Sign in to use this feature.

Years

Between: -

Subjects

remove_circle_outline
remove_circle_outline
remove_circle_outline
remove_circle_outline
remove_circle_outline
remove_circle_outline
remove_circle_outline
remove_circle_outline
remove_circle_outline

Journals

remove_circle_outline
remove_circle_outline
remove_circle_outline
remove_circle_outline
remove_circle_outline
remove_circle_outline

Article Types

Countries / Regions

remove_circle_outline
remove_circle_outline
remove_circle_outline
remove_circle_outline
remove_circle_outline

Search Results (422)

Search Parameters:
Keywords = wall jets

Order results
Result details
Results per page
Select all
Export citation of selected articles as:
27 pages, 5287 KB  
Review
Recent Advances in Experimental and Numerical Studies on Cloud and Erosion Behaviors in Cavitating Jets
by Nobuyuki Fujisawa
Fluids 2026, 11(1), 14; https://doi.org/10.3390/fluids11010014 (registering DOI) - 31 Dec 2025
Abstract
Recent advances in experimental techniques for visualizing cloud behavior, pit formation, and erosion in cavitating jets have been reviewed. To characterize the erosion behavior of cavitating jets and clarify their erosion mechanisms, various experimental techniques—such as high-speed imaging, frame difference method, proper orthogonal [...] Read more.
Recent advances in experimental techniques for visualizing cloud behavior, pit formation, and erosion in cavitating jets have been reviewed. To characterize the erosion behavior of cavitating jets and clarify their erosion mechanisms, various experimental techniques—such as high-speed imaging, frame difference method, proper orthogonal decomposition (POD) analysis, pit sensors, polyvinylidene fluoride (PVDF) sensors, laser schlieren imaging, and cross schlieren imaging—have been developed. Experimental results demonstrated that the erosion mechanism of cavitating jets is highly correlated with periodic cloud behaviors, including the growth, shrinkage, and collapse, which generate impulsive pressure on the wall material. This pressure initiates random pits on the wall surface and is associated with the generation of microjets caused by the reentrant-jet mechanism during cloud collapse near the wall. Several shockwaves were generated at peak impulsive pressures when the cavitation cloud collapsed, and a microjet was formed. Some of these experimental findings were successfully reproduced in recent numerical studies; however, further numerical modeling of erosion behavior in cavitating jets is still needed. Furthermore, the behavior of cavitating jets on rough walls requires future study, as the erosion rate is significantly higher than that on smooth walls. Full article
(This article belongs to the Special Issue Feature Reviews for Fluids 2025–2026)
Show Figures

