Sign in to use this feature.

Years

Between: -

Subjects

remove_circle_outline
remove_circle_outline
remove_circle_outline
remove_circle_outline
remove_circle_outline
remove_circle_outline
remove_circle_outline
remove_circle_outline
remove_circle_outline

Journals

remove_circle_outline
remove_circle_outline
remove_circle_outline
remove_circle_outline
remove_circle_outline
remove_circle_outline
remove_circle_outline
remove_circle_outline
remove_circle_outline
remove_circle_outline
remove_circle_outline
remove_circle_outline
remove_circle_outline
remove_circle_outline
remove_circle_outline
remove_circle_outline
remove_circle_outline
remove_circle_outline
remove_circle_outline
remove_circle_outline

Article Types

Countries / Regions

remove_circle_outline
remove_circle_outline
remove_circle_outline
remove_circle_outline
remove_circle_outline
remove_circle_outline
remove_circle_outline

Search Results (2,854)

Search Parameters:
Keywords = water blocking

Order results
Result details
Results per page
Select all
Export citation of selected articles as:
17 pages, 1473 KB  
Article
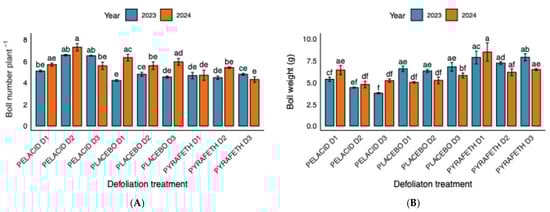
Evaluation of Pelargonic Acid as a Sustainable Defoliant in Cotton (Gossypium hirsutum L.) Production
by Giuseppe Salvatore Vitale, Sara Lombardo, Gaetano Pandino and Paolo Guarnaccia
Agriculture 2025, 15(20), 2134; https://doi.org/10.3390/agriculture15202134 (registering DOI) - 14 Oct 2025
Abstract
Cotton production faces sustainability challenges due to the lack of effective sustainable defoliants for mechanical harvesting, which constrains the expansion of organic cotton (currently 0.5% of global production). In this framework, this study evaluated pelargonic acid, a rapidly biodegradable compound, as a sustainable [...] Read more.
Cotton production faces sustainability challenges due to the lack of effective sustainable defoliants for mechanical harvesting, which constrains the expansion of organic cotton (currently 0.5% of global production). In this framework, this study evaluated pelargonic acid, a rapidly biodegradable compound, as a sustainable defoliant alternative, comparing it with the synthetic pyraflufen-ethyl and a water placebo. A two-year field trial (2023–2024) in Sicily, southern Italy, tested three application rates per treatment in a randomized complete block design. Parameters assessed included defoliation efficacy, root diameter, boll number per plant, average boll weight, raw yield, lint yield, and seed yield. Results indicated significant “Year × Treatment” interaction effects on all parameters. Pelargonic acid applied at 16 L ha−1 achieved the highest boll number per plant in 2024, significantly exceeding pyraflufen-ethyl at its label-recommended rate, with treatments at 12 L ha−1 also producing larger root diameters than the synthetic defoliant. Pelargonic acid at 18 L ha−1 in 2023 achieved complete defoliation, matching the efficacy of pyraflufen-ethyl, while the lowest pelargonic rate (12 L ha−1) produced >90% leaf drop across both years. These findings position pelargonic acid as a rapidly degradable alternative to synthetic defoliants, directly addressing a key bottleneck in sustainable cotton production. Full article
(This article belongs to the Section Crop Production)
Show Figures

