error_outline You can access the new MDPI.com website here. Explore and share your feedback with us.
 
 
Sign in to use this feature.

Years

Between: -

Subjects

remove_circle_outline
remove_circle_outline
remove_circle_outline
remove_circle_outline
remove_circle_outline
remove_circle_outline
remove_circle_outline
remove_circle_outline
remove_circle_outline

Journals

remove_circle_outline
remove_circle_outline
remove_circle_outline
remove_circle_outline

Article Types

Countries / Regions

remove_circle_outline
remove_circle_outline
remove_circle_outline
remove_circle_outline
remove_circle_outline

Search Results (322)

Search Parameters:
Keywords = volatile metabolic pathways

Order results
Result details
Results per page
Select all
Export citation of selected articles as:
18 pages, 10204 KB  
Article
Evolution of Jiang-Flavor Daqu’s Characteristics During Different Storage Stages and Influence on Simulated Brewing Fermentation
by Zihan Chen, Han Wang, Chongchao Wu, Xing Zheng, Guida Zhu, Jing Yu, Qiuxiang Tang and Ping Song
Foods 2026, 15(2), 220; https://doi.org/10.3390/foods15020220 - 8 Jan 2026
Abstract
Daqu quality plays a crucial role in the entire fermentation process of Baijiu. There is no empirical evidence for a scientific consensus on the storage period of Jiang-flavor Daqu and its quality evaluation. This study took Jiang-flavor Daqu from a liquor enterprise in [...] Read more.
Daqu quality plays a crucial role in the entire fermentation process of Baijiu. There is no empirical evidence for a scientific consensus on the storage period of Jiang-flavor Daqu and its quality evaluation. This study took Jiang-flavor Daqu from a liquor enterprise in Sichuan Province as the research object. It explored the changes in physicochemical indexes, microbial communities, and volatile flavor substances of the Daqu within 0–180 days of storage. Combined with simulated brewing experiments, it analyzed the effects of different storage periods of Daqu on fermented grain fermentation and the base wine quality and clarified the metabolic differences between Daqu stored for 30 days and 180 days by means of metabolomics. The results showed that the saccharification power and fermentation power of Daqu first increased and then stabilized, reaching 205 mg/g·h and 0.71 g/g·72, respectively, at 180 days. The microbial diversity first increased and then decreased, with Virgibacillus and Oceanobacillus alternately serving as the dominant bacteria. The flavor substances were more abundant within 60 days of storage, while the content of pyrazine compounds was the highest at 180 days. The wine yield of Daqu stored for 30 days was 2.26 times that of Daqu stored for 180 days. The brewing stage had the greatest impact on metabolites, and flavonoid synthesis was the key metabolic pathway. This study provides theoretical support for the scientific storage of Jiang-flavor Daqu and the standardization of its quality. Full article
Show Figures

