Next Article in Journal
Experimental Determination of Forces and Hydrodynamic Coefficients on Vertical Cylinders Under Wave and Current Conditions
Previous Article in Journal
Hydraulic Design Optimization of a Multi-Stage Overtopping Wave Energy Converter Using WCSPH Methodology Under Site-Specific Wave Conditions
 
 
Font Type:
Arial Georgia Verdana
Font Size:
Aa Aa Aa
Line Spacing:
Column Width:
Background:
Article

Real-Time Acoustic Telemetry Buoys as Tools for Nearshore Monitoring and Management

Department of Biological Sciences, California State University Long Beach, 1250 Bellflower Blvd, Long Beach, CA 90840, USA
*
Author to whom correspondence should be addressed.
J. Mar. Sci. Eng. 2026, 14(2), 128; https://doi.org/10.3390/jmse14020128
Submission received: 15 December 2025 / Revised: 1 January 2026 / Accepted: 7 January 2026 / Published: 8 January 2026
(This article belongs to the Section Physical Oceanography)

Abstract

Acoustic telemetry monitoring for tagged sharks in nearshore waters has become an important tool for beach safety management; however, detection performance can vary widely in shallow, high-energy nearshore environments where management decisions are often most time-sensitive. Real-time acoustic telemetry buoys offer the potential to deliver live detections and system diagnostics, but their performance relative to autonomous bottom-mounted receivers remains poorly evaluated under realistic coastal conditions. We compared the detection efficiency of real-time buoy-mounted acoustic receivers and autonomous bottom-mounted receivers across five nearshore sites in southern California. Using paired long-term reference tag deployments and short-term range tests, we quantified detection probability, effective detection range, and the influence of environmental conditions and receiver placement. Detection performance was evaluated in relation to wind speed, water temperature, receiver tilt, and signal-to-noise ratio. Both buoy-mounted and bottom-mounted receivers maintained high long-term detection efficiency, recovering 77–99% of expected transmissions at 82–250 m. Range tests indicated greater effective detection distances for buoy-mounted receivers, with 50% detection probabilities occurring at approximately 471 m compared to 282 m for bottom-mounted receivers. Receiver placement strongly influenced performance, with surface-mounted receivers outperforming bottom-mounted units regardless of receiver model. Environmental effects on detections were site-specific and variable. Detection probability varied predictably with environmental conditions. Higher SNR increased detection success, particularly for bottom/substrate mounted receivers, while warm water significantly reduced detection probability across placement configuration. These results demonstrate that real-time acoustic telemetry buoys provide reliable detection performance in dynamic nearshore environments while offering key operational advantages, including immediate data access and system diagnostics. The observed relationships demonstrate that receiver performance is dynamic rather than fixed, and that real-time buoy systems therefore represent a practical tool for coastal monitoring programs that require timely information to support adaptive management, public safety, and conservation decision making.

1. Introduction

Acoustic telemetry has become a core component of marine wildlife research, enabling long-term passive monitoring of animal movements, from individual to population level, across diverse habitats. The use of acoustic telemetry as a research tool has become so widespread that vast collaborative data-networks have arisen which connect researchers, standardize datasets, and facilitate tracking of tagged animals across geographic and institutional boundaries beyond the physical and financial limits of individual research entities [1,2,3,4]. In addition, this technology is now used for monitoring tagged shark activity off public beaches in eastern Australia, California, Maine and Massachusetts, providing water safety personnel with information about shark activity off beaches that may impact human water user safety.
Despite its widespread adoption as a research and monitoring tool, the efficacy of acoustic telemetry studies may vary greatly both spatially and temporally, as detection probability and tag detectability are significantly affected by environmental dynamics [5]. Factors such as wind, wave action, topography/bathymetry, biological noise, water chemistry and anthropogenic noise may all have deleterious effects upon detection performance [6,7,8]. Understanding the environmental dynamics of a study system/habitat or monitored area is therefore critical to effective study design and the placement of receivers and receiver arrays [8,9], including the position of the receiver in the water column (i.e., whether it is surface-mounted or bottom-mounted).
Traditional study designs incorporating acoustic receivers in marine settings have historically been configured as standalone, battery-powered devices fixed to the seafloor. Although relatively durable with low maintenance needs, these analog systems require manual retrieval for data downloads, often at significant logistical and financial cost [10]. Newer digital receivers allow greater onboard signal processing but still share the limitation of requiring in-person data access for data retrieval [10]. Recent advances in cabled and buoy-based systems provide opportunities to overcome these barriers by offering “live” data streams [11,12]. Real-time buoys with acoustic receivers positioned near the surface operate within a markedly different acoustic environment than bottom-mounted receivers. Breaking waves introduce large quantities of entrained air bubbles that generate high-intensity broadband noise (~1–80 kHz) and scatter acoustic energy, directly overlapping with the frequencies used by most commonly employed acoustic transmitters in animal telemetry studies [13]. Bubble layers not only increase background noise but also attenuate signal propagation, which have been experimentally shown to reduce acoustic transmission across broad frequency ranges [14]. At the same time, flow-induced turbulence around mooring lines and hydrophone housings produces high-frequency noise (>60 kHz), further degrading the signal-to-noise ratio required for successful detection [15]. Unlike bottom-mounted receivers that remain comparatively acoustically sheltered beneath the wave-mixed layer, surface-mounted real-time systems must continuously operate within this highly dynamic noise environment. These conditions highlight the need to empirically evaluate buoy-mounted receiver performance rather than assuming equivalency with traditionally configured submerged receivers. However, there is a lack of empirically quantified comparative performance data for buoy-mounted (live-streaming) receivers vs. traditional configurations, leaving a key gap in evaluating whether live-data platforms can reliably support nearshore management decisions.
Real-time acoustic telemetry offers several advantages over autonomous receiver deployments. Continuous data transmission enables immediate assessment of tagged animal presence or absence, allowing rapid responses to ecological or management needs. Real-time systems can also transmit diagnostic system information (e.g., tilt angle, temperature, battery status), which can be used to inform preventative maintenance, increase overall system efficiency and minimize downtime. Integrated buoy platforms can greatly reduce the logistical overhead associated with receiver deployment and maintenance. This reduced overhead enables the platform to be easily relocated to respond to dynamically changing conditions. Such platforms function as multi-sensor monitoring hubs, simultaneously collecting environmental data in concert with acoustic detection data. Methodologies for quantifying environmental states from long-term monitoring data [16], the simultaneous prediction of physical properties using advanced algorithms [17,18], and the comprehensive development of nodal technology for field acquisition [19] illustrate the growing sophistication of these systems. Together, these features present opportunities for integrated, adaptive coastal monitoring that is both cost-effective and operationally flexible.
Interpretation of these long-term, multi-sensor datasets requires quantitative approaches capable of separating true environmental or biological signals from noise that is introduced by sensor dynamics and environmental variability. For example, Li et al. (2025) [16] demonstrated that long-term datasets characterized by substantial environmental noise and temporal variability can be used to quantify subsurface moisture states by integrating physical constraints with statistical modeling approaches. This work illustrates how sustained sensor deployments can yield management-relevant environmental information when long-term data are analyzed within an environmental and physical context, a challenge that parallels interpreting acoustic detection variability in dynamic environments. In geophysical sciences, models have been developed to examine how acoustic signals change as they move through more complex, variable environments, explicitly accounting for how environmental structure influences signal transmission [17]. These principles are directly relevant to shallow nearshore telemetry, where bathymetry, substrate type, and water column structure can strongly influence acoustic signal attenuation and detection probability.
The performance of real-time acoustic telemetry buoys has not been rigorously compared to conventional stand-alone receivers under the shallow, dynamic, high-energy conditions typical of nearshore environments, making it difficult to assess the efficacy of buoy-deployed receivers. For example, real-time acoustic receiver buoys have been deployed along beaches off the southern California coastline (within 200 m of the shoreline and in less than 15 m of water) to monitor tagged white shark activity, providing lifeguards with near real-time detection data. Previously, only autonomous receivers were used, and lifeguards received detection data on a monthly basis. However, it remained uncertain whether surface-based receivers performed as well as seafloor-anchored autonomous receivers. In this study, we deployed paired real-time buoy digital receivers and autonomous Innovasea VR2 acoustic receivers across multiple coastal sites in Southern California to evaluate both acoustic performance and operational value—the capacity for real-time acoustic buoy systems to provide detection information at management-relevant latency. This represents an important step forward from prior range-testing studies, which have focused largely on physical detectability rather than response-ready telemetry streaming. We used both long-term monitoring of reference transmitters and short-term range tests to evaluate the detection efficiency of buoy-mounted versus bottom-mounted receivers, while also examining how environmental conditions and mooring design influenced performance. By directly comparing receiver placement configurations under realistic deployment conditions, we gained new insights into the potential for real-time acoustic telemetry systems to enhance shallow-water monitoring efforts.