Figure 1

16 pages, 3102 KB  
Article
Synaptic Plasticity-Enhancing and Cognitive-Improving Effects of Standardized Ethanol Extract of Perilla frutescens var. acuta in a Scopolamine-Induced Mouse Model
by Jihye Lee, Eunhong Lee, Hyunji Kwon, Somin Moon, Ho Jung Bae, Joon-Ho Hwang, Gun Hee Cho, Haram Kong, Mi-Houn Park, Sung-Kyu Kim, Dong Hyun Kim and Ji Wook Jung
Int. J. Mol. Sci. 2025, 26(20), 9925; https://doi.org/10.3390/ijms26209925 (registering DOI) - 12 Oct 2025
Viewed by 94
Abstract
In our previous study, we demonstrated that a standardized ethanol extract of Perilla frutescens var. acuta (PE) alleviates memory deficits in an Alzheimer’s disease mouse model by inhibiting amyloid β (Aβ) aggregation and promoting its disaggregation. However, the extent to which PE exerts [...] Read more.
In our previous study, we demonstrated that a standardized ethanol extract of Perilla frutescens var. acuta (PE) alleviates memory deficits in an Alzheimer’s disease mouse model by inhibiting amyloid β (Aβ) aggregation and promoting its disaggregation. However, the extent to which PE exerts additional cognitive benefits independent of Aβ pathology remained unclear. Here, we aimed to evaluate the effects of PE on synaptic plasticity and learning and memory functions. Male ICR mice were used, and cognitive impairment was induced by scopolamine administration. PE was orally administered at doses determined from previous studies, and cognitive performance was assessed using the passive avoidance, Y-maze, and Morris water maze tests. In parallel, hippocampal slices were employed to examine the effects of PE on synaptic plasticity. PE (100 and 300 μg/mL) significantly enhanced long-term potentiation (LTP) in a concentration-dependent manner without altering basal synaptic transmission. This facilitation of LTP was blocked by scopolamine (1 μM), a muscarinic acetylcholine receptor (mAChR) antagonist, and IEM-1460 (50 μM), a calcium-permeable α-amino-3-hydroxy-5-methyl-4-isoxazolepropionic acid receptor (CP-AMPAR) inhibitor, indicating the involvement of mAChR and CP-AMPAR pathways. In vivo, PE (100, 250, and 500 mg/kg) treatment improved memory performance across all behavioral tasks and upregulated hippocampal synaptic proteins including GluN2B, PSD-95, and CaMKII. Collectively, these results demonstrate that PE ameliorates scopolamine (1 mg/kg)-induced cognitive impairment by enhancing synaptic plasticity, likely through modulation of mAChR, CP-AMPAR, and NMDA receptor signaling. These findings highlight the therapeutic potential of PE for memory deficits associated with cholinergic dysfunction. Full article
(This article belongs to the Section Molecular Pathology, Diagnostics, and Therapeutics)
Show Figures

Figure 1

22 pages, 6554 KB  
Article
Mechanical Properties of Novel 3D-Printed Restorative Materials for Definitive Dental Applications
by Moritz Hoffmann, Andrea Coldea and Bogna Stawarczyk
Materials 2025, 18(20), 4662; https://doi.org/10.3390/ma18204662 - 10 Oct 2025
Viewed by 184
Abstract
The aim of this study is to evaluate the mechanical properties and long-term stability of 3D-printable resins for permanent fixed dental prostheses (FDPs), focusing on whether material performance is influenced by 3D-printer type or by differences in resin formulations. Specimens (N = 621) [...] Read more.
The aim of this study is to evaluate the mechanical properties and long-term stability of 3D-printable resins for permanent fixed dental prostheses (FDPs), focusing on whether material performance is influenced by 3D-printer type or by differences in resin formulations. Specimens (N = 621) were printed. CAD/CAM blocks (BRILLIANT Crios) served as control. Flexural strength (FS) with elastic modulus (E_calc), Weibull modulus (m), Martens’ hardness (HM), indentation modulus (EIT), elastic modulus (E_RFDA), shear modulus (G_RFDA), and Poisson’s Ratio (ν) were measured initially, after water storage (24 h, 37 °C), and after thermocycling (5–55 °C, 10,000×). SEM analysis assessed microstructure. Data were analyzed using Kolmogorov–Smirnov, ANOVA with Scheffe post hoc, Kruskal–Wallis with Mann–Whitney U, and Weibull statistics with maximum likelihood (α = 0.05). A ceramic crown printed with Midas showed higher FS, HM, and EIT values after thermocycling than with Pro55s, and higher E_calc scores across all aging regimes. A Varseo Smile Crown Plus printed with VarseoXS and AsigaMax showed a higher FS value than TrixPrint2, while AsigaMax achieved the highest initial E_calc and E_RFDA values, and VarseoXS did so after thermocycling. HM, EIT, and G_RFDA were higher for TrixPrint2 and AsigaMax printed specimens, while ν varied by system and aging. 3Delta Crown, printed with AsigaMax, showed the highest FS, E_calc, HM, EIT, and m values after aging. VarseoSmile triniQ and Bridgetec showed the highest E_RFDA and G_RFDA values depending on aging, and Varseo Smile Crown Plus exhibited higher ν initially and post-aging. Printer system and resin formulation significantly influence the mechanical and aging behaviors of 3D-printed FDP materials, underscoring the importance of informed material and printer selection to ensure long-term clinical success. Full article
(This article belongs to the Special Issue Dental Biomaterials: Synthesis, Characterization, and Applications)
Show Figures