Figure 1

26 pages, 377 KB  
Review
Airborne Radioiodine: A Comparative View of Chemical Forms in Medicine, Nuclear Industry, and Fallout Scenarios
by Klaus Schomäcker, Ferdinand Sudbrock, Thomas Fischer, Felix Dietlein, Markus Dietlein, Philipp Krapf and Alexander Drzezga
Int. J. Mol. Sci. 2026, 27(2), 590; https://doi.org/10.3390/ijms27020590 - 6 Jan 2026
Abstract
Airborne iodine-131 plays a pivotal role in both nuclear medicine and nuclear safety due to its radiotoxicity, volatility, and affinity for the thyroid gland. Although the total exhaled activity after medical I-131 therapy is minimal, over 95% of this activity appears in volatile [...] Read more.
Airborne iodine-131 plays a pivotal role in both nuclear medicine and nuclear safety due to its radiotoxicity, volatility, and affinity for the thyroid gland. Although the total exhaled activity after medical I-131 therapy is minimal, over 95% of this activity appears in volatile organic forms, which evade standard filtration and reflect metabolic pathways of iodine turnover. Our experimental work in patients and mice confirms the metabolic origin of these species, modulated by thyroidal function. In nuclear reactor environments, both under routine operation and during accidents, organic iodides such as [131I]CH3I have also been identified as major airborne components, often termed “penetrating iodine” due to their low adsorption to conventional filters. This review compares the molecular speciation, environmental persistence, and dosimetric impact of airborne I-131 across clinical, technical, and accidental release scenarios. While routine reactor emissions yield negligible doses (<0.1 µSv/year), severe nuclear incidents like Chernobyl and Fukushima have resulted in significant thyroid exposures. Doses from these events ranged from tens of millisieverts to several Sieverts, particularly in children. We argue that a deeper understanding of chemical forms is essential for effective risk assessment, filtration technology, and emergency preparedness. Iodine-131 exemplifies the dual nature of radioactive substances: in nuclear medicine its radiotoxicity is therapeutically harnessed, whereas in industrial or reactor contexts it represents an unwanted hazard. The same physicochemical properties that enable therapeutic efficacy also determine, in the event of uncontrolled release, the range, persistence, and the potential for unwanted radiotoxic exposure in the general population. In nuclear medicine, exhaled activity after radioiodine therapy is minute but largely organically bound, reflecting enzymatic and metabolic methylation processes. During normal reactor operation, airborne iodine levels are negligible and dominated by inorganic vapors efficiently captured by filtration systems. In contrast, major accidents released large fractions of volatile iodine, primarily as elemental [131I]I2 and organically bound iodine species like [131I]CH3I. The chemical nature of these compounds defined their atmospheric lifetime, transport distance, and deposition pattern, thereby governing the thyroid dose to exposed populations. Chemical speciation is the key determinant across all scenarios. Exhaled iodine in medicine is predominantly organic; routine reactor releases are negligible; severe accidents predominantly release elemental and organic iodine that drive environmental transport and exposure. Integrating these domains shows how chemical speciation governs volatility, mobility, and bioavailability. The novelty of this review lies not in introducing new iodine chemistry, but in the systematic comparative synthesis of airborne radioiodine speciation across medical therapy, routine nuclear operation, and severe accident scenarios, identifying chemical form as the unifying determinant of volatility, environmental transport, and dose. Full article
(This article belongs to the Topic Environmental Toxicology and Human Health—2nd Edition)
20 pages, 11309 KB  
Article
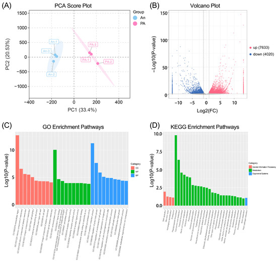
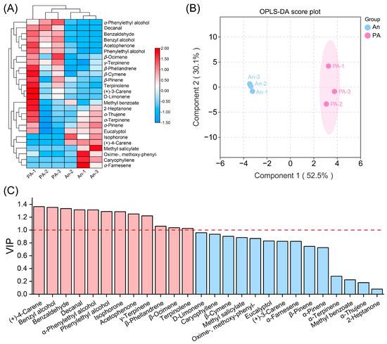
Elucidating Scent and Color Variation in White and Pink-Flowered Hydrangea arborescens ‘Annabelle’ Through Multi-Omics Profiling
by Yanguo Ke, Dongdong Wang, Zhongjian Fang, Ying Zou, Zahoor Hussain, Shahid Iqbal, Yiwei Zhou and Farhat Abbas
Plants 2026, 15(1), 155; https://doi.org/10.3390/plants15010155 - 4 Jan 2026
Viewed by 127
Abstract
The color and scent of flowers are vital ornamental attributes influenced by a complex interaction of metabolic and transcriptional mechanisms. Comparative analyses were performed to determine the molecular rationale for these features in Hydrangea arborescens, between the white-flowered variety ‘Annabelle’ (An) and [...] Read more.
The color and scent of flowers are vital ornamental attributes influenced by a complex interaction of metabolic and transcriptional mechanisms. Comparative analyses were performed to determine the molecular rationale for these features in Hydrangea arborescens, between the white-flowered variety ‘Annabelle’ (An) and its pink-flowered variant ‘Pink Annabelle’ (PA). Gas chromatography–mass spectrometry (GC–MS) detected 25 volatile organic compounds (VOCs) in ‘An’ and 21 in ‘PA’, with 18 chemicals common to both types. ‘An’ exhibited somewhat higher VOC diversity, whereas ‘PA’ emitted much bigger quantities of benzenoid and phenylpropanoid volatiles, including benzaldehyde, benzyl alcohol, and phenylethyl alcohol, resulting in a more pronounced floral scent. UPLC–MS/MS metabolomic analysis demonstrated obvious clustering of the two varieties and underscored the enrichment of phenylpropanoid biosynthesis pathways in ‘PA’. Transcriptomic analysis revealed 11,653 differentially expressed genes (DEGs), of which 7633 were elevated and linked to secondary metabolism. Key biosynthetic genes, including PAL, 4CL, CHS, DFR, and ANS, alongside transcription factors such as MYB—specifically TRINITY_DN5277_c0_g1, which is downregulated in ‘PA’ (homologous to AtMYB4, a negative regulator of flavonoid biosynthesis)—and TRINITY_DN23167_c0_g1, which is significantly upregulated in ‘PA’ (homologous to AtMYB90, a positive regulator of anthocyanin synthesis), as well as bHLH, ERF, and WRKY (notably TRINITY_DN25903_c0_g1, highly upregulated in ‘PA’ and homologous to AtWRKY75, associated with jasmonate pathway), demonstrating a coordinated activation of color and fragrance pathways. The integration of metabolomic and transcriptome data indicates that the pink-flowered ‘PA’ variety attains its superior coloring and aroma via the synchronized transcriptional regulation of the phenylpropanoid and flavonoid pathways. These findings offer novel molecular insights into the genetic and metabolic interplay of floral characteristics in Hydrangea. Full article
Show Figures