Figure 1

18 pages, 5746 KB  
Article
Cooling Performance of Impingement–Effusion Double-Wall Configurations Under Atmospheric and Elevated Pressures
by Rongxing Zhang, Wei Li, Jianbai Jiang, Xudong Lang, Jinxin Dai, Tianyou Lian, Xiaoxiang Shi and Wei Li
Appl. Sci. 2026, 16(1), 297; https://doi.org/10.3390/app16010297 - 27 Dec 2025
Viewed by 116
Abstract
The combustor liner of the modern aero-engine operates under extreme thermal loads with limited coolant supply, necessarily making efficient cooling approaches important. Impingement–effusion double-wall cooling integrates impingement, convection, and film cooling, but most studies testing this approach have been conducted at atmospheric pressure, [...] Read more.
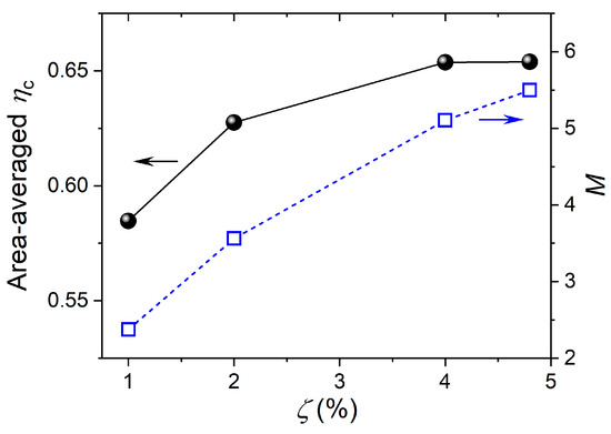
The combustor liner of the modern aero-engine operates under extreme thermal loads with limited coolant supply, necessarily making efficient cooling approaches important. Impingement–effusion double-wall cooling integrates impingement, convection, and film cooling, but most studies testing this approach have been conducted at atmospheric pressure, limiting the application of the technology in real engines. This work experimentally and numerically evaluates the cooling performance of baseline and optimized configurations, focusing on the effects of pressure drop, initial cooling filmand operating pressure under atmospheric and elevated pressures up to 0.3 MPa. The results show that increasing the pressure drop enhances cooling effectiveness, which can be attributed to enhanced jet momentum and cooling film coverage, though benefits diminish when the pressure drop further increases to over 4%. Introducing initial film cooling extends upstream protection, improves downstream uniformity, and stabilizes overall effectiveness across varying pressure drops. Elevated operating pressure further enhances the cooling effectiveness of impingement–effusion cooling, as higher coolant density promotes stronger impingement and more coherent cooling film formation. The simulations confirm that pressure-induced density effects dominate the cooling process, whereas blowing-ratio-based similarity fails to capture these dependencies. The results highlight the limitations of atmospheric evaluations and provide physical insights for designing efficient combustor liners under realistic pressure conditions. Full article
(This article belongs to the Section Applied Thermal Engineering)
Show Figures

Figure 1

18 pages, 3576 KB  
Article
External Annular Air Curtain to Mitigate Aerosol Pollutants in Wet-Mix Shotcrete Processes
by Kunhua Liu, Shu Wang, Zhen Guo, Longzhe Jin and Junyong Cui
Buildings 2026, 16(1), 110; https://doi.org/10.3390/buildings16010110 (registering DOI) - 25 Dec 2025
Viewed by 179
Abstract
Dust generation from wet-mix shotcrete (WMS) is a major source of aerosol pollutants in underground construction. However, research on aerosol pollutant control equipment during the WMS process is still scarce. To achieve effective control of aerosol pollution during WMS production, this study introduced [...] Read more.
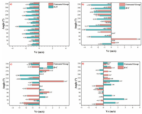
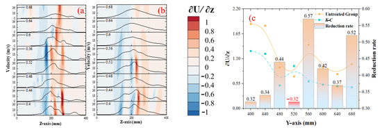
Dust generation from wet-mix shotcrete (WMS) is a major source of aerosol pollutants in underground construction. However, research on aerosol pollutant control equipment during the WMS process is still scarce. To achieve effective control of aerosol pollution during WMS production, this study introduced and applied air curtain dust suppression technology. A multi-dimensional jet test platform was used to investigate the dust suppression effects of a direct air curtain, an inner ring wall-attached air curtain, and an outer ring wall-attached air curtain during WMS production. By analyzing the variation characteristics of the dust concentration curve, key characteristic points were determined, and the diffusion phase and sedimentation phase were demarcated. With the incorporation of a K-C air curtain, the range reduction rates for the diffusion and sedimentation phases reached 51.92% and 80.85%, respectively, with an aerosol control efficiency of 57.10%. Additionally, numerical simulation was conducted to investigate the flow field characteristics during WMS production. It was found that the radial velocity gradient of the entire flow field in the spatial coordinate system was reduced, with a maximum reduction rate of 57% at (Y-axis = 560 mm). Furthermore, the affected area of the vorticity in the main jet shear layer was significantly reduced. Full article
(This article belongs to the Section Building Energy, Physics, Environment, and Systems)
Show Figures

