Next Article in Journal
The Floodport App for Interactive Coastal Flood Risk Training
Previous Article in Journal
Evaluation of a Computational Simulation Approach Combining GIS, 2D Hydraulic Software, and Deep Learning Technique for River Flood Extent Mapping
Previous Article in Special Issue
Hydrodynamic-Ecological Synergistic Effects of Interleaved Jetties: A CFD Study Based on a 180° Bend
 
 
Font Type:
Arial Georgia Verdana
Font Size:
Aa Aa Aa
Line Spacing:
Column Width:
Background:
Article

Surface Runoff Responses to Forest Thinning in Semi-Arid Oak–Pine Micro-Catchments of Northern Mexico

by
Gabriel Sosa-Pérez
1,
Argelia E. Rascón-Ramos
2,
David E. Hermosillo-Rojas
1,2,
Alfredo Pinedo Alvarez
2,
Eduardo Santellano-Estrada
2,
Raúl Corrales-Lerma
2,
Sandra Rodríguez-Piñeros
2 and
Martín Martínez-Salvador
2,*
1
La Campana Experimental Station, National Institute of Forestry, Agriculture and Livestock Research (INIFAP), Carretera Chihuahua—Ojinaga, Km 33.3, Juan Aldama 32910, Chihuahua, Mexico
2
Faculty of Animal Science and Ecology, Autonomous University of Chihuahua, Periférico Francisco R. Almada Km1, Chihuahua 31453, Chihuahua, Mexico
*
Author to whom correspondence should be addressed.
Hydrology 2026, 13(1), 27; https://doi.org/10.3390/hydrology13010027
Submission received: 11 November 2025 / Revised: 30 December 2025 / Accepted: 6 January 2026 / Published: 9 January 2026

Abstract

Hydrological behavior plays a critical role in seasonally dry forest ecosystems, as it underpins water availability for multiple productive activities, including forestry, agriculture, grazing, and urban supply. This study evaluated the hydrological effects of thinning treatments in a semi-arid oak–pine forest of Chihuahua, Mexico, using a Before–After–Control–Impact (BACI) design. Three Micro-catchments (MC) with initially comparable tree density and canopy cover were monitored during the rainy seasons of 2018 (pre-thinning) and 2019 (post-thinning). Thinning treatments were applied at 20% and 60% canopy cover in two MC, while a third remained unthinned as a 100% control. Precipitation and surface runoff were recorded at the event scale, and data were analyzed using Weibull probability models with a log link to capture the frequency and magnitude of runoff events. Precipitation patterns were broadly comparable across years, although 2018 included an extreme storm event (59 mm). In contrast, runoff volumes in 2019 were lower despite marginally higher seasonal rainfall, reflecting the absence of large storms. Statistical modeling indicated that for each additional millimeter of precipitation, mean runoff increased by approximately 12%, although thinning significantly altered baseline conditions. Relative to 2018, mean runoff ratios were 0.087 in the 100% canopy catchment, 0.296 in the 60% treatment, and 0.348 in the 20% treatment, suggesting that reduced canopy cover retained proportionally more runoff than the control. BACI contrasts confirmed that thinned catchments maintained higher proportions of runoff than the unthinned control, although statistical significance was marginal for the 20% canopy treatment. Overall, the study provides ecohydrological insights relevant to the management of semi-arid forest ecosystems.

1. Introduction

Forest canopy structure strongly regulates rainfall partitioning and influences infiltration, evapotranspiration, and surface runoff. Understanding these processes is essential for managing water resources and ecosystem resilience in semi-dry forests [1,2]. Silvicultural practices, particularly selective thinning, have long been implemented to improve soil water availability in semi-arid forest ecosystems [3,4,5]. However, the intensity of vegetation removal strongly influences hydrological responses. Higher thinning intensities tend to reduce canopy interception [6,7,8], lower evapotranspiration rates [9,10], and ultimately increase the amount of water reaching the soil surface [11].
The impacts of thinning on runoff dynamics encompassing spatial and temporal variability across multiple scales and the factors driving these patterns, have been extensively investigated [3,5,11]. Harvest intensity and catchment size have consistently been identified as key determinants of hydrological responses [12,13,14]. For instance, several studies have reported greater runoff and water yield in ponderosa pine stands subjected to high-intensity thinning compared with denser stands [3,15,16]. Nevertheless, hydrological responses observed at the (Micro-catchment) scale do not necessarily mirror those observed at the broader catchment level [17]. For instance, Dung et al. (2012) observed an increase in streamflow following a 50% thinning treatment at the catchment scale [4], even though no significant increase in surface runoff was detected within the constituent MC. These findings suggest that subsurface runoff at the catchment scale may depend on the continuity or discontinuity of hydrological processes occurring within smaller catchments [2,4,18,19]. Overall, hydrological processes vary substantially across the upper, middle, and lower sections of a catchment, primarily due to differences in vegetation structure, soil properties, and local climatic conditions [20,21]. Consequently, runoff responses rarely exhibit a uniform trend, underscoring the importance of assessing hydrological behavior across multiple spatial scales, particularly in semi-arid regions [22,23].
Semi-dry forests account for approximately 6% of the global forest cover and are considered among the most fragile ecosystems worldwide [24,25]. In Mexico, these forests extend over approximately 22 million hectares, typically forming oak–pine associations at elevations ranging from 1400 to 2600 m a.s.l. [26,27,28]. Beyond their ecological importance, semi-dry forests provide essential ecosystem services that support forestry, agriculture, grazing, and diversified livelihood strategies within local communities [24]. Critically, these areas also play a key role in water provision, supplying irrigation districts that sustain high-yield commercial agriculture and fulfilling domestic and industrial water demands in downstream urban centers [29].
Hydrological research commonly employs a wide range of methodological approaches, including time series analysis, probabilistic modeling of key variables such as precipitation and runoff, nonlinear modeling techniques, multivariate statistical analyses, and remote sensing applications, all of which are fundamental for a comprehensive understanding of hydrological processes [30,31]. To rigorously evaluate the effects of silvicultural treatments such as thinning, the Before–After–Control–Impact (BACI) framework is widely recognized as a robust experimental design for environmental impact assessment. This approach relies on comparisons between treatment and control sites both before and after intervention, enabling the differentiation of treatment-induced effects from natural spatial and temporal variability [32,33].
Runoff generation in forested catchments is governed by multiple interacting factors, including topography, soil properties, vegetation structure, rainfall characteristics, and management history [11,34]. These variables interact nonlinearly across spatial and temporal scales, producing diverse hydrological responses even under similar rainfall conditions [4,34]. However, isolating the effects of specific drivers such as canopy structure requires experimental designs implemented under relatively homogeneous physiographic and climatic settings, where the influence of confounding variables is minimized and process-level interpretations can be made with greater confidence.
Despite the substantial body of research evaluating the hydrological effects of forest thinning, important gaps remain, particularly regarding event-scale runoff responses under controlled environmental conditions. Most studies have assessed thinning effects across catchments that differ in topography, soils, or vegetation structure, making it difficult to isolate the role of canopy cover alone in regulating surface runoff [4,17,18,19]. Even in semi-arid regions—where threshold-type hydrological behavior is common—empirical evidence based on event-scale observations remains limited [11,22,23,34]. In northern Mexico, previous research has examined soil moisture and infiltration dynamics in semi-dry forests [34,35], yet no study has experimentally quantified how standardized reductions in canopy cover influence event-based runoff generation under otherwise homogeneous physiographic conditions. Although isolating hydrological drivers in field environments is inherently challenging, addressing this gap remains essential for improving process-level interpretations of rainfall–runoff responses and for informing silvicultural practices aimed at optimizing water yield in semi-dry forests.
Empirical hydrological data from dry forests in northern Mexico remain scarce, particularly at the event scale, where logistical and technical constraints often limit long-term monitoring. Addressing this gap is particularly important for understanding how rainfall variability and forest management practices interact to influence runoff generation and water yield in these ecosystems. Beyond quantifying runoff variations, this study seeks to elucidate the hydrological mechanisms—particularly those inferred from canopy interception patterns, rainfall intensity, and antecedent moisture conditions—that control runoff generation in semi-dry forest ecosystems. Building upon previous research conducted in the same watershed [34,35], which characterized soil moisture and infiltration dynamics under natural forest conditions, the present study expands this ecohydrological framework by directly quantifying event-based runoff responses following canopy thinning.
Using a Before–After–Control–Impact (BACI) design and event-based hydrological monitoring, this study provides a process-oriented framework to evaluate how canopy thinning modifies runoff generation under natural rainfall variability.
Building upon this context, the present study investigates the effects of varying canopy thinning intensities on event-based runoff generation in semi-dry forest ecosystems, while empirically exploring the hydrological mechanisms linked to rainfall characteristics and canopy structure. The outcomes are expected to contribute to a process-oriented understanding of forest–water interactions and to guide adaptive management strategies aimed at improving water yield and hydrological resilience in the dry forest catchments of northern Mexico, where event-scale observations are still limited.

2. Materials and Methods

This study evaluated how reductions in forest canopy cover influence event-based surface runoff in semiarid MC. Hydrological monitoring was conducted during 2018, under closed canopy cover conditions, and during 2019, after applying thinning treatments that reduced canopy cover to approximately 20% and 60%. These contrasting conditions provided the basis for a BACI experimental design to identify runoff responses to canopy-cover modification.
The study was conducted in an oak–pine forest at the Teseachi Ranch, a property of the Autonomous University of Chihuahua, located in the Sierra Madre Occidental of northwestern Chihuahua, Mexico (Figure 1). The regional climate is classified as semi-dry (BS1kw) according to the Köppen system, with a mean annual temperature of 14.8 °C and an average annual precipitation of 494 mm, approximately 80% of which occurs between June and October [36].
The overstory is dominated by mixed oak–pine stands, primarily Quercus hypoleucoides A. Camus, Quercus grisea Liebmann, and Pinus engelmannii Carrière, typically occurring between 1400 and 2600 m a.s.l. in the Sierra Madre Occidental [27,28,36,37]. In the study area, stands are approximately 70 years old and have been protected from logging, grazing, and other major disturbances since 1990, being used exclusively for research and educational purposes.
Soils are classified as Haplic Phaeozems developed from igneous parent material, with loam–clay textures and moderate depth [38]. These soils, together with the semi-dry climate, support a forest mosaic that is representative of the oak–pine ecosystems of northern Mexico and provide suitable conditions for evaluating the hydrological effects of forest thinning on surface runoff (Figure 1).

