Essential Oils as Antioxidants: Mechanistic Insights from Radical Scavenging to Redox Signaling
Abstract
1. Introduction
2. Methodology
3. Mechanisms of Lipid Peroxidation
3.1. Initiation
3.2. Propagation
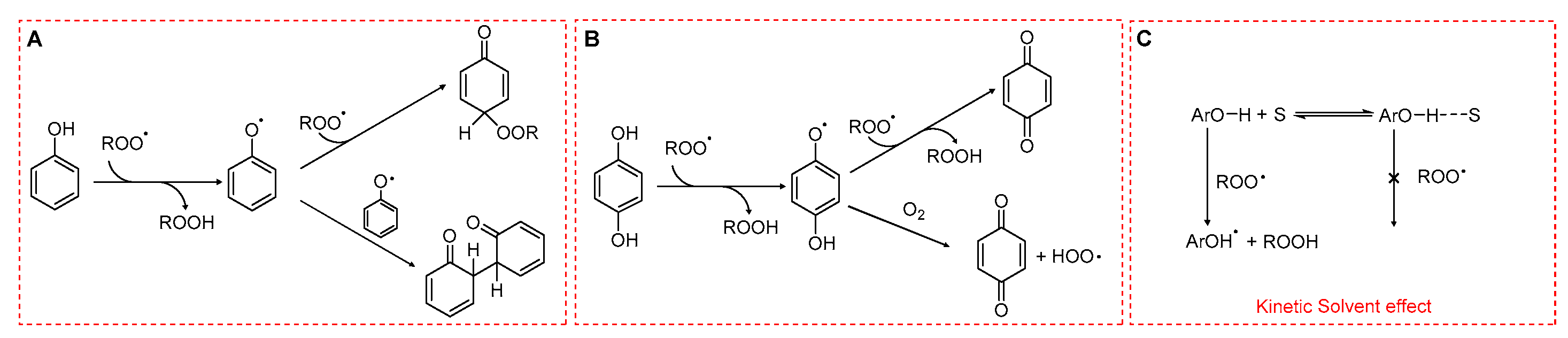
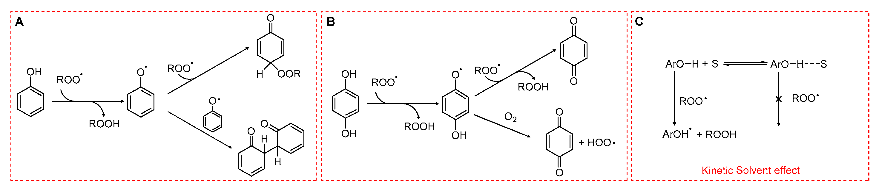
3.3. Termination
3.4. Products of Lipid Peroxidation
3.4.1. Early Products
3.4.2. Late Products
4. Mechanistic Basis of the Antioxidant Activity
4.1. Preventive Mechanisms
4.2. Chain-Breaking
- (1)
- Non-toxicity.
- (2)
- High reactivity toward lipid peroxyl radicals, i.e., a large inhibition rate constant (kinh).
- (3)
- Stability in air, under the reaction conditions, is extremely important because if AH reacted with O2 to give A• and HOO• (AH + O2 → A• + HOO•), it would behave as a pro-oxidant rather than an antioxidant.
- (4)
- Formation of a stable radical A• in the reaction AH + ROO• → A• + ROOH does not propagate the oxidative chain (A• + RH →AH + R•).
- (5)
- No reaction of A• with O2 (A• + O2 → AOO•), as this reaction would also propagate the chain reaction.
4.2.1. Phenolic Antioxidants
4.2.2. γ-Terpinene as Antioxidant
5. Chemical Methods
5.1. Oximetry
5.2. Hydroperoxides
5.3. Aqueous Versus Lipid-Phase Antioxidant Assays
5.4. Deprecated Methods
6. Biological Methods and Mechanistic Evaluation System
6.1. Detection and Quantification of Oxidative Mediators and Byproducts
6.1.1. Fluorescent and Chemiluminescent Probes for Reactive Species
| Probes | Target Species | EOs/Compounds | Antioxidant Effects | Ref |
|---|---|---|---|---|
| DCFH-DA | Intracellular total ROS | Lavender EO | Significantly reduced intracellular ROS levels in H2O2-treated PC12 cells | [78] |
| DHE | Superoxide (O2•−) (mainly cytosolic) | Citronella and Nutmeg EOs | Significantly reduced ROS levels in the ankle joints of monosodium urate-induced gouty arthritis mice | [79] |
| MitoSOX Red | Mitochondrial superoxide (O2•−) | Lippia alba EO | Significantly decreased mitochondrial superoxide levels in J774A.1 murine macrophage | [80] |
| Amplex™ Red | Hydrogen peroxide (H2O2) | Citrus aurantifolia EO | Significantly reduced H2O2 levels in dystrophic muscle cells | [81] |
| C11-BODIPY 581/591 | Lipid peroxides | γ-Terpinene | Effectively inhibits lipid peroxidation and protects SH-SY5Y cells from RSL3-induced ferroptosis | [10] |
| HPF/HPF-DA | Hydroxyl radicals (•OH) | Pomelo peel EO | Significantly attenuated ·OH and overall ROS accumulation in both in vivo and in vitro models of cerebral ischemia–reperfusion injury | [82] |
| DAF-FM DA | Nitric oxide (NO) | Carvacrol | Significantly increased NO levels in rat cavernous endothelial cells under D-(+)-galactose-induced premature senescence | [83] |
6.1.2. Metabolic and Oxidative Byproduct Quantification

| Eos | Model | Oxidative Biomarker | Method | Ref |
|---|---|---|---|---|
| Mentha piperita | CCl4-induced hepatic oxidative damage and renal failure in rats | Liver MDA | Thiobarbituric acid assay | [89] |
| Lavandula stoechas | Alloxan-induced diabetic rats | Liver and kidney MDA | Thiobarbituric acid assay | [90,91] |
| Rosmarinus officinalis | CCl4-induced acute liver damage in rats | Liver MDA | Thiobarbituric acid assay | [92] |
| Origanum vulgare | Day-old chickens for 38 days | Breast and thigh muscle MDA | Thiobarbituric acid assay | [93] |
| Citrus aurantifolia | Dystrophic muscle cells | 4-HNE-protein adducts | Western blot | [81] |
| Lavandula angustifolia | The human glioblastoma U87MG cell line | 4-HNE | Immunofluorescence | [94] |
| Melaleuca alternifolia | Macrobrachium rosenbergii | 4-HNE | ELISA | [95] |
| Ocimum basilicum, Galium odoratum, Cymbopogon citratus | Human lymphocytes | 8-OHdG | ELISA assay | [96] |
| Origanum vulgare | IFN-γ and histamine-induced inflammatory model in human keratinocytes (NCTC 2544) | 8-OHdG | Immunofluorescence | [97] |
| Thymus vulgaris | Heat stress and dietary supplementation model in laying hens | 8-OHdG | ELISA assay | [98] |
| Origanum vulgare | Dietary supplementation model in mature Duroc boars | 8-OHdG | ELISA assay | [99] |
| Origanum vulgare | Perinatal dietary intervention model in sows | 8-OHdG | ELISA assay | [100] |
| Origanum majorana | Parental and epirubicin-resistant human lung cancer (H1299) cell lines | 8-OHdG | ELISA assay | [101] |
| Lippia sidoides | Porcine pancreatic elastase-Induced Emphysema in Mice | 8-iso-PGF2α | Immunofluorescence | [102] |
6.2. Robust In Vitro and In Vivo Models for Antioxidant Efficacy
6.2.1. Cellular and Organotypic Models
| Molecules | Mechanism and Biological Model | EOs/Compounds | Protective Mechanisms | Ref |
|---|---|---|---|---|
| AAPH | Induces lipid peroxidation and oxidative stress, and is widely employed as a standard probe in antioxidant screening assays. | Cinnamon, Thyme, Clove, Lavender, Peppermint | Radical-trapping chain-breaking activity toward peroxyl radicals | [114] |
| H2O2 | Elevates intracellular ROS levels, thereby inducing general oxidative stress and serving as a model for neurodegeneration and ischemia–reperfusion injury. | Alpinia zerumbet | Direct scavenging of intracellular ROS, preservation of cellular GSH levels, and protection against oxidative DNA damage | [115] |
| tert-Butyl hydroperoxide (t-BHP) | Generates ROS and initiates lipid and protein oxidation, providing a reliable model for evaluating oxidative damage and cellular antioxidant defenses. | Thymol, Carvacrol | Attenuation of lipid peroxidation and cytotoxicity in normal fibroblasts | [116,117] |
| RSL3, ML210, Erastin | Inhibit GPX4 or system Xc−, inducing ferroptosis and enabling the study of ferroptotic cell death in contexts such as neurodegeneration, cancer, and kidney injury. | Pomelo Peel, Amomum kravanh, β-Caryophyllene | Activation of the Nrf2 signaling axis, upregulation of GPX4 and SLC7A11, suppression of phospholipid peroxidation and inhibition of ferroptosis | [118,119,120,121] |
6.2.2. Animal Models of Oxidative Stress and Disease
| Inducer | Induced Models | Oxidative Mechanism | EOs/Compounds | Effects In Vivo | Ref |
|---|---|---|---|---|---|
| Carbon tetrachloride (CCl4) | CCl4-induced hepato/renal toxicity in mice | Radical metabolite causes hepatic lipid peroxidation and injury | Salvia officinalis EO | Reduced liver/kidney damage, oxidative stress, DNA breaks; improved antioxidant defenses and tissue structure | [142] |
