORPs)
Show Figures

Graphical abstract

13 pages, 1127 KB  
Article
Priority PAHs in a Freshwater Port Along the Middle and Lower Reaches of the Yangtze River, China: Seasonal Dynamics, Sources, Ecological Risks, and Control Strategies
by Zhifeng Huang, Weiwen Liu, Zhenying Li, Xiaohui Cao, Muhammad Anis, Gulizaer Kuerban and Abdul Qadeer
Water 2026, 18(2), 205; https://doi.org/10.3390/w18020205 - 13 Jan 2026
Viewed by 60
Abstract
The seasonal dynamics, sources, and ecological risks of polycyclic aromatic hydrocarbons (PAHs) in inland freshwater ports remain largely limited, despite extensive research on coastal port PAH pollution. Here, we investigated sixteen U.S. EPA priority PAHs in surface waters of Jiujiang Port, a major [...] Read more.
The seasonal dynamics, sources, and ecological risks of polycyclic aromatic hydrocarbons (PAHs) in inland freshwater ports remain largely limited, despite extensive research on coastal port PAH pollution. Here, we investigated sixteen U.S. EPA priority PAHs in surface waters of Jiujiang Port, a major inland hub along the Yangtze River, China. Total PAH concentrations ranged from 21.8 to 121.0 ng·L−1 (mean: 65.0 ng L−1), which represents relatively low levels compared with coastal ports worldwide. In this study, significant seasonal variations were also observed, with higher concentrations during the dry season than the wet season. Diagnostic ratios and multivariate analyses indicated petroleum combustion as the dominant source, while PAH levels showed positive correlations with turbidity and CODMn, underscoring the role of suspended particulates and organic load. Ecological risk assessment revealed low to moderate risks, with elevated risks in the dry season. These findings provide novel insights into PAH pollution in inland port systems and offer a scientific basis for pollution control and ecological management under the Yangtze River Protection framework. Full article
Show Figures

Figure 1

20 pages, 6937 KB  
Article
The Regulating Effects of Ice-Templated Directional Microchannels on Surface Micro-Ceramicization Strengthening of Cement Paste Containing TiB2
by Zixiao Wang, Wenqing Shen, Zhen Zhang, Weizheng Shi, Tao Sun, Wenyu Li and Aming Xie
Buildings 2026, 16(2), 303; https://doi.org/10.3390/buildings16020303 - 11 Jan 2026
Viewed by 72
Abstract
Cementitious materials prepared by the ice-templating method appear to have difficulty simultaneously possessing good mechanical properties and an oriented microstructure with microchannels. Surface micro-ceramicization of TiB2 and the decomposed products of cement hydrates at high temperatures can be regarded as in situ [...] Read more.
Cementitious materials prepared by the ice-templating method appear to have difficulty simultaneously possessing good mechanical properties and an oriented microstructure with microchannels. Surface micro-ceramicization of TiB2 and the decomposed products of cement hydrates at high temperatures can be regarded as in situ solid–solid reactions involving oxygen, thereby enhancing mechanical properties. This study investigates the mechanical property changes in cement paste with different water-to-cement ratios containing 25% TiB2 micron powder before and after high-temperature treatment. Cementitious samples are prepared using both freeze-casting (F-CAST) and regular casting (R-CAST) methods with and without the heating post-treatment. The average compressive strength of samples with a W/C of 0.65 prepared by the freeze-casting method at −60 °C with a heating post-treatment is much larger than that of samples prepared by the regular casting method with and without the same heating process. The freeze-casting process for preparing cementitious composites with TiB2 not only reorders the distribution of water molecules but also redistributes the concentrations of the TiB2 particles and the main hydrates in the frozen samples. Due to the concentration increase near ice crystal channels within the samples, led by the freeze concentration effect, the new products are formed and cover the channel surfaces after high-temperature treatment. This enhances both the overall and internal properties of the cement-based TiB2 composite material. The variation in TiB2 content within the specimens is of paramount importance. Full article
(This article belongs to the Section Building Materials, and Repair & Renovation)
Show Figures