Figure 1

21 pages, 7314 KB  
Article
Improvement of Water-Cooling Performance for Combustion Chamber Through Optimization of Flow Channel Structure
by Daijian Wu, Guozheng Quan, Fanxin Meng, Si Li and Yanze Yu
Materials 2026, 19(1), 87; https://doi.org/10.3390/ma19010087 - 25 Dec 2025
Viewed by 176
Abstract
A complex operating environment poses significant challenges to the design of ramjet combustion chambers as high-enthalpy wind tunnels and their associated high-temperature, high-pressure combustion chambers continue to advance. This study developed a thermal–fluid–structure coupling finite element (FE) model based on the computational fluid [...] Read more.
A complex operating environment poses significant challenges to the design of ramjet combustion chambers as high-enthalpy wind tunnels and their associated high-temperature, high-pressure combustion chambers continue to advance. This study developed a thermal–fluid–structure coupling finite element (FE) model based on the computational fluid dynamics (CFD) numerical simulation method to simulate the service conditions of combustion chambers under varying structures. Subsequently, FE simulation results were used to study the influences of combustion chamber structure on fluid flow characteristics, variation in cooling water pressure, temperature and stress of a combustion chamber wall. The results showed that after cooling water entered the chamber as a stable jet, it impacted the wall surface and formed a bidirectional vortex flow, which then entered the cooling water channels. Modifying the slope of a cooling water channel can effectively reduce pressure within the combustion chamber. It is noteworthy that the inlet equivalent stress of a combustion chamber decreases with an increasing slope, whereas outlet equivalent stress increases correspondingly. Finally, through comprehensive analysis, the optimal slope of a cooling water channel was determined to be 0.3°. This work provides essential theoretical insights for optimizing the design of combustion chambers. Full article
(This article belongs to the Special Issue Research on Performance Improvement of Advanced Alloys (2nd Edition))
Show Figures

Figure 1

19 pages, 11606 KB  
Article
Hot Streak Migration and Exit Temperature Distribution in a Model Combustor Under Inlet Velocity Distortion Conditions
by Xin Chen, Kaibo Hou, Ping Jiang, Yongzhou Li, Wenzhe Cai, Xingyan Tang and Zejun Wu
Aerospace 2026, 13(1), 20; https://doi.org/10.3390/aerospace13010020 - 25 Dec 2025
Viewed by 96
Abstract
The non-uniformity of the inlet velocity profile (referred to as inlet distortion) in a gas turbine combustor critically influences the outlet temperature distribution, which is a key factor for the operational safety and durability of the turbine blades. To investigate the influence of [...] Read more.
The non-uniformity of the inlet velocity profile (referred to as inlet distortion) in a gas turbine combustor critically influences the outlet temperature distribution, which is a key factor for the operational safety and durability of the turbine blades. To investigate the influence of inlet velocity distortion on the outlet temperature distribution factor (OTDF) and the hot streak evolution in a combustor, scaled-adaptive simulations (SAS) and experiments were conducted at an inlet temperature of 400 K, an inlet total pressure of 0.20 MPa, and a fuel–air ratio (FAR) of 0.018. RP-3 aviation kerosene was used as fuel for this investigation. The results show that in the primary zone, the heat release rate is quite low in the counter-current region, while it is very high in the co-current region. In the area downstream of the primary zone, intense heat release mainly takes place near the primary and dilution jets. The substantial penetration of the jets results in a relatively low FAR at the mid-height part of the liner, while the FAR is relatively high near the wall leading to the formation of hot streaks. Critically, experimental data demonstrate that the defined inlet distortions substantially increase the OTDF by 40 percentage points (from approximately 10% to 50%), highlighting a significant challenge for combustor design. This work provides validated insight into the linkage between inflow distortions and critical thermal loads, which is essential for developing more robust combustion systems. Full article
(This article belongs to the Section Aeronautics)
Show Figures