2.1. Characterization of the MC

In 2018, three MC with areas of 0.27, 0.20, and 0.19 ha were selected and designated as MC1, MC2, and MC3, respectively (Figure 1). All were located within the same oak–pine stand and exhibited high pre-treatment canopy cover (>90%). The selection criteria focused on identifying MC with comparable physiographic, edaphic, and structural characteristics to ensure that canopy cover would be the primary contrasting factor among treatments.
Although runoff generation is influenced by interacting drivers including climate, topography, soil properties, vegetation structure, and management history; the experimental setup was intentionally designed to minimize variability in these factors across the three units. The MC were therefore selected within a restricted physiographic zone of the watershed, characterized by similar slope gradients, aspect, elevation, soil type, and forest composition. Previous studies conducted in the same MC provided a detailed hydrological and edaphic baseline [34,35], confirming the homogeneity of environmental conditions prior to treatment implementation.
This controlled selection of MC forms the foundation of the BACI approach used in this study, as it reduces the confounding influence of spatial heterogeneity and strengthens the interpretation of canopy-cover effects on event-scale runoff generation.

2.2. Baseline Conditions of the Study

Topographic, climatic, and soil variables listed in Table 1 were obtained following the standardized field and analytical procedures described by Rascón-Ramos et al. (2021, 2022) [34,35]. Elevation, slope, and aspect for each MC were derived from a 10 m resolution Digital Elevation Model (DEM) provided by INEGI (Instituto Nacional de Estadística y Geografía, Mexico) and subsequently verified in the field using a Garmin eTrex 20× GPS unit (Garmin, Olathe, KS, USA) and a Suunto PM-5/360 PC clinometer (Suunto Oy Co. Ltd., Vantaa, Finland) to ensure topographic accuracy. Precipitation was continuously recorded using two tipping-bucket rain gauges (RainWise Inc., Bar Harbor, ME, USA) equipped with HOBO event loggers. Rainfall data were processed using the Rainfall Intensity Summarization Tool (RIST v3.94) to derive event-scale metrics, including total rainfall, event duration, and maximum 30-min rainfall intensity. These variables were used to characterize rainfall forcing during both baseline and post-treatment periods.
Soil moisture was monitored at a depth of 20 cm in both under-canopy and inter-canopy positions using calibrated WaterScout SM100 sensors connected to WatchDog Series 1000 data-loggers (Spectrum Technologies, Inc., Aurora, IL, USA), which recorded volumetric water content at 30-min intervals. Additionally, soil physical properties—including bulk density, porosity, and infiltration rate—were measured at representative locations within each MC to verify that edaphic conditions were comparable among treatments [35]. Meanwhile, vegetation structure, including tree density, basal area, and canopy cover, was assessed through a complete tree inventory in which diameter at breast height, total height, and crown diameter were measured for all individual trees. These measurements were subsequently used to geometrically derive basal area and canopy cover estimates [34,35].
The baseline assessment confirmed that the three MC exhibited homogeneous physiographic, soil, and vegetation characteristics, including similar slopes, soil texture (loam–clay Haplic Phaeozems), and pre-thinning canopy cover (90–110%). One-way ANOVA (p > 0.05) revealed no significant differences for any baseline variable (Table 1). This environmental homogeneity supports the internal validity of the BACI design by ensuring that canopy-cover reduction was the primary contrasting factor influencing event-scale runoff responses.
Surface roughness was quantified using the chain method and expressed as a dimensionless index, calculated as the ratio between the original chain length and its horizontal projection on the soil surface [35].

2.3. Thinning Application

Thinning treatments were implemented at the beginning of the 2019 rainy season to generate three contrasting canopy-cover conditions while maintaining the environmental homogeneity previously established during the 2018 baseline year. MC1 remained unthinned (0% reduction), whereas canopy cover was reduced by 80% in MC2 and by 40% in MC3 (Table 2). Tree density therefore decreased proportionally to the intended canopy reduction, while the spatial layout of the remaining trees was preserved to avoid altering stand structure beyond the prescribed treatment intensity.
All thinning operations were carried out manually using chainsaws, and felled trees were extracted with animal traction to prevent soil compaction or mechanical disturbance. Post-treatment evaluations showed no significant changes in soil bulk density or infiltration rate (p > 0.05) [35], confirming that the thinning procedure did not modify key soil physical properties.

2.4. Experimental Structure Design

The experiment followed a Before–After–Control–Impact (BACI) design to evaluate the hydrological effects of canopy-cover reduction under field conditions. In this framework, each MC functions as an independent hydrological unit with continuous pre- and post-treatment observations. The BACI approach enhances internal validity by using pre-treatment conditions as the reference state, thereby allowing treatment effects to be distinguished from natural temporal variability such as interannual differences in rainfall patterns. This design is widely applied in paired and multi-catchment hydrological studies where full spatial replication is logistically unfeasible [4,11,12].
The BACI framework was selected because it allows distinguishing treatment effects from natural interannual variability even when spatial replication is limited. By using each MC as its own temporal control and comparing the relative changes between treated and untreated units, the design isolates canopy-cover effects while minimizing the influence of spatial heterogeneity.
Although only one MC was assigned to each thinning level (0%, 80%, and 40%), spatial comparability was maximized by selecting hydrologically independent units located on adjacent, parallel slopes with similar topography, soil characteristics, vegetation structure, and management history. This controlled spatial configuration ensured that pre-treatment environmental conditions were effectively equivalent across units, allowing canopy-cover reduction to act as the primary factor expected to influence differences in post-treatment runoff responses.
Temporal replication was achieved through event-based monitoring over two consecutive rainy seasons (2018–2019). Each rainfall–runoff event constitutes an independent observation in the BACI framework, allowing the analysis to capture the frequency, magnitude, and variability of hydrological responses to thinning. This event-scale temporal replication increases statistical power despite limited spatial replication and aligns with standard applications of BACI designs in forest hydrology.

2.5. Rainfall Monitoring

Two tipping-bucket rain gauges (203 mm diameter, RainWise Inc., Bar Harbor, ME, USA) were installed in the study area to measure rainfall. Both gauges were mounted at 1 m above ground level in open areas without canopy obstruction. The first gauge was placed 30 m north of MC 1 and 2, and the second was installed to the south, between MC2 and MC3. Each gauge had a resolution of 0.25 mm per record and was equipped with a HOBO event logger, which was periodically downloaded using HOBOWare Pro software (Onset Computer Corporation, 2018, Lincoln, NE, USA) Rainfall data were analyzed using RIST (Rainfall Intensity Summarization Tool) version 3.94 [39]. Rainfall events were separated by intervals of at least 6 h with less than 1.27 mm of precipitation. For each rainfall event, the following variables were determined: start and end time, total precipitation, duration, and maximum 30-min rainfall intensity.
In this study, individual rainfall events were defined as periods of continuous precipitation separated by at least 6 h with less than 1.27 mm of rainfall. This criterion corresponds to the standard storm definition used in hydrological and erosion modeling, particularly within the Revised Universal Soil Loss Equation [40], and is implemented as the default event-separation threshold in the USDA-ARS Rainfall Intensity Summarization Tool [39]. Similar thresholds have been widely applied in ecohydrological studies in semi-arid environments [11,41]. In the semi-dry oak–pine forests of northern Mexico, this definition is hydrologically consistent with previous findings: soils exhibit very high infiltration rates (≈146 mm h−1); small rainfall events (<10 mm) do not appreciably modify soil moisture [34,35], and runoff generation is limited to relatively large, high-intensity storms (rainfall depth > 20–30 mm or I30 > 25–30 mm h−1 [34]. Furthermore, soil moisture typically returns to near pre-event values within about 24 h due to rapid drying typical of semi-arid forest soils [35]. Under these hydrological conditions, rainfall amounts <1.27 mm accumulated over 6 h are functionally negligible and do not reset antecedent moisture conditions. The 6 h, 1.27 mm storm-separation threshold therefore avoids artificially splitting single convective storms while ensuring statistical independence among distinct rainfall events.

2.6. Surface Runoff Monitoring

Runoff was measured following the procedure described by Pinson et al. (2004) [42]. At the natural drainage point of each plot, a small micro-dam was constructed to direct runoff into a PVC pipe leading to a container (Figure 2a). Three aluminum containers (55 cm in diameter and 112 cm in height) were installed per plot. Each container had a crown with 15 triangular notches that divided overflow water upon filling. The outflow from one notch of the first container was directed into a second container, and from there into a third (Figure 2b). The runoff volume for each rainfall event was calculated by summing the water volume collected in the containers and the overflow, using the following equation:
E = (VC1) + (VC2 × 15) + (VC3 × 15 × 15)
where
E = runoff volume produced during a rainfall event in each plot.
VC = water volume collected in containers 1, 2, and 3, respectively.
The runoff collection system operates as a multi-stage flow divider. Runoff generated at the outlet of each micro-catchment is first collected in container 1. Once container 1 is filled, overflow water is evenly divided through 15 triangular notches. Only one of these sub-divisions is directed to container 2, while the remaining fractions are discarded. The same sub-division principle applies between containers 2 and 3. Therefore, the measured volumes in containers 2 and 3 represent 1/15 and 1/225 of the total overflow volume, respectively. Equation (1) reconstructs the total runoff volume by accounting for these successive flow divisions, following the methodology described by Pinson et al. (2004) [42].
The statistical modeling was conducted using all runoff-producing storm events detected during the 2018–2019 monitoring period. A total of 51 and 49 rainfall events were recorded in 2018 and 2019, respectively, of which only 11 and 14 storms generated measurable runoff across the MC. Although this number of runoff events is limited, such sampling intensity is fully consistent with the threshold-driven hydrology of semi-arid and semi-dry forests. Previous studies in the same watershed have shown that only ~10% of rainfall events exceed the depth and intensity thresholds required to activate runoff [35], and similarly low frequencies of hydrologically effective storms have been reported in other arid and semi-arid catchments [41,43]. Accordingly, event-scale analyses in such environments commonly rely on small sample sizes due to the intrinsic rarity of runoff responses.
A descriptive analysis of rainfall and runoff events was conducted for the 2018 (pre-treatment) and 2019 (post-treatment) rainy seasons. Event-based precipitation and runoff were graphically examined to identify temporal patterns and preliminary contrasts among MC. These data served as inputs for the statistical modeling described in Section 2.7.