Figure 1

24 pages, 3803 KB  
Article
Surface Runoff Responses to Forest Thinning in Semi-Arid Oak–Pine Micro-Catchments of Northern Mexico
by Gabriel Sosa-Pérez, Argelia E. Rascón-Ramos, David E. Hermosillo-Rojas, Alfredo Pinedo Alvarez, Eduardo Santellano-Estrada, Raúl Corrales-Lerma, Sandra Rodríguez-Piñeros and Martín Martínez-Salvador
Hydrology 2026, 13(1), 27; https://doi.org/10.3390/hydrology13010027 - 9 Jan 2026
Viewed by 164
Abstract
Hydrological behavior plays a critical role in seasonally dry forest ecosystems, as it underpins water availability for multiple productive activities, including forestry, agriculture, grazing, and urban supply. This study evaluated the hydrological effects of thinning treatments in a semi-arid oak–pine forest of Chihuahua, [...] Read more.
Hydrological behavior plays a critical role in seasonally dry forest ecosystems, as it underpins water availability for multiple productive activities, including forestry, agriculture, grazing, and urban supply. This study evaluated the hydrological effects of thinning treatments in a semi-arid oak–pine forest of Chihuahua, Mexico, using a Before–After–Control–Impact (BACI) design. Three Micro-catchments (MC) with initially comparable tree density and canopy cover were monitored during the rainy seasons of 2018 (pre-thinning) and 2019 (post-thinning). Thinning treatments were applied at 20% and 60% canopy cover in two MC, while a third remained unthinned as a 100% control. Precipitation and surface runoff were recorded at the event scale, and data were analyzed using Weibull probability models with a log link to capture the frequency and magnitude of runoff events. Precipitation patterns were broadly comparable across years, although 2018 included an extreme storm event (59 mm). In contrast, runoff volumes in 2019 were lower despite marginally higher seasonal rainfall, reflecting the absence of large storms. Statistical modeling indicated that for each additional millimeter of precipitation, mean runoff increased by approximately 12%, although thinning significantly altered baseline conditions. Relative to 2018, mean runoff ratios were 0.087 in the 100% canopy catchment, 0.296 in the 60% treatment, and 0.348 in the 20% treatment, suggesting that reduced canopy cover retained proportionally more runoff than the control. BACI contrasts confirmed that thinned catchments maintained higher proportions of runoff than the unthinned control, although statistical significance was marginal for the 20% canopy treatment. Overall, the study provides ecohydrological insights relevant to the management of semi-arid forest ecosystems. Full article
Show Figures

Figure 1

17 pages, 913 KB  
Article
Soil Fertility Status and Its Implications for Sustainable Cocoa Cultivation in Ghana and Togo
by Afi Amen Christèle Attiogbé, Udo Nehren, Sampson K. Agodzo, Emmanuel Quansah, Enoch Bessah, Seyni Salack, Essi Nadège Parkoo and Jean Mianikpo Sogbedji
Land 2026, 15(1), 127; https://doi.org/10.3390/land15010127 - 9 Jan 2026
Viewed by 264
Abstract
Soil fertility plays a crucial role in crop productivity, particularly in cocoa cultivation, which is highly dependent on soil quality that directly influences both productivity and sustainability. Understanding how to achieve and maintain soil fertility on cocoa farms is fundamental to sustaining higher [...] Read more.
Soil fertility plays a crucial role in crop productivity, particularly in cocoa cultivation, which is highly dependent on soil quality that directly influences both productivity and sustainability. Understanding how to achieve and maintain soil fertility on cocoa farms is fundamental to sustaining higher yields. Cocoa production in Ghana and Togo remains low, at 350–600 kg/ha, compared to the potential yield of over 1–3 tons per hectare. Given the growing demand for cocoa and limited arable land, adequate soil nutrients are essential to optimise productivity. Soil fertility indices (SFIs) have been widely used as soil metrics by integrating multiple physical, chemical, and biological soil properties. In this study, standard analytical methods were employed to evaluate the SFI through laboratory analyses of 49 surface soil samples collected at a depth of 0–30 cm with an auger. Eleven soil chemical indicators were analysed: pH (water), organic matter (OM), potassium (K), calcium (Ca), magnesium (Mg), available phosphorus (P), total nitrogen (N), cation exchange capacity (CEC), electrical conductivity (EC), and carbon-to-nitrogen ratio (C/N). Principal component analysis, followed by normalisation, was used to select a minimum dataset, which was then integrated into an additive SFI. Results indicated that N, Ca, Mg, CEC, and pH were within the optimal range for most surveyed locations (96%, 94%, 92%, 73%, and 63%, respectively), while OM and C/N were within the optimal range in approximately half of the study area. Available P, K, and C/N were highly deficient in 100%, 67%, and 96% of surveyed locations, respectively. Soil fertility varied significantly among locations (p = 0.007) and was generally low, ranging from 0.15 to 0.66. Only 20% of the soils in the study area were classified as adequately fertile for cocoa cultivation. Therefore, it is necessary to restore soil nutrient balance, especially the critically low levels of K and P, through appropriate management practices that improve fertility over time and help close the yield gap. Full article
(This article belongs to the Special Issue Feature Papers for "Land, Soil and Water" Section)
Show Figures