Figure 1

28 pages, 10398 KB  
Article
CFD Simulation and Experimental Investigation of Water Distribution Patterns in Transitional Attack
by Hui Xu, Jianan Men, Tianze Zhang, Zhen Liu, Qiang Liang and Xiaopo Wang
Fire 2026, 9(1), 14; https://doi.org/10.3390/fire9010014 - 25 Dec 2025
Viewed by 134
Abstract
Transitional attack represents a pivotal tactic in modern firefighting, whose efficacy is profoundly contingent upon the impact characteristics of water streams and their subsequent distribution patterns. This study integrates computational fluid dynamics (CFD) simulations with experimental validation to develop a momentum decomposition model [...] Read more.
Transitional attack represents a pivotal tactic in modern firefighting, whose efficacy is profoundly contingent upon the impact characteristics of water streams and their subsequent distribution patterns. This study integrates computational fluid dynamics (CFD) simulations with experimental validation to develop a momentum decomposition model for jet impingement on a ceiling. The model analyzes the dominant mechanisms of tangential spread and normal rebound on water distribution and optimizes water application strategies. Theoretical analysis reveals that upon ceiling impact, the normal velocity component of the stream undergoes rapid attenuation, causing the flow to be predominantly governed by tangential diffusion. This phenomenon results in an asymmetrically elliptical ground distribution, characterized by a significant concentration of water volume at the terminus of the diffusion path, while wall boundaries induce further water accumulation. A comparative analysis of the stream impact process and water distribution demonstrates a high degree of concordance between experimental and simulation results, thereby substantiating the reliability of the proposed model. Numerical simulations demonstrate that an increased jet angle markedly improves both coverage area and flux density. Higher water pressure enhances jet kinetic energy, leading to improved distribution uniformity. Appropriately extending the horizontal projection distance of the water jet further contributes to broadening the effective coverage. The parametric combination of a 49° jet angle, water pressure of 0.2–0.25 MPa, and a relative horizontal distance of 1.5–2.0 m is identified as optimal for overall performance. This research provides a scientific foundation and practical operational guidelines for enhancing the efficiency and safety of the transitional attack methodology. Full article
Show Figures

Figure 1

23 pages, 5626 KB  
Article
Research on Buckling Failure Test and Prevention Strategy of Boom Structure of Elevating Jet Fire Truck
by Wuhe Sun, Kai Cheng, Yan Zhao, Bowen Guan, Bin Wu and Erfei Zhao
Symmetry 2026, 18(1), 39; https://doi.org/10.3390/sym18010039 - 24 Dec 2025
Viewed by 225
Abstract
The purpose of this study is to investigate the buckling behavior and failure mechanism of the boom of large-scale elevating jet fire trucks, so as to provide support for its safety design and service life improvement. In terms of research methods, a combination [...] Read more.
The purpose of this study is to investigate the buckling behavior and failure mechanism of the boom of large-scale elevating jet fire trucks, so as to provide support for its safety design and service life improvement. In terms of research methods, a combination of double-version control tests and refined finite element simulations was adopted to carry out a systematic study. The research results show that the boom base plate exhibits typical sinusoidal wave buckling deformation when the load coefficient is between 0.45 and 0.5, and the wavelength is highly consistent with the theoretical prediction; under the critical load, the strain amplitude shows a significant nonlinear jump, which confirms the buckling mechanism of the coupling between geometric nonlinearity and material plasticity; under the ultimate load, the structure undergoes local buckling failure, the failure location is in good agreement with the simulation prediction, and the test results are highly consistent with the simulation results within the engineering allowable range, which verifies the reliability and applicability of the model. The research conclusion is the establishment of evaluation criteria for buckling failure of box-type knuckle arms: visible buckling waves appear, and the strain exceeds 40%. Based on this conclusion, optimizing the width-thickness ratio of the plate, strengthening the web constraint and improving the manufacturing process can effectively enhance the anti-buckling performance of the thin-walled box structure. Full article
(This article belongs to the Section Engineering and Materials)
Show Figures