Figure 1

20 pages, 6675 KB  
Article
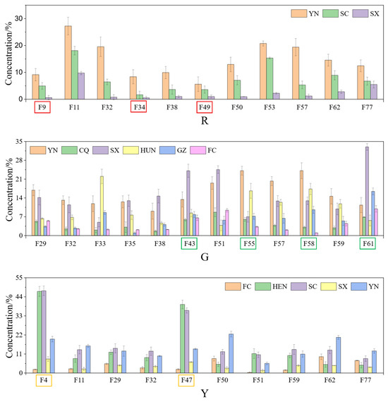
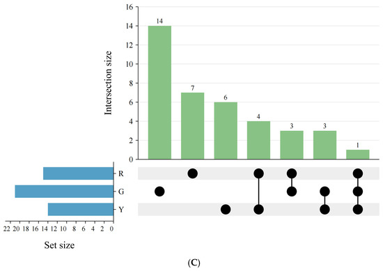
Characterization of Volatile Profile of Different Kiwifruits (Actinidia chinensis Planch) Varieties and Regions by Headspace-Gas Chromatography-Ion Mobility Spectrometry
by Lijuan Du, Yanan Bi, Jialiang Xiong, Xue Mu, Dacheng Zhai, Weixiang Chen, Hongcheng Liu and Yanping Ye
Foods 2026, 15(1), 152; https://doi.org/10.3390/foods15010152 - 3 Jan 2026
Viewed by 216
Abstract
The flavor and aroma of kiwifruit are largely influenced by the concentration of Volatile Organic Compounds (VOCs). To analyze the volatile profiles and identify characteristic aroma compounds, this study utilized Gas Chromatography-Ion Mobility Spectrometry (GC-IMS) to analyze the aromatic compounds sourced from seven [...] Read more.
The flavor and aroma of kiwifruit are largely influenced by the concentration of Volatile Organic Compounds (VOCs). To analyze the volatile profiles and identify characteristic aroma compounds, this study utilized Gas Chromatography-Ion Mobility Spectrometry (GC-IMS) to analyze the aromatic compounds sourced from seven major production regions in China and New Zealand, covering red-, green-, and yellow-fleshed varieties. A total of 77 VOCs were identified, with esters, aldehydes, and ketones as the dominant classes. Significant regional and varietal differences were observed: red-fleshed kiwifruits from Yunnan exhibited high levels of 2-Vinyl-5-methylfuran, Ethyl formate, and 1-Penten-3-one; green-fleshed fruits from Shaanxi were rich in Limonene and Methyl hexanoate, and those from Yunnan were rich in 1-Propanol and 1-Hexanol; and yellow-fleshed fruits from Henan were characterized by Methyl salicylate and 3-Hydroxy-2-butanone. Orthogonal partial least squares discriminant analysis (OPLS-DA) successfully classified kiwifruits by origin and variety, confirming the stability and predictive power of the model (Q2Y > 0.97). This study also elucidated the key metabolic pathways—including lipid oxidation, amino acid degradation, and terpenoid metabolism—underlying the formation of these characteristic VOCs. These findings provide a theoretical foundation for the biochemical regulation of kiwifruit flavor and support the development of origin-tracing and quality-assessment tools based on VOC fingerprints. Full article
(This article belongs to the Section Food Analytical Methods)
Show Figures