2. Materials and Methods

To compare performance of conventionally placed acoustic receivers to those hosted on real-time receiver buoys, we attached VR2W or VR2AR receivers (Innovasea, Halifax, NS, Canada) to the mooring line anchoring the real-time receiver buoy (Figure 1). The real-time receiver buoy system integrates a Nexsens CB-150 Data Buoy (Nexsens Technology Inc., Fairborn, OH, USA) outfitted with a GPS receiver, LTE M1 cellular modem, WiFi and Bluetooth radios, solar panel monitoring and battery charging circuitry and an Innovasea VRXM acoustic receiver (Innovasea, Halifax, NS, Canada). The AquaHub data aggregation and processing hub inside of the buoy (also by Innovasea) provides 12VDC power, and a bi-directional communications channel to the VRXM receiver. These detection and diagnostic data from the VRXM are combined with system diagnostics and buoy health data collected by the AquaHub. The embedded cellular modem transmits these data to servers hosted by Amazon Web Services (AWS, Seattle, WA, USA). Custom software designed by Innovasea (Fathom Software version 2.4.0) processes the data, and eventually presents it in near real-time via a web portal (live.fathomcentral.com). By contrast, Innovasea VR2 series receivers are battery powered, completely stand-alone and utilize Bluetooth for device initialization and data offload Both receiver types decode 69 kHz transmissions from Innovasea acoustic tags.
Real-time buoys and VR2 receivers were deployed in five locations as part of a juvenile white shark monitoring study in shallow, nearshore habitats. Receivers were deployed in less than 10 m of water and less than 775 m from shore. Habitat types were generally similar among study locations where the substrate was a sandy-bottom and relief was primarily flat. The locations in this study were: Santa Barbara, Carpinteria, Long Beach, Huntington Beach, and San Clemente (Figure 2).
Tests used to evaluate receiver performance were a combination of long-term monitoring of reference tags or short-term range tests. The long-term test configuration consisted of a VR2/real-time buoy moored 82–250 m away from a moored sync tag (V16-5x-069k-1, 162 dB). Each sync tag transmitted once per 540 to 660 s, with a random delay to reduce transmission collisions with other transmitters. On average, each transmitter was expected to transmit once per 600 s, or 144 times per 24 h. Simultaneous deployment of both the VR2 and real-time buoy was sporadic due to non-overlapping maintenance schedules. For this analysis, only data where both devices were concurrently deployed are presented.
The real-time system records “diagnostic” data including AquaHub and receiver tilt angle, hub and receiver temperature, battery voltage, etc. We used tilt angle and temperature to assess whether these factors were correlated with detection performance. We obtained wind speed data for each site and study period from the NOAA/NCEP Global Forecast System (GFS) Atmospheric Model integrating it into our data model as an additional factor that may affect performance. (https://coastwatch.pfeg.noaa.gov/erddap/griddap/NCEP_Global_Best.html, accessed on 10 December 2020).
We calculated the sum of daily detections per transmitter decoded by each receiver. The daily detection counts and the number of expected transmissions were used to calculate the proportion of successful detections (detection probability). Daily detection efficiency is presented over time by site (Figure 3A), by site for the duration of the study (Figure 3B). Mean detections per day as a function of distance from the transmitter are presented (Figure 4), along with mean daily detections correlated with environmental factors by site (Figure 5). Because the VRXM (real-time receiver) calculates records signal to noise ratio we present data showing daily detections and the mean signal to noise ratio per day (Figure 6).
For short-term tests, we used an Innovasea VR100-300 Deckbox multipurpose acoustic receiver (Innovasea, Halifax, NS, Canada) with an omni-directional hydrophone to record time, position, and signal strength of transmissions of a range test tag (V13-1x-069k-3, low power, 147 dB) that was attached to a line adjacent to the hydrophone. The hydrophone/range test tag system was placed in the water and towed at <3 knots (engine engaged, minimum throttle) toward the VR2 and VRXM. After synchronizing the clocks in both devices during post processing, we determined which transmissions were detected by each receiver and where the transmitter was in reference to the receivers for each transmission (Figure 7). It is possible that engine noise and turbulence created through movement could serve to increase signal attenuation. However, we considered any associated effects on comparative receiver performance to be negligible, due the fact that both receivers were positioned at the same coordinates at the same time (but different locations in the vertical plane). Thus, realized performance differences were likely due to configuration differences rather than noise or interference.
Detections from deployed sync tags recorded from 14 May 2020 to 8 December 2020 were studied. Sync transmissions from tags that were as part of the same juvenile white shark monitoring study were either transmitters integrated into VR2Tx receivers (set to “low” power, 142 dB) or a V16 sync tag (V16-5x-069k-1, 162 dB). All sync tags transmitted on average the expected 144 times per day. We compared the number of detections of sync tags decoded by each receiver (VR2W or VRXM) located on the real-time buoy mooring (Supplemental Figure S1).
To determine whether differences in performance were due to position in the water column or receiver model, a VR2W receiver was mounted to the frame of the real-time buoy and a companion VR2W was deployed near the bottom. We compared detections of an Innovasea V16 reference tag among the three receivers (Supplemental Figure S2; VR2W bottom, VR2W shallow, and VRXM shallow).
To evaluate how environmental conditions influenced acoustic detection performance, we modeled daily detection probability for reference tags deployed at each site comparing performance of receivers according to placement (surface mounted vs. bottom/substrate mounted). For each site and day, we quantified success as the number of tag transmissions detected, and trials as the expected number of transmissions per day (assuming 60 s nominal ping interval; 1440 transmissions day−1). Detection probability was therefore expressed as a binomial outcome (success, trials–success).
Environmental covariates considered were: Signal-to-noise ratio (SNR), wind speed (m s−1) and water temperature (°C). We included receiver type (real-time buoy vs. fixed VR2—a proxy for receiver placement) as a fixed effect, allowing interaction terms with environmental predictors to test whether conditions influenced receiver placement differently. Receiver site was included as a random effect to account for spatial variation in environmental exposure and propagation conditions. Models were fit using generalized linear mixed-effects models (GLMMs) with binomial error and logit link using lme4 (R statistical environment). All continuous predictors were standardized (mean-centered, scaled by SD) to facilitate coefficient interpretation and model convergence. Competing model structures were compared via AIC and likelihood-ratio tests. The final model retained three two-way interaction terms:
D e t e c t i o n   p r o b a b i l i t y r e c e i v e r   t y p e × ( S N R + w i n d   s p e e d + t e m p e r a t u r e ) + ( 1 s i t e )
Prediction curves and confidence intervals were generated using bootstrap simulation across observed ranges of each covariate, holding other variables at their mean value.