2.7. Statistical Modeling of Precipitation and Runoff

Prior to model selection, the distributions of precipitation (pp) and event-based runoff (E) were evaluated using Shapiro–Wilk tests and graphical diagnostics, which indicated clear deviations from normality. Given their strictly positive, right-skewed nature, precipitation and event runoff values were better characterized by a Weibull distribution. Therefore, all subsequent analyses were conducted using a Weibull model fitted by Maximum Likelihood Estimation (MLE), without assuming normality.
Event-based runoff (E) was modeled using a two-parameter Weibull distribution, suitable for positively skewed hydrological variables characterized by frequent small values and occasional extremes. The Weibull distribution has shape (k) and scale (λ) parameters, with density and expected value:
f(x) = (k/λ) × (x/λ)(k−1) × exp[−(x/λ)k]
E[X] = λ × Γ(1 + 1/k)
A log-link was used for the scale parameter to ensure positivity and interpretability. The shape parameter was expressed as k = exp(log k), following standard parametrization.

2.7.1. Response Variables and Derived Metrics

Zero-runoff events were retained in descriptive analyses but excluded from Weibull modeling because the distribution is defined for positive values. Very small positive values (<1 mm) were kept as observed, as they fall within the valid range of the Weibull density.
Response Variables
Two hydrological response variables were considered: (i) event precipitation (pp), used as the forcing variable in the precipitation–runoff relationship, and (ii) surface runoff (R), defined as total event runoff volume (L) normalized by catchment area (L ha−1).
Derived Antecedent Moisture Metric (API)
Antecedent moisture conditions were quantified using the Antecedent Precipitation Index (API), following Dunne and Leopold (1978) [44]:
API(t) = P(t) + kAPI(t − 1)
with recession constant k = 0.85, where API(t) is the antecedent precipitation index at time t, P(t) is precipitation at time t, and API(t − 1) is the antecedent precipitation index at the previous time step.
The recession constant k = 0.85 is consistent with published values for semi-arid forest soils with moderate infiltration and rapid dry-down rates (Dunne and Leopold, 1978) [44]. Although the API was not included as a predictor in the statistical models, it was calculated to support the hydrological interpretation of event-scale runoff responses and is referenced in the discussion of results.

2.7.2. BACI Treatment Structure

The BACI design was implemented by defining treatment groups based on canopy-cover conditions. In 2018 (BEFORE), all MC had ~100% canopy cover (BASE). In 2019 (AFTER), canopy was maintained at ~100% in the control and reduced to ~20% and ~60% in the treatment units.

2.7.3. Model Specification

Three alternative models were fitted using maximum likelihood estimation:
Model M1 (full interactions):
log(λ) = β0 + β1 × pp + β2 × g2 + β3 × g3 + β4 × g4 + β5 × (pp × g2) + β6 × (pp × g3) + β7 × (pp × g4)
Model M0 (common precipitation slope):
log(λ) = β0 + β1 × pp + β2 × g2 + β3 × g3 + β4 × g4
Model MYEAR:
log(λi) = β0 + βpp ppi + βy2 I(yeari = 2019) + β20 I(ccovi = 20) + β60 I(ccovi = 60) + βy2pp (ppi × I(yeari = 2019)) + β20pp (ppi × I(ccovi = 20)) + β60pp (ppi × I(ccovi = 60))
For model MYEAR, indicator variables were used to represent year and canopy-cover treatments. The notation I(⋅) denotes an indicator function equal to 1 when the specified condition is met and 0 otherwise. The subscript i denotes the i-th rainfall–runoff event. Here, pp denotes the event-based precipitation depth (mm), ccov denotes canopy cover (%), and y2 represents the year indicator corresponding to post-thinning conditions (2019). The coefficients βpp, βy2, β20, and β60 represent the main effects of precipitation, year (2019), and canopy-cover treatments of 20% and 60%, respectively, relative to the baseline condition (2018, 100% canopy cover).
In Equations (5)–(7), runoff represents the event-based surface runoff (mm). Precipitation (pp) corresponds to event-based rainfall depth (mm). The variable “year” is a binary indicator distinguishing pre-thinning (2018, baseline) and post-thinning conditions (2019). Group indicators correspond to categorical variables representing canopy-cover treatments (100%, 60%, and 20%), with the 100% canopy cover used as the reference category. Model parameters β0, β1, …, β7 are regression coefficients estimated by Maximum Likelihood Estimation. The intercept β0 represents the expected runoff (in log scale) under baseline conditions, while the remaining coefficients quantify the relative effects of precipitation, year, and canopy-cover treatments on runoff.
Interpretation of components:
In the generalized Weibull models, BACI structure is incorporated through the group indicators (g2, g3, g4), which represent post-treatment canopy-cover levels relative to the 2018 baseline. Under the log-link, coefficients represent multiplicative effects on mean runoff, enabling interpretation of BACI contrasts as ratios of ratios.
β0 represents baseline runoff (pre-treatment, ~100% canopy cover). β1 represents the effect of precipitation. g2, g3, and g4 denote canopy conditions (~100%, 20%, 60%), with the pre-treatment year as reference. Interaction terms capture differences in precipitation–runoff relationships across canopy levels. The log-link ensures positivity and multiplicative interpretation.
Non-significant coefficients in M1 were interpreted as absence of statistical support for treatment effects. Following standard Generalized Linear Model (GLM) practice, non-significant parameters were retained in the model structure but not used to infer treatment differences.

2.7.4. Model Comparison and Diagnostics

Models were compared using log-likelihood, AIC, AICc, and BIC. ΔAICc and Akaike weights quantified relative support. Diagnostics included PIT values, normalized quantile residuals, Q–Q plots, and Shapiro–Wilk tests, confirming adequate calibration of the selected Weibull model.
Model selection was based on information-theoretic criteria, including the Akaike Information Criterion (AIC), its small-sample correction (AICc), and the Bayesian Information Criterion (BIC). These criteria evaluate the trade-off between goodness of fit and model complexity, allowing identification of the most parsimonious model. Differences in AICc (ΔAICc) were used to compare candidate models, with lower values indicating stronger empirical support.
Model assumptions were evaluated using diagnostic tools, including quantile–quantile (Q–Q) plots and the Shapiro–Wilk test. Q–Q plots were used to visually assess whether model residuals followed the assumed theoretical distribution, while the Shapiro–Wilk test was applied to formally test residual normality.
Statistical uncertainty associated with the Weibull parameters was explicitly considered, acknowledging that both the shape and scale parameters exhibit sampling variability, particularly for moderate sample sizes typical of event-based runoff. Confidence intervals were obtained for the parameter estimates, and the sensitivity of predicted runoff to such uncertainty was evaluated following approaches recommended for hydrological applications of Weibull-type models (e.g., Koutsoyiannis, 2019 [45]; Zheng et al. 2023 [46]).
All statistical analyses and GLM–Weibull model fits were performed in SAS software, version 9.4 (SAS Institute Inc., Cary, NC, USA) [47].

3. Results

3.1. General Characteristics of Precipitation and Runoff

Total precipitation from June to October 2018 was 470 mm, representing 82% of the annual total. A total of 51 rainfall events were recorded, with a mean intensity of 8.9 mm (SD = 10.9 mm) and a mean duration of 6.9 h (Standard Deviation (SD) = 5.4 h) (Figure 3). Approximately 75% of the events produced less than 10 mm of rainfall, whereas only five events exceeded 25 mm·h−1. Among these, three major events (34, 37, and 59 mm) accounted for 28% of the total precipitation. The Antecedent Precipitation Index (API) fluctuated between 1.42 and 79 mm during the monitoring period, with an overall mean of 26.7 mm.
Regarding runoff, during 2018 only nine rainfall events generated surface runoff in MC 1 and 3, and ten events in MC 2 (Figure 3). Overall, 11 precipitation events produced runoff in at least one of the MC. Event-based runoff coefficients, calculated as the ratio of event-based surface runoff depth to total event-based precipitation, ranged from 0 to 10%.
Meanwhile, during 2019, total precipitation from June to October was 530 mm, representing 83% of the annual total. As in 2018, August was the wettest month (Figure 4). A total of 49 rainfall events were recorded, with a mean intensity of 10.5 mm (SD = 9.0 mm) and a mean duration of 6.2 h (SD = 6.1 h). Fifty-five percent of the events produced less than 10 mm of rainfall, and only three events exceeded 30 mm (31, 36, and 38 mm), together accounting for 20% of the total precipitation. Although total rainfall during the June–October period of 2019 was greater than in 2018, individual rainfall events were smaller in magnitude. Most storms were of low intensity, with a mean intensity of 11.6 mm·h−1 (SD = 10.6 mm·h−1), and only six storms exceeded 25 mm·h−1. The API fluctuated between 8 and 96 mm during this period, with an overall mean of 35.8 mm. Although higher than in 2018, the API exhibited a decreasing trend between rainfall events that were more widely spaced. In 2019, only eight rainfall events generated surface runoff in MC 1, while 14 events did so in MC 2 and 10 events in MC 3. Event-based runoff coefficients ranged from 0 to 4.4%, values lower than those recorded in 2018.
Following thinning in 2019, a higher number of runoff-generating events were recorded in MC2 and MC3 compared with 2018. Nevertheless, the total runoff volume was lower than that observed in 2018. During the 2018 rainy season, a single rainfall event of 59.3 mm accounted for more than 50% of the total runoff across the three MC. In contrast, no rainfall events of comparable magnitude occurred in 2019, which largely explains the lower total runoff recorded that year. Beyond this interannual variability, the statistical analysis further examines the potential effects of canopy cover on runoff, evaluating how differences in canopy structure may influence hydrological responses. This analysis aims to test the assumptions outlined in this section and to provide a more robust understanding of the relationships between canopy cover and surface runoff dynamics.

