Evolution of Jiang-Flavor Daqu’s Characteristics During Different Storage Stages and Influence on Simulated Brewing Fermentation
Abstract
1. Introduction
2. Materials and Methods
2.1. Sample Collection and Simulated Fermentation
2.2. Analysis of Physicochemical Indexes
2.3. High-Throughput Sequencing of Daqu
2.4. Determination of Volatile Flavor Compounds
2.5. Metabolomics Analysis of Daqu Microorganisms
2.6. Statistical Analysis
3. Results and Discussion
3.1. Physicochemical Differences in Jiang-Flavor Daqu at Different Storage Stages
3.2. Microbial Community Diversity of Jiang-Flavor Daqu with Different Storage Periods
3.3. Volatile Flavor Substances of Jiang-Flavor Daqu with Different Storage Periods
3.4. Differential Analysis of Microbial Metabolomics in Different Seasons of Daqu
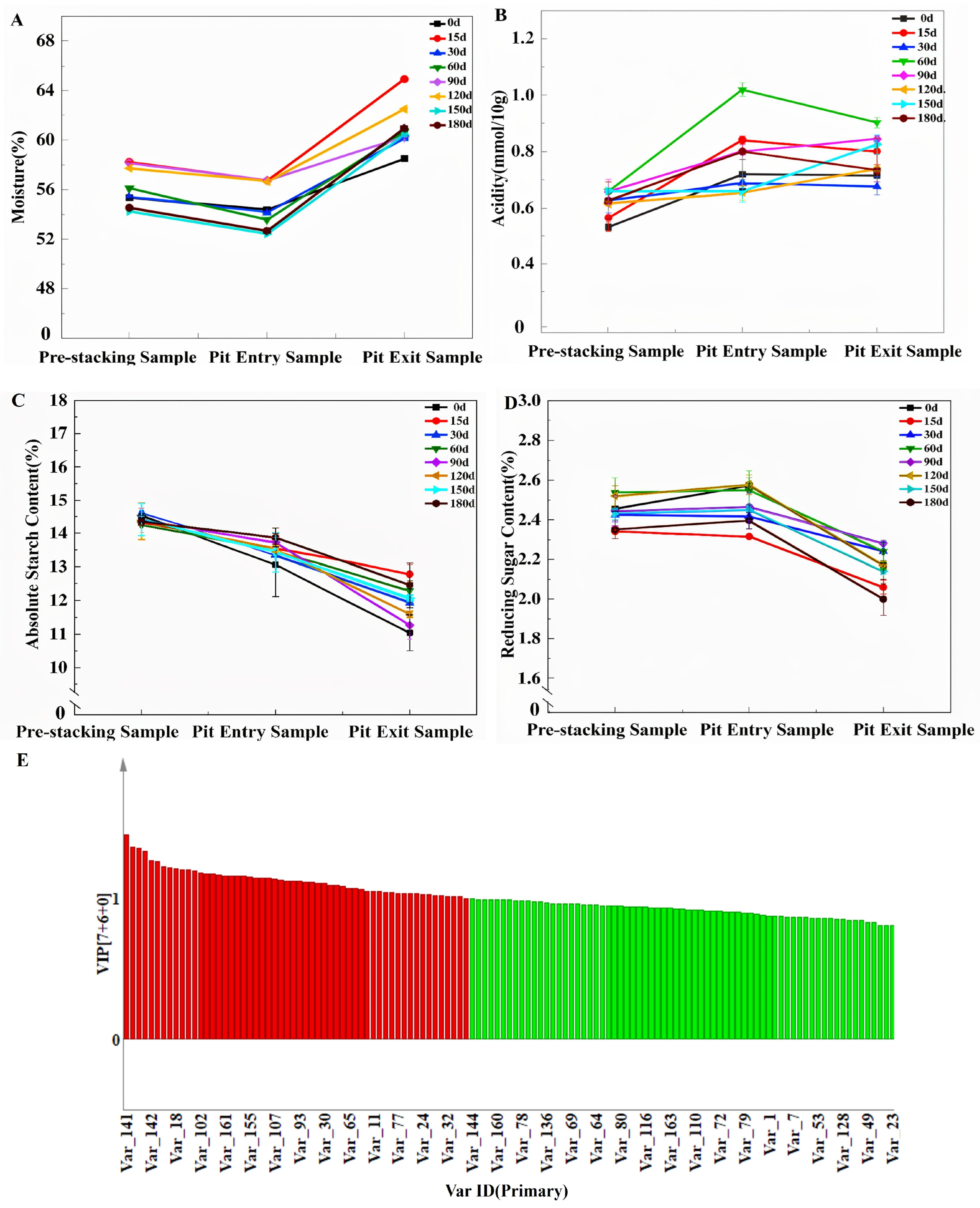
3.5. Differences in Physicochemical Properties and Volatile Substances of Jiang-Flavor Daqu with Different Storage Periods During the Brewing Stage
3.6. Untargeted Metabolomics Analysis of Jiang-Flavor Daqu During Storage and Brewing Stages
4. Conclusions
Supplementary Materials
Author Contributions
Funding
Institutional Review Board Statement
Informed Consent Statement
Data Availability Statement
Conflicts of Interest
References
- Zhu, G.D.; Wang, L.W.; Wang, H.; Chen, Z.H.; Li, X.; Ji, Y.; Yu, J.; Song, P. Study on the Effects of Tannase on the De Astringency of Pomegranate Juice. Foods 2025, 14, 985. [Google Scholar] [CrossRef]
- Wu, Q.; Zhu, Y.; Fang, C.; Wijffels, R.H.; Xu, Y. Can we control microbiota in spontaneous food fermentation? Chinese liquor as a case example. Trends Food Sci. Technol. 2021, 110, 321–331. [Google Scholar] [CrossRef]
- Fan, G.S.; Liu, P.X.; Chang, X.; Yin, H.; Cheng, L.J.; Teng, C.; Gong, Y.; Li, X.T. Isolation and Identification of a High-Yield Ethyl Caproate-Producing Yeast from Daqu and Optimization of Its Fermentation. Front. Microbiol. 2021, 12, 663744. [Google Scholar] [CrossRef] [PubMed]
- Li, H.D.; Liu, S.Y.; Liu, Y.B.; Hui, M.; Pan, C.M. Functional microorganisms in Baijiu Daqu: Research progress and fortification strategy for application. Front. Microbiol. 2023, 14, 1119675. [Google Scholar] [CrossRef] [PubMed]
- Zeng, Y.; Qiu, Y.; Wang, Y.; Zhang, X.P.; Wang, D.; Chen, X.M.; Gao, P.; Du, L.Q.; Xie, F.; Wang, J. Effects of γ-ray irradiation on insect pests, physicochemical properties, and microbial community of strong-flavor Daqu during maturation. Appl. Radiat. Isot. 2025, 220, 111780. [Google Scholar] [CrossRef]