Figure 1

16 pages, 6885 KB  
Article
Distinct Rumen Microbial Features and Host Metabolic Responses in Three Cervid Species
by Yuhang Zhu, Yunfei Chai, Sibo Chen, Wenxi Qian, Huazhe Si and Zhipeng Li
Animals 2026, 16(1), 116; https://doi.org/10.3390/ani16010116 - 31 Dec 2025
Viewed by 223
Abstract
Rumen microbiota is pivotal for nutrient metabolism and physiological adaptation in ruminants. This study investigated the rumen microbial community, fermentation parameters, and serum biochemistry of three Cervid species—Sika deer (Cervus nippon), Reindeer (Rangifer tarandus), and Milu deer (Elaphurus [...] Read more.
Rumen microbiota is pivotal for nutrient metabolism and physiological adaptation in ruminants. This study investigated the rumen microbial community, fermentation parameters, and serum biochemistry of three Cervid species—Sika deer (Cervus nippon), Reindeer (Rangifer tarandus), and Milu deer (Elaphurus davidianus) (n = 5/group)—fed an identical diet. Using 16S rRNA sequencing and biochemical analyses, we found that while Bacteroidota, Firmicutes, and Proteobacteria were dominant phyla across species. Sika deer and Milu deer exhibited significantly higher microbial diversity and abundance of carbohydrate-digesting genera (e.g., Butyrivibrio, Saccharofermentans), and pathways of carbohydrate digestion and absorption, starch and sucrose metabolism compared to Reindeer. Conversely, Reindeer showed increased abundances of Lachnospiraceae ND3007 and butyrate metabolism pathway, and significantly elevated rumen volatile fatty acid concentrations, particularly acetate and butyrate. Serum profiling revealed that Milu deer had significantly higher lipid levels (CHO, TG, LDL-C) but lower total protein and AST levels compared to other species. Notably, WGCNA linked these blood lipid traits to host genes enriched in PI3K-Akt, MAPK, and bile secretion pathways. These findings demonstrate distinct species-specific rumen fermentation patterns and host metabolic adaptations, suggesting a coordinated regulation between the rumen microbiome and host genetics in Cervid. Full article
(This article belongs to the Special Issue Optimizing Rumen Functions for Digestive Efficiency)
Show Figures

Figure 1

38 pages, 2150 KB  
Review
Antifungal Biocontrol in Sustainable Crop Protection: Microbial Lipopeptides, Polyketides, and Plant-Derived Agents
by Nadya Armenova, Lidia Tsigoriyna, Alexander Arsov, Stefan Stefanov, Kaloyan Petrov, Wanmeng Mu, Wenli Zhang and Penka Petrova
J. Fungi 2026, 12(1), 22; https://doi.org/10.3390/jof12010022 - 27 Dec 2025
Viewed by 387
Abstract
Fungal phytopathogens cause significant global crop losses and remain a constant obstacle to sustainable food production. Biological control has become a vital alternative to synthetic fungicides, supported by the wide variety of antifungal molecules produced by bacteria, fungi, yeasts, and plants. This review [...] Read more.
Fungal phytopathogens cause significant global crop losses and remain a constant obstacle to sustainable food production. Biological control has become a vital alternative to synthetic fungicides, supported by the wide variety of antifungal molecules produced by bacteria, fungi, yeasts, and plants. This review consolidates current knowledge on the main classes of microbial secondary metabolites—particularly cyclic lipopeptides and polyketides from Bacillus, Pseudomonas, Streptomyces, Trichoderma, and related generа. It emphasizes their structural diversity, biosynthetic pathways, regulatory networks, and antifungal mechanisms. These molecules, including iturins, fengycins, surfactins, syringomycins, candicidins, amphotericin analogs, peptaibols, and epipolythiodioxopiperazines, target fungal membranes, mitochondria, cell walls, and signaling systems, offering broad activity against damaging pathogens such as Fusarium, Botrytis, Magnaporthe, Colletotrichum, Phytophthora, and Rhizoctonia. The plant-derived antifungal metabolites include essential volatile compounds that complement microbial agents and are increasingly important in eco-friendly crop protection. Recent progress in genomics, metabolic engineering, and synthetic biology has accelerated strain improvement and the discovery of new bioactive compounds. At the same time, global market analyses indicate rapid growth in microbial biofungicides driven by regulatory changes and consumer demand. Full article
(This article belongs to the Special Issue Plant Pathogenic Fungal Infections, Biocontrol and Novel Fungicides)
Show Figures

Figure 1

44 pages, 5018 KB  
Review
Essential Oils as Antioxidants: Mechanistic Insights from Radical Scavenging to Redox Signaling
by Yeqin Huang, Haniyeh Ebrahimi, Elena Berselli, Mario C. Foti and Riccardo Amorati
Antioxidants 2026, 15(1), 37; https://doi.org/10.3390/antiox15010037 - 26 Dec 2025
Cited by 1 | Viewed by 703
Abstract
Essential oils (EOs) are complex volatile mixtures that exhibit antioxidant activity through both chemical and biological pathways. Phenolic constituents act as efficient chain-breaking radical-trapping antioxidants, whereas some non-phenolic terpenes operate through distinct mechanisms. Notably, γ-terpinene functions via a “radical export” pathway, generating hydroperoxyl [...] Read more.
Essential oils (EOs) are complex volatile mixtures that exhibit antioxidant activity through both chemical and biological pathways. Phenolic constituents act as efficient chain-breaking radical-trapping antioxidants, whereas some non-phenolic terpenes operate through distinct mechanisms. Notably, γ-terpinene functions via a “radical export” pathway, generating hydroperoxyl radicals that intercept lipid peroxyl radicals and accelerate chain termination. Recent methodological advances, such as inhibited autoxidation kinetics, oxygen-consumption assays, and fluorescence-based lipid peroxidation probes, have enabled more quantitative evaluation of these activities. Beyond direct radical chemistry, EOs also regulate redox homeostasis by modulating signaling networks such as Nrf2/Keap1, thereby activating antioxidant response element–driven enzymatic defenses in cell and animal models. Phenolic constituents and electrophilic compounds bearing an α,β-unsaturated carbonyl structure may directly activate Nrf2 by modifying Keap1 cysteine residues, whereas non-phenolic terpenes likely depend on oxidative metabolism to form active electrophilic species. Despite broad evidence of antioxidant efficacy, molecular characterization of EO–protein interactions remains limited. This review integrates radical-chain dynamics with redox signaling biology to clarify the mechanistic basis of EO antioxidant activity and to provide a framework for future research. Full article
(This article belongs to the Special Issue Antioxidant Potential of Essential Oils)
Show Figures