Figure 1

23 pages, 6286 KB  
Article
Partially Averaged Navier–Stokes k-ω Modeling of Thermal Mixing in T-Junctions
by Ashhar Bilal, Puzhen Gao, Muhammad Irfan Khalid, Abid Hussain and Ali Mansoor
J. Nucl. Eng. 2026, 7(1), 2; https://doi.org/10.3390/jne7010002 - 24 Dec 2025
Viewed by 200
Abstract
The temperature fluctuations due to the mixing of two streams in a T-junction induce thermal stresses in the piping material, resulting in a pipe failure in Nuclear Power Plants. The numerical modeling of the thermal mixing in T-junctions is a challenging task in [...] Read more.
The temperature fluctuations due to the mixing of two streams in a T-junction induce thermal stresses in the piping material, resulting in a pipe failure in Nuclear Power Plants. The numerical modeling of the thermal mixing in T-junctions is a challenging task in computational fluid dynamics (CFD) as it requires advanced turbulence modeling with scale-resolving capabilities for accurate prediction of the temperature fluctuations near the wall. One approach to address this challenge is using Partially Averaged Navier–Stokes modeling (PANS), which can capture the unresolved turbulent scales more accurately than traditional Reynolds-Averaged Navier–Stokes models. PANS modeling with k-ε closure gives encouraging results in the case of the Vattenfall T-junction benchmark case. In this study, PANS k-ω closure modeling is implemented for the WATLON T-junction Benchmark case. The momentum ratio (MR) for two inlet streams is 8.14, which is a wall jet case. The time-averaged and root mean square velocity and temperature profiles are compared with the PANS k-ε and LES results and with experimental data. The velocity and temperature field results for PANS k-ω are close to the experimental data as compared to the PANS k-ε for a given filter control parameter fk. Full article
Show Figures

Figure 1

20 pages, 7702 KB  
Article
Vibration Behaviour of Topologically Optimised Sacrificial Geometries for Precision Machining of Thin-Walled Components
by Evren Yasa, Ozgur Poyraz, Finlay P. C. Parson, Anthony Molyneux, Marie E. Baxter and James Hughes
Materials 2026, 19(1), 70; https://doi.org/10.3390/ma19010070 - 24 Dec 2025
Viewed by 259
Abstract
Additive manufacturing (AM) enables the consolidation of components and the integration of new functionalities in metallic parts, but layered fabrication often results in poor surface quality and geometric deviations. Among various surface treatment techniques, machining is often favoured for its capability to enhance [...] Read more.
Additive manufacturing (AM) enables the consolidation of components and the integration of new functionalities in metallic parts, but layered fabrication often results in poor surface quality and geometric deviations. Among various surface treatment techniques, machining is often favoured for its capability to enhance not only surface finish but also critical geometric tolerances such as flatness and circularity, in addition to dimensional accuracy. However, machining AM components, particularly thin-walled structures, poses challenges related to unconventional material properties, complex fixturing, and heightened susceptibility to chatter. This study investigates the vibrational behaviour of thin-walled Ti6Al4V components produced via laser powder bed fusion, using a jet-engine compressor blade demonstrator. Four stock envelope designs were evaluated: constant, tapered, and two topologically optimised variants. After fabrication by Laser Powder Bed Fusion, the blades underwent tap testing and subsequent machining to assess changes in modal characteristics. The results show that optimised geometries can enhance modal performance without increasing the volume of the stock material. However, these designs exhibit more pronounced in situ modal changes during machining, due to greater variability in material removal and chip load, which amplifies vibration sensitivity compared to constant or tapered stock designs. Full article
(This article belongs to the Special Issue Cutting Processes for Materials in Manufacturing—Second Edition)
Show Figures