3. Results

The number of transmissions received and decoded by each receiver varied greatly depending on location, mooring configuration, environmental conditions, and distance between the reference tag and receivers. The distance between the transmitter and receivers ranged from 82 to 250 m. Among these, we observed detection proportions (detections received/detections expected × 100) ranging from 77% to 99% (Table 1). Most receiver deployments were similar in the number of detections per day (standard deviation ≤ 13.76) except at San Clemente where detections after June 1 on the VR2W ranged from 6 to 116. Except for San Clemente, detections per day declined as distance between the transmitter and receivers increased. Receiver performance was best at Santa Barbara (132 m between transmitter and receivers; 98% detections on VRXM and 97% on VR2W) and Huntington Beach (162 m between transmitter and receivers; 99% detections on VRXM and 99% on VR2W).
Environmental conditions were not consistently correlated with daily detections among receivers or locations (Supplemental Tables S1–S3). Water temperature was significantly negatively correlated with daily VRXM detections at Long Beach (r = −0.386, p < 0.001), San Clemente (r = −0.488, p < 0.001), and Carpinteria (r = −0.283, p < 0.001) and significantly negatively correlated with daily VR2 detections at San Clemente (r = −0.594, p < 0.001), and Carpinteria (r = −0.334, p < 0.001). Tilt angle of the VRXM was significantly negatively correlated with VR2W detections at San Clemente (r = −0.254, p < 0.001). Windspeed was significantly positively correlated with daily detections at Carpinteria on the VRXM (r = 0.164, p = 0.048) and VR2W (r = 0.192, p = 0.020).
Signal to noise ratios are recorded by VRXM receivers but not VR2W receivers (Supplemental Table S4). Among VRXMs, the signal to noise ratio was significantly positively correlated with daily detections at Huntington Beach (r = 0.730, p < 0.001), San Clemente (r = 0.625, p < 0.001), and negatively correlated at Carpinteria (r = −0.0262, p < 0.001). The dynamic range test (Figure 7) indicated that the maximum range of the VRXM (deployed on buoy frame at the surface) was 736 m with 50% detection probability at 471 m whereas the maximum range of the VR2AR (deployed on bottom) was 470 m with 50% detection probability at 282 m. Static range test indicated no significant difference between receivers deployed in Carpinteria (paired Wilcoxon, V = 9, p = 0.686). Both the VRXM and VR2W detected tags up to 712 m at a rate of 1.3% and 4.9% of expected transmissions, respectively (Supplemental Figure S1). At 211 m, the VRXM and VR2W detected tags at a rate of 86.3% and 81.0% of expected transmissions, respectively.
We compared detection performance among three receivers mounted on the same mooring: a VR2W at the bottom, a VR2W mounted on the buoy frame, and a VRXM on the buoy frame. There was no significant difference between surface mounted receivers (Supplemental Figure S2; Wilcoxon: VRXM surface vs. VR2W surface V = 40, p = 0.201). There was, however, a significant difference between surface vs. bottom mounted receivers regardless of receiver model Supplemental Figure S2; VR2W bottom vs. VR2W surface V = 45, p = 0.008; VRXM surface vs. VR2W bottom V = 0, p = 0.005).
Receiver placement, environmental conditions, and several interaction terms were significant predictors of acoustic detection probability (Table 2). Overall detection probability decreased strongly with increasing water temperature (β_temp = −0.047 ± 0.007 SE, p < 0.001), corresponding to a marked reduction from ~14–25 °C. SNR alone had little net effect on buoy-mounted receiver performance (β_SNR ≈ 0, p = 0.75), while traditionally configured VR2 receiver detection probability increased substantially with increasing SNR (receiver × SNR interaction β = 0.084 ± 0.020, p < 0.001). Wind speed exhibited a weak positive trend (β = 0.010 ± 0.006, p = 0.075), but the wind interaction term was non-significant (p = 0.35).
Receiver placement effects were thus evident: buoy-mounted receivers had higher baseline detection success under average conditions, whereas VR2 receivers showed greater sensitivity to improvements in local environmental noise. However, modeled buoy efficiency deteriorated more rapidly with warming, as indicated by the significant receiver × temperature interaction (β_VR2 × temp = 0.040 ± 0.010, p < 0.001 (Figure 8)). Model comparison demonstrated that including interaction terms greatly improved explanatory power (ΔAIC = 27.0; χ23 = 32.98; p < 0.001). Together these results show that SNR governs performance mainly for bottom-mounted VR2 receivers, whereas temperature may be a stronger limiting factor for buoys, highlighting distinct environmental operating envelopes for that may be critical considerations in design of receiver mooring installations. It should also be noted that in these models, site or location was considered a random effect, thus these modeled trends are generalized, and do not account for site specific variability.