- Du, Y.K.; Xin, W.; Xia, Y.; Zhu, M.; Qin, J.L.; Pan, Z.F.; Wu, R.F.; Luo, G.R.; Wu, P.S.; Wu, Z.Y.; et al. Analysis of fermentation control factors on volatile compounds of primary microorganisms in Jiang-flavor Daqu. J. Food Biochem. 2022, 46, 14277. [Google Scholar] [CrossRef] [PubMed]
- Zhou, Y.Y.; Li, Y.; Dong, Y.; Ma, S.Y.; Zhang, L.Q.; Huang, P.; Wu, C.D. Microbial community of Nongxiangxing daqu during storage: Microbial succession, assembly mechanisms and metabolic functions. J. Sci. Food Agric. 2025, 105, 3665–3678. [Google Scholar] [CrossRef]
- Yang, L.; Fan, W.L.; Xu, Y. Effects of storage period and season on the microecological characteristics of Jiangxiangxing high-temperature Daqu. Food Res. Int. 2024, 196, 115034. [Google Scholar] [CrossRef]
- Ren, H.W.; Sun, Y.F.; Yang, Y.F.; Li, Y.F.; Guo, X.P.; Zhang, B.Y.; Zhao, H.Y.; Ma, D.L.; Zhang, Z.L. Unraveling the correlations between microbial communities and metabolic profiles of strong-flavor Jinhui Daqu with different storage periods. Food Microbiol. 2024, 121, 104497. [Google Scholar] [CrossRef]
- Guan, T.W.; Yang, H.; Ou, M.Y.; Zhang, J.X. Storage period affecting dynamic succession of microbiota and quality changes of strong-flavor Baijiu Daqu. LWT-Food Sci. Technol. 2021, 139, 110544. [Google Scholar] [CrossRef]
- Chen, L.Q.; Li, F.Z.; Yang, F.; Chen, B.; Du, H.; Wang, L.; Xu, Y. Microbiome dynamics and environment driving factors throughout pit fermentation of Jiang-flavor Baijiu: A multi-omics study. Food Biosci. 2024, 60, 104363. [Google Scholar] [CrossRef]
- GB/T 10781.4-2024; Baijiu Quality Requirements—Part 4: Jiangxiangxing Baijiu. State Administration for Market Regulation: Beijing, China; China National Standardization Administration: Beijing, China, 2024.
- Aliya; Jiang, S.; Jiang, X.; Chen, P.P.; Zhang, D.N.; Sun, J.Y.; Liu, Y. Evaluation of flavor perception of strong-aroma Baijiu based on electroencephalography (EEG) and surface electromyography (EMG) techniques. Food Chem. 2025, 472, 142893. [Google Scholar] [CrossRef] [PubMed]
- Xu, D.D.; Wang, W.P.; Wang, P.; Zhang, X.; Zhang, J.; Xu, C.Y.; Wang, F.H. Soy whey as a promising substrate in the fermentation of soy sauce: A study of microbial community and volatile compounds. Int. J. Food Sci. Technol. 2021, 56, 5799–5811. [Google Scholar] [CrossRef]
- Fu, G.M.; Deng, M.F.; Chen, Y.; Chen, Y.R.; Wu, S.W.; Lin, P.; Huang, B.J.; Liu, C.M.; Wan, Y. Analysis of microbial community, physiochemical indices, and volatile compounds of Chinese te-flavor baijiu daqu produced in different seasons. J. Sci. Food Agric. 2021, 101, 6525–6532. [Google Scholar] [CrossRef]