Figure 1

18 pages, 3267 KB  
Article
Bending Properties of Standardized Photopolymer–Silicone Hybrid Structures Manufactured via PolyJet Matrix
by Mateusz Rudnik, Wiktor Szot, Natalia Kowalska and Paweł Szczygieł
Materials 2025, 18(24), 5612; https://doi.org/10.3390/ma18245612 - 14 Dec 2025
Viewed by 228
Abstract
The study presented an analysis of the behaviour of cellular structures under bending, produced using the PolyJet Matrix (PJM) additive manufacturing method with photopolymer resin. Structures with regular cell geometry were designed to achieve a balance between stiffness, weight reduction, and energy absorption [...] Read more.
The study presented an analysis of the behaviour of cellular structures under bending, produced using the PolyJet Matrix (PJM) additive manufacturing method with photopolymer resin. Structures with regular cell geometry were designed to achieve a balance between stiffness, weight reduction, and energy absorption capacity. The aim of this study was to investigate the influence of unit-cell topology (quasi-similar, spiral, hexagonal honeycomb, and their core–skin hybrid combinations) on the flexural properties and deformation mechanisms of PolyJet-printed photopolymer beams under three-point bending. Additionally, all cellular configurations were fully infiltrated with a low-modulus platinum-cure silicone to evaluate the effect of complete polymer–elastomer interpenetration on load-bearing capacity, stiffness, ductility, and energy absorption. All tests were performed according to bending standard on specimens fabricated using a Stratasys Objet Connex350 printer with RGD720 photopolymer at 16 µm layer thickness. The results showed that the dominant failure mechanism was local buckling and gradual collapse of the cell walls. Among the silicone-filled cellular beams, the QS-Silicone configuration exhibited the best overall flexural performance, achieving a mean peak load of 37.7 ± 4.2 N, mid-span deflection at peak load of 11.4 ± 1.1 mm, and absorbed energy to peak load of 0.43 ± 0.06 J. This hybrid core–skin design (quasi-similar core + spiral skin) provided the optimum compromise between load-bearing capacity and deformation capacity within the infiltrated series. In contrast, the fully dense solid reference reached a significantly higher peak load of 136.6 ± 10.2 N, but failed in a brittle manner at only ~3 mm deflection, characteristic of UV-cured rigid photopolymers. All open-cell silicone-filled lattices displayed pseudo-ductile behaviour with extended post-peak softening, enabled by large-scale elastic buckling and silicone deformation and progressive buckling of the thin photopolymer struts. The results provided a foundation for optimising the geometry and material composition of photopolymer–silicone hybrid structures for lightweight applications with controlled stiffness-to-weight ratios. Full article
Show Figures

Figure 1

19 pages, 4245 KB  
Article
Study on the Cooling and Lubrication Mechanism and Properties of Soybean Oil-Based MQL and Different Cryogenic Media in Titanium Alloy Processing
by Zhiyong He, Dongzhou Jia, Qi Gao, Xiaoqiang Wu, Lan Wu and Yongqiang Fu
Lubricants 2025, 13(12), 540; https://doi.org/10.3390/lubricants13120540 - 11 Dec 2025
Viewed by 290
Abstract
The machining of Ti-6Al-4V thin-walled parts is characterized by high cutting temperatures, significant force fluctuations, and complex thermomechanical coupling. Cryogenic Minimum Quantity Lubrication Technology (CMQL) uses bio-lubricant as the lubrication carrier, combined with the cooling characteristics of cryogenic temperature medium, showing good cooling [...] Read more.
The machining of Ti-6Al-4V thin-walled parts is characterized by high cutting temperatures, significant force fluctuations, and complex thermomechanical coupling. Cryogenic Minimum Quantity Lubrication Technology (CMQL) uses bio-lubricant as the lubrication carrier, combined with the cooling characteristics of cryogenic temperature medium, showing good cooling and lubrication performance and environmental friendliness. However, the cooling and lubrication mechanism of different cryogenic media in synergy with bio-lubricants is still unclear. This paper establishes convective heat transfer coefficient and penetration models for cryogenic media in the cutting zone, based on the jet core theory and the continuum medium assumption. The model results show that cryogenic air has a higher heat transfer coefficient, while cryogenic CO2 exhibits a better penetration ability in the cutting zone. Further milling experiments show that compared with cryogenic air, the average temperature rise, average cutting force and surface roughness of workpiece surface with cryogenic CO2 as cryogenic medium are reduced by 23.6%, 32.8%, and 11.8%, respectively. It is considered that excellent permeability is the key to realize efficient cooling and lubrication in the cutting zone by Cryogenic CO2 Minimum Quantity Lubrication Technology. This study provides a theoretical basis and technical reference for efficient precision machining of titanium alloy thin-walled parts. Full article
(This article belongs to the Special Issue Tribological Properties of Biolubricants)
Show Figures