Figure 1

17 pages, 1465 KB  
Article
High-Solids Processing of Palmaria palmata for Feed Applications: Effects of Alkaline Autoclaving and Sequential Enzymatic Treatment
by Catarina Ramos-Oliveira, Marta Ferreira, Isabel Belo, Aires Oliva-Teles and Helena Peres
Phycology 2026, 6(1), 12; https://doi.org/10.3390/phycology6010012 - 8 Jan 2026
Viewed by 228
Abstract
Macroalgae are increasingly recognized as a valuable source of nutrients and bioactive compounds for animal nutrition, including for aquatic species. However, the complex structure of the macroalgal cell wall limits the accessibility of intracellular components, restricting their use in feeds. To overcome this [...] Read more.
Macroalgae are increasingly recognized as a valuable source of nutrients and bioactive compounds for animal nutrition, including for aquatic species. However, the complex structure of the macroalgal cell wall limits the accessibility of intracellular components, restricting their use in feeds. To overcome this limitation, macroalgal hydrolysis using various technological treatments has been tested, often employing a low solid-to-water ratio, which complicates downstream processing due to phase separation. In contrast, high-solids loading hydrolysis has the advantage of producing a single and consolidated fraction, simplifying subsequent processing and application. The present study assessed the effectiveness of high-solids loading water or alkaline (0.5 and 1N NaOH) autoclaving for 30 or 60 min, applied alone or followed by sequential enzymatic hydrolysis, using a xylanase-rich enzymatic complex aimed at promoting cell wall disruption and increasing the extractability of intracellular components in the red macroalga Palmaria palmata with minimal free water. The 1N NaOH treatment for 30 min decreased neutral and acid detergent fiber while increasing Folin–Ciocalteu total phenolic content (GAE) (expressed as gallic acid equivalent) and the water-soluble protein fraction and decreased crude protein, indicating enhanced extractability of these components. Microscopic examination showed relatively mild structural changes on the surface of P. palmata after high-solids loading alkaline (1N NaOH) autoclaving for 30 min. Following alkaline or water treatment, the enzymatic complex hydrolysis further increased the Folin–Ciocalteu total phenolic content (GAE), with minimal effects on NDF, ADF, or crude protein. Overall, these results showed that high-solids loading alkaline autoclaving, with or without subsequent enzymatic hydrolysis, effectively disrupts P. palmata cell walls and induces substantial modifications while simplifying processing by avoiding phase separation. Full article
(This article belongs to the Special Issue Development of Algal Biotechnology)
Show Figures