| Cisplatin | Cisplatin-induced nephrotoxicity in Balb/c mice | Mitochondrial dysfunction, renal oxidative stress | Pituranthos chloranthus EO | Mitigated cisplatin-induced nephrotoxicity, reduced DNA damage, oxidative stress, and inflammation | [143] |
| Doxorubicin (Adriamycin) | Doxorubicin-induced nephrotoxicity in male Wistar rats | ROS production, cardiomyocyte/liver/kidney injury | Satureja khuzistanica EO | Attenuated DOX-induced nephrotoxicity and apoptosis via mitochondrial/extrinsic pathway; limited effect on oxidative stress | [144] |
| D-galactose | D-galactose -induced cognitive deficits in mice | Chronic systemic oxidative stress, mimics aging | Lavender EO and Linalool | Improved cognition, restored Nrf2/HO-1, SOD, GPX, and synaptic plasticity proteins | [145] |
| Lipopolysaccharide (LPS) | LPS-induced acute lung injury in rats | Immune activation, inflammation-induced ROS | Chimonanthus nitens EO | Reduced inflammation, improved antioxidant enzymes, attenuated lipid oxidation, modulated SCFAs | [146] |
| Acrylamide | Acrylamide-induced liver toxicity in rats | Neurotoxicity via ROS generation | Thymus satureioides EO | Suppressed liver enzymes, oxidative stress, NLRP3 inflammasome/NF-κB axis, and collagen deposition | [147] |
| High-fat diet (HFD) | HFD-induced nonalcoholic fatty liver disease in mice | Promotes lipid peroxidation, metabolic stress | Ginger EO | Ameliorated hepatic injury, improved lipid metabolism, suppressed oxidative stress and inflammation | [148] |
| Monosodium urate (MSU) | MSU-induced gouty arthritis in rats | Crystal-induced inflammation and ROS | Citronella and Nutmeg EOs | Reduced joint swelling, neutrophil infiltration, oxidative stress, and NLRP3 inflammasome activity | [79] |
| Isoproterenol (ISO) | ISO-induced myocardial infarction in rats | Cardiac oxidative stress, induces heart injury | Commiphora molmol EO | Ameliorated cardiac injury, improved Nrf2/HO-1 pathway, suppressed oxidative stress, inflammation, and apoptosis | [149] |
| Streptozotocin (STZ) | STZ-nicotinamide-induced type 2 diabetes in rats | Beta-cell destruction, induces diabetes and oxidative stress | Mentha piperita EO | Reduced hyperglycemia, improved insulin/C-peptide, enhanced antioxidant status, protected liver and pancreas tissues | [150] |
| Paraquat | Paraquat-induced pulmonary toxicity in rats | Redox cycling, massive ROS generation | Myrtenol | Restored SOD, CAT, thiol, reduced TNF-α, IL-6, MDA, improved lung histopathology and antioxidant status | [151] |
| Ethanol | Ethanol-induced gastric injury in rats | Induces liver oxidative stress and lipid peroxidation | Rosmarinus officinalis EO | Protected against gastric lesions via antioxidant action; increased SOD and GSH-Px, reduced lipid peroxides | [152] |
| Ultraviolet (UV) radiation | UVB-induced oxidative stress in albino rats | Directly increases ROS, DNA and skin damage | Calendula officinalis EO | Significantly decreased MDA, increased catalase, GSH, SOD, ascorbic acid, and total protein in skin tissue | [153] |
| Mercury chloride (HgCl2;) | HgCl2;-induced oxidative damage in male rats (testis, spleen, kidney) | Induces oxidative stress, inflammation, and reproductive/renal toxicity | Origanum EO | Decreased TBARS, increased GSH, SOD, and CAT; restored trace elements (Zn, Cu, Mg, Fe), testosterone, and improved histological alterations in testis and spleen | [154] |
6.3. Molecular Pathways and Redox Regulation Networks
6.3.1. Core Redox-Signaling Pathways and Experimental Approaches
6.3.2. Activation of the Nrf2/Keap1 Signaling Pathway
| Compounds/EOs | Induced Model | Regulation of the Nrf2 Pathway | Detection Methods | Ref |
|---|---|---|---|---|
| Cinnamaldehyde | H2O2-induced oxidative stress in HepG2 cells | Promotes nuclear translocation of Nrf2 and upregulates downstream antioxidant enzymes. | Western blot, immunofluorescence, qPCR, siRNA | [165] |
| Cinnamaldehyde | High-glucose mouse aorta and endothelial cells | Enhances nuclear translocation and expression of Nrf2, and increases HO-1 and NQO1 expression. | Western blot, immunofluorescence, siRNA | [166] |
| Cinnamaldehyde | db/db diabetic mouse aorta and kidney tissues | Upregulates Nrf2, HO-1, GPX-1, and NQO-1, and ameliorates oxidative damage. | Western blot, qPCR, siRNA | [167] |
| Cinnamaldehyde | H2O2-treated bone marrow mesenchymal stem cells and ovariectomized mice | Increases Nrf2, HO-1, and NQO-1 expression, and promotes Nrf2 nuclear translocation. | Western blot, immunofluorescence, immunohistochemistry (IHC), siRNA | [168] |
| Cinnamaldehyde | H2O2-treated human dermal papilla cells | Promotes Nrf2 nuclear translocation and increases HO-1 expression. | Western blot, immunofluorescence, qPCR, siRNA | [169] |
| Cinnamaldehyde | BaP-induced oxidative stress in HaCaT cells | Promotes Nrf2 nuclear translocation and increases HO-1 expression. | Western blot, immunofluorescence, qPCR, siRNA | [170] |
| Cinnamaldehyde | Human umbilical vein endothelial cells | Upregulates Nrf2 downstream antioxidant enzymes. | Western blot, immunoprecipitation, nuclear fractionation, siRNA | [171] |
| Cinnamaldehyde | Normal human epidermal keratinocytes | Upregulates GPX2 and NQO1 in an Nrf2-dependent manner. | Western blot, siRNA | [172] |
| Cinnamaldehyde | TGF-β1/IL-13-treated normal human dermal fibroblasts | Promotes nuclear translocation of Nrf2 and increases HMOX1 and NQO1 expression, exerting antifibrotic effects. | Western blot, immunofluorescence, qPCR, siRNA | [173] |
| Cinnamaldehyde | HCT116 colorectal cancer cells and mouse colon tissues | Upregulates Nrf2, HO-1, and NQO1, and downregulates Keap1. | Western blot, qPCR, IHC | [174] |
| Cinnamaldehyde | H2O2-treated V79-4 lung fibroblasts | Increases Nrf2, phospho-Nrf2, and HO-1 expression, and decreases Keap1. | Western blot, ELISA, siRNA | [175] |
| Cinnamaldehyde | High-fat and high-glucose diet-induced metabolic syndrome in Wistar rats | Increases vascular Nrf2 activity and upregulates HO-1 and related enzymes. | Transcription factor DNA-binding assay, qPCR | [176] |