3.2. Statistical Results

The runoff and precipitation data did not conform to a normal distribution (Shapiro–Wilk, p < 0.05). Therefore, the hydrological response was analyzed using the Weibull model, which appropriately represents the skewed and non-Gaussian distribution of the observed data. All subsequent results presented in this section are based on the fitted Weibull functions and their parameters, ensuring statistical consistency with the characteristics of the runoff events.

3.2.1. Fitted Weibull Distributions for Precipitation and Runoff

The goodness-of-fit analysis using the Weibull distribution for precipitation yielded consistently high scale and shape parameters (λ ≈ 23–27; k ≈ 1.76–2.57), with p-values greater than 0.25 in all cases, indicating a robust fit to the model and a distribution consistent with stability in the occurrence and magnitude of events. These results suggest that precipitation follows a relatively homogeneous pattern across catchments and years.
In contrast, runoff showed scale parameters (σ) ranging from 0.021864 to 0.333245, with shape values (C) predominantly below 1, suggesting highly skewed distributions with long tails toward low values (Table 3). These are indicative of infrequent but high-magnitude events. Goodness-of-fit tests (Cramér–von Mises and Anderson–Darling) showed statistical significance in most cases (p > 0.05). However, MC 1 (2018) and 3 (2019) suggested possible deviations from the ideal Weibull model.
Year 2018 recorded higher mean precipitation with greater variability compared to 2019. An extreme precipitation event of 59 mm occurred in 2018. Additionally, runoff in 2018 was higher and more variable than in 2019. The 2018 data correspond to the average of the three MC. This descriptive information suggests lower runoff levels in 2019 under comparable precipitation conditions, likely due to the influence of the extreme event in 2018 (Table 4).

3.2.2. Modeling Results

According to the parameter estimates for the three hydrological models. Model M0 exhibits more consistent and statistically significant coefficients, particularly for β1, β2, β4, and logk, in contrast to the less stable results of M1 and MYEAR (Table 5). The narrower confidence intervals and stronger significance levels further highlight the robustness and reliability of M0. Meanwhile, models M1 and MYEAR yielded identical results because they are alternative parameterizations of the same underlying structure. With the same number of parameters, both achieve equivalent model fit and likelihood values, differing only in the way parameters are expressed rather than in the information conveyed.
Additionally, according to the model selection criteria (AIC, AICC, and BIC) models M1 and MYEAR achieved better log-likelihood values (−293 vs. −291.3). However, the information criteria penalizing complexity (AIC, AICC, BIC) favored the model with a common pp slope (M0) (Table 6). Therefore, model M0 was selected as the best to describe the effects of precipitation and canopy cover on runoff.
Although the full models M1 and MYEAR included interaction terms to test whether thinning altered the precipitation–runoff relationship, these additional parameters did not improve explanatory power after accounting for model complexity. Their performance indicated that precipitation effects were statistically similar across canopy-cover levels, supporting the selection of the M0 model structure.
The selected model (M0) showed that runoff was positively related to precipitation magnitude (Table 6). As a result, was found that for each additional 1 mm of precipitation, the expected runoff mean increased by ~12% (β1 = 0.1149, SE = 0.0190, p < 0.0001; ratio = e0.1149 ≈ 1.12; 95% CI: 1.08–1.17). This parameter highlights the logical influence that higher-intensity rainfall events have a multiplicative effect on runoff, increasing by 12% with a CI of 8–17% per mm of precipitation in the studied dry forest catchments.
At fixed precipitation, conditions in 2019 showed strong decreases compared to the 2018 baseline. For the 100% cover catchment (2019–100%), mean runoff was reduced to ~0.087 times that of BASE (2018) (β2 = −2.4432, p = 0.0001; 95% CI ratio: 0.026–0.288). For the 60% cover catchment (2019–60%), mean runoff decreased to ~0.296 (β4 = −1.2160, p = 0.0455; 95% CI: 0.090–0.975). For the 20% cover catchment (2019–20%), mean runoff decreased to ~0.348 (β3 = −1.0549, p = 0.089; 95% CI: 0.103–1.179), where this last catchment provides only marginal evidence (p = 0.0890). Additionally, the estimated shape parameter (logk = −0.6222, k ≈ 0.54) indicates a strongly right-skewed distribution, consistent with runoff behavior, characterized by many small runoff events and few large ones. The runoff behavior observed in 2018 could be attributed to the extreme precipitation event (59 mm) and its relationship with subsequent events in the same year.
In this sense, Figure 5 shows the curves predicted by the model M0. All curves show an increasing runoff response with precipitation, with very similar slopes. However, the 2019 curves are shifted downward relative to the 2018 baseline, indicating a progressive reduction in runoff: greatest in 2019–100%, intermediate in 2019–60%, and more moderate in 2019–20%. These curves summarize the group effect while controlling for precipitation; however, differences should be interpreted cautiously. In particular, the 20% canopy cover group shows only marginal statistical significance.

3.2.3. 2019 vs. 2018 Contrast Results

When comparing the 2019 treatments (100%, 60%, and 20% canopy cover) against the 2018 baseline runoff at equal precipitation (evaluated at mean pp), all three MC showed substantial multiplicative reductions (Table 7). For 2019–100%, the estimated mean ratio was 0.087 (95% CI: 0.026–0.288; p = 0.0001), equivalent to a ≈91% reduction compared to BASE. For 2019–60%, the ratio was 0.296 (95% CI: 0.090–0.975; p = 0.0455), equivalent to ≈70% reduction, statistically significant. For 2019–20%, the ratio was 0.348 (95% CI: 0.103–1.179; p = 0.089), suggesting ≈65% reduction but with only marginal evidence. Overall, the results point to a tendency for lower canopy cover to be associated with relatively higher runoff amounts. Nevertheless, this pattern is supported only by marginal evidence, particularly in the 20% canopy cover MC (p = 0.089; CI: 0.103–1.179), and should therefore be interpreted cautiously.

3.2.4. Results of BACI Contrasts

Table 8 shows the contrasts of the Weibull log-link model evaluated at fixed precipitation, considering 2018 as the baseline. It includes the effect of precipitation (per unit increase) and the contrasts of each treatment (100%, 60%, and 20% canopy cover) relative to 2018. As previously described, all cases show runoff reductions in 2019 compared to 2018, with greater magnitudes in the control catchment (100%). Meanwhile, BACI contrasts (expressed as ratios of ratios, meaning the ratio between relative runoff responses obtained under different canopy-cover treatments) allow comparison of changes observed between treatments and the control (2019–100%). Ratios greater than 1 indicate that the treatment showed relatively more runoff than the control. Values obtained were 4.01 for 20% cover (p = 0.0535) and 3.41 for 60% cover (p = 0.0861), suggesting a possible positive effect under reduced canopy cover.
For example, when comparing 2019 to the 2018 baseline, the control catchment (100%) showed a ratio of 0.087, meaning that 2019 runoff represented only 8.7% of 2018 runoff under the same precipitation, indicating a sharp decline. In contrast, the 20% cover catchment showed a ratio of 0.348, maintaining a 34.8% of 2018 runoff: still a reduction, but less severe than the control. The BACI contrast for the 20% canopy cover suggested a possible difference relative to the control, with an estimated ratio of 4.01. However, the wide confidence interval (0.979–16.412) and the marginal p-value (p = 0.0535) indicate substantial uncertainty. Overall, these results show that although all MC experienced decreases in runoff in 2019, lower canopy cover tends to maintain relatively higher proportions of runoff than the closed-canopy control; however, this tendency is only supported by marginal statistical evidence in the 20% canopy cover MC.
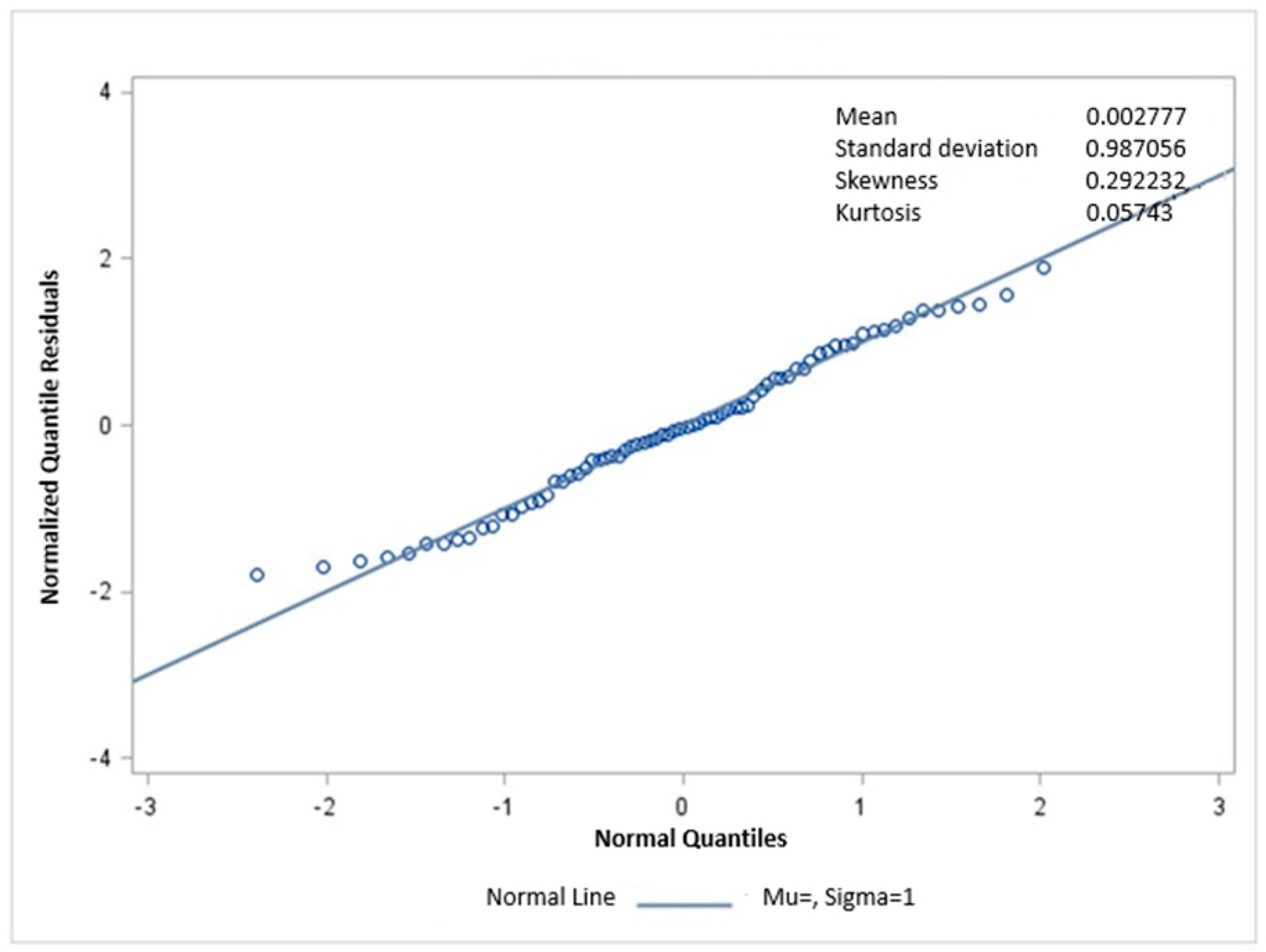
Model adequacy was evaluated through residual analysis using Probability Integral Transform (PIT)–based residuals and normalized quantile residuals (rq-residuals). For the primary model (M0), rq-residuals showed no significant deviation from the expected normal distribution (Shapiro–Wilk p = 0.307). Q–Q plots confirmed that residuals closely followed the 1:1 line, indicating that the Weibull model appropriately described the empirical distribution of runoff events (Figure 6).
Additional diagnostics based on the exponential transformation Z = (Y/λ)K and the uniform PIT values demonstrated no systematic bias, further supporting model adequacy. Collectively, these results confirm that the Weibull probability model provided a good fit to the observed data and satisfied the underlying assumptions for valid statistical inference.