Figure 1

29 pages, 5747 KB  
Article
Geometric Optimization of Corrugated Channels for Heat Transfer Enhancement Using Field Synergy and Response Surface Methodology
by Nehir Tokgoz
Appl. Sci. 2026, 16(2), 660; https://doi.org/10.3390/app16020660 - 8 Jan 2026
Viewed by 99
Abstract
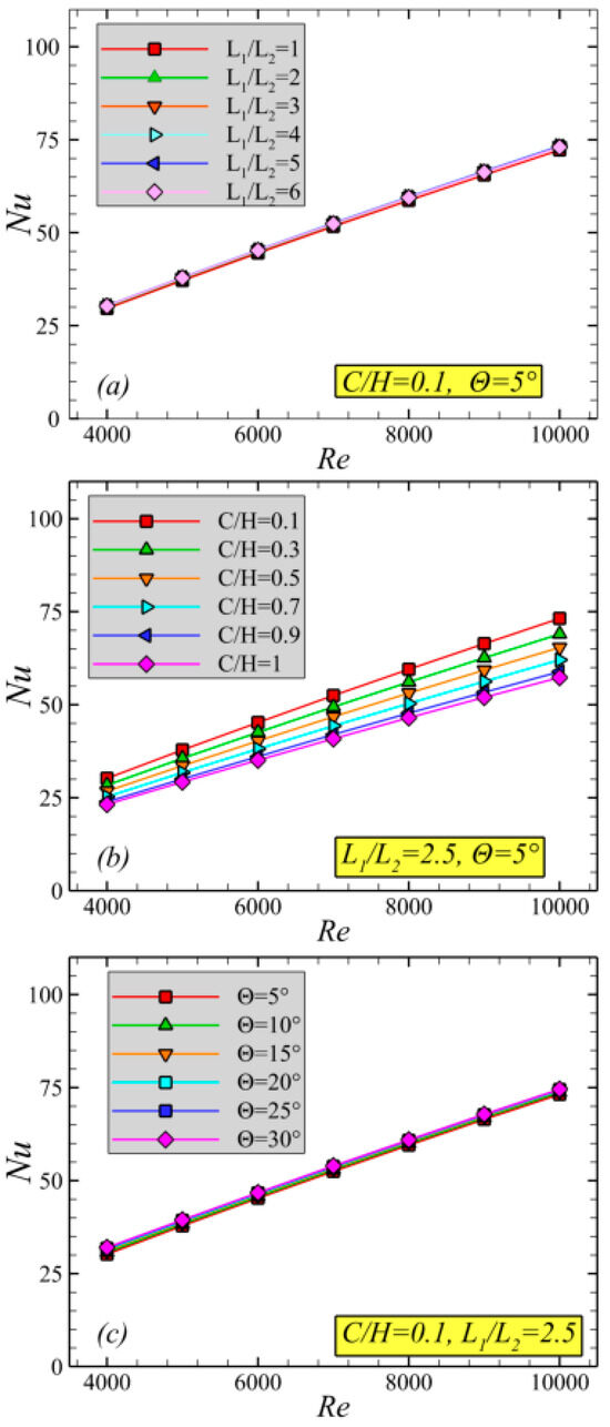
This study presents a numerical investigation of turbulent flow and heat transfer in corrugated channels, focusing on the effects of key geometric parameters on thermal–hydraulic performance. The corrugation height-to-channel height ratio (C/H), the length ratio (L1/L2), and the expansion [...] Read more.
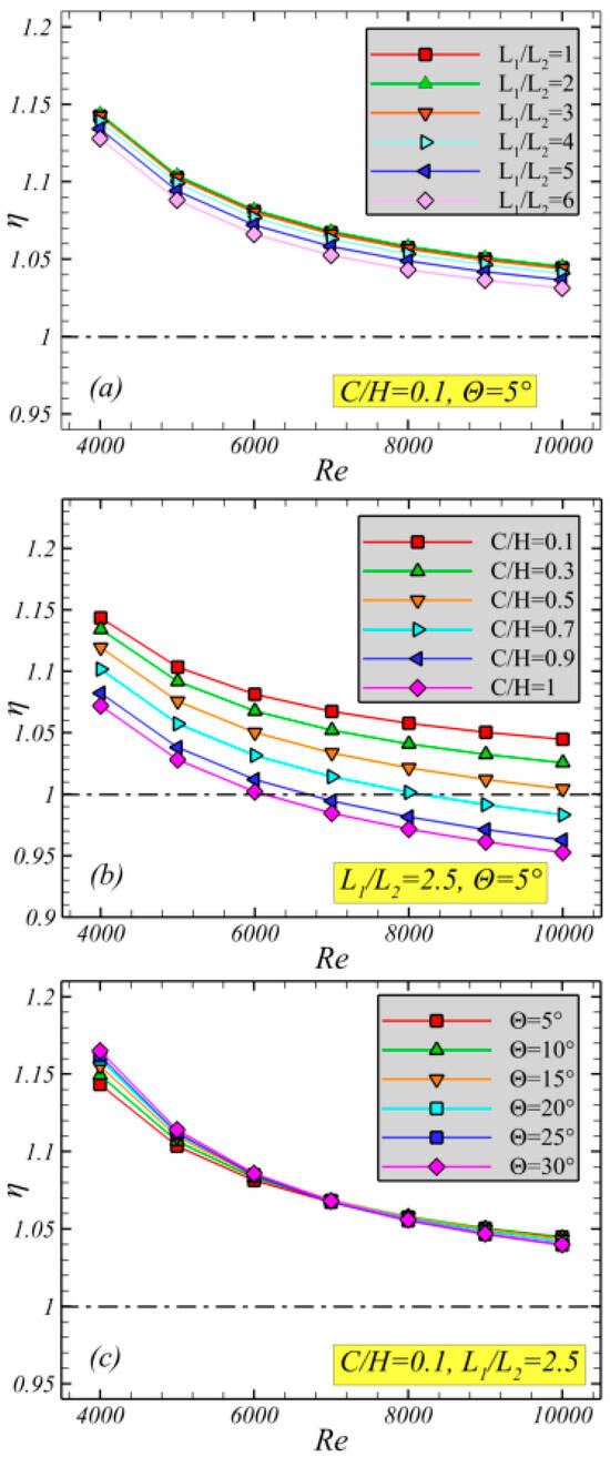
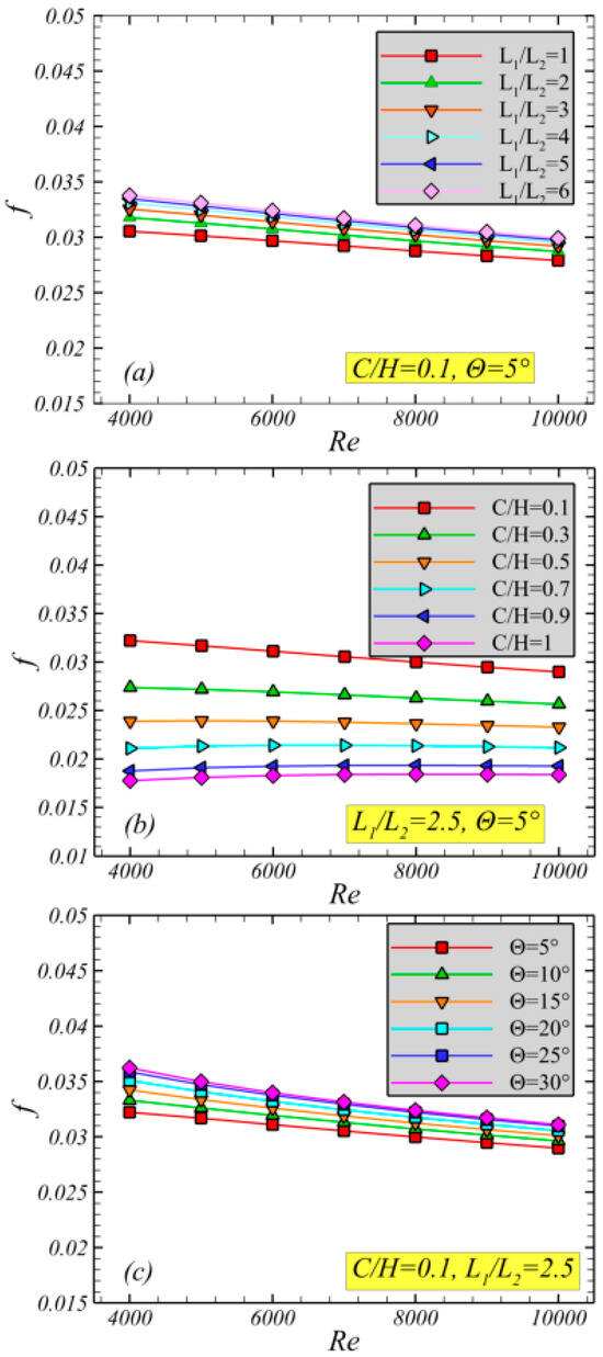
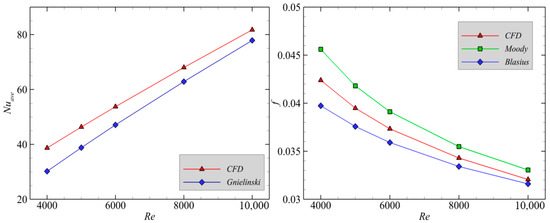