- Zhou, H.X.; Zhao, M.M.; Xiong, Q.Q.; Feng, C.C.; Pu, Z.; Chen, G.Y.; Wang, S.T.; Dong, Y.; Wang, X.J.; Long, H.; et al. Effect of Wheat Varieties and Cultivation Environments on Grain Endophytes, Microbial Communities, and Quality of Medium-High Temperature Daqu in Chinese Baijiu. Foods 2025, 14, 982. [Google Scholar] [CrossRef]
- Lu, M.M.; Zhou, W.C.; Ji, F.; Wu, J.F.; Nie, Y.; Ren, C.; Xu, Y. Profiling prokaryotic community in pit mud of Chinese strong-aroma type liquor by using oligotrophic culturing. Int. J. Food Microbiol. 2021, 337, 108951. [Google Scholar] [CrossRef] [PubMed]
- Liu, X.; Tang, R.; Li, H.Q.; Wang, L.; Wan, C.L. The physiological and ecological properties of bacterial persisters discovered from municipal sewage sludge and the potential risk. Environ. Res. 2022, 205, 112481. [Google Scholar] [CrossRef]
- Gan, S.H.; Yang, F.; Sahu, S.K.; Luo, R.Y.; Liao, S.L.; Wang, H.Y.; Jin, T.; Wang, L.; Zhang, P.F.; Liu, X.; et al. Deciphering the Composition and Functional Profile of the Microbial Communities in Chinese Moutai Liquor Starters. Front. Microbiol. 2019, 10, 1540. [Google Scholar] [CrossRef]
- Chen, C.; Yang, H.Q.; Zhang, K.Z.; Ye, G.B.; Luo, H.B.; Zou, W. Revealing microbiota characteristics and predicting flavor-producing sub-communities in Nongxiangxing baijiu pit mud through metagenomic analysis and metabolic modeling. Food Res. Int. 2024, 188, 114507. [Google Scholar] [CrossRef]
- Liu, C.Y.; You, X.Q.; Qiu, Q.C.; Ye, X.L.; Wu, Q.; Wan, Y.; Jiang, L.Z.; Wu, X.Y.; Sun, Y.X.; Huang, J.W.; et al. Study on morphological traits, nutrient compositions and comparative metabolomics of diploid and tetraploid Tartary buckwheat sprouts during sprouting. Food Res. Int. 2023, 164, 112334. [Google Scholar] [CrossRef]
- Ma, S.Y.; Shang, Z.C.; Chen, J.; Shen, Y.J.; Li, Z.J.; Huang, D.; Luo, H.B. Differences in structure, volatile metabolites, and functions of microbial communities in Nongxiangxing daqu from different production areas. LWT-Food Sci. Technol. 2022, 166, 113784. [Google Scholar] [CrossRef]
- Huang, P.; Ma, S.Y.; Yi, X.W.; Zhou, R.Q.; Wu, C.D. Seasonal changes driving shifts in core microbes of Nongxiangxing Daqu: A integrated multi-omics analysis and deep learning. Food Res. Int. 2025, 221, 117216. [Google Scholar] [CrossRef]
- Mu, Y.; Huang, J.; Zhou, R.Q.; Mao, F.J.; Pan, Q.L.; Chen, S.Q.; Lu, Z.M.; Du, L.Q.; Xie, F. Exploring the response patterns of strong-flavor baijiu brewing microecosystem to fortified Daqu under different pit ages. Food Res. Int. 2022, 155, 111062. [Google Scholar] [CrossRef]