4. Discussion

Our results demonstrate that real-time buoy-mounted receivers performed as well as, and in some cases exceeded the performance of autonomous seafloor-mounted receivers in shallow, dynamic-energy nearshore habitats. Detection efficiency of reference tags was consistently high (>77%) across most sites, with both receiver types achieving high detection performance at intermediate distances (132–162 m). Comparable efficiencies have been reported elsewhere [9], while effective detection distances in our study (~300 m) also align with effective detection ranges commonly observed in acoustic telemetry research (200 m to ~1000 m) depending on local environment and conditions [5,20]. These findings reinforce previously reported conclusions that local deployment design and receiver mooring configuration can be as important as the receiver model itself.
Our dynamic range tests further revealed that buoy-mounted receivers displayed detection capabilities over greater distances than seafloor-mounted receivers. The VRXM buoy achieved maximum ranges of over 700 m, compared to less than 500 m for conventional VR2 units. Notably, there was also an order of magnitude difference in the distance at which 50% detection probabilities occurred (300 m for the VRXM buoy versus 30 m for the VR2 units). These findings challenge the common perception that surface-mounted receivers are inherently less effective due to exposure to surface noise and wave energy. Further, these findings echo prior work showing that detection ranges and efficiency are strongly influenced by receiver orientation and deployment depth [21].
It was noted environmental factors influenced receiver performance, but correlations were inconsistent across sites. In our study, temperature was negatively associated with detections at multiple locations, while tilt angle and wind speed showed site-specific relationships. This is consistent with previous studies demonstrating that wind speed, wave action, noise, and thermoclines can significantly modulate detection efficiency in telemetry arrays [20,22,23]. Edwards et al. (2024) [24] reported that detection probabilities vary substantially in response to wind, tilt, and temperature, with median detection distances ranging from ~123 to 311 m depending on transmitter power and local environmental conditions. The positive correlation we observed between signal-to-noise ratio and daily detections at some sites highlights the diagnostic value of buoy-mounted systems, which provide performance metrics not available from autonomous receivers. Such diagnostics have the potential to guide adaptive maintenance and improve long-term array performance, aligning with broader calls for incorporating system monitoring into array design [9].
Previous studies have demonstrated that acoustic signal strength and detectability are strongly shaped by surrounding environmental conditions and variability, particularly in heterogeneous or noisy settings, emphasizing that the performance cannot be interpreted independently of local physical conditions [18]. Environmental variability therefore plays a critical role in shaping the performance of acoustic telemetry infrastructure. In our study, the site-specific and sometimes inconsistent relationships between detections, temperature, wind, and receiver tilt likely reflect similar interactions between environmental variability and signal transmission, rather than systematic differences between receiver placement. Increasing temperature in our models had a pronounced effect of reduced detection probability, particularly for buoy-mounted receivers, suggesting that near-surface real-time systems may experience diminished performance during warm stratified periods typical of summer, marine heatwaves, or shallow harbors. However, this was not observed in our recorded data across all sites (Figure 5); our models did not consider water column temperature stratification (i.e., thermoclines), which likely explains differences seen in receiver performance with respect to temperature at different locations. Since dramatic water column differences in water density resulting from thermo or haloclines can impede sound transmission via refraction, transmitters near the seafloor would have reduced detection efficiencies with surface-oriented receivers (e.g., [21]). Conversely, seafloor mounted VR2 receivers were less temperature-limited (likely experienced less temperature variation) but benefited strongly from high SNR, implying that deployment in acoustically quiet habitats (e.g., offshore sandy bottoms or deeper water) maximizes reception efficiency for bottom-set receivers. Practically, these observations support predictive performance-based planning: by modeling expected detection probability as a function of temperature, wind, and SNR, managers can forecast periods of reduced data yield, schedule maintenance or data pulls strategically, and optimize trade-offs between coverage and cost. This approach can be generalized across acoustic monitoring efforts, fisheries acoustic networks, and marine animal telemetry globally.
Receiver mooring design also emerged as an important determinant of performance. For example, at the San Clemente deployment, excessive chain length near the seafloor reduced receiver stability, resulting in a marked decline in detection efficiency compared to other sites. Comparisons among receivers mounted at different depths on the same buoy further confirmed that seafloor-mounted VR2s underperformed relative to those affixed to the buoy frame. This sensitivity to receiver placement and orientation has been documented previously [21], our research corroborates the importance of careful mooring design and configuration.
These findings have important implications for both research and management. This study is the first of its kind to compare the difference between a surface-buoyed receiver and a sea floor mounted receiver to determine differences in acoustic signal detection performance. Surface-associated receivers were previously thought to have inherently inferior performance due to environmental variables increasing the signal-to-noise ratio past acceptable limits. While limited to Southern California as a study site, this study shows that nearshore, surface-buoyed receivers have a high capacity to perform across a wide range of environmental conditions and even outperform traditional sea-floor mounted receiver mooring configurations under variable conditions. Thus, surface-buoyed receivers present greater data acquisition and flexibility in deployment location considerations without sacrificing efficacy.
Buoy-mounted real-time receivers can provide comparable detection performance to autonomous VR2 deployments under certain conditions, along with the added benefits of live data streaming, integrated environmental diagnostics, and reduced servicing requirements. The ability to access telemetry data in real time reduces the lag between data collection and interpretation, likelihood of losing data resulting from lost or disabled VR2 receivers, and enabling managers and researchers to respond rapidly to ecological events—such as the arrival of tagged species in nearshore habitats. This capability is particularly valuable in dynamic environments where animal movement and human activity intersect, such as coastal fisheries or popular recreational beaches. Additionally, our results underscore the importance of optimizing mooring configurations to maximize receiver efficiency at each deployment, with design considerations tailored to site-specific conditions. Because environmental drivers such as wave exposure, depth, and substrate stability vary among sites, no single mooring configuration is universally optimal. Instead, system performance depends on flexible deployment strategies that accommodate local conditions, consistent with studies showing that both environmental drivers and receiver configuration play key roles in shaping detection outcomes (e.g., [9,21,24]).
Beyond detection performance, our findings also underscore the broader practical advantages associated with deploying real-time buoy systems in coastal telemetry networks. Because real-time buoys transmit live data, they can be readily integrated with other autonomous observing infrastructures. Recent work has shown that real-time biological or environmental cues can be used to autonomously trigger glider missions, targeted sensor activation, or adaptive ocean sampling [25,26]. Autonomous platforms equipped with passive acoustic receivers have already been used to track telemetered animals in near real time [27,28,29,30]. Integrating detections from buoy platforms into these adaptive frameworks could allow real-time buoys to function not only as static detection nodes but also as command hubs that initiate additional sampling and/or actions when behavioral or environmental thresholds are met.
Real-time buoys may provide useful information for managing human–shark interactions in regions where white sharks and other large predators overlap with recreational beaches. In several jurisdictions, including California and Australia, near-real-time monitoring networks have been piloted to deliver live shark detection alerts to lifeguards and resource managers [31,32]. These systems are actively being used to inform beach advisories, direct targeted aerial surveys, and guide public safety responses while minimizing harm to beachgoers as well as to protected shark populations. Incorporating real-time buoys into such programs may enhance spatial coverage and provide more reliable detection of tagged individuals in dynamic near-shore environments. The conventional deployment of VR2 receivers along southern California beaches to monitor for tagged white sharks only provided lifeguards with movement data monthly and was far more costly to maintain at that data acquisition rate. The subsequent implementation of this buoy system network, along with customized software, was in response to lifeguard needs for acoustic detection data in real-time, providing them with a tool for better evaluation of shark activity and behavior off public beaches. Rather than an “early warning” system used to immediately remove people from the water when tagged sharks are detected, lifeguards track and monitor shark activity, along with other tools such as UAV aerial surveillance to determine whether a beach should be closed. This study also reinforces confidence in the real time buoy receivers providing comparable detection data to that of historically deployed seafloor mounted VR2 receivers that are often adjacently positioned along beaches. These real time data have helped lifeguards confidently reduce beach closures as a result of shark presence, saving coastal communities millions of dollars in unnecessary lost revenue.
In fisheries applications, real-time telemetry has the potential to support dynamic spatial management. Acoustic detections have been proposed as a means of informing time-sensitive closures or bycatch avoidance measures when tagged animals cross predefined spatial boundaries [33,34]. For species that aggregate seasonally or exhibit predictable migratory patterns, buoy-based real-time alerts could allow managers to act proactively rather than relying on retrospective catch or survey data. This shift toward near-real-time management aligns with broader efforts to implement dynamic ocean management tools across global fisheries [35].
Real-time buoys also provide new opportunities for evaluating and enforcing marine protected area (MPA) boundaries. Acoustic telemetry has been widely used to quantify movement across no-take zones and to evaluate reserve effectiveness [36,37]. Coupling real-time detection data with environmental diagnostics (e.g., temperature, oxygen, currents) would allow managers to determine whether boundary crossings reflect ecological responses to environmental cues. Deploying real-time buoys along MPA perimeters could therefore strengthen both compliance monitoring and ecological interpretation of protected area boundaries.
Finally, because buoy systems can incorporate environmental sensors, they are well suited for monitoring climate-driven extreme events—such as marine heatwaves, storms, or hypoxic intrusions—and linking these events with concurrent changes in animal detections. Autonomous moored platforms and integrated observing systems have already demonstrated the value of near real-time sensor networks for tracking rapid environmental anomalies and associated biological responses, for example in harmful algal bloom surveillance and adaptive sampling frameworks [38,39,40]. Telemetry studies have similarly demonstrated that many species respond rapidly to abrupt temperature changes, oxygen declines, or storm events [41,42,43,44]. Integrating environmental and biological data in real time would allow researchers to identify early-warning indicators of animal displacement or mortality and to deploy additional mobile platforms (e.g., gliders, AUVs, UAVs) when anomalous conditions arise. Such capabilities highlight the potential utility of real-time buoy systems as adaptive sampling hubs capable of capturing transient ecological phenomena that are often missed by retrospective sampling designs.
Together, these expanded capabilities suggest that real-time acoustic buoys could be versatile tools for both ecological research and applied coastal management, particularly in dynamic shallow-water environments where human use, environmental variability, and animal movement intersect.

Supplementary Materials

The following supporting information can be downloaded at: https://www.mdpi.com/article/10.3390/jmse14020128/s1, Figure S1: Range test using sync tags built into VR2Tx receivers and V16 reference sync tag; Figure S2: Detections per day for surface vs. bottom mounted receivers; Table S1 Correlations between water temperature and daily detections; Table S2: Correlations between receiver tilt and daily detections; Table S3: Correlations between wind speed and daily detections; Table S4 Correlations between signal-to-noise ratio and daily detections (buoy-mounted receivers only).

Author Contributions

Conceptualization, B.S.S., C.G.L., J.M.A. and E.A.S.; formal analysis, B.S.S. and J.M.A.; resources, P.T.R., A.M.J., Z.S.M. and D.G.; data curation, E.A.S. and D.G.; writing—original draft preparation, J.M.A.; writing—review and editing, J.M.A., P.T.R., E.A.S., B.S.S., A.M.J., D.G. and C.G.L.; visualization, J.M.A.; supervision, C.G.L.; project administration, C.G.L.; funding acquisition, C.G.L. All authors have read and agreed to the published version of the manuscript.

Funding

This research was funded by the State of California to the Department of Shark Beach Safety at California State University Long Beach and NOAA-Southern California Coastal Ocean Observing System grant (NA24NOSX012C0029-T1-01, 707037).

Data Availability Statement

The raw data supporting the conclusions of this article will be made available by the authors on request.

Acknowledgments

The authors would like to acknowledge the help and support of the cities of Santa Barbara, Carpinteria, Long Beach, Huntington Beach and San Clemente, and their respective beach safety departments in deploying and maintaining live buoys before, during and after the study. The authors would also like to acknowledge logistical support from Steve McCullough and Dan Stetson for the same. Finally, we thank all Shark Lab students, staff and volunteers for their contributions toward the research.

Conflicts of Interest

The authors declare no conflicts of interest. The funders had no role in the design of the study; in the collection, analyses, or interpretation of data; in the writing of the manuscript; or in the decision to publish the results.