Figure 1

22 pages, 6228 KB  
Article
Development of an Experimental 3D Model of the Gas Flow in a Spiral Jet Mill and Validation of Abramovich’s Nozzle Jet Model
by Lisa Marie Radeke, Mathias Ulbricht and Heyko Jürgen Schultz
Appl. Sci. 2025, 15(24), 13010; https://doi.org/10.3390/app152413010 - 10 Dec 2025
Viewed by 275
Abstract
The processes occurring inside a spiral jet mill are significantly influenced by the flow conditions within the grinding chamber. As part of this work, an experimental 3D model of the grinding gas flow is successfully developed for the first time based on the [...] Read more.
The processes occurring inside a spiral jet mill are significantly influenced by the flow conditions within the grinding chamber. As part of this work, an experimental 3D model of the grinding gas flow is successfully developed for the first time based on the results of PIV measurements. This model demonstrates the typical spiral vortex flow superimposed by the nozzle jets, as well as the characteristic comminution and classifying zones. In addition, the three-dimensional analysis of the nozzle jet enables the first experimental validation of the theoretical assumption proposed in the literature that the flow dynamics in this region can be described by Abramovich’s nozzle jet model. The vortex pair located on the back of the nozzle jet essentially contributes to the formation of the kidney-shaped flow cross-section of the nozzle jet. The two vortices are verified both by the flow dynamics based on the unloaded grinding gas flow and by observing the abrasion on the inner wall of the grinding chamber caused by the particle-loaded flow. Consequently, the experimental findings can be utilized to create a model of the deflected and deformed nozzle jet, thereby providing a profound understanding of the flow processes within a spiral jet mill, particularly in the region of the nozzle jets. Full article
Show Figures

Figure 1

15 pages, 10523 KB  
Article
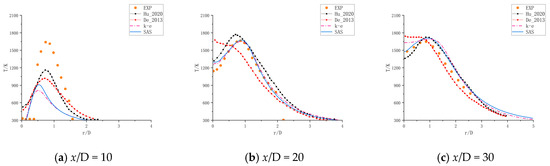
Investigation of Hot Spot Migration in an Annular Combustor Using the SAS Turbulence Model
by Ningfang Liu, Qi Zeng, Liang Wang, Chang Hu, Sihuai Qiu, Zhuo Tang and Jiahuan Cui
Energies 2025, 18(23), 6330; https://doi.org/10.3390/en18236330 - 2 Dec 2025
Viewed by 197
Abstract
Unsteady simulations were performed to investigate hot spot migration in an annular recirculation combustor equipped with two different swirler configurations. The Scale-Adaptive Simulation (SAS) turbulence model was applied, using steady-state results as the initial condition. The simulations reveal that (1) in both configurations, [...] Read more.
Unsteady simulations were performed to investigate hot spot migration in an annular recirculation combustor equipped with two different swirler configurations. The Scale-Adaptive Simulation (SAS) turbulence model was applied, using steady-state results as the initial condition. The simulations reveal that (1) in both configurations, high-temperature gases are divided into two regions by the high-velocity jets from the primary holes, forming a primary and a secondary recirculation zone; (2) with Swirler Configuration 1, the hot spot in the primary recirculation zone is more stable, and the hot spot temperature on the combustor liner is lower; (3) with Swirler Configuration 2, the hot spot exhibits a broader axial distribution, with higher temperatures on the wall of exhaust transition piece and at the outlet. Full article
Show Figures