4. Discussion

The predominance of extreme rainfall events in controlling surface runoff reflects the threshold behavior typical of semi-arid ecosystems. Similar to findings in Mediterranean and temperate forests [4,11,48], only high-intensity storms exceeded the infiltration capacity and produced measurable runoff, whereas moderate events were mostly absorbed by the upper soil layers. Our previous studies in the same watershed [34,35] confirmed that rainfall intensities above approximately 25 mm·h−1 were necessary to activate surface flow, with antecedent precipitation strongly conditioning the magnitude of the response. Consistent with those findings, the current dataset revealed that during the 2018 hydrological year, an extreme storm event generated a peak runoff nearly five times greater than the average of subsequent years, despite similar annual precipitation totals. This emphasizes that runoff generation in these forests appears to depend not only on cumulative rainfall but also on the occurrence and timing of extreme events relative to antecedent soil moisture. Although this pattern is consistent with previous studies in semi-arid forests [4,11,23], the limited number of runoff-producing events in our dataset, particularly the disproportionate influence of a single extreme storm in 2018 warrants a cautious interpretation of the strength of this relationship. Such threshold-controlled behavior might explain the episodic and spatially concentrated nature of runoff generation, which remains largely independent of annual precipitation amounts. From a management perspective, these findings highlight the importance of considering both rainfall intensity and antecedent soil moisture when designing forest interventions aimed at enhancing water yield in semi-dry ecosystems [11,48], as low-intensity events contribute minimally to surface flow.
The comparison of alternative Weibull models further supports this interpretation. Interaction models (M1 and MYEAR) did not provide additional explanatory value, indicating that thinning did not fundamentally modify the functional form of the precipitation–runoff relationship. Instead, differences among treatments were adequately represented as shifts in baseline runoff, consistent with a canopy-driven modification of initial conditions rather than a change in rainfall sensitivity.
Differences in canopy structure among thinning treatments were key to explaining the observed hydrological responses. According to our results, thinning effectively reduced canopy interception and attenuated surface runoff, suggesting that a decrease in canopy density allows a greater fraction of rainfall to reach the forest floor. This reduction in interception appears to facilitate the generation of runoff during high-magnitude rainfall events, as more water bypasses the canopy and rapidly saturates the upper soil layers. These findings confirm the patterns reported in our previous study [35], where thinning enhanced soil moisture availability by increasing throughfall and reducing evaporative losses. In the present work, the moderate thinning treatment (approximately 60% canopy cover) exhibited hydrological responses similar to those observed under more intensive thinning, indicating that beyond a certain threshold, additional canopy removal produces limited additional hydrological change. This behavior is consistent with observations of diverse authors [4,6,11,48], who found that partial canopy reduction optimizes infiltration and runoff regulation by balancing rainfall redistribution and soil protection. Overall, these results suggest that maintaining moderate canopy cover supports a stable hydrological regime while avoiding the potential negative effects of excessive thinning on soil structure and erosion.
The BACI analysis revealed that thinning increased runoff response moderately but not in direct proportion to the reduction in canopy cover, indicating a nonlinear hydrological behavior. Such nonlinearity has been reported in forested catchments where soil-moisture–rainfall relationships follow exponential rather than linear patterns [4,35,48]. The Weibull model applied in this study supports this interpretation, showing that each additional millimeter of rainfall increased expected runoff by approximately 12%. This pattern suggests that beyond certain rainfall thresholds, the catchment’s hydrological response becomes increasingly sensitive to additional rainfall inputs, reflecting a saturation-driven behavior rather than a gradual or proportional increase in runoff. Although infiltration was not directly measured, these results are consistent with threshold-type runoff generation observed in semi-arid and Mediterranean forest ecosystems, where antecedent soil moisture, partial saturation, and surface connectivity govern the transition from infiltration-dominated to runoff-dominated conditions [4,11,49].
Although both thinning treatments showed higher runoff ratios than the closed-canopy control, the effect was statistically robust only for the 60% canopy treatment, while the 20% treatment exhibited a marginal BACI contrast with wide confidence intervals. These patterns reflect both the reduced magnitude of 2019 runoff events and the disproportionate influence of the single 59 mm storm recorded in the baseline year, which amplifies absolute contrasts between years.
Mechanistically, moderate canopy openings create heterogeneity in throughfall distribution, leading to localized saturation zones and intermittent connectivity between surface and subsurface flows. Similar processes were identified by Dung et al. (2012) [4] in forests under selective thinning. These threshold-driven behaviors reinforce the importance of adaptive forest management strategies that avoid excessive canopy removal, which could destabilize soil-moisture storage and increase erosion risk [48,50].
The results showed that moderate canopy thinning (approximately 60% cover) reduced surface runoff by about 20–25% compared with the control plots. The BACI analysis further indicated that each additional millimeter of rainfall increased expected runoff by roughly 12%, supporting a nonlinear hydrological response dominated by high-intensity storms. In particular, an extreme rainfall event in 2018 produced a runoff peak nearly five times greater than the average of subsequent years, underscoring the dominant influence of storm magnitude and antecedent moisture on catchment behavior. These quantitative results have direct implications for water harvesting and watershed management in semi-dry forests, where adaptive thinning can enhance soil-water recharge and improve water yield without compromising ecosystem resilience.
To strengthen interpretative clarity, a distinction is made between patterns that emerge directly from the empirical dataset and hydrological mechanisms inferred from previous research. The reduced magnitude of runoff in 2019, the treatment-specific differences in runoff ratios, and the disproportionate influence of high-magnitude rainfall events arise directly from the event-scale observations and Weibull-based modeling. In contrast, interpretations related to canopy interception, threshold-type activation of surface runoff, and changes in hydrological connectivity are presented as plausible mechanisms supported by prior studies in semi-arid forest environments [11,18,19,22,23]. These mechanisms offer process-based explanations that complement, but do not replace, the directly observed event-scale responses documented in this study.
It is important to note that these findings refer specifically to the semi-dry forests studied under the relatively homogeneous conditions of the three experimental MC. However, dry forests across the region are characterized by considerable structural and topographic complexity, suggesting that additional research is required to evaluate the influence of other variables on runoff generation, either independently or through multivariate approaches. By integrating the event-based runoff dynamics with the soil-moisture responses [34,35], the present study provides one of the few empirical baselines available for designing forest-management strategies in water-limited environments of northern Mexico. While this study has inherent limitations, it offers robust and process-oriented evidence that advances our understanding of ecohydrological dynamics in semi-dry forests.
The temporal scope limited to two years after canopy thinning and lacking subsequent data for 2020–2025 restricts the assessment of long-term hydrological adjustments and vegetation recovery. Likewise, the small and relatively homogeneous experimental MC constrain the extrapolation of results to more heterogeneous landscapes. Nevertheless, the event-based monitoring design employed here, with runoff measurements collected for each rainfall event at high temporal resolution, provides a level of empirical detail for the semi-arid forest environments. Although variables such as canopy interception, litter dynamics, and root structure were not directly quantified, the consistent hydrological patterns observed across treatments and years demonstrate the internal reliability of the dataset and support the mechanistic interpretations proposed.
Furthermore, the empirical models applied (BACI and Weibull) adequately captured nonlinear responses to rainfall, revealing thresholds and sensitivities consistent with field observations. Collecting such detailed event-scale data under challenging field conditions represents a substantial scientific contribution, offering one baseline references for understanding how rainfall characteristics and forest structure jointly regulate runoff generation in the dry forests of northern Mexico.