Figure 1

11 pages, 1241 KB  
Article
Substrate Composition Shapes Methanogenesis, Microbial Ecology, and Digestate Dewaterability in Microbial Electrolysis Cell-Assisted Anaerobic Digestion of Food Waste
by Jiaojiao Yang, Baihui Cui, Xiaodong Xin, Yves Iradukunda and Wangwang Yan
Methane 2026, 5(1), 2; https://doi.org/10.3390/methane5010002 - 25 Dec 2025
Viewed by 160
Abstract
The compositional heterogeneity of food waste greatly influences its bioconversion in microbial electrolysis cell (MEC)-assisted anaerobic digestion (AD), but the underlying mechanism remains unclear. Therefore, this study assessed two typical food wastes, i.e., starch-rich rice and cellulose-rich vegetables, on methane production, microbial constituents, [...] Read more.
The compositional heterogeneity of food waste greatly influences its bioconversion in microbial electrolysis cell (MEC)-assisted anaerobic digestion (AD), but the underlying mechanism remains unclear. Therefore, this study assessed two typical food wastes, i.e., starch-rich rice and cellulose-rich vegetables, on methane production, microbial constituents, and digestate dewaterability in single-chamber MECs. The results demonstrated that, while the rice-fed MEC (258.56 mL/g VS) achieved a higher methane yield compared to the vegetable-fed MEC (161.79 mL/g VS), the latter achieved higher methane purity. Temporal profiles of volatile fatty acids (VFAs) revealed rapid acidification and consumption in rice-fed systems, whereas vegetable-fed MEC exhibited delayed degradation. Additionally, the substrate type greatly influenced digestate dewaterability, since digestate from the vegetable-fed MEC exhibited lower specific resistance to filtration (3.25 × 1012 m/kg vs. 12.46 × 1012 m/kg) and capillary suction time (8.16 s·L/g vs. 19.14 s·L/g) compared to that from the rice-fed MEC. This improvement was likely attributed to high polysaccharides in extracellular polymeric substances (EPS) and cellulose’s structural properties, which promoted the formation of a porous, less compressible sludge cake that facilitated sludge dewaterability. Microbial community analysis revealed a substrate-driven specialization, as the rice-fed MECs enriched exoelectrogens (e.g., Geobacter, Trichococcus) and hydrogenotrophic methanogens (i.e., Methanobacterium), while the vegetables enriched Bacteroides and Methanosarcina. Collectively, these results suggest substrate composition profoundly influences methane yield, metabolic pathways, microbial ecology, and digestate properties in MEC-assisted AD. This work provides key insights into the role of feedstock characteristics in shaping MEC-assisted AD systems. Full article
(This article belongs to the Special Issue Innovations in Methane Production from Anaerobic Digestion)
Show Figures