Figure 1

24 pages, 12417 KB  
Article
Conjugate Heat Transfer and Thermal Stress Analysis of a Gas Turbine Double-Wall Cooling System with a Diamond-Type TPMS Effusion
by Kirttayoth Yeranee, Chao Xu, Yuli Cheng and Yu Rao
Energies 2025, 18(23), 6322; https://doi.org/10.3390/en18236322 - 1 Dec 2025
Viewed by 340
Abstract
This research numerically investigates the cooling performance of Diamond-type triply periodic minimal surface (TPMS) networks as a gas turbine effusion cooling layer, augmented with various jet impingement configurations. The study analyzes the internal and external flow characteristics, pressure loss, and overall cooling effectiveness [...] Read more.
This research numerically investigates the cooling performance of Diamond-type triply periodic minimal surface (TPMS) networks as a gas turbine effusion cooling layer, augmented with various jet impingement configurations. The study analyzes the internal and external flow characteristics, pressure loss, and overall cooling effectiveness using conjugate heat transfer simulations. The Diamond design is compared to conventional film cooling and micro-hole models within a blowing ratio range of 0.5 to 2.0. The jet hole diameter and jet-to-plate distance are varied to identify an optimal double-wall cooling configuration. The results reveal that the Diamond hole mitigates the strong discharge of coolant, resulting in a more adherent cooling film, which provides excellent surface coverage. While jet impingement enhances internal heat transfer, its contribution to cooling effectiveness is minor compared to the benefit of film coverage. At an equivalent total pressure loss coefficient, the Diamond with impinging jets demonstrates 101% higher cooling effectiveness than the film hole. The thermal-mechanical analysis indicates that the Diamond model exhibits a more uniform distribution of thermal stress and displacement. The average stress is reduced by 44.7% compared to the film hole. This work confirms the TPMS-based effusion as an advanced cooling solution for next-generation gas turbines. Full article
Show Figures

Figure 1

18 pages, 5433 KB  
Article
Numerical Investigation of Dual Vertical Water Jets Impinging on High-Temperature Steel
by Jianhui Shi, Zhao Zhang, Xiangfei Ji, Jinwen You and Feng Han
Metals 2025, 15(12), 1305; https://doi.org/10.3390/met15121305 - 27 Nov 2025
Viewed by 254
Abstract
The flow dynamics and heat transfer of dual vertical water jets impinging a high-temperature steel plate were numerically investigated using a three-dimensional model. A systematic parametric investigation was conducted by varying key operating conditions: including the jet velocity at the nozzle exit ( [...] Read more.
The flow dynamics and heat transfer of dual vertical water jets impinging a high-temperature steel plate were numerically investigated using a three-dimensional model. A systematic parametric investigation was conducted by varying key operating conditions: including the jet velocity at the nozzle exit (V = 5 m/s, 7.5 m/s, 10 m/s), the non-dimensional nozzle-to-plate distance (H = h/d = 3.3, 5.8, 8.3, 10.8), and the non-dimensional spacing between twin nozzles (W = w/d = 5, 7.5, 10). Upon impingement, multiple wall-jet flows formed on the steel plate surface, with their radial spread distance increasing along the plate’s surface. A wall-jet interaction zone developed between the two jets, accompanied by a linear fountain upwash flow. To depict the thermal and hydrodynamic characteristics, the distributions of the local Nusselt number and flow velocity vectors were examined. Findings suggest that fluctuations in W have little impact on the mean Nusselt number. Nevertheless, a growth in H brings about a concurrent increase in the Nusselt number of the stagnation point on the plate’s surface. Furthermore, the results indicate that W is a primary factor controlling the heat transfer rate within the interaction zone of the opposing wall jets. Full article
Show Figures

Figure 1

Back to TopTop