| Cinnamaldehyde | H9c2 cardiomyocytes and doxorubicin-injured rat myocardium | Promotes Nrf2 nuclear translocation and HO-1 expression, and inhibits ferroptosis. | Western blot, qPCR, IHC, siRNA | [177] |
| Cinnamaldehyde | Zymosan-stimulated KERTr human keratinocytes | Upregulates Nrf2, HO-1, and NQO1 at low doses, and exerts anti-inflammatory effects in a Nrf2-dependent manner. | Western blot, qPCR, shRNA, ELISA | [178] |
| Cinnamaldehyde | H2O2- and TNF-α-stimulated human umbilical vein endothelial cells | Promotes Nrf2 nuclear translocation, upregulates HO-1, and reduces inflammation. | Western blot, qPCR, siRNA, immunoprecipitation | [179] |
| Cinnamaldehyde | LPS-induced neuroinflammation mouse model | Promotes Nrf2 nuclear translocation, increases SOD and GST, and reduces MDA levels. | ELISA, enzyme activity assay, Western blot | [180] |
| Cinnamaldehyde | Oxygen-glucose deprivation/reperfusion-injured H9c2 cardiomyocytes | Upregulates Nrf2, HO-1, and PPAR-γ expression. | Western blot, qPCR, siRNA, enzyme activity assays | [181] |
| Cinnamaldehyde | In vitro thioredoxin reductase assay using HCT116 colorectal cancer cells | Activates the Nrf2/ARE pathway, upregulates TrxR, and inhibits TrxR in a dose-dependent manner. | Luciferase reporter assay, Western blot, enzymology | [182] |
| Cinnamaldehyde | H2O2- and arsenic-treated HCT116, HT29, and FHC colon cells | Increases Nrf2, HO-1, and γ-GCS expression, and exerts Nrf2-dependent antioxidant protection. | Luciferase reporter assay, Western blot, qPCR, siRNA | [183] |
| Citral | Adriamycin-induced FSGS mouse model and RAW264.7 macrophages | Alleviates renal injury by activating Nrf2, upregulating HO-1/NQO1, and inhibiting oxidative stress and apoptosis. | Western blot, ELISA, IHC | [184] |
| Citral | LPS-induced endometritis mouse model and Nrf2 knockout mice | Activates the Nrf2/HO-1 pathway, suppresses LPS-induced ferroptosis and inflammation, and exhibits Nrf2-dependent protective effects. | Western blot, siRNA | [185] |
| Citral | LPS-accelerated lupus nephritis mouse model and LPS-primed macrophages | Enhances Nrf2 activation, upregulates HO-1 and GPX, and attenuates oxidative stress and NLRP3 inflammasome signaling. | Western blot, IHC, Immunofluorescence, ELISA, TUNEL | [186] |
| Citral, Lemongrass EO | PC12D neuronal cell in vitro model | Targets Keap1 and promotes Nrf2-dependent HO-1 expression, as shown by molecular docking and cellular experiments; animal studies confirm antioxidative effects in brain regions. | Molecular docking, qPCR, Western blot | [187] |
| Carvone | LPS-induced acute lung injury in rats | Significantly upregulates Nrf2 and HO-1 expression in lung tissue, and attenuates oxidative stress and inflammation. | Western blot, histopathology, ELISA, enzyme activity assay | [188] |
| Carvone | CCl4-induced liver fibrosis in rats | Upregulates the Nrf2 pathway, improves antioxidant status (increases GSH, SOD), reduces oxidative damage and fibrosis, and is associated with reduced TGF-β1/SMAD3 signaling. | Enzyme activity assay, IHC, qPCR, liver histology | [189] |
| Pulegone | LPS-stimulated RAW264.7 macrophages | Promotes Nrf2/HO-1 expression, downregulates iNOS, COX-2, NF-κB, and MAPKs, and suppresses inflammation and ROS. | Western blot | [190] |
| Pulegone | L-arginine-induced acute pancreatitis mouse model | Inhibits the p38 MAPK/NF-κB pathway, alleviates oxidative stress and inflammatory responses, and upregulates Nrf2 and antioxidant defense enzymes. | Western blot | [191] |
| Eugenol | H2O2-induced injury models in HEK-293 and NIH-3T3 cells | Dose-dependently activates Nrf2 expression and nuclear translocation, upregulates Nrf2 target genes, and exerts antioxidant effects. | Western blot, qPCR, transcriptional activity assays | [192] |
| Carvacrol | Rotenone-induced Parkinson’s disease mouse model | Upregulates Nrf2/HO-1, reduces inflammation, oxidative stress, and NLRP3 activation, and improves motor and neural injury. | Western blot, IHC, enzyme activity assay | [193] |
| Carvacrol | STZ-induced diabetes in rats | Upregulates Nrf2/HO-1, enhances antioxidant enzyme activity, and inhibits NF-κB-mediated testicular apoptosis and inflammation. | Western blot, enzyme activity assay | [194] |
| Thymol, p-Cymene | Immobilization stress in rats | Increases Nrf2 and HO-1 expression, suppresses TNF-α/NF-κB and oxidative stress, and reduces liver inflammation. | qPCR, ELISA, histology | [195] |
| α-Pinene | Ethanol-induced gastric injury in rats | Upregulates Nrf2 and HO-1 mRNA, increases gastric pH, and reduces lesions and oxidative damage. | qPCR, histology, enzyme activity assay | [196] |
| β-Caryophyllene | Hepatic ischemia–reperfusion injury in rats | Upregulates Keap1/Nrf2/HO-1/NQO1, decreases inflammation via TLR4/NF-κB/NLRP3, and reduces oxidative stress. | Western blot, qPCR, IHC, ELISA, enzyme activity assay, in silico docking | [197] |
| β-Caryophyllene | MCAO/reperfusion (cerebral ischemia) rats; OGD/R PC12 cells | Enhances Nrf2 nuclear translocation and HO-1, suppresses ferroptosis, and effect is blocked by Nrf2 inhibitor ML385. | Western blot, inhibitor rescue, neurobehavioral tests, infarct size | [120] |
| β-Caryophyllene | Glutamate-induced C6 glioma cell toxicity | Induces Nrf2 nuclear translocation, improves GSH and GPX, inhibits ROS, and restores mitochondrial function in a CB2R-dependent manner. | Immunofluorescence, GSH, GPX, ROS, MTT, JC-1, Western blot | [198] |
| Carvacryl acetate | Cerebral ischemia–reperfusion injury model in rats and H2O2-induced oxidative stress model in PC12 cells | Promotes Nrf2 expression and nuclear translocation, provides antioxidative neuroprotection, and loses protective effects with Nrf2 knockdown. | Western blot, IHC, shRNA | [199] |
| Geraniol | Hepatic ischemia–reperfusion injury model in rats | Markedly activates Nrf2/HO-1, upregulates antioxidant enzymes, and attenuates oxidative stress and apoptosis. | Western blot, enzyme activity assay | [200] |
| Geraniol | Doxorubicin-induced cardiac toxicity in rats | Dose-dependently upregulates Nrf2/HO-1, exhibits antioxidant, anti-inflammatory, and anti-apoptotic activities, and provides cardioprotection. | Western blot, qPCR, tissue biochemical analysis | [201] |