Figure 1

22 pages, 486 KB  
Article
Estimating Household Water Demand and Affordability Under Intermittent Supply: An Econometric Analysis with a Water–Energy Nexus Perspective for Pimpri-Chinchwad, India
by Yuanzao Zhu, Christian Klassert, Bernd Klauer and Erik Gawel
Water 2025, 17(19), 2917; https://doi.org/10.3390/w17192917 - 9 Oct 2025
Viewed by 298
Abstract
Urban water utilities in rapidly developing regions face growing challenges in ensuring continuous supply. Intermittent public water supply leads to unreliable and inequitable access, compelling households to adopt energy-intensive coping strategies. This creates a nexus between water and energy demand at the household [...] Read more.
Urban water utilities in rapidly developing regions face growing challenges in ensuring continuous supply. Intermittent public water supply leads to unreliable and inequitable access, compelling households to adopt energy-intensive coping strategies. This creates a nexus between water and energy demand at the household level. Few econometric analyses of household water demand have explicitly addressed this demand-side nexus in developing regions. Using survey data from the city of Pimpri-Chinchwad, India, where intermittent water supply is prevalent, we analyze household expenditures related to water access and estimate a piped water demand function with a Discrete-Continuous Choice model. We find that electricity expenditures for accessing water exceed water bills for approximately one-third of households. Including these costs in affordability calculations reveals hidden financial burdens, particularly for middle-income households. Water and electricity prices, income, and household size significantly influence water demand, with an income elasticity of 0.177 and water price elasticities ranging from 0 to −0.876. The cross-price elasticity of −0.097 indicates weak complementarity between electricity and piped water, suggesting electricity price changes do affect water use but are insufficient to drive substantial behavioral shifts. Targeted price increases in high-consumption blocks are more effective at curbing overuse, while simultaneous increases in water and electricity prices may heighten household vulnerability. These findings highlight the need for integrated, nexus-aware demand management strategies, particularly in regions with intermittent supply. Full article
(This article belongs to the Section Water Use and Scarcity)
Show Figures

Figure 1

15 pages, 2143 KB  
Article
Inhibition of Photosynthesis in Quercus acutissima Seedlings by LaCl3 Through Calcium Signaling Regulation
by Xiaohang Weng, Hui Li, Yongbin Zhou, Hongbo Wang, Jian Feng, Shihe Yu and Ying Zheng
Forests 2025, 16(10), 1553; https://doi.org/10.3390/f16101553 - 8 Oct 2025
Viewed by 138
Abstract
Calcium is an essential macronutrient for plant growth and development, and there is an optimal calcium concentration for plant growth. Calcium ion concentration changes create “calcium signals” that regulate plant growth through perception, decoding, transduction, and response processes. However, the mechanisms by which [...] Read more.
Calcium is an essential macronutrient for plant growth and development, and there is an optimal calcium concentration for plant growth. Calcium ion concentration changes create “calcium signals” that regulate plant growth through perception, decoding, transduction, and response processes. However, the mechanisms by which calcium signaling regulates photosynthesis are still not fully understood. In this study, Quercus acutissima seedlings were used to investigate the inhibitory effects of different concentrations of the calcium channel blocker lanthanum chloride (LaCl3) on photosynthesis and the underlying mechanisms. The results show that increasing LaCl3 concentration significantly decreased photosynthetic parameters, photosynthetic pigment contents, and photosynthetic product accumulation. Long-term water use efficiency decreased with increasing LaCl3 concentration, while instantaneous water use efficiency initially increased and then decreased. Structural equation modeling analysis indicated that LaCl3 concentration was significantly positively correlated with leaf calcium concentration in Quercus acutissima seedlings, while it was significantly negatively correlated with stomatal conductance, carotenoids, and soluble sugar content. The study concludes that LaCl3 directly inhibits the photosynthetic physiological processes of Quercus acutissima seedlings by blocking calcium signaling, providing insights into the regulatory mechanisms of calcium signaling in plant photosynthesis and a theoretical basis for the cultivation and application of Quercus acutissima under varying environmental conditions. Full article
Show Figures