Figure 1

20 pages, 5398 KB  
Article
Bioaugmentation Versus pH Adjustment in High-Load Food Waste Anaerobic Digestion: Divergent Microbial Responses and Methanogenesis Regulation
by Chenyu Piao, Zhe Wang, Keqian Zhao, Mengfei Du and Ke Wang
Fermentation 2025, 11(12), 702; https://doi.org/10.3390/fermentation11120702 - 18 Dec 2025
Viewed by 497
Abstract
High organic loading is known to destabilize anaerobic digestion (AD). This study compared bioaugmentation and pH adjustment under increasing organic loading rate (OLR: 2.0, 4.0 and 6.0 gVS L−1 d−1), focusing on the responses of microbial structure, metabolic pathways, and [...] Read more.
High organic loading is known to destabilize anaerobic digestion (AD). This study compared bioaugmentation and pH adjustment under increasing organic loading rate (OLR: 2.0, 4.0 and 6.0 gVS L−1 d−1), focusing on the responses of microbial structure, metabolic pathways, and energy metabolism. Results demonstrated that bioaugmentation maintained stable methane production of 400.54 ± 10.08 and 374.15 ± 24.32 mL·g-VS−1 at 4.0 and 6.0 gVS L−1 d−1, respectively, whereas control and pH-adjusted reactors failed at 4.0 gVS L−1 d−1. The acidified system restored methane yield from 86.30 to 382.13 mL·g-VS−1 after bioaugmentation, whereas pH adjustment and feeding cessation were ineffective, failing to produce methane within 25 days. Microbial analysis showed bioaugmentation enriched Methanosarcina, enhanced hydrogenotrophic/methylotrophic methanogenesis, and strengthened syntrophy with syntrophic propionate-oxidizing bacteria (SPOB), reducing volatile fatty acid accumulation via reinforced syntrophic propionate/butyrate oxidation. Upregulation of osmoregulatory (nha, kdp, proP) and energy metabolism genes (eha, mvh, hdr) maintained osmotic balance and energy supply under high load. In contrast, pH adjustment downregulated SPOB and propionate oxidation genes, causing persistent acid inhibition. This study elucidated the distinct regulatory effects of bioaugmentation and pH adjustment on high-load AD systems, providing actionable strategies for both maintaining operational stability in high-load reactors and recovering methanogenesis in acid-inhibited systems. Full article
Show Figures

Graphical abstract

19 pages, 4488 KB  
Article
Multi-Omics Provides New Insights into the Aroma Regulation of Rhododendron fortunei Lindl Treated with Methyl Jasmonate and Brassinosteroids
by Danyidie Zhang, Yi Qin, Jiayi Wu, Xingyun Zhong, Haichao Hu, Zhihui Chen, Pei Shi and Yueyan Wu
Curr. Issues Mol. Biol. 2025, 47(12), 1054; https://doi.org/10.3390/cimb47121054 - 16 Dec 2025
Viewed by 221
Abstract
Rhododendron fortunei Lindl is known for its unique aroma, but the molecular mechanism behind plant hormone-mediated aroma biosynthesis remains unclear. To explore how brassinosteroids (BRs) and methyl jasmonate (MeJA) regulate its aroma, this study analyzed R. fortunei petal samples via physiological assays, volatile [...] Read more.
Rhododendron fortunei Lindl is known for its unique aroma, but the molecular mechanism behind plant hormone-mediated aroma biosynthesis remains unclear. To explore how brassinosteroids (BRs) and methyl jasmonate (MeJA) regulate its aroma, this study analyzed R. fortunei petal samples via physiological assays, volatile metabolome analysis, and transcriptome sequencing. Physiologically, BR/MeJA significantly increased the superoxide dismutase (SOD) and catalase (CAT) activity and decreased the malondialdehyde (MDA) content. Metabolome analysis identified 1268 volatile organic compounds (VOCs), with 265/70 VOCs up-/downregulated in the BR group and 248/181 VOCs up-/downregulated in the MeJA group compared to the controls. Transcriptome sequencing identified 19,333 differentially expressed genes (DEGs), which were enriched in pathways such as terpenoid and polyketide metabolism. Multi-omics screening revealed the candidate gene RfCYP92C6, whose transient overexpression in Nicotiana benthamiana increased the terpenoid content 2.2-fold. These findings clarify the aroma regulation mechanism of BRs/MeJA in R. fortunei and support the improvement of its aroma traits via genetic engineering. Full article
(This article belongs to the Special Issue Molecular Breeding and Genetics Research in Plants—3rd Edition)
Show Figures

Figure 1

9 pages, 483 KB  
Brief Report
Leaf Developmental Stages Strongly Modulate Indole Emissions in Response to Simulated Insect Herbivory
by Marie Engelberth and Jurgen Engelberth
Plants 2025, 14(24), 3761; https://doi.org/10.3390/plants14243761 - 10 Dec 2025
Viewed by 245
Abstract
Maize plants challenged by insect herbivores activate an array of defense measures, all aimed to reduce damage and repel the attacker . Among those are the activation of proteins that interfere with the digestion of consumed plant material in the herbivore (proteinase inhibitors), [...] Read more.
Maize plants challenged by insect herbivores activate an array of defense measures, all aimed to reduce damage and repel the attacker . Among those are the activation of proteins that interfere with the digestion of consumed plant material in the herbivore (proteinase inhibitors), the production of toxic compounds like benzoxazinoids, and the biosynthesis and emission of herbivore-induced plant volatiles (HIPVs). Among those HIPVs are mainly a variety of terpenoids, green leaf volatiles (GLVs), and indole. While often serving as attractants for natural enemies of the attacking herbivores, many of those volatiles have also been found to induce defense responses in neighboring plants and/or prime them against future menace. Indole is of particular interest since it can be involved in a variety of biosynthetic pathways including those leading to auxin, benzoxazinoids, and tryptophan. Here, we demonstrate that indole emissions in response to simulated insect herbivory by treatment with an insect elicitor (N-linolenoyl glutamine) strongly depend on the developmental status of the affected leaf in maize. Outgrown leaves emit significantly higher amounts of indole compared to the next younger, still growing leaves, distinguishing indole from other HIPVs, which are typically released at higher levels by young leaves. As a central and flexible metabolic intermediate, indole emissions appear to be mediated through variable allocation between growth-related processes and defense-associated outcomes, depending on the developmental stage of the damaged leaf. These findings highlight the importance of considering plants as inherently dynamic organisms. Full article
(This article belongs to the Section Plant Protection and Biotic Interactions)
Show Figures