| Geraniol | High-fat diet-induced atherosclerosis model in hamsters | Significantly upregulates Nrf2 and antioxidant enzymes, inhibits lipid peroxidation, and improves endothelial function. | Western blot, biochemical assays | [202] |
| Geraniol | Renal ischemia–reperfusion injury model in rats | Activates Nrf2/HO-1/NQO1, inhibits TLR2/4-NF-κB inflammatory signaling, and protects the kidney. | Western blot, qPCR, molecular docking analysis | [203] |
| Perillyl alcohol | LPS-induced RAW264.7 cells, CFA-induced arthritis in rats | Ameliorates oxidative stress and inflammation via regulation of TLR4/NF-κB and Keap1/Nrf2 pathways, increases Nrf2 and SOD2, and reduces NF-κB and iNOS. | Western blot, qPCR, histology | [204] |
| Perillyl alcohol | OGD/R-induced PC12 cells, Rice-Vannucci hypoxic–ischemic neonatal rats | Activates Nrf2, inactivates Keap1, and reduces oxidative stress, inflammation, and apoptosis; effect is reversed by the Nrf2 inhibitor ML385. | Western blot, Nrf2 nuclear localization, ML385 inhibitor, in vivo/in vitro | [205] |
| Nerolidol | Doxorubicin-induced chronic cardiotoxicity in rats | Modulates PI3K/Akt and Nrf2/Keap1/HO-1 pathways, and inhibits oxidative and inflammatory damage. | Western blot, qPCR, enzyme activity assay | [206] |
| Nerol | Dexamethasone-induced aging in human dermal fibroblasts | Activates the Nrf2 pathway, restores collagen and hyaluronic acid, and protects against glucocorticoid-induced aging; effect is abolished by Nrf2 inhibitor. | Inhibitor validation, functional assays | [207] |
| Perillaldehyde | X-ray-induced intestinal injury in C57BL/6J mice, intestinal organoids, HIEC-6 cells | Upregulates Nrf2, activates antioxidant pathways, and inhibits ferroptosis; effect is abolished by the Nrf2 inhibitor ML385. | Western blot, functional rescue, in vivo/in vitro models | [208] |
| Limonene | UVB-irradiated HaCaT keratinocytes | Enhances nuclear Nrf2 translocation, and increases HO-1, NQO1, and γ-GCLC expression. | Western blot, siRNA | [209] |
| Limonene, Coreopsis tinctoria EO | D-galactose-induced aging and cognitive impairment model in mice | EO upregulates Nrf2, suppresses NF-κB, alleviates cognitive impairment and oxidative stress; shows superior efficacy compared to limonene. | Western blot, qPCR | [210] |
| Linalool | IL-1β-induced chondrocytes, DMM mouse OA model | Activates Nrf2/HO-1, reduces inflammation, protects the extracellular matrix, and blocks the NF-κB pathway. | Western blot, qPCR, in vivo mouse model | [211] |
| Linalool | Liver ischemia–reperfusion in rats | Activates the Keap1/Nrf2/HO-1/NQO1 axis, and suppresses the TLR4/RAGE/NF-κB pathway. | Western blot, qPCR, enzyme activity assay, docking | [212] |
| Linalool, Lavender EO | D-galactose & AlCl3-induced cognitive deficit in mice | Upregulates Nrf2 and HO-1 expression, and improves antioxidant and synaptic markers. | Western blot, qPCR, behavior tests | [145] |
| Achillea millefolium EO | Ethanol-induced gastric ulcer in rats | Upregulates Nrf2 and HO-1 expression, exerts antioxidant, anti-inflammatory, and anti-apoptotic effects, and alleviates gastric injury. | Western blot, IHC | [213] |
| 1,8-Cineole, Amomum kravanh EO | Adenine and 5/6 nephrectomy-induced chronic kidney disease in rats | Upregulates Nrf2/HO-1, inhibits ferroptosis and fibrosis, and protects the kidney. | RNA-seq, Western blot | [121] |
| 1,8-Cineole, Artemisia vulgaris EO | Acetaminophen-induced liver injury in mice | Suppresses Keap1, promotes Nrf2 nuclear translocation and target gene (UGT/SULT) expression. | Western blot, qPCR, molecular interaction assays, translocation analysis | [214] |
| Borneol | Aβ-induced neurotoxicity in human neuroblastoma SH-SY5Y cells | Increases Nrf2 and Bcl-2 expression, and attenuates oxidative stress and apoptosis. | Western blot | [215] |
| Melaleuca alternifolia EO | RAW264.7 murine macrophages | Upregulates HO-1 via Nrf2-ARE activation. | Western blot, qPCR, reporter assay | [216] |
| Myrrh EO | Isoproterenol-induced myocardial infarction in rats | Increases Nrf2 and HO-1, and reduces apoptosis and inflammation. | Western blot, enzyme activity assay, IHC | [149] |
| Nepeta cataria EO | Acetaminophen-induced liver injury in mice | Induces Nrf2 activation, upregulates phase II enzymes (UGTs, SULTs), and reduces CYP2E1. | qPCR, enzyme activity assay | [217] |
| Oregano EO | H2O2-induced oxidative stress in IPEC-J2 cells | Increases Nrf2 activation, induces SOD1, GCLC, and GSH expression, and protects against ROS; effect is reversed by Nrf2 siRNA. | Western blot, qPCR, siRNA, luciferase reporter | [218] |
| Oregano EO | Postoperative adhesion mouse models, in vitro barrier assays | Upregulates Nrf2 phosphorylation and downregulates NF-κB, reducing inflammation and fibrosis, as shown by oregano EO-loaded nanofiber barriers. | Phosphorylation assay (Western blot), protein markers | [219] |
| Pinus morrisonicola EO | UVB-irradiated HaCaT keratinocytes | Activates Nrf2, increases HO-1 and NQO-1, and reduces ROS and cell death; protection is lost with Nrf2 knockdown. | Western blot, siRNA | [220] |
| Rosmarinus officinalis EO | H2O2-induced oxidative stress in A549 cells | Activates the Nrf2 pathway, enhances NQO-1 and HO-1 expression, and exhibits strong radical scavenging activity; supported by molecular docking with Keap1. | Western blot, qPCR, molecular docking | [221] |
| Salvia lavandulifolia EO | H2O2-induced oxidative stress in PC12 cells | Activates Nrf2, increases antioxidant enzyme activity, reduces ROS and MDA, and protects against neuronal injury. | Western blot, enzyme activity assay, qPCR | [222] |
| Schisandra chinensis EO | Depression mouse model, H2O2-induced PC12 cells | Increases nuclear translocation of Nrf2 and HO-1, reverses SOD, GSH, and CAT decline, decreases MDA, and protects neurons and exerts antidepressant effects. | Immunoblot, immunofluorescence, enzyme activity assay | [223] |
| Stahlianthus involucratus EO | ApoE−/− mice with high-fat diet (atherosclerosis model); ox-LDL-induced HUVECs | Activates the Nrf2 pathway, increases Nrf2, HO-1, and NQO1, decreases Keap1, reduces oxidative stress, restores mitochondrial quality, and loses effects with Nrf2 silencing. | Western blot, IHC, in vitro siRNA | [224] |