Figure 1

17 pages, 4770 KB  
Article
Salt Equilibria and Protein Glycation in Young Child Formula
by Wenfu Chen, Wenzhu Yin, Xiumei Tao, Dasong Liu, Thom Huppertz, Xiaoming Liu and Peng Zhou
Foods 2025, 14(19), 3445; https://doi.org/10.3390/foods14193445 - 8 Oct 2025
Viewed by 309
Abstract
Young child formula (YCF) products are important sources of nutrients for children 1–3 years of age. Salt equilibria and protein glycation are two of the crucial aspects affecting nutritional properties and digestive behaviors of YCF, but detailed insights into these two aspects of [...] Read more.
Young child formula (YCF) products are important sources of nutrients for children 1–3 years of age. Salt equilibria and protein glycation are two of the crucial aspects affecting nutritional properties and digestive behaviors of YCF, but detailed insights into these two aspects of YCF products remains limited. This study analyzed the distribution of salts and the level of protein glycation in 25 commercial YCF products from the retail market in China. The YCF products were reconstituted (12 g of powder per 100 g of water) and the distribution of calcium and phosphorus between the sedimentable (at 200× g), protein-associated and soluble (10 kDa-permeable) fractions were determined. Blocked lysine and 5-hydroxymethylfurfural were analyzed using reversed-phase high-performance liquid chromatography. Varying proportions of calcium (3.0–39.3%) and phosphorus (1.2–29.8%) were sedimentable for the products. Notable proportions of calcium (28.9–62.7%) and phosphorus (27.4–57.9%) were associated with the proteins. The remainder of the calcium (24.9–41.4%) and phosphorus (34.2–62.1%) were soluble. When expressing the protein-associated calcium as a function of casein, i.e., casein mineralization, large differences (~1.7 fold) were found among products. Variation in blocked lysine (7.4–19.2% of total lysine) and 5-hydroxymethylfurfural contents (3.0–7.0 mg/100 g protein) among products was also observed, suggesting notable differences in heat-load during processing. This study revealed notable variation in salt distribution and protein glycation among the YCF products. These findings underscore the critical need for manufacturers to optimize formulation and processing approaches, e.g., using milk with a low level of casein mineralization and using milk protein sources as concentrated liquid rather than powder to reduce protein glycation, to improve nutritional properties of the products. Full article
(This article belongs to the Section Dairy)
Show Figures

Figure 1

15 pages, 4026 KB  
Article
Novel Azaborine-Based Inhibitors of Histone Deacetylases (HDACs)
by Martin Behringer, Markus Schweipert, Enna E. Peters, Aleksandra Kopranovic and Franz-Josef Meyer-Almes
Molecules 2025, 30(19), 4017; https://doi.org/10.3390/molecules30194017 - 8 Oct 2025
Viewed by 214
Abstract
Aromatic ring systems appear ubiquitously in active pharmaceutical substances, such as FDA-approved histone deacetylase inhibitors. However, these rings reduce the water solubility of the molecules, which is a disadvantage during application. To address this problem, azaborine rings may be substituted for conventional aromatic [...] Read more.
Aromatic ring systems appear ubiquitously in active pharmaceutical substances, such as FDA-approved histone deacetylase inhibitors. However, these rings reduce the water solubility of the molecules, which is a disadvantage during application. To address this problem, azaborine rings may be substituted for conventional aromatic ring systems. These are obtained by replacing two adjacent carbon atoms with boron and nitrogen. Incorporating B–N analogs in place of aromatic rings not only enhances structural diversity but also provides a strategy to navigate around patent-protected scaffolds. We synthesized azaborines, which are isosteric to naphthalene and indole, and utilized them as capping units for HDAC inhibitors. These molecules were attached to various aliphatic and aromatic linkers with different zinc-binding units, used in established active compounds. Nearly half of the twenty-four molecules tested exhibited inhibitory activity against at least one of the enzymes HDAC1, HDAC4, or HDAC8, with three compounds displaying IC50 values in the nanomolar range. We have therefore demonstrated that azaborine building blocks can be successfully incorporated into HDACis, resulting in a highly active profile. Consequently, it should be feasible to develop active substances containing azaborine rings against other targets. Full article
Show Figures