5. Conclusions

Runoff generation in semi-arid oak–pine forests appears to be governed primarily by the occurrence and intensity of extreme rainfall events rather than by annual precipitation totals, confirming the episodic and non-linear nature of hydrological responses in these ecosystems.
Canopy reduction modified runoff dynamics, with thinning treatments at 20% and 60% canopy cover maintaining relatively higher proportions of runoff than the 100% canopy control, despite overall reductions in 2019 relative to the 2018 baseline.
The BACI analysis suggested that thinned catchments attenuated runoff less severely than the control, indicating a moderate positive influence of canopy reduction, although the 20% treatment exhibited only marginal statistical significance.
Weibull-based modeling effectively represented the frequency and magnitude of runoff events, revealing an average 12% increase in expected runoff for each additional millimeter of precipitation, consistent with a threshold-type response to rainfall intensity.
The interaction among canopy cover, antecedent moisture, and rainfall magnitude appears to play a decisive role in regulating the hydrological balance of semi-dry forests, underscoring that forest management strategies should consider optimal canopy thresholds to sustain water yield while maintaining long-term ecosystem resilience.

Author Contributions

Conceptualization, M.M.-S. and A.E.R.-R.; preparation of methodology, M.M.-S., A.E.R.-R. and G.S.-P.; field sampling, D.E.H.-R. and A.P.A.; formal analysis, M.M.-S., E.S.-E. writing—original draft preparation, M.M.-S., A.E.R.-R. and G.S.-P.; review and editing, R.C.-L., S.R.-P. and A.P.A. All authors have read and agreed to the published version of the manuscript.

Funding

This research was funded by CFE (Comisión Federal de Electricidad), grant number (CERESO-1723).

Data Availability Statement

The data presented in this study are available from the corresponding author upon reasonable request.

Acknowledgments

The authors gratefully acknowledge the Faculty of Animal Science and Ecology of the Autonomous University of Chihuahua for their support with monitoring activities at the Teseachi ranch.

Conflicts of Interest

The authors declare no conflicts of interest. The funders had no role in the design of the study; in the collection, analyses, or interpretation of data; in the writing of the manuscript; or in the decision to publish the results.