| Tea tree EO | Macrobrachium rosenbergii fed with different doses of tea tree EO | Upregulates Keap1-Nrf2 signaling, increases antioxidant enzyme and autophagy gene expression at 100 mg/kg; strongly activates Nrf2 and inhibits autophagy at 1000 mg/kg. | qPCR, Western blot, functional rescue, Pearson correlation analysis | [225] |
| Tagetes erecta EO | MNNG-induced gastric cancer in rats | Upregulates Nrf2 and HO-1, reduces NF-κB p65 and IκBα degradation, and alleviates oxidative stress, inflammation, and apoptosis. | qPCR, histology, ELISA, enzyme activity assay, IHC | [226] |
| Thymus vulgaris EO | MDA-MB-231 triple-negative breast cancer cells | Induces Nrf2 mRNA expression and HO-1, increases ROS and MDA, reduces catalase and PON2, and triggers apoptosis. | qPCR, Western blot, cell viability assays | [227] |
| Thymus quinquecostatus EO | Zebrafish oxidative stress model, in vitro antioxidant assays | Activates the Nrf2/Keap1 pathway, increases SOD1, CAT, and Hmox1, and reduces ROS and lipid peroxidation. | qPCR, DPPH/ABTS/FRAP/TBARS assays, zebrafish imaging | [228] |
| Chamomile EO | LPS and IFN-γ-stimulated human and mouse macrophages, and peripheral blood mononuclear cells | Upregulates Nrf2, GCL, and HO-1, eliminates ROS, and exhibits anti-inflammatory and antioxidant effects by suppressing NF-κB. | Western blot, qPCR, enzyme activity assay | [229] |
| Chimonanthus nitens EO | DSS-induced colitis in mice | Activates Nrf2/HO-1, inhibits MAPK/NF-κB inflammatory pathways, and enhances tight junction protein expression. | Western blot, qPCR | [230] |
| Coriander EO | Dexamethasone-induced acute liver injury in rats | Dose-dependently activates Nrf2/HO-1, attenuates oxidative stress and apoptosis, and improves liver injury. | Western blot, IHC | [231] |
| Dalbergia odorifera EO | Isoproterenol-induced myocardial ischemia in rats | Significantly upregulates Nrf2 and HO-1, reduces Caspase 3/9 levels, and provides cardioprotection. | IHC | [232] |
| Eugenia uniflora EO | In vivo fumigation of Drosophila melanogaster | Upregulates Nrf2 targets and induces both oxidative stress and antioxidant responses, exhibiting toxicity. | Western blot | [233] |
| Red ginseng EO | H2O2-treated HepG2 cells, CCl4-induced mice | Upregulates antioxidant enzymes (SOD, CAT, GPX) and inhibits MAPK phosphorylation. | Western blot, IHC, enzyme activity assay | [234] |
| Lavender, lemongrass, rosemary, chamomile EOs | UVB-irradiated human dermal papilla cells | Increases Nrf2 activation and upregulates phase II enzymes (HO-1, NQO1, GST-pi). | Western blot, qPCR | [235] |
6.3.3. Multifaceted Regulation of Redox Signaling Pathways
6.3.4. Integrated Functional Evaluation of Antioxidant Enzyme Activities
6.4. Frontier Biotechnologies for Target Identification and Validation

7. Conclusions and Perspectives
Author Contributions
Funding
Institutional Review Board Statement
Informed Consent Statement
Data Availability Statement
Acknowledgments
Conflicts of Interest
References
- Raut, J.S.; Karuppayil, S.M. A status review on the medicinal properties of essential oils. Ind. Crops Prod. 2014, 62, 250–264. [Google Scholar] [CrossRef]
- Turek, C.; Stintzing, F.C. Stability of Essential Oils: A Review. Compr. Rev. Food Sci. Food Saf. 2013, 12, 40–53. [Google Scholar] [CrossRef]
- Teles, S.; Pereira, J.A.; Santos, C.H.B.; Menezes, R.V.; Malheiro, R.; Lucchese, A.M.; Silva, F. Effect of geographical origin on the essential oil content and composition of fresh and dried Mentha × villosa Hudson leaves. Ind. Crops Prod. 2013, 46, 1–7. [Google Scholar] [CrossRef]
- Reyes-Jurado, F.; Franco-Vega, A.; Ramírez-Corona, N.; Palou, E.; López-Malo, A. Essential Oils: Antimicrobial Activities, Extraction Methods, and Their Modeling. Food Eng. Rev. 2015, 7, 275–297. [Google Scholar] [CrossRef]
- Baptista-Silva, S.; Borges, S.; Ramos, O.L.; Pintado, M.; Sarmento, B. The progress of essential oils as potential therapeutic agents: A review. J. Essent. Oil Res. 2020, 32, 279–295. [Google Scholar] [CrossRef]
- Ju, J.; Chen, X.Q.; Xie, Y.F.; Yu, H.; Guo, Y.H.; Cheng, Y.L.; Qian, H.; Yao, W.R. Application of essential oil as a sustained release preparation in food packaging. Trends Food Sci. Technol. 2019, 92, 22–32. [Google Scholar] [CrossRef]
- Elzaawely, A.A.; Xuan, T.D.; Koyama, H.; Tawata, S. Antioxidant activity and contents of essential oil and phenolic compounds in flowers and seeds of Alpinia zerumbet (Pers.) B.L. Burtt. & R.M. Sm. Food Chem. 2007, 104, 1648–1653. [Google Scholar]
- Guo, Y.F.; Pizzol, R.; Gabbanini, S.; Baschieri, A.; Amorati, R.; Valgimigli, L. Absolute Antioxidant Activity of Five Phenol-Rich Essential Oils. Molecules 2021, 26, 5237. [Google Scholar] [CrossRef] [PubMed]
- Wojtunik, K.A.; Ciesla, L.M.; Waksmundzka-Hajnos, M. Model Studies on the Antioxidant Activity of Common Terpenoid Constituents of Essential Oils by Means of the 2,2-Diphenyl-1-picrylhydrazyl Method. J. Agric. Food Chem. 2014, 62, 9088–9094. [Google Scholar] [CrossRef] [PubMed]
- Jin, Z.X.; Mollica, F.; Huang, Y.Q.; Guernelli, S.; Baschieri, A.; Diquigiovanni, C.; Rizzardi, N.; Valenti, F.; Pincigher, L.; Bergamini, C.; et al. Pro-aromatic Natural Terpenes as Unusual “Slingshot” Antioxidants with Promising Ferroptosis Inhibition Activity. Chem.-A Eur. J. 2024, 30, e20240332. [Google Scholar] [CrossRef]
- Amorati, R.; Foti, M.C.; Valgimigli, L. Antioxidant Activity of Essential Oils. J. Agric. Food Chem. 2013, 61, 10835–10847. [Google Scholar] [CrossRef]
- Flórez, M.; Cazón, P.; Vázquez, M. Active packaging film of chitosan and Santalum album essential oil: Characterization and application as butter sachet to retard lipid oxidation. Food Packag. Shelf Life 2022, 34, 100938. [Google Scholar] [CrossRef]
- Kamli, H.; Ali, A.M.; Salem, Y.H.; Shaikh, A.; El-Nashar, H.A.S. Chemical Profiling and Enzyme Inhibitory Activities of Essential Oil Isolated from Pistacia khinjuk Leaves: Insights On GC-MS Analysis and Skin Aging-Relevant Enzymes. Chem. Biodivers. 2024, 21, e202302096. [Google Scholar] [CrossRef] [PubMed]