Figure 1

13 pages, 3297 KB  
Article
The Effect of Hormonal Priming on Morphological Characteristics and Antioxidant Enzyme Activities in Silage Maize Under Salt Stress
by Semih Acikbas and Abidin Tayga Bulut
Sustainability 2025, 17(19), 8917; https://doi.org/10.3390/su17198917 - 8 Oct 2025
Viewed by 260
Abstract
Salinity is one of the major problems limiting plant growth, development, survival, yield, and quality. Climate change and increasing salinity levels force a concentration on sustainable production systems. Therefore, this study aimed to determine the effects of different doses of gibberellic acid (GA [...] Read more.
Salinity is one of the major problems limiting plant growth, development, survival, yield, and quality. Climate change and increasing salinity levels force a concentration on sustainable production systems. Therefore, this study aimed to determine the effects of different doses of gibberellic acid (GA3) (0, 150, and 300 mg/L) and salicylic acid (SA) (0, 0.25, and 0.50 mM) priming on some morphological and antioxidant enzyme activities of silage maize (Zea mays L.) seedlings exposed to salinity stress. Four different NaCl (0, 75, 150, and 225 mM) concentrations as salt stress and three different doses of both SA and GA3 were investigated. The data obtained were subjected to analysis of variance according to a randomized complete block design using a factorial experimental design with four replications per treatment in 3 L pots. The results showed that GA3 and SA priming had statistically significant effects on all investigated traits under different salt concentrations (except water content). Findings revealed that shoot, root, and leaf development, as well as antioxidant enzymes, were suppressed by salinity stress. The silage maize plant was statistically significantly affected starting from the lowest dose of 75 mM, depending on salt concentrations. Increasing salt concentrations negatively affected above-ground and below-ground parameters. However, SA and GA3 treatments had positive impacts on all examined traits. SA and GA3 priming treatments emerged as important strategies supporting root and shoot growth under saline conditions, thereby strengthening plant adaptation. The best results were obtained in groups exposed to 75 mM salt stress, where 300 mg/L GA3 was applied, and in groups without salt stress, where the same GA3 dose was applied. It was concluded that GA3 priming treatments, in particular, were more effective than SA treatments, alleviating salt stress and positively contributing to plant development. Full article
Show Figures

Figure 1

19 pages, 1263 KB  
Article
Drought Recovery Responses in Grain Sorghum: Insights into Genotypic Variation and Adaptation
by Samuel Ssebulime, Ephraim Nuwamanya, Ronald Kakeeto, Emmanuel Opolot, Ephraim Echodu, Herbert Ochan Alinaitwe, Loyce Migamba, Moses Biruma and Scovia Adikini
Agronomy 2025, 15(10), 2356; https://doi.org/10.3390/agronomy15102356 - 8 Oct 2025
Viewed by 399
Abstract
In Uganda, rain-fed crops frequently encounter cycles of drought stress followed by rewatering. Thus, with escalating fluctuations in water supply, drought recovery has become a critical focus for future sorghum drought phenotyping, genetics, and breeding research. However, there is currently a low knowledge [...] Read more.
In Uganda, rain-fed crops frequently encounter cycles of drought stress followed by rewatering. Thus, with escalating fluctuations in water supply, drought recovery has become a critical focus for future sorghum drought phenotyping, genetics, and breeding research. However, there is currently a low knowledge of the drought recovery potential of prospective genotypes in Uganda’s National Sorghum Improvement Program. The present study aimed to assess the response of selected genotypes to rewatering after drought. Sixteen sorghum genotypes and two check varieties were evaluated under two contrasting moisture regimes: well-watered and drought stress-rewatering in a split-plot layout using a randomized complete block design (RCBD). Watering regimes were assigned to whole plots, while sorghum genotypes were assigned to subplots, with three replications. The results showed highly significant effects (p < 0.05) of drought stress on key agronomic traits, decreased dry weight, grain weight, and biomass yield by 39%, 43% and 37%, respectively, and delayed flowering by an average of 11 days. Key genotype-specific traits associated with drought recovery included rapid rehydration, compensatory growth, and maintenance of high relative chlorophyll content, all of which were essential for optimizing yields after stress. Leveraging drought tolerance indices, genotypes were ranked by their recovery potential and further classified into four distinct groups (A–D) based on their yield performance and stability under the two watering regimes. Genotypes in category A demonstrated high yield stability and strong recovery potential. Conversely, genotypes in category D exhibited the poorest recovery response. Overall, the information generated from this study will support future sorghum breeding efforts for drought resilience. Full article
Show Figures