References

  1. Ellison, D.; Morris, C.E.; Locatelli, B.; Sheil, D.; Cohen, J.; Murdiyarso, D.; Gutierrez, V.; Noordwijk, M.V.; Creed, I.F.; Pokorny, J. Trees, Forests and Water: Cool Insights for a Hot World. Glob. Environ. Change 2017, 43, 51–61. [Google Scholar] [CrossRef]
  2. Saksa, P.C.; Conklin, M.H.; Battles, J.J.; Tague, C.L.; Bales, R.C. Forest Thinning Impacts on the Water Balance of S Ierra N Evada Mixed-conifer Headwater Basins. Water Resour. Res. 2017, 53, 5364–5381. [Google Scholar] [CrossRef]
  3. Baker, M.B. Effects of Ponderosa Pine Treatments on Water Yield in Arizona. Water Resour. Res. 1986, 22, 67–73. [Google Scholar] [CrossRef]
  4. Dung, B.X.; Gomi, T.; Miyata, S.; Sidle, R.C.; Kosugi, K.; Onda, Y. Runoff Responses to Forest Thinning at Plot and Catchment Scales in a Headwater Catchment Draining Japanese Cypress Forest. J. Hydrol. 2012, 444, 51–62. [Google Scholar] [CrossRef]
  5. Sohn, J.A.; Gebhardt, T.; Ammer, C.; Bauhus, J.; Häberle, K.; Matyssek, R.; Grams, T.E. Mitigation of Drought by Thinning: Short-Term and Long-Term Effects on Growth and Physiological Performance of Norway Spruce (Picea abies). For. Ecol. Manag. 2013, 308, 188–197. [Google Scholar] [CrossRef]
  6. Lesch, W.; Scott, D.F. The Response in Water Yield to the Thinning of Pinus radiata, Pinus patula, Eucalyptus grandis Plantations. For. Ecol. Manag. 1997, 99, 295–307. [Google Scholar] [CrossRef]
  7. Zou, C.B.; Ffolliott, P.F.; Wine, M. Streamflow Responses to Vegetation Manipulations along a Gradient of Precipitation in the Colorado River Basin. For. Ecol. Manag. 2010, 259, 1268–1276. [Google Scholar] [CrossRef]
  8. Ffolliott, P.F.; Gottfried, G.J.; Baker, M.B. Water Yield from Forest Snowpack Management: Research Findings in Arizona and New Mexico. Water Resour. Res. 1989, 25, 1999–2007. [Google Scholar] [CrossRef]
  9. Días, L.C.P.; Macedo, M.N.; Costa, M.H.; Coe, M.T.; Neill, C. Effects of Land Cover Change on Evapotranspiration and Streamflow of Small Catchments in the Upper Xingu River Basin, Central Brazil. J. Hydrol. 2015, 4, 108–120. [Google Scholar] [CrossRef]
  10. Wang, H.; Xu, W.; Zhang, M.; Cui, L.; Yu, X. Effects of Forest on Mean Annual Runoff in North China. Pol. J. Environ. Stud. 2018, 27, 889–896. [Google Scholar] [CrossRef]
  11. Del Campo, A.D.; González-Sanchis, M.; Molina, A.J.; García-Prats, A.; Ceacero, C.J.; Bautista, I. Effectiveness of Water-Oriented Thinning in Two Semiarid Forests: The Redistribution of Increased Net Rainfall into Soil Water, Drainage and Runoff. For. Ecol. Manag. 2019, 438, 163–175. [Google Scholar] [CrossRef]
  12. Bosch, J.M.; Hewlett, J.D. A Review of Catchment Experiments to Determine the Effect of Vegetation Changes on Water Yield and Evapotranspiration. J. Hydrol. 1982, 55, 3–23. [Google Scholar] [CrossRef]
  13. Stednick, J. Monitoring the Effects of Timber Harvest on Annual Water Yield. J. Hydrol. 1996, 176, 79–95. [Google Scholar] [CrossRef]
  14. Rahman, A.A.; Hiura, H.; Shino, K.; Takese, K. Effects of Forest Thinning on Direct Runoff and Peak Runoff Properties in a Small Mountainous Watershed in Kochi Prefecture, Japan. Pak. J. Biol. Sci. 2005, 8, 259–266. [Google Scholar] [CrossRef]
  15. Feeney, S.R.; Kolb, T.E.; Covington, W.W.; Wagner, M.R. Influence of Thinning and Burning Restoration Treatments on Presettlement Ponderosa Pines at the Gus Pearson Natural Area. Can. J. For. Res. 1998, 28, 1295–1306. [Google Scholar] [CrossRef]
  16. Stone, J.E.; Kolb, T.E.; Covington, W.J. Effects of Restoration Thinning on Presettlement Pinus ponderosa in Northern Arizona. Restor. Ecol. 1999, 7, 172–182. [Google Scholar] [CrossRef]
  17. Dung, B.X.; Miyata, S.; Gomi, T. Effect of Forest Thinning on Overland Flow Generation on Hillslopes Covered by Japanese Cypress. Ecohydrology 2011, 4, 367–378. [Google Scholar] [CrossRef]
  18. Sidle, R.C.; Tsuboyama, Y.; Noguchi, S.; Hosoda, I.; Fujita, M.; Shimizu, T. Stormflow Generation in Steep Forested Headwaters: A Linked Hydrogeomorphic Paradigm. Hydrol. Process. 2000, 14, 369–385. [Google Scholar] [CrossRef]
  19. Gomi, T.; Sidle, R.C.; Ueno, M.; Miyata, S.; Kosugi, K. Characteristics of Overland Flow Generation on Steep Forested Hillslopes of Central Japan. J. Hydrol. 2008, 361, 275–290. [Google Scholar] [CrossRef]
  20. Cammeraat, E.L.H. Scale Dependent Thresholds in Hydrological and Erosion Response of a Semi-Arid Catchment in Southeast Spain. Agric. Ecosyst. Environ. 2004, 104, 317–322. [Google Scholar] [CrossRef]
  21. Chandler, K.R.; Stevensa, C.J.; Binleya, A.; Keith, A.M. Influence of Tree Species and Forest Land Use on Soil Hydraulic Conductivity and Implications for Surface Runoff Generation. Geoderma 2018, 310, 120–127. [Google Scholar] [CrossRef]
  22. Miyata, S.; Kosugi, K.; Nishi, Y.; Gomi, T.; Sidle, R.C.; Mizuyama, T. Spatial Pattern of Infiltration Rate and Its Effect on Hydrological Processes in a Small Headwater Catchment. Hydrol. Process. 2010, 24, 535–549. [Google Scholar] [CrossRef]
  23. Mayor, A.G.; Bautista, S.; Bellot, J. Scale-Dependent Variation in Runoff and Sediment Yield in a Semiarid Mediterranean Catchment. J. Hydrol. 2011, 397, 128–135. [Google Scholar] [CrossRef]
  24. FAO. Evaluación de Los Recursos Forestales Mundiales 2010-Informe Principal; FAO: Roma, Italy, 2012. [Google Scholar]
  25. Umar, D.; Ramli, M.; Aris, A.Z.; Jamil, N.R.; Aderemi, A.A. Evidence of Climate Variability from Rainfall and Temperature Fluctuations in Semi-Arid Region of the Tropics. Atmos. Res. 2019, 224, 52–64. [Google Scholar] [CrossRef]
  26. INEGI (Instituto Nacional de Estadística y Geografía). Ecorregiones Terrestres de México, Escala 1:1,000,000; INEGI: Aguascalientes, Mexico, 2008. Available online: http://www.conabio.gob.mx/informacion/gis/layouts/ecort08gw.png (accessed on 12 September 2025).
  27. SEMARNAT. Atlas de Biodiversidad de México. Secretaría de Medio Ambiente y Recursos Naturales; SEMARNAT: Mexico City, Mexico, 2010. [Google Scholar]
  28. González-Elizondo, S.; González-Elizondo, M.; Tena-Flores, J.A.; Ruacho-González, L.; López-Enríquez, I.L. Vegetación de la sierra madre occidental, México: Una síntesis. Acta Bot. Mex. 2012, 100, 351–403. [Google Scholar] [CrossRef]
  29. CONAGUA. (Comisión Nacional del Agua) Normales Climatológicas de México por Estado; CONAGUA: Mexico City, Mexico, 2020. [Google Scholar]
  30. Beven, K. Rainfall-Runoff Modelling: The Primer, 2nd ed.; Wiley-Blackwell: Hoboken, NJ, USA, 2012. [Google Scholar]
  31. Wang, L.; Qu, J.J. Satellite Remote Sensing Applications for Surface Soil Moisture Monitoring: A Review. Front. Earth Sci. China 2009, 3, 237–247. [Google Scholar] [CrossRef]
  32. Underwood, A.J. On beyond BACI: Sampling Designs That Might Reliably Detect Environmental Disturbances. Ecol. Appl. 1994, 4, 3–15. [Google Scholar] [CrossRef]
  33. Stewart-Oaten, A.; Bence, J.R. Temporal and Spatial Variation in Environmental Impact Assessment. Ecol. Monogr. 2001, 71, 305–339. [Google Scholar] [CrossRef]
  34. Rascón-Ramos, A.E.; Martinez-Salvador, M.; Sosa-Pérez, G.; Villarreal-Guerrero, F.; Pinedo-Alvarez, A.; Santellano-Estrada, E. Hydrological Behavior of a Semi-Dry Forest in Northern Mexico: Factors Controlling Surface Runoff. Arid Land Res. Manag. 2020, 35, 83–103. [Google Scholar] [CrossRef]
  35. Rascón-Ramos, A.E.; Martínez-Salvador, M.; Sosa-Pérez, G.; Villarreal-Guerrero, F.; Pinedo-Alvarez, A.; Santellano-Estrada, E.; Corrales-Lerma, R. Soil Moisture Dynamics in Response to Precipitation and Thinning in a Semi-Dry Forest in Northern Mexico. Water 2021, 13, 105. [Google Scholar] [CrossRef]
  36. INEGI. Guía Para La Interpretación de Cartografía Uso Del Suelo y Vegetación: Escala 1:250,000: Serie III; INEGI: Aguascalientes, Mexico, 2009; ISBN 978-607-494-015-2. [Google Scholar]
  37. Rzedowski, J.; Huerta, L. Vegetación de México; Editorial Limusa: Mexico City, Mexico, 1978; Volume 432. [Google Scholar]
  38. FAO. World Reference Base for Soil Resources; FAO: Rome, Italy, 2014; Volume 106. [Google Scholar]
  39. USDA. RIST-Rainfall Intensity Summarization Tool (3.94). Agricultural Research Service; U.S. Department of Agriculture, Ed.; U.S. Department of Agriculture: Oxford, MO, USA, 2015.
  40. Renard, K.; Foster, G.; Weesies, G.; McCool, D.K.; Yoder, D. Predicting Soil Erosion by Water: A Guide to Conservation Planning with the Revised Universal Soil Loss Equation (RUSLE); Agriculture Handbook No. 703; U.S. Department of Agriculture, Agricultural Research Service (USDA-ARS): Washington, DC, USA, 1997.
  41. Polyakov, V.O.; Nearing, M.A.; Nichols, M.H.; Scott, R.L.; Stone, J.J.; McClaran, M.P. Long-term Runoff and Sediment Yields from Small Semiarid Watersheds in Southern Arizona. Water Resour. Res. 2010, 46, 9512. [Google Scholar] [CrossRef]
  42. Pinson, W.T.; Yoder, D.C.; Buchanan, J.R.; Wright, W.C.; Wilkerson, J.B. Design and Evaluation of an Improved Flow Divider for Sampling Runoff Plots. Appl. Eng. Agric. 2004, 20, 433–438. [Google Scholar] [CrossRef]
  43. Camacho-Suarez, V.V.; Saraiva-Okello, A.M.L.; Wenninger, J.W.; Uhlenbrook, S. Understanding Runoff Processes in a Semi-Arid Environment through Isotope and Hydrochemical Hydrograph Separations. Hydrol. Earth Syst. Sci. 2015, 19, 4183–4199. [Google Scholar] [CrossRef]
  44. Dunne, T.; Leopold, L.B. Water in Environmental Planning, 1st ed.; W.H. Freeman: New York, NY, USA, 1978. [Google Scholar]
  45. Koutsoyiannis, D. Knowable moments for high-order stochastic characterization and modelling of hydrological processes. Hydrol. Sci. J. 2019, 64, 19–33. [Google Scholar] [CrossRef]
  46. Zheng, W.; Liu, S.; Zhou, Z.; Zhong, G.; Zhuang, Q. A Weibull-based framework for uncertainty evaluation in rainfall frequency analysis. SSRN Electron. J. 2023, 4677800. [Google Scholar] [CrossRef]
  47. SAS Institute Inc. SAS Software; Version 9.4; SAS Institute Inc.: Cary, NC, USA, 2013. [Google Scholar]
  48. Návar, J. Fitting Rainfall Interception Models to Forest Ecosystems of Mexico. J. Hydrol. 2017, 548, 458–470. [Google Scholar] [CrossRef]
  49. López-Vicente, M.; Nadal-Romero, E.; Cammeraat, E.L.H. Hydrological Connectivity Does Change over 70 Years of Abandonment and Afforestation in the Spanish Pyrenees. Land Degrad. Dev. 2017, 28, 1298–1310. [Google Scholar] [CrossRef]
  50. Allen, C.D.; Macalady, A.K.; Chenchouni, H.; Bachelet, D.; Mcdowell, N.; Vennetier, M.; Kitzberger, T.; Rigling, A.; Breshears, D.D.; Hogg, T. A Global Overview of Drought and Heat-Induced Tree Mortality Reveals Emerging Climate Change Risks for Forests. Ecol. Manag. 2010, 259, 660–684. [Google Scholar] [CrossRef]
Figure 1. Location of the three MC in Chihuahua, Mexico.
Figure 1. Location of the three MC in Chihuahua, Mexico.
Hydrology 13 00027 g001
Figure 2. (a) Surface runoff collection system; (b) containers used for runoff measurement.
Figure 2. (a) Surface runoff collection system; (b) containers used for runoff measurement.
Hydrology 13 00027 g002
Figure 3. Rainfall–runoff relationships during the 2018 rainy season (pre-thinning) in three semi-arid forest MC in Chihuahua, Mexico.
Figure 3. Rainfall–runoff relationships during the 2018 rainy season (pre-thinning) in three semi-arid forest MC in Chihuahua, Mexico.
Hydrology 13 00027 g003
Figure 4. Rainfall–runoff relationships during the 2019 rainy season (post-thinning) in three semi-arid forest MC in Chihuahua, Mexico.
Figure 4. Rainfall–runoff relationships during the 2019 rainy season (post-thinning) in three semi-arid forest MC in Chihuahua, Mexico.
Hydrology 13 00027 g004
Figure 5. Runoff response curves predicted by the Weibull model (log link).
Figure 5. Runoff response curves predicted by the Weibull model (log link).
Hydrology 13 00027 g005
Figure 6. Q–Q plot of normalized quantile residuals for the Weibull model (M0). Blue circles represent the observed normalized quantile residuals, and the solid line indicates the theoretical normal distribution (μ = 0, σ = 1).
Figure 6. Q–Q plot of normalized quantile residuals for the Weibull model (M0). Blue circles represent the observed normalized quantile residuals, and the solid line indicates the theoretical normal distribution (μ = 0, σ = 1).
Hydrology 13 00027 g006
Table 1. Environmental and soil characteristics of the experimental MC before canopy cover treatments.
Table 1. Environmental and soil characteristics of the experimental MC before canopy cover treatments.
VariableMC1MC2MC3Differences (p ≤ 0.05)Source
Elevation (m a.s.l.)212021152110-[35]
Mean slope (%)10.311.512-[35]
Mean annual temperature (°C)14.814.814.8-[34,35]
Annual precipitation (mm)494494494-[34,35]
Rainfall distribution80% June–October-[34,35]
Maximum 30 min rainfall intensity (mm·h−1)48.247.546.9ns[35]
Classification (FAO)Haplic Phaeozem-[35]
Texture loamy-clay texture-[34,35]
Soil depth (m)0.290.480.47-[35]
Bulk density (g·cm−3)1.031.101.27ns[35]
Mean soil porosity (%)57.257.856.9ns[35]
mean infiltration capacity (mm·h−1)146146146ns[35]
Surface roughness (dimensionless)0.9470.9450.954ns[35]
Bare soil (%)10.311.512ns[35]
Forest typeMixed oak–pine-[34,35]
Dominant speciesQ. hypoleucoides, Q. grisea, P. engelmannii-[34]
Mean stand age (years)707070-
Tree density (trees ha−1, pre-thinning)231121722147ns[34,35]
Canopy cover pre thinning (%)11089.7106.4ns[34,35]
Litter (%)60.469.776.4ns[35]
Management historyNo disturbances since 1990; research and educational use-[34]
Note: MC1, MC2, and MC3 correspond to the MC; ns = not significant. Data correspond to soil, climate, relief, and vegetation characteristics measured prior to the application of thinning treatments. The three MC exhibited similar baseline conditions, which remained stable during the base year (2018); in 2019, only canopy cover was modified, while the remaining variables showed no appreciable changes compared with 2018.
Table 2. Vegetation and soil characteristics in three semi-arid forest MC after thinning treatments.
Table 2. Vegetation and soil characteristics in three semi-arid forest MC after thinning treatments.
VariableAfter Thinning (2019)
MC (Cut Intensity)C.V. (%)
1 = 0%2 = 80%3 = 40%
Density (trees ha−1)2311434129069.9
Basal area (m2 ha−1)22.46.617.252.3
Canopy cover (%)110.519.161.571.8
C.V. = Coefficient of Variation.
Table 3. Weibull distribution results for the runoff variable.
Table 3. Weibull distribution results for the runoff variable.
Micro-CatchmentYearScale (λ)Shape (k)Pr > W-SqPr > A-Sq
120180.1180390.3794940.0380.045
120190.0218640.967542>0.250>0.250
220180.3332450.426552>0.250>0.250
220190.0399721.0657050.2490.243
320180.2186820.3796890.1650.163
320190.0535230.5074410.0510.039
Pr > W-Sq and Pr > A-Sq correspond to the p-values of the Cramér–von Mises and Anderson–Darling goodness-of-fit tests, respectively. Higher p-values indicate a better fit of the Weibull distribution to the data.
Table 4. Means, standard deviations, and ranges by year and canopy cover (pp and runoff).
Table 4. Means, standard deviations, and ranges by year and canopy cover (pp and runoff).
YearCcovnpp_meanpp_sdpp_minpp_maxr_meanr_sdr_minr_max
20181003324.0014.848590.731.410.0005.579
2019201420.799.0210380.040.030.0040.107
2019601420.799.0210380.140.420.0001.611
20191001420.799.0210380.020.020.0000.070
ccov: canopy cover level (%), n: number of precipitation and runoff events, pp_mean: mean precipitation per event (mm), pp_sd: standard deviation of precipitation per event (mm), pp_min/pp_max: minimum and maximum precipitation per event (mm), r_mean: mean runoff per event (mm), r_sd: standard deviation of runoff per event (mm), r_min/r_max: minimum and maximum runoff per event (mm). Note: Each row summarizes events within a year × canopy cover combination; both pp and runoff are in millimeters and calculated at the event level. Descriptive statistics include runoff = 0 when it occurred.
Table 5. Estimated coefficients and associated statistics for the evaluated hydrological models.
Table 5. Estimated coefficients and associated statistics for the evaluated hydrological models.
ModelParameterCoefficientStd ErrorConfidence Interval 95%Pr > |t|
M1β0−4.75590.6712−6.0934−3.4185<0.0001
β10.11410.023060.068140.16<0.0001
β2−2.43911.4076−5.24370.36560.0873
β30.068611.4292−2.77912.91630.9618
β4−2.18411.34−4.8540.48590.1074
β5−0.000430.05985−0.11970.11880.9943
β6−0.057820.0607−0.17880.063130.3439
β70.044050.05612−0.067760.15590.4349
logk−0.60930.09154−0.7917−0.4269<0.0001
M0β0−4.78830.5902−5.9642−3.6124<0.0001
β10.11490.019040.076940.1528<0.0001
β2−2.44320.6015−3.6417−1.24470.0001
β3−1.05490.6122−2.27480.16490.089
β4−1.2160.5977−2.4069−0.025050.0455
logk−0.62220.09085−0.8032−0.4412<0.0001
MYEARβ0−4.75590.6712−6.0934−3.4185<0.0001
βpp0.11410.023060.068140.16<0.0001
βy2−2.43911.4076−5.24370.36560.0873
β202.50771.786−1.0516.06630.1645
β600.2551.7166−3.16533.67530.8823
βy2pp−0.000430.05985−0.11970.11880.9943
β20pp−0.057390.07899−0.21480.10.4698
β60pp0.044480.07552−0.1060.1950.5576
logk−0.60930.09154−0.7917−0.4269<0.0001
Note: β terms denote estimated regression coefficients of the Weibull model. β0 is the intercept. βpp represents the effect of event-based precipitation (pp). β1β4 (models M1 and M0) correspond to canopy-cover group indicators (g2, g3, g4), while β20 and β60 (model MYEAR) represent canopy-cover treatments of 20% and 60%, respectively, with the 100% canopy cover used as the reference category. βy2 represents the year indicator (2019). Interaction terms (e.g., β5β7 in M1, and βy2pp, β20pp, β60pp in MYEAR) represent precipitation × indicator effects. Std Error denotes the standard error of the estimated coefficients. Pr > |t| corresponds to the p-value associated with the t-statistic testing the null hypothesis that the coefficient equals zero. logk is the logarithm of the Weibull shape parameter.
Table 6. Model comparison (−2LL, AIC, AICC, BIC).
Table 6. Model comparison (−2LL, AIC, AICC, BIC).
Model−2 Log LikAICAICCBIC
M0 (common pp slope)−291.3−279.3−278.1−265.5
M1 (pp × group)−293−275−272.2−254.3
MYEAR (pp × year and pp × canopy cover)−293−275−272.2−254.3
Note: pp slope denotes the estimated precipitation slope (βpp), representing the effect of event-based precipitation on runoff. −2LogLik corresponds to minus twice the log-likelihood of the fitted model and is used as a measure of model fit and for information-criteria comparisons.
Table 7. Contrasts vs. BASE (2018) in ratio scale (exp(coefficient)).
Table 7. Contrasts vs. BASE (2018) in ratio scale (exp(coefficient)).
Contrast (pp = Mean)Est_logSEDFtPr > |t|LI95logLS95logRatio
2019 100% vs. BASE−2.44320.601574−4.060.0001−3.6417−1.24470.0869
2019 20% vs. BASE−1.05490.612274−1.720.0890−2.27480.16490.3482
2019 60% vs. BASE−1.2160.597774−2.030.0455−2.4069−0.02510.2964
Est_log = estimated coefficient in log scale; SE = Standard Error; DF = Degrees of Freedom; t = t-statistic; Pr > |t| = p-value; LI95_log/LS95_log = 95% confidence interval limits in log scale; Ratio = exponentiated coefficient (multiplicative effect); LI95_R/LS95_R = 95% confidence interval limits for the ratio.
Table 8. Contrasts at fixed precipitation (Weibull log-link model, BASE = 2018).
Table 8. Contrasts at fixed precipitation (Weibull log-link model, BASE = 2018).
Contrast (pp Constant)Est. (log)RatioCI95% (Ratio)p-Value
Effect of pp (by unit)0.1151.1221.080–1.165<0.0001
2019 100% vs. BASE 2018−2.4430.0870.026–0.2880.0001
2019 60% vs. BASE 2018−1.2160.2960.090–0.9750.0455
2019 20% vs. BASE 2018−1.0550.3480.103–1.1790.089
BACI 2019 20% vs. 100%1.3884.0080.979–16.4120.0535
BACI 2019 60% vs. 100%1.2273.4120.836–13.9170.0861
Contrast (pp constant) = contrasts evaluated at fixed precipitation (pp at mean); Est. (log) = estimated coefficient in log scale; Ratio = exponentiated coefficient, representing the multiplicative effect in the original scale; CI95% (ratio) = 95% confidence interval for the ratio; p-value = measure of statistical significance.
Disclaimer/Publisher’s Note: The statements, opinions and data contained in all publications are solely those of the individual author(s) and contributor(s) and not of MDPI and/or the editor(s). MDPI and/or the editor(s) disclaim responsibility for any injury to people or property resulting from any ideas, methods, instructions or products referred to in the content.