- de Lavor, E.M.; Fernandes, A.W.C.; Teles, R.B.D.; Leal, A.; de Oliveira, R.G.; Silva, M.G.E.; de Oliveira, A.P.; Silva, J.C.; Araujo, M.; Coutinho, H.D.M.; et al. Essential Oils and Their Major Compounds in the Treatment of Chronic Inflammation: A Review of Antioxidant Potential in Preclinical Studies and Molecular Mechanisms. Oxidative Med. Cell. Longev. 2018, 2018, 6468593. [Google Scholar] [CrossRef] [PubMed]
- Ji, X.M.; Liang, J.F.; Wang, Y.J.; Liu, X.Y.; Li, Y.L.; Liu, Q.F.; Liu, R.Z. Synthetic Antioxidants as Contaminants of Emerging Concern in Indoor Environments: Knowns and Unknowns. Environ. Sci. Technol. 2023, 57, 21550–21557. [Google Scholar] [CrossRef] [PubMed]
- Anthony, K.P.; Deolu-Sobogun, S.A.; Saleh, M.A. Comprehensive Assessment of Antioxidant Activity of Essential Oils. J. Food Sci. 2012, 77, C839–C843. [Google Scholar] [CrossRef]
- Benkhaira, N.; Koraichi, S.I.; Fikri-Benbrahim, K. In vitro Methods to Study Antioxidant and Some Biological Activities of Essential Oils: A Review. Biointerface Res. Appl. Chem. 2022, 12, 3332–3347. [Google Scholar]
- Pérez-Rosés, R.; Risco, E.; Vila, R.; Peñalver, P.; Cañigueral, S. Biological and Nonbiological Antioxidant Activity of Some Essential Oils. J. Agric. Food Chem. 2016, 64, 4716–4724. [Google Scholar] [CrossRef]
- Mantle, D.; Anderton, J.G.; Falkous, G.; Barnes, M.; Jones, P.; Perry, E.K. Comparison of methods for determination of total antioxidant status: Application to analysis of medicinal plant essential oils. Comp. Biochem. Physiol. B-Biochem. Mol. Biol. 1998, 121, 385–391. [Google Scholar] [CrossRef]
- Helberg, J.; Pratt, D.A. Autoxidation antioxidants-the fight for forever. Chem. Soc. Rev. 2021, 50, 7343–7358. [Google Scholar] [CrossRef]
- Valgimigli, L. Lipid Peroxidation and Antioxidant Protection. Biomolecules 2023, 13, 1291. [Google Scholar] [CrossRef]
- Mollica, F.; Bonoldi, L.; Amorati, R. Kinetic analysis of high-temperature sunflower oil peroxidation inhibited by the major families of phenolic antioxidants unveils the extraordinary activity of 1,4-Hydroquinones. Antioxidants 2022, 11, 2142. [Google Scholar] [CrossRef]
- Lopes, C.R.B.; Courrol, L.C. Evaluation of Steady-State and Time-Resolved Fluorescence Spectroscopy as a Method for Assessing the Impact of Photo-Oxidation on Refined Soybean Oils. Foods 2023, 12, 1862. [Google Scholar] [CrossRef]
- Scurti, S.; Caretti, D.; Mollica, F.; Di Antonio, E.; Amorati, R. Chain-Breaking Antioxidant and Peroxyl Radical Trapping Activity of Phenol-Coated Magnetic Iron Oxide Nanoparticles. Antioxidants 2022, 11, 1163. [Google Scholar] [CrossRef]
- Baschieri, A.; Jin, Z.X.; Amorati, R. Hydroperoxyl radical (HOO) as a reducing agent: Unexpected synergy with antioxidants. A review. Free Radic. Res. 2023, 57, 115–129. [Google Scholar] [CrossRef] [PubMed]
- Zielinski, Z.A.M.; Pratt, D.A. Lipid Peroxidation: Kinetics, Mechanisms, and Products. J. Org. Chem. 2017, 82, 2817–2825. [Google Scholar] [CrossRef]
- Losada-Barreiro, S.; Paiva-Martins, F.; Bravo-Díaz, C. Analysis of the Efficiency of Antioxidants in Inhibiting Lipid Oxidation in Terms of Characteristic Kinetic Parameters. Antioxidants 2024, 13, 593. [Google Scholar] [CrossRef] [PubMed]
- Saraev, D.D.; Wu, Z.; Kim, H.-Y.H.; Porter, N.A.; Pratt, D.A. Intramolecular H-atom transfers in alkoxyl radical intermediates underlie the apparent oxidation of lipid hydroperoxides by Fe (II). ACS Chem. Biol. 2023, 18, 2073–2081. [Google Scholar] [CrossRef]
- Daci, M.; Berisha, L.; Mercatante, D.; Rodriguez-Estrada, M.T.; Jin, Z.; Huang, Y.; Amorati, R. Advancements in Biosensors for Lipid Peroxidation and Antioxidant Protection in Food: A Critical Review. Antioxidants 2024, 13, 1484. [Google Scholar] [CrossRef] [PubMed]
- Del Caño-Ochoa, S.; Ruiz-Aracama, A.; Guillén, M.D. Individual and Joint Effect of -Tocopherol and Hydroxytyrosol Acetate on the Oxidation of Sunflower Oil Submitted to Oxidative Conditions: A Study by Proton Nuclear Magnetic Resonance. Antioxidants 2022, 11, 1156. [Google Scholar] [CrossRef]
- Pignoli, G.; Bou, R.; Rodriguez-Estrada, M.T.; Decker, E.A. Suitability of saturated aldehydes as lipid oxidation markers in washed turkey meat. Meat Sci. 2009, 83, 412–416. [Google Scholar] [CrossRef]
- ten Klooster, S.; Takeuchi, M.; Schroën, K.; Tuinier, R.; Joosten, R.; Friedrich, H.; Berton-Carabin, C. Tiny, yet impactful: Detection and oxidative stability of very small oil droplets in surfactant-stabilized emulsions. J. Colloid Interface Sci. 2023, 652, 1994–2004. [Google Scholar] [CrossRef]
- Grebenteuch, S.; Kroh, L.W.; Drusch, S.; Rohn, S. Formation of Secondary and Tertiary Volatile Compounds Resulting from the Lipid Oxidation of Rapeseed Oil. Foods 2021, 10, 2417. [Google Scholar] [CrossRef]
- Barani, M.; Bonetti, R.; Parker, W.O., Jr. Thermal oxidation of model molecules to reveal vegetable oil polymerization studied by NMR spectroscopy and self-diffusion. J. Am. Oil Chem. Soc. 2023, 100, 551–560. [Google Scholar] [CrossRef]
- Flitsch, S.; Neu, P.M.; Schober, S.; Kienzl, N.; Ullmann, J.; Mittelbach, M. Quantitation of Aging Products Formed in Biodiesel during the Rancimat Accelerated Oxidation Test. Energy Fuel 2014, 28, 5849–5856. [Google Scholar] [CrossRef]
- Saraev, D.D.; Pratt, D.A. Reactions of lipid hydroperoxides and how they may contribute to ferroptosis sensitivity. Curr. Opin. Chem. Biol. 2024, 81, 102478. [Google Scholar] [CrossRef] [PubMed]
- Yadav, M.; Sodhi, N.; Sethi, P.; Mundlia, P.; Singh, S.P.; Barnwal, R.P.; Khajuria, A.; Singh, G.; Baschieri, A.; Amorati, R. Radical-Trapping and Hydroperoxide-Decomposing Benzoselenazole Antioxidants with Potential Biological Applications Against Oxidative Stress. ChemBioChem 2025, 26, e202400954. [Google Scholar] [CrossRef]
- Mulder, P.; Korth, H.G.; Ingold, K.U. Why quantum-thermochemical calculations must be used with caution to indicate ‘a promising lead antioxidant’. Helv. Chim. Acta 2005, 88, 370–374. [Google Scholar] [CrossRef]
- Bolchini, S.; Angeli, L.; Ferrentino, G.; Van Boekel, M.; Amorati, R.; Scampicchio, M.; Morozova, K. Free radical scavenging kinetics of Maillard reaction products: A glucose-glycine model system. LWT 2025, 217, 117316. [Google Scholar] [CrossRef]
- Foti, M.C.; Amorati, R. Non-phenolic radical-trapping antioxidants. J. Pharm. Pharmacol. 2009, 61, 1435–1448. [Google Scholar] [CrossRef] [PubMed]