- Mu, Y.; Huang, Y.; Li, D.; Zhu, Z.Y.; Yu, S.R.; Xie, F. Revealing the comprehensive effect of mechanization on sauce-flavor Daqu through high-throughput sequencing and multi-dimensional metabolite profiling. Food Res. Int. 2024, 191, 114645. [Google Scholar] [CrossRef]
- Jin, Y.; Li, D.Y.; Ai, M.; Tang, Q.X.; Huang, J.; Ding, X.F.; Wu, C.D.; Zhou, R.Q. Correlation between volatile profiles and microbial communities: A metabonomic approach to study Jiang-flavor liquor Daqu. Food Res. Int. 2019, 121, 422–432. [Google Scholar] [CrossRef]
- Hu, Y.L.; Dun, Y.H.; Li, S.A.; Fu, B.A.; Xiong, X.M.; Peng, N.; Liang, Y.X.; Zhao, S.M. Changes in microbial community during fermentation of high-temperature Daqu used in the production of Chinese ‘Baiyunbian’ liquor. J. Inst. Brew. 2017, 123, 594–599. [Google Scholar] [CrossRef]
- Li, Z.J.; Fan, Y.; Huang, X.N.; Han, B.Z. Microbial Diversity and Metabolites Dynamic of Light-Flavor Baijiu with Stacking Process. Fermentation 2022, 8, 67. [Google Scholar] [CrossRef]
- Wang, Z.; Kang, Q.; Zhao, Y.H.; Yan, R.Y.; Sun, J.Y.; Li, H.H.; Wang, B.W.; Zhao, D.R.; Sun, B.G. Can the Maillard reaction affect the characteristic aroma of Sesame aroma baijiu-A research on the methional during the stacking fermentation stage of jiupei. Food Chem. 2023, 426, 136521. [Google Scholar] [CrossRef] [PubMed]
- Zhang, H.X.; Wang, L.; Tan, Y.W.; Wang, H.Y.; Yang, F.; Chen, L.Q.; Hao, F.; Lv, X.B.; Du, H.; Xu, Y. Effect of Pichia on shaping the fermentation microbial community of sauce-flavor Baijiu. Int. J. Food Microbiol. 2021, 336, 108898. [Google Scholar] [CrossRef] [PubMed]
- Zhang, J.; Zhao, M.H.; Chen, J.; Zhu, Y.T.; Xiao, C.; Li, Q.; Weng, X.Q.; Duan, Y.X.; Zuo, Y. The improvement of Hovenia acerba-sorghum co-fermentation in terms of microbial diversity, functional ingredients, and volatile flavor components during Baijiu fermentation. Front. Microbiol. 2024, 14, 1299917. [Google Scholar] [CrossRef]
- Sun, L.J.; Zhang, X.F.; Li, X.S.; Cao, Z.H.; Hui, M.; Pan, C.M. Quality Control Strategies for Pit Mud Based on the Synergistic Effects of Flavor, Microorganisms and Physicochemical Factors. Foods 2025, 14, 3326. [Google Scholar] [CrossRef]
- Zhong, M.M.; Sun, Z.C.; Wei, C.H.; Tian, H.J.; Liu, M.Q.; Zeng, X.Y.; Jin, K.L.; Yang, Y.X.; Liao, X.; Qiu, S.Y.; et al. Analysis on the differences in genome and metabolic profile of Thermoactinomycetaceae from different Jiang-flavored Daqu niches. Food Biosci. 2025, 68, 106373. [Google Scholar] [CrossRef]