Figure 1

18 pages, 4952 KB  
Article
Defatted Soybean Meal-Based Koji Promotes Flavor Development in Deyang Baiwo Soy Sauce: A Comparative Multi-Omics Study
by Kai-Yao Chen, Na Zhang, Wen-Hu Liu, Cheng Wang, Yong-Qi Hu, Cai-Hong Shen, Li Zeng and Xu Ran
Fermentation 2025, 11(12), 685; https://doi.org/10.3390/fermentation11120685 - 10 Dec 2025
Viewed by 471
Abstract
Although the influence of raw material composition on soy sauce koji fermentation is well recognized, the differences in microbial succession and metabolic pathways between whole soybean koji (WSK) and defatted soybean–wheat bran koji (DSK) remain unclear. In this study, a multi-omics approach integrating [...] Read more.
Although the influence of raw material composition on soy sauce koji fermentation is well recognized, the differences in microbial succession and metabolic pathways between whole soybean koji (WSK) and defatted soybean–wheat bran koji (DSK) remain unclear. In this study, a multi-omics approach integrating absolute quantitative PCR and physicochemical analyses was employed to elucidate the mechanisms by which DSK enhances the quality of Deyang Baiwo soy sauce. Compared with WSK, DSK exhibited lower moisture content but higher total acidity, amino nitrogen, and reducing sugar levels, indicating its suitability for high-quality soy sauce production. Volatile analysis revealed greater accumulation of key aroma compounds such as 2-methoxy-4-vinylphenol and 4-vinylguaiacol in DSK, contributing characteristic smoky flavors. At the microbial community level, Aspergillus, Weissella, Enterobacter, and Bacillus were enriched in DSK, promoting the accumulation of flavor and aroma compounds in alignment with industrial koji production objectives. Metabolic pathway analysis indicated that Weissella in DSK was primarily responsible for lactic acid accumulation, whereas Aspergillus dominated early-stage substrate degradation and played a key role in the enrichment of 1-octen-3-ol in WSK. This study provides insights into the “substrate–microbiota–metabolite” regulatory network and offers a theoretical basis for optimizing the use of defatted soybean in traditional soy sauce fermentation. Full article
(This article belongs to the Section Fermentation for Food and Beverages)
Show Figures

Figure 1

15 pages, 6332 KB  
Article
Multi-Omics Insights into Microbial Community Dynamics and Functional Shifts During Double-Round Bottom Fermentation of Strong-Flavor Baijiu
by Jiao Li, Yaqi Guo, Yang Yang, Shu Li, Tao Xu, Ruiqi Zeng, Songtao Wang, Caihong Shen, Zhenghong Xu, Yong Zuo and Chen Xiao
Foods 2025, 14(24), 4228; https://doi.org/10.3390/foods14244228 - 9 Dec 2025
Viewed by 321
Abstract
Double-round bottom fermentation (DRBF) represents an important technological innovation in strong-flavor Baijiu production, yet the microbial succession and metabolic mechanisms underlying this process remain insufficiently understood. In this study, physicochemical analyses combined with multi-omics approaches were employed to elucidate the dynamic variations in [...] Read more.
Double-round bottom fermentation (DRBF) represents an important technological innovation in strong-flavor Baijiu production, yet the microbial succession and metabolic mechanisms underlying this process remain insufficiently understood. In this study, physicochemical analyses combined with multi-omics approaches were employed to elucidate the dynamic variations in physicochemical parameters, volatile compounds, and microbial community structure and function during DRBF, as well as to reconstruct key metabolic pathways involved in fermentation. A total of 153 volatile compounds were identified, with esters, alcohols, and acids as the major components showing distinct accumulation patterns across fermentation stages. High-throughput sequencing detected 505 bacterial and 175 fungal genera, dominated by Lactobacillus, Aspergillus, and Saccharomyces. Functional annotation revealed that metabolic pathways predominated, shifting from energy- and growth-related processes in the early stage to amino acid, fatty acid, and secondary metabolite biosynthesis in the later stage. Reconstruction of metabolic pathways identified 57 key enzymes linking starch degradation, pyruvate metabolism, the tricarboxylic acid (TCA) cycle, and ester biosynthesis, indicating cooperative metabolism among bacteria, yeasts, and molds. These findings elucidate the synergistic metabolic mechanisms of flavor formation during DRBF and provide a scientific basis for optimizing fermentation control and improving Baijiu quality. Full article
(This article belongs to the Section Food Microbiology)
Show Figures