- Foti, M.C.; Rocco, C.; Jin, Z.; Amorati, R. Rate constants for H-atom abstraction by HOO• from H-donor compounds of antioxidant relevance. New J. Chem. 2024, 48, 16047–16056. [Google Scholar] [CrossRef]
- Foti, M.C. Antioxidant properties of phenols. J. Pharm. Pharmacol. 2007, 59, 1673–1685. [Google Scholar] [CrossRef]
- Pan, W.; Velasco Abadia, A.; Guo, Y.; Gabbanini, S.; Baschieri, A.; Amorati, R.; Valgimigli, L. Peroxyl Radical Trapping Antioxidant Activity of Essential Oils and Their Phenolic Components. J. Agric. Food Chem. 2024, 72, 23832–23843. [Google Scholar] [CrossRef] [PubMed]
- Foti, M.C.; Ingold, K. Mechanism of inhibition of lipid peroxidation by γ-terpinene, an unusual and potentially useful hydrocarbon antioxidant. J. Agric. Food Chem. 2003, 51, 2758–2765. [Google Scholar] [CrossRef] [PubMed]
- Sortino, S.; Petralia, S.; Foti, M.C. Absolute rate constants and transient intermediates in the free-radical-induced peroxidation of γ-terpinene, an unusual hydrocarbon antioxidant. New J. Chem. 2003, 27, 1563–1567. [Google Scholar] [CrossRef]
- Foti, M.C.; Sortino, S.; Ingold, K. New insight into solvent effects on the formal HOO.+ HOO. reaction. Chem.—Eur. J. 2005, 11, 1942–1948. [Google Scholar] [CrossRef]
- Baschieri, A.; Ajvazi, M.D.; Tonfack, J.L.F.; Valgimigli, L.; Amorati, R. Explaining the antioxidant activity of some common non-phenolic components of essential oils. Food Chem. 2017, 232, 656–663. [Google Scholar] [CrossRef]
- Al-Maqtari, Q.A.; Rehman, A.; Mahdi, A.A.; Al-Ansi, W.; Wei, M.; Yanyu, Z.; Phyo, H.M.; Galeboe, O.; Yao, W. Application of essential oils as preservatives in food systems: Challenges and future prospectives-a review. Phytochem. Rev. 2022, 21, 1209–1246. [Google Scholar] [CrossRef]
- Przybylski, P.; Żebrowski, M.; Witkowski, W.; Cybularczyk-Cecotka, M.; Litwinienko, G. Antioxidant activity of bilirubin in micellar and liposomal systems is pH-dependent. Antioxidants 2024, 13, 426. [Google Scholar] [CrossRef]
- Mollica, F.; Gelabert, I.; Amorati, R. Synergic antioxidant effects of the essential oil component γ-terpinene on high-temperature oil oxidation. ACS Food Sci. Technol. 2022, 2, 180–186. [Google Scholar] [CrossRef]
- Foti, M.; Piattelli, M.; Baratta, M.T.; Ruberto, G. Flavonoids, coumarins, and cinnamic acids as antioxidants in a micellar system. Structure−activity relationship. J. Agric. Food Chem. 1996, 44, 497–501. [Google Scholar] [CrossRef]
- Foti, M.; Ruberto, G. Kinetic solvent effects on phenolic antioxidants determined by spectrophotometric measurements. J. Agric. Food Chem. 2001, 49, 342–348. [Google Scholar] [CrossRef]
- Suhag, R.; Ferrentino, G.; Morozova, K.; Zatelli, D.; Scampicchio, M.; Amorati, R. Antioxidant efficiency and oxidizability of mayonnaise by oximetry and isothermal calorimetry. Food Chem. 2024, 433, 137274. [Google Scholar] [CrossRef]
- Suhag, R.; Kellil, A.; Ferrentino, G.; Morozova, K.; Zatelli, D.; Scampicchio, M. Lipid oxidation kinetics and antioxidant efficiency in foods using isothermal calorimetry. Trends Food Sci. Technol. 2025, 155, 104801. [Google Scholar] [CrossRef]
- Qi, Y.; Huang, Y.; Li, H.; Jin, Z.; Amorati, R.; Shi, L. Effect of fatty acid composition on rosemary antioxidants in stabilizing woody edible oils: A kinetic and machine learning analysis of volatiles under accelerated oxidation. Food Chem. 2025, 492, 145214. [Google Scholar] [CrossRef] [PubMed]
- Bayram, I.; Decker, E.A. Analysis of the mechanism of antioxidant synergism between α-tocopherol and myricetin in bulk oil. J. Am. Oil Chem. Soc. 2024, 101, 477–492. [Google Scholar] [CrossRef]
- Suhag, R.; Jin, Z.; Ferrentino, G.; Amorati, R.; Scampicchio, M. Continuous fluorescence-based quantitative antioxidant assay using vegetable oil as an oxidizable substrate. Food Res. Int. 2024, 198, 115339. [Google Scholar] [CrossRef]
- Bisby, R.H.; Brooke, R.; Navaratnam, S. Effect of antioxidant oxidation potential in the oxygen radical absorption capacity (ORAC) assay. Food Chem. 2008, 108, 1002–1007. [Google Scholar] [CrossRef] [PubMed]
- Prior, R.L. Oxygen radical absorbance capacity (ORAC): New horizons in relating dietary antioxidants/bioactives and health benefits. J. Funct. Foods 2015, 18, 797–810. [Google Scholar] [CrossRef]
- Varandas, P.A.M.M.; Belinha, R.; Marques, S.S.; Cobb, A.J.A.; Serra, V.V.; Segundo, M.A.; Silva, E.M.P. Fluorescent head-labelled phospholipid coumarin bioconjugate as a chemical reporter for antioxidant protection in liposomes. Dye Pigment. 2023, 218, 111440. [Google Scholar] [CrossRef]
- Asma, U.; Bertotti, M.L.; Zamai, S.; Arnold, M.; Amorati, R.; Scampicchio, M. A Kinetic Approach to Oxygen Radical Absorbance Capacity (ORAC): Restoring Order to the Antioxidant Activity of Hydroxycinnamic Acids and Fruit Juices. Antioxidants 2024, 13, 222. [Google Scholar] [CrossRef]
- Shah, R.; Farmer, L.A.; Zilka, O.; Van Kessel, A.T.M.; Pratt, D.A. Beyond DPPH: Use of Fluorescence-Enabled Inhibited Autoxidation to Predict Oxidative Cell Death Rescue. Cell Chem. Biol. 2019, 26, 1594–1607.e7. [Google Scholar] [CrossRef]
- Li, Y.; Ran, Q.; Duan, Q.; Jin, J.; Wang, Y.; Yu, L.; Wang, C.; Zhu, Z.; Chen, X.; Weng, L.; et al. 7-Dehydrocholesterol dictates ferroptosis sensitivity. Nature 2024, 626, 411–418. [Google Scholar] [CrossRef]
- Freitas, F.P.; Alborzinia, H.; dos Santos, A.F.; Nepachalovich, P.; Pedrera, L.; Zilka, O.; Inague, A.; Klein, C.; Aroua, N.; Kaushal, K.; et al. 7-Dehydrocholesterol is an endogenous suppressor of ferroptosis. Nature 2024, 626, 401–410. [Google Scholar] [CrossRef] [PubMed]
- Suhag, R.; Angeli, L.; Scampicchio, M.; Ferrentino, G. From Quantity to Reactivity: Advancing Kinetic-Based Antioxidant Testing Methods for Natural Compounds and Food Applications. Compr. Rev. Food Sci. Food Saf. 2025, 24, e70229. [Google Scholar] [CrossRef] [PubMed]
- Murphy, M.P.; Bayir, H.; Belousov, V.; Chang, C.J.; Davies, K.J.A.; Davies, M.J.; Dick, T.P.; Finkel, T.; Forman, H.J.; Janssen-Heininger, Y.; et al. Guidelines for measuring reactive oxygen species and oxidative damage in cells and in vivo. Nat. Metab. 2022, 4, 651–662. [Google Scholar] [CrossRef]