- Dai, J.P.; He, J.; Zhao, X.; Yao, R.; Chen, Y.F.; Wang, L.; Li, X. Increase in the Maturity of Walnut Green Husk Compost by Adding a Microbial Consortium with High Tolerance to Walnut Green Husk Extract. Waste Biomass Valorization 2025, 16, 4797–4810. [Google Scholar] [CrossRef]
- Luo, Y.C.; Liao, H.; Luo, Y.; Gao, L.; Xia, X.L. Temperature-driven microbial assembly and flavor compound dynamics in high-temperature Daqu: Adaptive co-evolution for efficient Tetramethylpyrazine production. Int. J. Food Microbiol. 2025, 441, 111325. [Google Scholar] [CrossRef] [PubMed]
- Zhang, M.Z.; Wu, X.F.; Mu, D.D.; Xu, B.Y.; Xu, X.H.; Chang, Q.; Li, X.J. Profiling the influence of physicochemical parameters on the microbial community and flavor substances of zaopei. J. Sci. Food Agric. 2021, 101, 6300–6310. [Google Scholar] [CrossRef] [PubMed]
- Zhao, J.R.; Xu, Y.Q.; Lu, H.Y.; Zhao, D.; Zheng, J.; Lin, M.W.; Liang, X.; Ding, Z.; Dong, W.Q.; Yang, M.C.; et al. Molecular mechanism of LIP05 derived from Monascus purpureus YJX-8 for synthesizing fatty acid ethyl esters under aqueous phase. Front. Microbiol. 2023, 13, 1107104. [Google Scholar] [CrossRef]
- Zhong, Z.L.; Liu, T.Y.; He, K.P.; Zhong, M.; Chen, X.X.; Xue, Y.S.; Han, B.Z.; Wang, D.Q.; Liu, J. Microbial enzymes: The bridge between Daqu flavor and microbial communities. Food Innov. Adv. 2024, 3, 426–437. [Google Scholar] [CrossRef]
- Tu, W.Y.; Cao, X.N.; Cheng, J.; Li, L.J.; Zhang, T.; Wu, Q.; Xiang, P.; Shen, C.H.; Li, Q. Chinese Baijiu: The Perfect Works of Microorganisms. Front. Microbiol. 2022, 13, 919044. [Google Scholar] [CrossRef]
- Liu, X.M.; Mu, Y.C.; Lv, X.X.; Chen, N.; Chen, L.; Wen, T.Z.; Su, W. Analysis of fermentation characteristics in fermented grains across seven rounds of sauce-flavored Baijiu: Microbial communities structure, physicochemical parameters, volatile and non-volatile flavor compounds. Food Chem. X 2025, 25, 102228. [Google Scholar] [CrossRef]
- Chen, C.; Ni, D.R.; Yang, Y.B.; Tian, J.H.; Yang, F.; Ye, X.Q. Characterizing the microbial community constructure and the metabolites among different colour Moutai Daqu. Food Chem. X 2025, 26, 102223. [Google Scholar] [CrossRef]
- Tang, P.; Li, Q.L.; Shan, Q.M.G.; Qin, L.Q.; Kang, X.Y.; Li, C.W.; Xiao, D.G.; Guo, X.W. Physicochemical properties, microbial community evolution, and flavor compounds during the mechanized production of Jiangxiangxing high-temperature daqu. LWT-Food Sci. Technol. 2025, 232, 118418. [Google Scholar] [CrossRef]