Abbreviations

The following abbreviations are used in this manuscript:
SNRSignal to noise ratio

References

  1. Matley, J.K.; Klinard, N.V.; Barbosa Martins, A.P.; Aarestrup, K.; Aspillaga, E.; Cooke, S.J.; Cowley, P.D.; Heupel, M.R.; Lowe, C.G.; Lowerre-Barbieri, S.K.; et al. Global Trends in Aquatic Animal Tracking with Acoustic Telemetry. Trends Ecol. Evol. 2022, 37, 79–94. [Google Scholar] [CrossRef] [PubMed]
  2. Matley, J.K.; Klinard, N.V.; Martins, A.B.; Oakley-Cogan, A.; Huveneers, C.; Vandergoot, C.S.; Fisk, A.T. TrackdAT, an Acoustic Telemetry Metadata Dataset to Support Aquatic Animal Tracking Research. Sci. Data 2024, 11, 143. [Google Scholar] [CrossRef]
  3. Barnett, A.; Jaine, F.R.A.; Bierwagen, S.L.; Lubitz, N.; Abrantes, K.; Heupel, M.R.; Harcourt, R.; Huveneers, C.; Dwyer, R.G.; Udyawer, V.; et al. From Little Things Big Things Grow: Enhancement of an Acoustic Telemetry Network to Monitor Broad-Scale Movements of Marine Species along Australia’s East Coast. Mov. Ecol. 2024, 12, 31. [Google Scholar] [CrossRef]
  4. Abecasis, D.; Steckenreuter, A.; Reubens, J.; Aarestrup, K.; Alós, J.; Badalamenti, F.; Bajona, L.; Boylan, P.; Deneudt, K.; Greenberg, L.; et al. A Review of Acoustic Telemetry in Europe and the Need for a Regional Aquatic Telemetry Network. Anim. Biotelem. 2018, 6, 12. [Google Scholar] [CrossRef]
  5. Long, M.; Jordaan, A.; Castro-Santos, T. Environmental Factors Influencing Detection Efficiency of an Acoustic Telemetry Array and Consequences for Data Interpretation. Anim. Biotelem. 2023, 11, 18. [Google Scholar] [CrossRef]
  6. Kanno, S.; Heupel, M.R.; Hoel, K.; Schlaff, A.; Siddiqi, A.; Simpfendorfer, C.A. Performance and Detection Range of Acoustic Receivers in Mangrove Habitats. J. Fish Biol. 2025, 106, 1540–1553. [Google Scholar] [CrossRef]
  7. Shipley, O.N.; Nicoll, A.; Cerrato, R.M.; Dunton, K.J.; Peterson, B.J.; Sclafani, M.; Bangley, C.; Balazik, M.T.; Breece, M.; Cahill, B.V.; et al. Performance of a Fine-Scale Acoustic Positioning System for Monitoring Temperate Fish Behavior in Relation to Offshore Marine Developments. Anim. Biotelem. 2024, 12, 36. [Google Scholar] [CrossRef]
  8. Scherrer, S.R.; Rideout, B.P.; Giorli, G.; Nosal, E.M.; Weng, K.C. Depth- and Range-Dependent Variation in the Performance of Aquatic Telemetry Systems: Understanding and Predicting the Susceptibility of Acoustic Tag-Receiver Pairs to Close Proximity Detection Interference. PeerJ 2018, 2018, e4249. [Google Scholar] [CrossRef] [PubMed]
  9. Kessel, S.T.; Cooke, S.J.; Heupel, M.R.; Hussey, N.E.; Simpfendorfer, C.A.; Vagle, S.; Fisk, A.T. A Review of Detection Range Testing in Aquatic Passive Acoustic Telemetry Studies. Rev. Fish Biol. Fish. 2014, 24, 199–218. [Google Scholar] [CrossRef]
  10. Manicacci, F.M.; Mourier, J.; Babatounde, C.; Garcia, J.; Broutta, M.; Gualtieri, J.S.; Aiello, A. A Wireless Autonomous Real-Time Underwater Acoustic Positioning System. Sensors 2022, 22, 8208. [Google Scholar] [CrossRef]
  11. Yang, Y.; Martinez, J.J.; Lu, J.; Hou, H.; Deng, Z.D. Design and Implementation of a Real-Time Underwater Acoustic Telemetry System for Fish Behavior Study and Environmental Sensing. In Oceans 2019 MTS/IEEE Seattle; IEEE: New York, NY, USA, 2019. [Google Scholar] [CrossRef]
  12. Hassan, W.; Føre, M.; Ulvund, J.B.; Alfredsen, J.A. Internet of Fish: Integration of Acoustic Telemetry with LPWAN for Efficient Real-Time Monitoring of Fish in Marine Farms. Comput. Electron. Agric. 2019, 163, 104850. [Google Scholar] [CrossRef]
  13. Longuet-Higgins, M.S. Bubble Noise Mechanisms—A Review. In Natural Physical Sources of Underwater Sound; Kerman, B.R., Ed.; Springer: Dordrecht, The Netherlands, 1993. [Google Scholar] [CrossRef]
  14. Hilo, A.K.; Hong, J.W.; Kim, K.S.; Ahn, B.; Lee, J.; Shin, S.; Moon, I. Study of an air bubble curtain along a wall in water and radiated noise mitigation. Phys. Fluids 2022, 34, 117115. [Google Scholar] [CrossRef]
  15. Hildebrand, J. Anthropogenic and natural sources of ambient noise in the ocean. Mar. Ecol. Prog. Ser. 2009, 395, 5–20. [Google Scholar] [CrossRef]
  16. Li, R.; Prozzi, J.A.; Hong, F. Quantification of Post-Rainfall Moisture Content in Pavement Unbound Layers Using Long-Term Pavement Performance Data. Transp. Res. Rec. J. Transp. Res. Board 2025, 03611981251380276. [Google Scholar] [CrossRef]
  17. Zhan, W.; Chen, Y.; Liu, Q.; Li, J.; Sacchi, M.D.; Zhuang, M.; Liu, Q.H. Simultaneous Prediction of Petrophysical Properties and Formation Layered Thickness from Acoustic Logging Data Using a Modular Cascading Residual Neural Network (MCARNN) with Physical Constraints. J. Appl. Geophys. 2024, 224, 105362. [Google Scholar] [CrossRef]
  18. Zhan, W.; Zhuang, M.; Liu, Q.Q.; Shi, L.; Sun, Y.; Liu, Q.H. Frequency Domain Spectral Element Method for Modelling Poroelastic Waves in 3-D Anisotropic, Heterogeneous and Attenuative Porous Media. Geophys. J. Int. 2021, 227, 1339–1353. [Google Scholar] [CrossRef]
  19. Gaishan, Z.; Zhanxiang, H.; Gaishan, Z.; Zhanxiang, H. Comprehensive View of the Development of Nodal Seismic Technology. Geophys. Prospect. Pet. 2024, 63, 718–734. [Google Scholar] [CrossRef]
  20. Radigan, W.J.; Engel, C.; Chvala, P.; Longhenry, C.; Pegg, M. Factors Affecting Detection Probabilities of Acoustic Transmitters Using Passive Receivers. Anim. Biotelem. 2025, 13, 16. [Google Scholar] [CrossRef]
  21. Huveneers, C.; Simpfendorfer, C.A.; Kim, S.; Semmens, J.M.; Hobday, A.J.; Pederson, H.; Stieglitz, T.; Vallee, R.; Webber, D.; Heupel, M.R.; et al. The Influence of Environmental Parameters on the Performance and Detection Range of Acoustic Receivers. Methods Ecol. Evol. 2016, 7, 825–835. [Google Scholar] [CrossRef]
  22. Reubens, J.; Verhelst, P.; van der Knaap, I.; Deneudt, K.; Moens, T.; Hernandez, F. Environmental Factors Influence the Detection Probability in Acoustic Telemetry in a Marine Environment: Results from a New Setup. Hydrobiologia 2019, 845, 81–94. [Google Scholar] [CrossRef]
  23. Goossens, J.; Buyse, J.; Bruneel, S.; Verhelst, P.; Goethals, P.; Torreele, E.; Moens, T.; Reubens, J. Taking the Time for Range Testing: An Approach to Account for Temporal Resolution in Acoustic Telemetry Detection Range Assessments. Anim. Biotelem. 2022, 10, 17. [Google Scholar] [CrossRef]
  24. Edwards, J.E.; Buijse, A.D.; Winter, H.V.; Bijleveld, A.I. Gone with the Wind: Environmental Variation Influences Detection Efficiency in a Coastal Acoustic Telemetry Array. Anim. Biotelem. 2024, 12, 21. [Google Scholar] [CrossRef]
  25. Schmid, M.S.; Daprano, D.; Damle, M.M.; Sullivan, C.M.; Sponaugle, S.; Cousin, C.; Guigand, C.; Cowen, R.K. Edge Computing at Sea: High-Throughput Classification of in-Situ Plankton Imagery for Adaptive Sampling. Front. Mar. Sci. 2023, 10, 1187771. [Google Scholar] [CrossRef]
  26. Zhang, Y.; Kieft, B.; Hobson, B.W.; Raanan, B.Y.; Ussler, W.; Preston, C.M.; Errera, R.M.; Den Uyl, P.A.; Woude, A.V.; Doucette, G.J.; et al. Using a Long-Range Autonomous Underwater Vehicle to Find and Sample Harmful Algal Blooms in Lake Erie. Limnol. Oceanogr. Methods 2024, 22, 473–483. [Google Scholar] [CrossRef]
  27. Klinck, H.; Mellinger, D.K.; Klinck, K.; Bogue, N.M.; Luby, J.C.; Jump, W.A.; Shilling, G.B.; Litchendorf, T.; Wood, A.S.; Schorr, G.S.; et al. Near-Real-Time Acoustic Monitoring of Beaked Whales and Other Cetaceans Using a SeagliderTM. PLoS ONE 2012, 7, e36128. [Google Scholar] [CrossRef]
  28. Lowe, C.; White, C.; Clark, C. Use of Autonomous Vehicles for Tracking and Surveying of Acoustically Tagged Elasmobranchs. In Shark Research: Emerging Technologies and Applications for the Field and Laboratory; Carrier, J., Heithaus, M., Simpfendorfer, C., Eds.; CRC Press: Boca Raton, FL, USA, 2018; ISBN 9781315317120. [Google Scholar]
  29. Lin, Y.; Hsiung, J.; Piersall, R.; White, C.; Lowe, C.G.; Clark, C.M. A Multi-Autonomous Underwater Vehicle System for Autonomous Tracking of Marine Life. J. Field Robot. 2017, 34, 757–774. [Google Scholar] [CrossRef]
  30. Clark, C.M.; Forney, C.; Manii, E.; Shinzaki, D.; Gage, C.; Farris, M.; Lowe, C.G.; Moline, M. Tracking and Following a Tagged Leopard Shark with an Autonomous Underwater Vehicle. J. Field Robot. 2013, 30, 309–322. [Google Scholar] [CrossRef]