Share and Cite

MDPI and ACS Style

Sosa-Pérez, G.; Rascón-Ramos, A.E.; Hermosillo-Rojas, D.E.; Pinedo Alvarez, A.; Santellano-Estrada, E.; Corrales-Lerma, R.; Rodríguez-Piñeros, S.; Martínez-Salvador, M. Surface Runoff Responses to Forest Thinning in Semi-Arid Oak–Pine Micro-Catchments of Northern Mexico. Hydrology 2026, 13, 27. https://doi.org/10.3390/hydrology13010027

AMA Style

Sosa-Pérez G, Rascón-Ramos AE, Hermosillo-Rojas DE, Pinedo Alvarez A, Santellano-Estrada E, Corrales-Lerma R, Rodríguez-Piñeros S, Martínez-Salvador M. Surface Runoff Responses to Forest Thinning in Semi-Arid Oak–Pine Micro-Catchments of Northern Mexico. Hydrology. 2026; 13(1):27. https://doi.org/10.3390/hydrology13010027

Chicago/Turabian Style

Sosa-Pérez, Gabriel, Argelia E. Rascón-Ramos, David E. Hermosillo-Rojas, Alfredo Pinedo Alvarez, Eduardo Santellano-Estrada, Raúl Corrales-Lerma, Sandra Rodríguez-Piñeros, and Martín Martínez-Salvador. 2026. "Surface Runoff Responses to Forest Thinning in Semi-Arid Oak–Pine Micro-Catchments of Northern Mexico" Hydrology 13, no. 1: 27. https://doi.org/10.3390/hydrology13010027

APA Style

Sosa-Pérez, G., Rascón-Ramos, A. E., Hermosillo-Rojas, D. E., Pinedo Alvarez, A., Santellano-Estrada, E., Corrales-Lerma, R., Rodríguez-Piñeros, S., & Martínez-Salvador, M. (2026). Surface Runoff Responses to Forest Thinning in Semi-Arid Oak–Pine Micro-Catchments of Northern Mexico. Hydrology, 13(1), 27. https://doi.org/10.3390/hydrology13010027

Note that from the first issue of 2016, this journal uses article numbers instead of page numbers. See further details here.

Article Metrics

Back to TopTop