Figure 1

18 pages, 2205 KB  
Article
Design of Residual Stress-Balanced Transferable Encapsulation Platform Using Urethane-Based Polymer Superstrate for Reliable Wearable Electronics
by Sung-Hun Jo, Donghwan Kim, Chaewon Park and Eun Gyo Jeong
Polymers 2025, 17(19), 2688; https://doi.org/10.3390/polym17192688 - 4 Oct 2025
Viewed by 352
Abstract
Wearable and skin-mounted electronics demand encapsulation designs that simultaneously provide strong barrier performance, mechanical reliability, and transferability under ultrathin conditions. In this study, a residual stress-balanced transferable encapsulation platform was developed by integrating a urethane-based copolymer superstrate [p(IEM-co-HEMA)] with inorganic thin films. The [...] Read more.
Wearable and skin-mounted electronics demand encapsulation designs that simultaneously provide strong barrier performance, mechanical reliability, and transferability under ultrathin conditions. In this study, a residual stress-balanced transferable encapsulation platform was developed by integrating a urethane-based copolymer superstrate [p(IEM-co-HEMA)] with inorganic thin films. The polymer, deposited via initiated chemical vapor deposition (iCVD), offered over 90% optical transmittance, low RMS roughness (1–3 nm), and excellent solvent resistance, providing a stable base for inorganic barrier integration. An ALD Al2O3/ZnO nano-stratified barrier initially delivered effective moisture blocking, but tensile stress accumulation imposed a critical thickness of 30 nm, where the WVTR plateaued at ~2.5 × 10−4 g/m2/day. To overcome this limitation, a 40 nm e-beam SiO2 capping layer was added, introducing compressive stress via atomic peening and stabilizing Al2O3 interfaces through Si–O–Al bonding. This stress-balanced design doubled the critical thickness to 60 nm and reduced the WVTR to 3.75 × 10−5 g/m2/day, representing an order-of-magnitude improvement. OLEDs fabricated on this ultrathin platform preserved J–V–L characteristics and efficiency (~4.5–5.0 cd/A) after water-assisted transfer and on-skin deformation, while maintaining LT80 lifetimes of 140–190 h at 400 cd/m2 and stable emission for over 20 days in ambient storage. These results demonstrate that the stress-balanced encapsulation platform provides a practical route to meet the durability and reliability requirements of next-generation wearable optoelectronic devices. Full article
(This article belongs to the Section Polymer Applications)
Show Figures

Figure 1

18 pages, 5815 KB  
Article
Solvent-Responsive Luminescence of an 8-Hydroxyquinoline-Modified 1H-Imidazo[4,5-f][1,10]phenanthroline Ligand and Its Cu(I) Complexes: Excited-State Mechanisms and Structural Effects
by Zhenqin Zhao, Siyuan Liu, Shu Cui, Yichi Zhang, Ziqi Jiang and Xiuling Li
Molecules 2025, 30(19), 3973; https://doi.org/10.3390/molecules30193973 - 3 Oct 2025
Viewed by 288
Abstract
Understanding how solvents influence the luminescence behavior of Cu(I) complexes is crucial for designing advanced optical sensors. This study reports the synthesis, structures and photophysical investigation of an 8-hydroxyquinoline-functionalized 1H-imidazo[4,5-f][1,10]phenanthroline ligand, ipqH2, and its four Cu(I) complexes [...] Read more.
Understanding how solvents influence the luminescence behavior of Cu(I) complexes is crucial for designing advanced optical sensors. This study reports the synthesis, structures and photophysical investigation of an 8-hydroxyquinoline-functionalized 1H-imidazo[4,5-f][1,10]phenanthroline ligand, ipqH2, and its four Cu(I) complexes with diphosphine co-ligands. Photoluminescence studies demonstrated distinct solvent-dependent excited-state mechanisms. In DMSO/alcohol mixtures, free ipqH2 exhibited excited-state proton transfer (ESPT) and enol-keto tautomerization, producing dual emission at about 447 and 560 nm, while the complexes resisted ESPT due to hydrogen bond blocking by PF6 anions and Cu(I) coordination. In DMSO/H2O, aggregation-caused quenching (ACQ) and high-energy O–H vibrational quenching dominated, but complexes 1 and 2 showed a significant red-shifted emission (569–574 nm) with high water content due to solvent-stabilized intra-ligand charge transfer and metal-to-ligand charge transfer ((IL+ML)CT) states. In DMSO/DMF, hydrogen bond competition and solvation-shell reorganization led to distinct responses: complexes 1 and 3, with flexible bis[(2-diphenylphosphino)phenyl]ether (POP) ligands, displayed peak splitting and (IL + ML)CT redshift emission (501 ⟶ 530 nm), whereas complexes 2 and 4, with rigid 9,9-dimethyl-4,5-bis(diphenylphosphino)-9H-xanthene (xantphos), showed weaker responses. The flexibility of the diphosphine ligand dictated DMF sensitivity, while the coordination, the hydrogen bonds between PF6 anions and ipqH2, and water solubility governed the alcohol/water responses. This work elucidates the multifaceted solvent-responsive mechanisms in Cu(I) complexes, facilitating the design of solvent-discriminative luminescent sensors. Full article
(This article belongs to the Special Issue Influence of Solvent Molecules in Coordination Chemistry)
Show Figures