  31. Tate, R.D.; Kelaher, B.P.; Brand, C.P.; Cullis, B.R.; Gallen, C.R.; Smith, S.D.A.; Butcher, P.A. The Effectiveness of Shark-Management-Alert-in-Real-Time (SMART) Drumlines as a Tool for Catching White Sharks, Carcharodon Carcharias, off Coastal New South Wales, Australia. Fish. Manag. Ecol. 2021, 28, 496–506. [Google Scholar] [CrossRef]
  32. Huveneers, C.; Blount, C.; Bradshaw, C.J.A.; Butcher, P.A.; Lincoln Smith, M.P.; Macbeth, W.G.; McPhee, D.P.; Moltschaniwskyj, N.; Peddemors, V.M.; Green, M. Shifts in the Incidence of Shark Bites and Efficacy of Beach-Focussed Mitigation in Australia. Mar. Pollut. Bull. 2024, 198, 115855. [Google Scholar] [CrossRef]
  33. Hazen, E.L.; Scales, K.L.; Maxwell, S.M.; Briscoe, D.K.; Welch, H.; Bograd, S.J.; Bailey, H.; Benson, S.R.; Eguchi, T.; Dewar, H.; et al. A Dynamic Ocean Management Tool to Reduce Bycatch and Support Sustainable Fisheries. Sci. Adv. 2018, 4, eaar3001. [Google Scholar] [CrossRef]
  34. Dunn, D.C.; Maxwell, S.M.; Boustany, A.M.; Halpin, P.N. Dynamic Ocean Management Increases the Efficiency and Efficacy of Fisheries Management. Proc. Natl. Acad. Sci. USA 2016, 113, 668–673. [Google Scholar] [CrossRef] [PubMed]
  35. Lowerre-Barbieri, S.K.; Kays, R.; Thorson, J.T.; Wikelski, M. The Ocean’s Movescape: Fisheries Management in the Bio-Logging Decade (2018–2028). ICES J. Mar. Sci. 2019, 76, 477–488. [Google Scholar] [CrossRef]
  36. Lara-Lizardi, F.; Hoyos-Padilla, E.M.; Klimley, A.P.; Grau, M.; Ketchum, J.T. Movement Patterns and Residency of Bull Sharks, Carcharhinus Leucas, in a Marine Protected Area of the Gulf of California. Environ. Biol. Fishes 2022, 105, 1765–1779. [Google Scholar] [CrossRef]
  37. Lea, J.S.E.; Humphries, N.E.; von Brandis, R.G.; Clarke, C.R.; Sims, D.W. Acoustic Telemetry and Network Analysis Reveal the Space Use of Multiple Reef Predators and Enhance Marine Protected Area Design. Proc. R. Soc. B Biol. Sci. 2016, 283, 20160717. [Google Scholar] [CrossRef]
  38. Moore, S.K.; Mickett, J.B.; Doucette, G.J.; Adams, N.G.; Mikulski, C.M.; Birch, J.M.; Roman, B.; Michel-Hart, N.; Newton, J.A. An Autonomous Platform for Near Real-Time Surveillance of Harmful Algae and Their Toxins in Dynamic Coastal Shelf Environments. J. Mar. Sci. Eng. 2021, 9, 336. [Google Scholar] [CrossRef]
  39. Seegers, B.N.; Birch, J.M.; Marin, R.; Scholin, C.A.; Caron, D.A.; Seubert, E.L.; Howard, M.D.A.; Robertson, G.L.; Jones, B.H. Subsurface Seeding of Surface Harmful Algal Blooms Observed through the Integration of Autonomous Gliders, Moored Environmental Sample Processors, and Satellite Remote Sensing in Southern California. Limnol. Oceanogr. 2015, 60, 754–764. [Google Scholar] [CrossRef]
  40. Diamond, D.; Relyea, R.A.; McCaul, M. Understanding and Mitigating Global Change with Aquatic Sensors: Current Challenges and Future Prospects. Front. Sens. 2023, 4, 1284043. [Google Scholar] [CrossRef]
  41. Anderson, J.M.; Spurgeon, E.; Stirling, B.S.; May, J.; Rex, P.T.; Hyla, B.; McCullough, S.; Thompson, M.; Lowe, C.G. High Resolution Acoustic Telemetry Reveals Swim Speeds and Inferred Field Metabolic Rates in Juvenile White Sharks (Carcharodon Carcharias). PLoS ONE 2022, 17, e0268914. [Google Scholar] [CrossRef]
  42. Spurgeon, E.; Anderson, J.M.; Liu, Y.; Barajas, V.L.; Lowe, C.G. Quantifying Thermal Cues That Initiate Mass Emigrations in Juvenile White Sharks. Sci. Rep. 2022, 12, 19874. [Google Scholar] [CrossRef]
  43. Roberts, D.T.; Udyawer, V.; Franklin, C.; Dwyer, R.G.; Campbell, H.A. Using an Acoustic Telemetry Array to Assess Fish Volumetric Space Use: A Case Study on Impoundments, Hypoxia and an Air-Breathing Species (Neoceratodus forsteri). Mar. Freshw. Res. 2017, 68, 1532–1543. [Google Scholar] [CrossRef]
  44. Kraus, R.T.; Cook, H.A.; Faust, M.D.; Schmitt, J.D.; Rowe, M.D.; Vandergoot, C.S. Habitat Selection of a Migratory Freshwater Fish in Response to Seasonal Hypoxia as Revealed by Acoustic Telemetry. J. Great Lakes Res. 2023, 49, 1004–1014. [Google Scholar] [CrossRef]
Figure 1. Real-time buoy and subsurface buoy configuration. From top to bottom: A. Antennas for GPS, cell, and Wi-Fi radios, B. Solar panel array capable of delivering 54 W of power in bright sunlight, C. Innovasea AquaHub, cellular modem, GPS receiver, Bluetooth & WiFi radio and Lead-Acid battery are contained within dry payload section of CB-150 buoy, D. cabled acoustic receiver (VRXM), E. mooring composed of rope, a subsurface float, a length of chain, and anchoring system (typically two steel augers within the substrate), F. subsurface acoustic receiver (VR2W or VR2AR).
Figure 1. Real-time buoy and subsurface buoy configuration. From top to bottom: A. Antennas for GPS, cell, and Wi-Fi radios, B. Solar panel array capable of delivering 54 W of power in bright sunlight, C. Innovasea AquaHub, cellular modem, GPS receiver, Bluetooth & WiFi radio and Lead-Acid battery are contained within dry payload section of CB-150 buoy, D. cabled acoustic receiver (VRXM), E. mooring composed of rope, a subsurface float, a length of chain, and anchoring system (typically two steel augers within the substrate), F. subsurface acoustic receiver (VR2W or VR2AR).
Jmse 14 00128 g001
Figure 2. Maps of study locations. Main panel (A) shows overview of deployment locations in Southern California. Sub-panels (BF) show individual locations of live-buoy and reference tag deployments off Santa Barbara (B) and Carpinteria (C), Long Beach (D), Huntington Beach (E) and San Clemente (F).
Figure 2. Maps of study locations. Main panel (A) shows overview of deployment locations in Southern California. Sub-panels (BF) show individual locations of live-buoy and reference tag deployments off Santa Barbara (B) and Carpinteria (C), Long Beach (D), Huntington Beach (E) and San Clemente (F).
Jmse 14 00128 g002
Figure 3. Daily detection efficiency of reference acoustic transmitters recorded by paired VR2 receivers and real-time buoy systems across five Southern California study sites. Detection efficiency was calculated as daily detections divided by expected daily transmissions. (A) Time-series plots show detection efficiency per day at each station for both receiver configuration types (VR2 (green triangles) and live-buoy (orange circles)). Colored lines show fitted Generalized Adaptive Model (GAM) smoothers with a log link, illustrating seasonal trends and variability in detection efficiency. (B) Boxplots summarize detection efficiency distributions for each receiver configuration type at each site (points = individual daily values). Boxes reflect median and interquartile range; whiskers denote 1.5× IQR. These comparisons highlight station-specific detection differences between VR2s and buoys (notably San Clemente during summer), variability in receiver performance, and the degree to which environmental conditions or mooring position may influence seasonal efficiency.
Figure 3. Daily detection efficiency of reference acoustic transmitters recorded by paired VR2 receivers and real-time buoy systems across five Southern California study sites. Detection efficiency was calculated as daily detections divided by expected daily transmissions. (A) Time-series plots show detection efficiency per day at each station for both receiver configuration types (VR2 (green triangles) and live-buoy (orange circles)). Colored lines show fitted Generalized Adaptive Model (GAM) smoothers with a log link, illustrating seasonal trends and variability in detection efficiency. (B) Boxplots summarize detection efficiency distributions for each receiver configuration type at each site (points = individual daily values). Boxes reflect median and interquartile range; whiskers denote 1.5× IQR. These comparisons highlight station-specific detection differences between VR2s and buoys (notably San Clemente during summer), variability in receiver performance, and the degree to which environmental conditions or mooring position may influence seasonal efficiency.
Jmse 14 00128 g003