- Liu, X.; Fu, J.J.; Shen, H.J.; Chai, L.J.; Zhang, X.J.; Xu, H.Y.; Wang, S.T.; Zhang, S.Y.; Shen, C.H.; Shi, J.S.; et al. Oceanobacillus in high-temperature Daqu: Taxonomic diversity, metabolic characteristics and biofortification effect. Process Biochem. 2025, 150, 68–79. [Google Scholar] [CrossRef]
- Hu, Y.L.; Lei, X.Y.; Zhang, X.M.; Guan, T.W.; Wang, L.Y.; Zhang, Z.J.; Yu, X.; Tu, J.M.; Peng, N.; Liang, Y.X.; et al. Characteristics of the Microbial Community in the Production of Chinese Rice-Flavor Baijiu and Comparisons with the Microflora of Other Flavors of Baijiu. Front. Microbiol. 2021, 12, 673670. [Google Scholar] [CrossRef]
- Tu, C.H.; Yu, T.F.; Feng, S.B.; Xu, N.; Massawe, A.; Shui, S.S.; Zhang, B. Dynamics of microbial communities, flavor, and physicochemical properties of kombucha-fermented Sargassum fusiforme beverage during fermentation. LWT-Food Sci. Technol. 2024, 192, 115729. [Google Scholar] [CrossRef]
- Niu, J.L.; Li, W.W.; Du, B.H.; Wu, Y.F.; Lang, Y.; Sun, B.G.; Sun, W.Z.; Li, X.T. Temporal heterogeneity of microbial communities and flavor metabolism during storage of high-temperature Daqu. Food Chem. 2025, 464, 141577. [Google Scholar] [CrossRef]
- Duan, X.L.; Dai, Y.W.; Zhang, T. Characterization of Feruloyl Esterase from Bacillus pumilus SK52.001 and Its Application in Ferulic Acid Production from De-Starched Wheat Bran. Foods 2021, 10, 1229. [Google Scholar] [CrossRef]
- Brandam, C.; Castro-Martínez, C.; Délia, M.L.; Ramón-Portugal, F.; Strehaiano, P. Effect of temperature on Brettanomyces bruxellensis:: Metabolic and kinetic aspects. Can. J. Microbiol. 2008, 54, 11–18. [Google Scholar] [CrossRef]
- Yan, C.; Huang, Z.J.; Tu, R.K.; Zhang, L.Q.; Wu, C.D.; Wang, S.T.; Huang, P.; Zeng, Y.H.; Shi, B. Revealing the Differences in Microbial Community and Quality of High-Temperature Daqu in the Southern Sichuan-Northern Guizhou Region. Foods 2025, 14, 570. [Google Scholar] [CrossRef]
- Song, Z.C.; Chen, H.G.; Xu, W.F.; Zong, X.Y.; Wang, X.Y.; Ji, Y.T.; Gong, J.M.; Pang, M.M.; Fung, S.Y.; Yang, H.; et al. The hexapeptide functionalized gold nanoparticles protect against sepsis-associated encephalopathy by forming specific protein corona and regulating macrophage activation. Mater. Today Bio 2025, 32, 101704. [Google Scholar] [CrossRef] [PubMed]
- Zong, E.X.; Bo, T.; Dang, L.; Zhang, J.J.; Li, H.; Lv, N.; He, Y.F.; Bai, B.Q.; Zhang, J.H.; Fan, S.H. Different functions can be provided by low temperature Daqu with different appearance features due to variations in the microbial community structure during fermentation. LWT-Food Sci. Technol. 2024, 193, 115763. [Google Scholar] [CrossRef]






| Sample | Coverage | ACE | Chao1 | Simpson | Shannon | |||||