Graphical abstract

14 pages, 9892 KB  
Article
Research on Chromium-Free Passivation and Corrosion Performance of Pure Copper
by Xinghan Yu, Ziye Xue, Haibo Chen, Wei Li, Hang Li, Jing Hu, Jianli Zhang, Qiang Chen, Guangya Hou and Yiping Tang
Materials 2025, 18(19), 4585; https://doi.org/10.3390/ma18194585 - 2 Oct 2025
Viewed by 454
Abstract
In response to the actual needs of pure copper bonding wires, it is crucial to develop a chromium-free passivator that is environmentally friendly and has excellent corrosion resistance. In this study, three different composite organic formulations of chromium-free passivation solutions are selected: 2-Amino-5-mercapto-1,3,4 [...] Read more.
In response to the actual needs of pure copper bonding wires, it is crucial to develop a chromium-free passivator that is environmentally friendly and has excellent corrosion resistance. In this study, three different composite organic formulations of chromium-free passivation solutions are selected: 2-Amino-5-mercapto-1,3,4 thiadiazole (AMT) + 1-phenyl-5-mercapto tetrazolium (PMTA), 2-mercaptobenzimidazole (MBI) + PMTA, and Hexadecanethiol (CHS) + sodium dodecyl sulfate (SDS). The performance analysis and corrosion mechanism were compared with traditional hexavalent chromium passivation through characterization techniques such as XRD, SEM, and XPS. The results show that the best corrosion resistance formula is the combination of the PMTA and MBI passivation agent, and all its performances are superior to those of hexavalent chromium. The samples treated with this passivation agent corrode within 18 s in the nitric acid drop test, which is better than the 16 s for Cr6+ passivation. The samples do not change color after being immersed in salt water for 48 h. Electrochemical tests and high-temperature oxidation test also indicate better corrosion resistance than Cr6+ passivation. Through the analysis of functional groups and bonding, the excellent passivation effect is demonstrated to be achieved by the synergistic action of the chemical adsorption film formation of PMTA and the anchoring effect of MBI. Eventually, a dense Cu-PMTA-BMI film is formed on the surface, which effectively blocks the erosion of the corrosive medium and significantly improves the corrosion resistance. Full article
(This article belongs to the Special Issue Antibacterial and Corrosion-Resistant Coatings for Marine Application)
Show Figures

Figure 1

30 pages, 12156 KB  
Article
Spatial and Data-Driven Approaches for Mitigating Urban Heat in Coastal Cities
by Ke Li and Haitao Wang
Buildings 2025, 15(19), 3544; https://doi.org/10.3390/buildings15193544 - 2 Oct 2025
Viewed by 346
Abstract
With accelerating urbanization and global climate warming, Urban Heat Islands (UHIs) pose serious threats to urban development. Existing UHI research mainly focuses on inland regions, lacking systematic understanding of coastal city heat island mechanisms. We selected eight Chinese coastal cities with different backgrounds, [...] Read more.
With accelerating urbanization and global climate warming, Urban Heat Islands (UHIs) pose serious threats to urban development. Existing UHI research mainly focuses on inland regions, lacking systematic understanding of coastal city heat island mechanisms. We selected eight Chinese coastal cities with different backgrounds, quantitatively assessed urban heat island intensity based on summer 2023 Landsat 8 remote sensing data, established block-LCZ spatial analysis units, and employed a combination of machine learning models and causal inference methods to systematically analyze the regional differentiation characteristics of Urban Heat Island Intensity (UHII) and the influence mechanisms of multi-dimensional driving factors within land–sea interaction contexts. The results revealed the following: (1) UHII in the study area presents obvious spatial differentiation, with the highest value occurring in Hong Kong (2.63 °C). Northern cities generally had higher values than southern ones. (2) Different Local Climate Zone (LCZ) types show significant differences in thermal contributions, with LCZ2 (compact midrise) blocks presenting the highest UHII values in most cities, while LCZ G (water) and LCZ A (dense trees) blocks exhibit stable cooling effects. Nighttime light (NTL) and distance to sea (DS) are dominant factors affecting UHII, with NTL marginal effect curves generally presenting hump-shaped characteristics, while DS shows different response patterns across cities. (3) Causal inference reveals true causal driving mechanisms beyond correlations, finding that causal effects of key factors exhibit significant spatial heterogeneity. The research findings provide a new cognitive framework for understanding the formation mechanisms of thermal environments in Chinese coastal cities and offer a quantitative basis for formulating regionalized UHI mitigation strategies. Full article
(This article belongs to the Section Architectural Design, Urban Science, and Real Estate)
Show Figures