Figure 4. Comparison of reference-tag detection performance between real-time buoys and bottom-mounted VR2 receivers across study sites. (A) Mean daily detections plotted against the distance between each receiver and its station’s reference tag. Points represent station-level averages for buoys and VR2 receivers, with vertical whiskers showing day-to-day variability (±SE). Gray lines connect buoy and VR2 values within each station. (B) Relative detection efficiency expressed as the ratio of buoy to VR2 mean detections, plotted against the mean buoy–VR2 distance to the reference tag at each site. A dashed line at ratio = 1 indicates equal performance. Together, these panels illustrate station-specific differences in detection range and show buoy-mounted receiver performance compared to traditionally configured VR2 receivers across the range of deployment distances.
Figure 4. Comparison of reference-tag detection performance between real-time buoys and bottom-mounted VR2 receivers across study sites. (A) Mean daily detections plotted against the distance between each receiver and its station’s reference tag. Points represent station-level averages for buoys and VR2 receivers, with vertical whiskers showing day-to-day variability (±SE). Gray lines connect buoy and VR2 values within each station. (B) Relative detection efficiency expressed as the ratio of buoy to VR2 mean detections, plotted against the mean buoy–VR2 distance to the reference tag at each site. A dashed line at ratio = 1 indicates equal performance. Together, these panels illustrate station-specific differences in detection range and show buoy-mounted receiver performance compared to traditionally configured VR2 receivers across the range of deployment distances.
Jmse 14 00128 g004
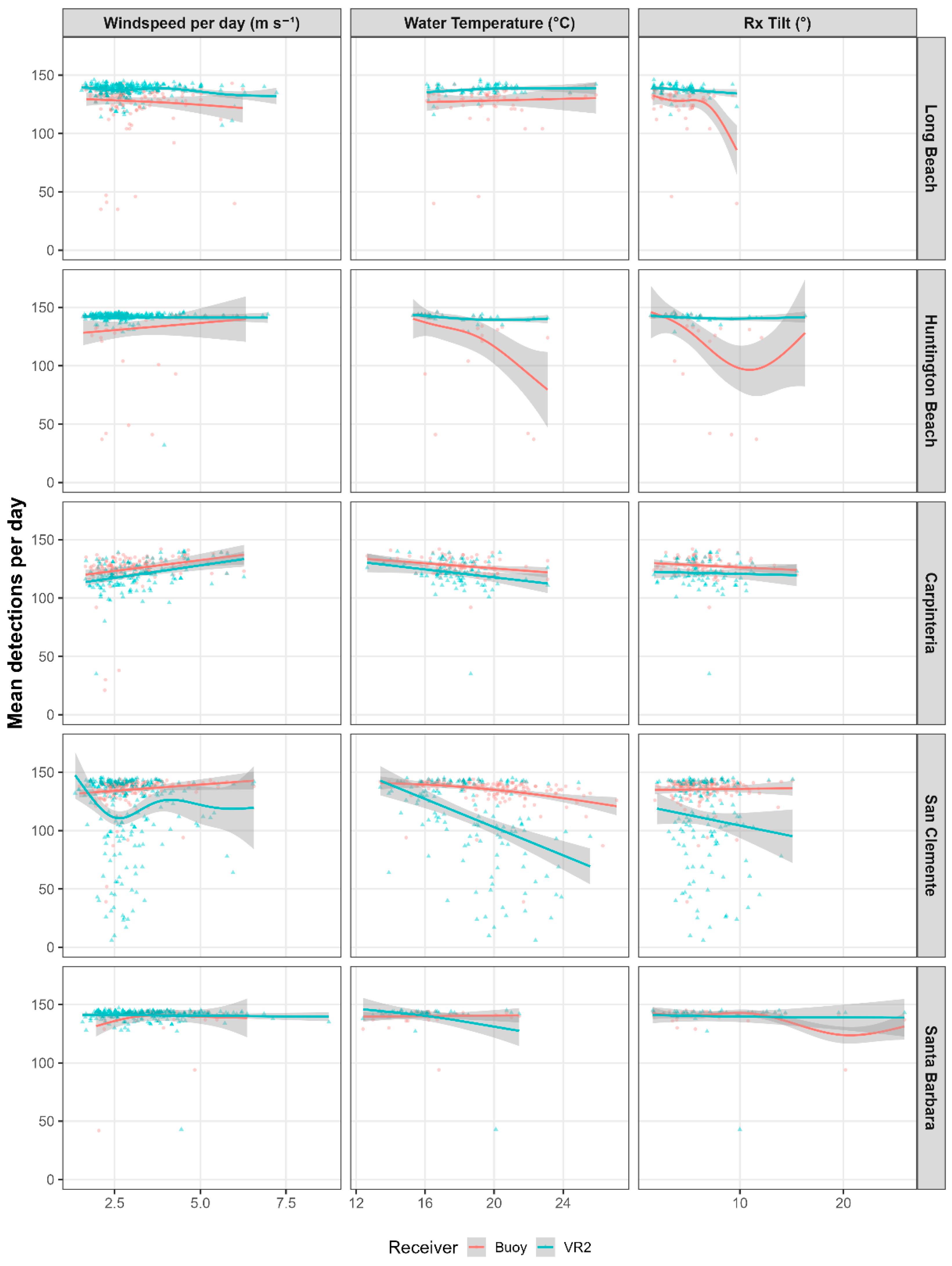
Figure 5. Relationships between daily acoustic detection performance and environmental and receiver-state variables across study sites. Panels show mean daily detections as a function of (left) wind speed, (center) water temperature, and (right) receiver tilt, with rows corresponding to individual stations. Orange circles represent buoy-based receivers and green triangles represent bottom-fixed VR2 receivers. Lines show generalized additive model (GAM) smoothers with 95% confidence intervals.
Figure 5. Relationships between daily acoustic detection performance and environmental and receiver-state variables across study sites. Panels show mean daily detections as a function of (left) wind speed, (center) water temperature, and (right) receiver tilt, with rows corresponding to individual stations. Orange circles represent buoy-based receivers and green triangles represent bottom-fixed VR2 receivers. Lines show generalized additive model (GAM) smoothers with 95% confidence intervals.
Jmse 14 00128 g005
Figure 6. Diel variation in acoustic Signal-to-Noise Ratio (SNR) recorded from buoy-mounted receivers across five Southern California stations. Points represent individual reference-tag detections, colored by calculated SNR value (purple = low, yellow = high), and plotted against time of day (00:00–24:00). Time of day shown in local Pacific Standard Time (UTC−8). Higher SNR indicates clearer acoustic conditions and typically corresponds to increased probability of tag detection. Black lines represent generalized additive model (GAM) smoothers illustrating mean diel SNR trends at each station. Acoustic conditions and diel noise regimes differ across sites, markedly so at San Clemente. Such information is important for informing design of real-time monitoring strategies.
Figure 6. Diel variation in acoustic Signal-to-Noise Ratio (SNR) recorded from buoy-mounted receivers across five Southern California stations. Points represent individual reference-tag detections, colored by calculated SNR value (purple = low, yellow = high), and plotted against time of day (00:00–24:00). Time of day shown in local Pacific Standard Time (UTC−8). Higher SNR indicates clearer acoustic conditions and typically corresponds to increased probability of tag detection. Black lines represent generalized additive model (GAM) smoothers illustrating mean diel SNR trends at each station. Acoustic conditions and diel noise regimes differ across sites, markedly so at San Clemente. Such information is important for informing design of real-time monitoring strategies.
Jmse 14 00128 g006
Figure 7. Detection probabilities of a moving transmitter during dynamic range testing as a function of distance to a buoy-mounted receiver (upper panel) and a bottom-mounted VR2AR receiver (lower panel). Gray points show individual transmission attempts (VR100 track) scored as detected (1) or missed (0) by each receiver within a fixed time tolerance; blue/orange curves show fitted binomial models with 95% confidence bands, illustrating declining detection performance with increasing distance.
Figure 7. Detection probabilities of a moving transmitter during dynamic range testing as a function of distance to a buoy-mounted receiver (upper panel) and a bottom-mounted VR2AR receiver (lower panel). Gray points show individual transmission attempts (VR100 track) scored as detected (1) or missed (0) by each receiver within a fixed time tolerance; blue/orange curves show fitted binomial models with 95% confidence bands, illustrating declining detection performance with increasing distance.
Jmse 14 00128 g007
Figure 8. Modeled detection performance for real-time acoustic buoys (green) compared with traditionally placed VR2 receivers (orange) across three key environmental drivers. Shaded ribbons represent 95% confidence intervals from the best-supported GLMM (site as random effect). SNR (A) had the strongest positive influence on VR2 detection probability and a weaker effect on buoys. Detection probability increased moderately with wind (B), although this effect was small and more variable. Warmer water substantially reduced detection success overall (C), with buoys showing a steeper decline in performance relative to seafloor mounted VR2 units.
Figure 8. Modeled detection performance for real-time acoustic buoys (green) compared with traditionally placed VR2 receivers (orange) across three key environmental drivers. Shaded ribbons represent 95% confidence intervals from the best-supported GLMM (site as random effect). SNR (A) had the strongest positive influence on VR2 detection probability and a weaker effect on buoys. Detection probability increased moderately with wind (B), although this effect was small and more variable. Warmer water substantially reduced detection success overall (C), with buoys showing a steeper decline in performance relative to seafloor mounted VR2 units.
Jmse 14 00128 g008
Table 1. Comparison of detection performance between buoy-mounted (VRXM) and sub-surface (VR2W/VR2AR) acoustic receivers across study sites.
Table 1. Comparison of detection performance between buoy-mounted (VRXM) and sub-surface (VR2W/VR2AR) acoustic receivers across study sites.
Buoy-Mounted Receiver (VRXM)Subsurface Receiver (VR2W/VR2AR)
SiteDaysDistance Between Transmitter & Receiver (m)Detections Per Day (Mean ± SD)Detections Proportion (Received/Expected × 100)Detections Per Day (Mean ± SD)Detections Proportion (Received/Expected × 100)
Long Beach108199130.06 ± 8.2790%137.14 ± 6.1595%
Huntington Beach48162142.17 ± 2.0599%142.75 ± 1.4899%
Carpinteria126250127.92 ± 5.8589%121.37 ± 9.5584%
San Clemente16382138.39 ± 3.8296%111.17 ± 36.3477%
Santa Barbara54132141.06 ± 3.2598%140.26 ± 13.7697%
Detection proportion represents the percentage of expected detections received (received/expected × 100). Mean detections per day are reported ±1 SD.
Table 2. Generalized linear mixed model results for receiver placement (receiver type) and environmental predictors of daily acoustic detection probability (binomial GLMM).
Table 2. Generalized linear mixed model results for receiver placement (receiver type) and environmental predictors of daily acoustic detection probability (binomial GLMM).
TermEstimateStd. Errorz Valuep Value
(Intercept)−2.26720.0263−86.1817<0.001
receiver_typeVR2−0.08550.0202−4.2297<0.001
SNR−0.00410.0127−0.3220.747
wind0.00990.00561.77780.076
temp−0.0470.0074−6.3968<0.001
receiver_typeVR2:SNR_sc0.0840.01994.2262<0.001
receiver_typeVR2:wind_sc−0.00830.0088−0.94360.345
receiver_typeVR2:temp_sc0.03970.01043.8271<0.001
Disclaimer/Publisher’s Note: The statements, opinions and data contained in all publications are solely those of the individual author(s) and contributor(s) and not of MDPI and/or the editor(s). MDPI and/or the editor(s) disclaim responsibility for any injury to people or property resulting from any ideas, methods, instructions or products referred to in the content.