|---|---|---|---|---|---|---|---|---|---|---|
| ID | Fungi | Bacteria | Fungi | Bacteria | Fungi | Bacteria | Fungi | Bacteria | Fungi | Bacteria |
| 0 d | 0.99> | 0.99> | 67.02 | 138.16 | 68.21 | 133.58 | 0.75 | 0.20 | 0.62 | 2.18 |
| 15 d | 0.99> | 0.99> | 72.23 | 264.47 | 66.73 | 247.64 | 0.27 | 0.26 | 1.48 | 2.05 |
| 30 d | 0.99> | 0.99> | 75.60 | 192.13 | 72.50 | 190.75 | 0.23 | 0.28 | 1.70 | 1.76 |
| 60 d | 0.99> | 0.99> | 89.74 | 265.75 | 86.90 | 261.83 | 0.35 | 0.12 | 1.26 | 2.68 |
| 90 d | 0.99> | 0.99> | 87.42 | 300.46 | 83.07 | 295.55 | 0.32 | 0.13 | 1.51 | 2.70 |
| 120 d | 0.99> | 0.99> | 87.45 | 431.77 | 87.54 | 430.88 | 0.39 | 0.09 | 1.25 | 2.90 |
| 150 d | 0.99> | 0.99> | 128.50 | 282.66 | 131.07 | 267.31 | 0.26 | 0.36 | 1.64 | 1.62 |
| 180 d | 0.99> | 0.99> | 105.20 | 170.23 | 104.29 | 169.53 | 0.19 | 0.23 | 2.25 | 2.09 |
Disclaimer/Publisher’s Note: The statements, opinions and data contained in all publications are solely those of the individual author(s) and contributor(s) and not of MDPI and/or the editor(s). MDPI and/or the editor(s) disclaim responsibility for any injury to people or property resulting from any ideas, methods, instructions or products referred to in the content. |
© 2026 by the authors. Licensee MDPI, Basel, Switzerland. This article is an open access article distributed under the terms and conditions of the Creative Commons Attribution (CC BY) license.
Share and Cite
Chen, Z.; Wang, H.; Wu, C.; Zheng, X.; Zhu, G.; Yu, J.; Tang, Q.; Song, P. Evolution of Jiang-Flavor Daqu’s Characteristics During Different Storage Stages and Influence on Simulated Brewing Fermentation. Foods 2026, 15, 220. https://doi.org/10.3390/foods15020220
Chen Z, Wang H, Wu C, Zheng X, Zhu G, Yu J, Tang Q, Song P. Evolution of Jiang-Flavor Daqu’s Characteristics During Different Storage Stages and Influence on Simulated Brewing Fermentation. Foods. 2026; 15(2):220. https://doi.org/10.3390/foods15020220
Chicago/Turabian StyleChen, Zihan, Han Wang, Chongchao Wu, Xing Zheng, Guida Zhu, Jing Yu, Qiuxiang Tang, and Ping Song. 2026. "Evolution of Jiang-Flavor Daqu’s Characteristics During Different Storage Stages and Influence on Simulated Brewing Fermentation" Foods 15, no. 2: 220. https://doi.org/10.3390/foods15020220
APA StyleChen, Z., Wang, H., Wu, C., Zheng, X., Zhu, G., Yu, J., Tang, Q., & Song, P. (2026). Evolution of Jiang-Flavor Daqu’s Characteristics During Different Storage Stages and Influence on Simulated Brewing Fermentation. Foods, 15(2), 220. https://doi.org/10.3390/foods15020220