This study presents a numerical investigation of turbulent flow and heat transfer in corrugated channels, focusing on the effects of key geometric parameters on thermal–hydraulic performance. The corrugation height-to-channel height ratio (C/H), the length ratio (L1/L2), and the expansion angle (θ) were systematically varied, and simulations were performed for Reynolds numbers between 4 × 103 and 1 × 104 using water as the working fluid and SST k–ω turbulence model. Response Surface Methodology (RSM) was applied to develop predictive models for the Nusselt number (Nu), friction factor (f), and thermal performance index (η). The results indicate that C/H is the dominant geometric parameter controlling both heat transfer and flow resistance. Increasing C/H from 0.10 to 1.00 results in a reduction in Nu of approximately 20–22%, while the friction factor decreases by about 40–45% over the investigated Reynolds number range, revealing a clear thermal–hydraulic trade-off. In contrast, variations in L1/L2 (0.5–6.0) and θ (5–30°) have a relatively weak influence, typically causing changes in Nu and f below 5–7%. The thermal performance index remains consistently above unity for all configurations and varies within a narrow range (η ≈ 1.00–1.16). The maximum thermal enhancement of approximately 10–15% is achieved at lower C/H values, particularly at low Reynolds numbers, whereas higher C/H values favor reduced pressure losses. Overall, the findings quantitatively demonstrate that corrugation height governs the thermal–hydraulic behavior of corrugated channels, while L1/L2 and θ provide design flexibility with minimal performance penalty. Full article
Show Figures