Share and Cite

MDPI and ACS Style

Anderson, J.M.; Stirling, B.S.; Rex, P.T.; Spurgeon, E.A.; McGinnis, A., Jr.; Merson, Z.S.; Gadberry, D.; Lowe, C.G. Real-Time Acoustic Telemetry Buoys as Tools for Nearshore Monitoring and Management. J. Mar. Sci. Eng. 2026, 14, 128. https://doi.org/10.3390/jmse14020128

AMA Style

Anderson JM, Stirling BS, Rex PT, Spurgeon EA, McGinnis A Jr., Merson ZS, Gadberry D, Lowe CG. Real-Time Acoustic Telemetry Buoys as Tools for Nearshore Monitoring and Management. Journal of Marine Science and Engineering. 2026; 14(2):128. https://doi.org/10.3390/jmse14020128

Chicago/Turabian Style

Anderson, James M., Brian S. Stirling, Patrick T. Rex, Emily A. Spurgeon, Anthony McGinnis, Jr., Zachariah S. Merson, Darnell Gadberry, and Christopher G. Lowe. 2026. "Real-Time Acoustic Telemetry Buoys as Tools for Nearshore Monitoring and Management" Journal of Marine Science and Engineering 14, no. 2: 128. https://doi.org/10.3390/jmse14020128

APA Style

Anderson, J. M., Stirling, B. S., Rex, P. T., Spurgeon, E. A., McGinnis, A., Jr., Merson, Z. S., Gadberry, D., & Lowe, C. G. (2026). Real-Time Acoustic Telemetry Buoys as Tools for Nearshore Monitoring and Management. Journal of Marine Science and Engineering, 14(2), 128. https://doi.org/10.3390/jmse14020128

Note that from the first issue of 2016, this journal uses article numbers instead of page numbers. See further details here.

Article Metrics

Back to TopTop