Figure 1

17 pages, 1272 KB  
Article
Unravelling Metabolic Pathways and Evaluating Process Performances in Anaerobic Digestion of Livestock Manures
by Hangbae Jun, Rahul Kadam, Sangyeol Jo and Jungyu Park
Water 2025, 17(24), 3464; https://doi.org/10.3390/w17243464 - 6 Dec 2025
Viewed by 402
Abstract
Anaerobic digestion (AD) provides significant environmental benefits by converting livestock manures, such as cattle manure (CM) and pig manure (PM), into biogas and nutrient-rich digestate, supporting circular economy principles. However, challenges arise when feedstock overload disrupts microbial balance, leading to reduced methane (CH [...] Read more.
Anaerobic digestion (AD) provides significant environmental benefits by converting livestock manures, such as cattle manure (CM) and pig manure (PM), into biogas and nutrient-rich digestate, supporting circular economy principles. However, challenges arise when feedstock overload disrupts microbial balance, leading to reduced methane (CH4) yields and process instability. This study examined the performance of AD using CM and PM with gradually increasing organic loading rates (OLR). At steady state, CH4 yields were 120.32 mL-CH4/g VS for CM and 229 mL-CH4/g VS for PM. The lower yield for CM is attributed to its high cellulose and hemicellulose content, which exceeds 50% and is difficult to degrade. In contrast, PM showed more efficient carbohydrate degradation, resulting in higher CH4 production. Key methanogens, including Methanocorpusculum, Methanosaeta, Methanosarcina, Methanobacterium, and Methanospirillum, were present in both reactors. Metagenomic analysis revealed that pathways for degrading cellulose and hemicellulose were poorly represented in CM, while PM exhibited enhanced total volatile fatty acid metabolism. This study offers valuable insights into the metabolic pathways associated with CM and PM in anaerobic digestion. Full article
Show Figures

Figure 1

19 pages, 3516 KB  
Article
Multi-Omics Analysis Unravels the Biosynthesis and Regulatory Mechanisms of Floral Scent Across Various Cultivars and Developmental Stages in Phalaenopsis
by Huaiqin Zhong, Yan Chen, Shengyuan Zhong, Jun He, Bing Lin, Jianshe Wu and Ronghui Fan
Plants 2025, 14(23), 3682; https://doi.org/10.3390/plants14233682 - 3 Dec 2025
Viewed by 466
Abstract
Phalaenopsis is one of the most economically valuable genera in the Orchidaceae family. However, the common varieties of Phalaenopsis in the market rarely have fragrance, greatly limiting the sustainable development of the Phalaenopsis industry. Here, an integrated investigation was conducted on the patterns [...] Read more.
Phalaenopsis is one of the most economically valuable genera in the Orchidaceae family. However, the common varieties of Phalaenopsis in the market rarely have fragrance, greatly limiting the sustainable development of the Phalaenopsis industry. Here, an integrated investigation was conducted on the patterns and determinants of aroma release in Phalaenopsis. GC-MS/MS analysis revealed that the primary volatile organic compounds (VOCs) in 10 fragrant Phalaenopsis cultivars are consistent. Terpenoids, alcohols, ketones, and esters collectively accounted for an average of 66.59% of the total VOCs across these 10 varieties. By performing metabolomic and transcriptomic analyses, we investigated the variation in 1532 VOCs in four different developmental stages of Phalaenopsis Formosa Sweet Memory. Metabolite analysis revealed that the levels of total volatiles, terpenoids, esters, and heterocyclic compounds were significantly upregulated during the flowering stages, and Linalool, β-Ocimene, and Methyl Benzoate were selected as key metabolites. While analyzing the correlation network between aroma components synthesis and differentially expressed genes, 33 key structural genes were detected and regulated by transcription factors. PAXXG356500_TPS, PAXXG333030_4CL, and PAXXG061420_SAM were key genes in the terpenoids and esters’ biosynthetic pathway, and they were co-expressed with aroma release. In summary, this study characterized the key metabolic pathways involved in aroma formation in Phalaenopsis and constructed the corresponding transcriptional regulatory network. These results laid a theoretical foundation for the subsequent research on aroma of Phalaenopsis and genetic engineering technology breeding. Full article
(This article belongs to the Special Issue Recent Advances in Horticultural Plant Genomics—2nd Edition)
Show Figures

Figure 1

Back to TopTop