Figure 1

22 pages, 5839 KB  
Article
Research and Application of Deep Coalbed Gas Production Capacity Prediction Models
by Aiguo Hu, Kezhi Li, Changyu Yao, Xinchun Zhu, Hui Chang, Zheng Mao, He Ma and Xinfang Ma
Processes 2025, 13(10), 3149; https://doi.org/10.3390/pr13103149 - 1 Oct 2025
Viewed by 330
Abstract
The accurate prediction of single-well production performance necessitates considering the multiple factors influencing the dynamic changes in coal seam permeability during deep coalbed methane (CBM) extraction. This study focuses on Block D of the Ordos Basin. The Langmuir monolayer adsorption model was selected [...] Read more.
The accurate prediction of single-well production performance necessitates considering the multiple factors influencing the dynamic changes in coal seam permeability during deep coalbed methane (CBM) extraction. This study focuses on Block D of the Ordos Basin. The Langmuir monolayer adsorption model was selected to describe gas adsorption behavior, and a productivity prediction model for deep CBM was developed by coupling multiple dynamic effects, including stress sensitivity, matrix shrinkage, gas slippage, and coal fines production and blockage. The results indicate that the stress sensitivity coefficients of artificial fracture networks and cleat fractures are key factors affecting the accuracy of CBM productivity predictions. Under accurate stress sensitivity coefficients, the predicted daily gas production rates of the productivity model for single wells showed errors ranging from 1.89% to 14.22%, with a mean error of 8.15%, while the predicted daily water production rates had errors between 0.35% and 17.66%, with a mean error of 8.68%. This demonstrates that the established productivity prediction model for deep CBM aligns with field observations. The findings can provide valuable references for production performance analysis and development planning for deep CBM wells. Full article
(This article belongs to the Special Issue Numerical Simulation and Application of Flow in Porous Media)
Show Figures

Figure 1

27 pages, 6300 KB  
Article
From Trends to Drivers: Vegetation Degradation and Land-Use Change in Babil and Al-Qadisiyah, Iraq (2000–2023)
by Nawar Al-Tameemi, Zhang Xuexia, Fahad Shahzad, Kaleem Mehmood, Xiao Linying and Jinxing Zhou
Remote Sens. 2025, 17(19), 3343; https://doi.org/10.3390/rs17193343 - 1 Oct 2025
Viewed by 548
Abstract
Land degradation in Iraq’s Mesopotamian plain threatens food security and rural livelihoods, yet the relative roles of climatic water deficits versus anthropogenic pressures remain poorly attributed in space. We test the hypothesis that multi-timescale climatic water deficits (SPEI-03/-06/-12) exert a stronger effect on [...] Read more.
Land degradation in Iraq’s Mesopotamian plain threatens food security and rural livelihoods, yet the relative roles of climatic water deficits versus anthropogenic pressures remain poorly attributed in space. We test the hypothesis that multi-timescale climatic water deficits (SPEI-03/-06/-12) exert a stronger effect on vegetation degradation risk than anthropogenic pressures, conditional on hydrological connectivity and irrigation. Using Babil and Al-Qadisiyah (2000–2023) as a case, we implement a four-part pipeline: (i) Fractional Vegetation Cover with Mann–Kendall/Sen’s slope to quantify greening/browning trends; (ii) LandTrendr to extract disturbance timing and magnitude; (iii) annual LULC maps from a Random Forest classifier to resolve transitions; and (iv) an XGBoost classifier to map degradation risk and attribute climate vs. anthropogenic influence via drop-group permutation (ΔAUC), grouped SHAP shares, and leave-group-out ablation, all under spatial block cross-validation. Driver attribution shows mid-term and short-term drought (SPEI-06, SPEI-03) as the strongest predictors, and conditional permutation yields a larger average AUC loss for the climate block than for the anthropogenic block, while grouped SHAP shares are comparable between the two, and ablation suggests a neutral to weak anthropogenic edge. The XGBoost model attains AUC = 0.884 (test) and maps 9.7% of the area as high risk (>0.70), concentrated away from perennial water bodies. Over 2000–2023, LULC change indicates CA +515 km2, HO +129 km2, UL +70 km2, BL −697 km2, WB −16.7 km2. Trend analysis shows recovery across 51.5% of the landscape (+29.6% dec−1 median) and severe decline over 2.5% (−22.0% dec−1). The integrated design couples trend mapping with driver attribution, clarifying how compounded climatic stress and intensive land use shape contemporary desertification risk and providing spatial priorities for restoration and adaptive water management. Full article
Show Figures

Graphical abstract

Back to TopTop