Figure 1

18 pages, 3957 KB  
Article
Real-Time Acoustic Telemetry Buoys as Tools for Nearshore Monitoring and Management
by James M. Anderson, Brian S. Stirling, Patrick T. Rex, Emily A. Spurgeon, Anthony McGinnis, Zachariah S. Merson, Darnell Gadberry and Christopher G. Lowe
J. Mar. Sci. Eng. 2026, 14(2), 128; https://doi.org/10.3390/jmse14020128 - 8 Jan 2026
Viewed by 241
Abstract
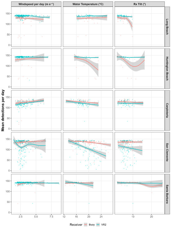
Acoustic telemetry monitoring for tagged sharks in nearshore waters has become an important tool for beach safety management; however, detection performance can vary widely in shallow, high-energy nearshore environments where management decisions are often most time-sensitive. Real-time acoustic telemetry buoys offer the potential [...] Read more.
Acoustic telemetry monitoring for tagged sharks in nearshore waters has become an important tool for beach safety management; however, detection performance can vary widely in shallow, high-energy nearshore environments where management decisions are often most time-sensitive. Real-time acoustic telemetry buoys offer the potential to deliver live detections and system diagnostics, but their performance relative to autonomous bottom-mounted receivers remains poorly evaluated under realistic coastal conditions. We compared the detection efficiency of real-time buoy-mounted acoustic receivers and autonomous bottom-mounted receivers across five nearshore sites in southern California. Using paired long-term reference tag deployments and short-term range tests, we quantified detection probability, effective detection range, and the influence of environmental conditions and receiver placement. Detection performance was evaluated in relation to wind speed, water temperature, receiver tilt, and signal-to-noise ratio. Both buoy-mounted and bottom-mounted receivers maintained high long-term detection efficiency, recovering 77–99% of expected transmissions at 82–250 m. Range tests indicated greater effective detection distances for buoy-mounted receivers, with 50% detection probabilities occurring at approximately 471 m compared to 282 m for bottom-mounted receivers. Receiver placement strongly influenced performance, with surface-mounted receivers outperforming bottom-mounted units regardless of receiver model. Environmental effects on detections were site-specific and variable. Detection probability varied predictably with environmental conditions. Higher SNR increased detection success, particularly for bottom/substrate mounted receivers, while warm water significantly reduced detection probability across placement configuration. These results demonstrate that real-time acoustic telemetry buoys provide reliable detection performance in dynamic nearshore environments while offering key operational advantages, including immediate data access and system diagnostics. The observed relationships demonstrate that receiver performance is dynamic rather than fixed, and that real-time buoy systems therefore represent a practical tool for coastal monitoring programs that require timely information to support adaptive management, public safety, and conservation decision making. Full article
(This article belongs to the Section Physical Oceanography)
Show Figures

Figure 1

20 pages, 8678 KB  
Article
Effect of Structural and Wettability Differences Between Low-Rank Vitrain and Durain on Methane Adsorption and Desorption
by Jinbo Shi, Dongmin Ma, Yue Chen, Huaichang Wang, Changjiang Ji, Chao Zheng, Pengpeng Guan, Yuan Cao and Yaqi Ji
Processes 2026, 14(2), 207; https://doi.org/10.3390/pr14020207 - 7 Jan 2026
Viewed by 122
Abstract
The wettability differences among macroscopic coal lithotypes constitute a critical issue requiring in-depth investigation in the development of low-rank coalbed methane. To elucidate the impact of wettability variation on methane adsorption/desorption, this study employed vitrain and durain samples from Jurassic low-rank coals in [...] Read more.
The wettability differences among macroscopic coal lithotypes constitute a critical issue requiring in-depth investigation in the development of low-rank coalbed methane. To elucidate the impact of wettability variation on methane adsorption/desorption, this study employed vitrain and durain samples from Jurassic low-rank coals in the Huanglong Coalfield. We analyzed changes in adsorption/desorption characteristics before and after wettability modification and conducted coal seam desorption experiments under simulated extraction conditions to explore the influence of wettability on methane adsorption/desorption behavior. The results indicate that vitrain exhibits greater full-scale pore volume (0.04073–0.07975 cm3/g) and specific surface area (132.302–170.919 m2/g) compared to durain (0.03646–0.05187 cm3/g and 114.572–122.827 m2/g, respectively). The coal–water interface contact angles of the low-rank coals are below 90°, indicating a weakly hydrophilic nature. Both cationic (CTAC) and zwitterionic (BS-12) surfactants effectively improved coal wettability. Following wettability modification, the maximum reduction in saturated adsorption capacity reached 48.24%, while the maximum increases in desorption ratio and recovery efficiency were 35.56% and 24.39%, respectively. Durain, due to its stronger inherent hydrophilicity, exhibited greater changes than vitrain. Under simulated extraction conditions, the combined effects of pore structure and wettability differences between the lithotypes led to preferential methane production along the vitrain–durain interfaces. Full article
Show Figures

Figure 1

Back to TopTop