- Gomez, X.; Sanon, S.; Zambrano, K.; Asquel, S.; Bassantes, M.; Morales, J.E.; Otanez, G.; Pomaquero, C.; Villarroel, S.; Zurita, A.; et al. Key points for the development of antioxidant cocktails to prevent cellular stress and damage caused by reactive oxygen species (ROS) during manned space missions. Npj Microgravity 2021, 7, 35. [Google Scholar] [CrossRef] [PubMed]
- Yu, C.; Xiao, J.H. The Keap1-Nrf2 System: A Mediator between Oxidative Stress and Aging. Oxid. Med. Cell. Longev. 2021, 2021, 6635460. [Google Scholar] [CrossRef]
- Kauffman, M.E.; Kauffman, M.K.; Traore, K.; Zhu, H.; Trush, M.A.; Jia, Z.; Li, Y.R. MitoSOX-Based Flow Cytometry for Detecting Mitochondrial ROS. React. Oxyg. Species (Apex) 2016, 2, 361–370. [Google Scholar] [CrossRef]
- Buckman, J.F.; Hernández, H.; Kress, G.J.; Votyakova, T.V.; Pal, S.; Reynolds, I.J. MitoTracker labeling in primary neuronal and astrocytic cultures: Influence of mitochondrial membrane potential and oxidants. J. Neurosci. Methods 2001, 104, 165–176. [Google Scholar] [CrossRef]
- Wang, N.N.; Miller, C.J.; Wang, P.; Waite, T.D. Quantitative determination of trace hydrogen peroxide in the presence of sulfide using the Amplex Red/horseradish peroxidase assay. Anal. Chim. Acta 2017, 963, 61–67. [Google Scholar] [CrossRef]
- Dickinson, B.C.; Huynh, C.; Chang, C.J. A Palette of Fluorescent Probes with Varying Emission Colors for Imaging Hydrogen Peroxide Signaling in Living Cells. J. Am. Chem. Soc. 2010, 132, 5906–5915. [Google Scholar] [CrossRef]
- Garcia-Diaz, M.; Huang, Y.Y.; Hamblin, M.R. Use of fluorescent probes for ROS to tease apart Type I and Type II photochemical pathways in photodynamic therapy. Methods 2016, 109, 158–166. [Google Scholar] [CrossRef]
- Itoh, Y.; Ma, F.H.; Hoshi, H.; Oka, M.; Noda, K.; Ukai, Y.; Kojima, H.; Nagano, T.; Toda, N. Determination and bioimaging method for nitric oxide in biological specimens by diaminofluorescein fluorometry. Anal. Biochem. 2000, 287, 203–209. [Google Scholar] [CrossRef]
- Sadowska-Bartosz, I.; Gajewska, A.; Skolimowski, J.; Szewczyk, R.; Bartosz, G. Nitroxides protect against peroxynitrite-induced nitration and oxidation. Free Radic. Biol. Med. 2015, 89, 1165–1175. [Google Scholar] [CrossRef] [PubMed]
- Drummen, G.P.C.; van Liebergen, L.C.M.; Op den Kamp, J.A.F.; Post, J.A. C11-BODIPY581/591, an oxidation-sensitive fluorescent lipid peroxidation probe: (micro)spectroscopic characterization and validation of methodology. Free Radic. Biol. Med. 2002, 33, 473–490. [Google Scholar] [CrossRef] [PubMed]
- Lyublinskaya, O.; Antunes, F. Measuring intracellular concentration of hydrogen peroxide with the use of genetically encoded H2O2 biosensor HyPer. Redox Biol. 2019, 24, 101200. [Google Scholar] [CrossRef] [PubMed]
- Xu, P.; Wang, K.Z.; Lu, C.; Dong, L.M.; Gao, L.; Yan, M.; Aibai, S.; Liu, X.M. Protective effect of lavender oil on scopolamine induced cognitive deficits in mice and H2O2 induced cytotoxicity in PC12 cells. J. Ethnopharmacol. 2016, 193, 408–415. [Google Scholar] [CrossRef]
- Yang, J.J.; Yu, H.P.; Wu, K.G.; He, D.; Zhang, H.D.; Cui, Z.X.; Chai, X.H.; Duan, X.J. Potential Anti-Gouty Arthritis of Citronella Essential Oil and Nutmeg Essential Oil through Reducing Oxidative Stress and Inhibiting PI3K/Akt/mTOR Activation-Induced NLRP3 Activity. Chem. Biodivers. 2024, 21, e202400448. [Google Scholar] [PubMed]
- Rugeles-Páez, N.C.; Quintero, W.L.; Stashenko, E.E.; García, L.T. Citral-rich fractions of Lippia alba essential oils as immunoresponsive and anti-Candida albicans additives for collagen membranes in guided bone regeneration. J. Oral Sci. 2023, 65, 176–183. [Google Scholar] [CrossRef]
- Moraes, F.d.S.R.; Moraes, L.H.R.; Macedo, A.B.; Valduga, A.H.; Mizobuti, D.S.; Rocha, G.L.d.; Silva, H.N.M.d.; Salvador, M.J.; Minatel, E. Anti-inflammatory and antioxidant activities of Citrus aurantifolia (Christm.) Swingle essential oil in dystrophic muscle cells: Implication of the PGC-1α pathway. J. Essent. Oil Bear. Plants 2024, 27, 34–46. [Google Scholar] [CrossRef]
- Lu, M.; Wong, K.I.; Li, X.; Wang, F.; Wei, L.; Wang, S.; Wu, M.X. Oregano Oil and Harmless Blue Light to Synergistically Inactivate Multidrug-Resistant Pseudomonas aeruginosa. Front. Microbiol. 2022, 13, 810746. [Google Scholar] [CrossRef] [PubMed]
- Feitosa, M.S.D.; de Almeida, A.; Dantas, S.H.; de Azevedo, F.; de Souza, J.F.D., Jr.; Gonçalves, T.A.F.; Silva, S.D.; Soares, E.M.C.; Alves, H.F.; Lima, T.T.; et al. Carvacrol prevents D-(+)-galactose-induced aging-associated erectile dysfunction by improving endothelial dysfunction and oxidative stress in rats. Naunyn-Schmiedebergs Arch. Pharmacol. 2024, 397, 10061–10073. [Google Scholar] [CrossRef] [PubMed]
- Ayala, A.; Muñoz, M.F.; Argüelles, S. Lipid Peroxidation: Production, Metabolism, and Signaling Mechanisms of Malondialdehyde and 4-Hydroxy-2-Nonenal. Oxid. Med. Cell. Longev. 2014, 2014, 360438. [Google Scholar] [CrossRef]
- Wu, D.N.; Liu, B.D.; Yin, J.F.; Xu, T.; Zhao, S.L.; Xu, Q.; Chen, X.; Wang, H.L. Detection of 8-hydroxydeoxyguanosine (8-OHdG) as a biomarker of oxidative damage in peripheral leukocyte DNA by UHPLC-MS/MS. J. Chromatogr. B-Anal. Technol. Biomed. Life Sci. 2017, 1064, 1–6. [Google Scholar] [CrossRef] [PubMed]
- Ghani, M.A.; Barril, C.; Bedgood, D.R.; Prenzler, P.D. Measurement of antioxidant activity with the thiobarbituric acid reactive substances assay. Food Chem. 2017, 230, 195–207. [Google Scholar] [CrossRef]
- De Leon, J.A.D.; Borges, C.R. Evaluation of Oxidative Stress in Biological Samples Using the Thiobarbituric Acid Reactive Substances Assay. Jove-J. Vis. Exp. 2020. [Google Scholar] [CrossRef]
- Seljeskog, E.; Hervig, T.; Mansoor, M.A. A novel HPLC method for the measurement of thiobarbituric acid reactive substances (TBARS). A comparison with a commercially available kit. Clin. Biochem. 2006, 39, 947–954. [Google Scholar] [CrossRef]
- Bellassoued, K.; Ben Hsouna, A.; Athmouni, K.; van Pelt, J.; Ayadi, F.M.; Rebai, T.; Elfeki, A. Protective effects of Mentha piperita L. leaf essential oil against CCl4 induced hepatic oxidative damage and renal failure in rats. Lipids Health Dis. 2018, 17, 9. [Google Scholar] [CrossRef]
- Selmi, S.; Jallouli, M.; Gharbi, N.; Marzouki, L. Hepatoprotective and Renoprotective Effects of Lavender (Lavandula stoechas L.) Essential Oils Against Malathion-Induced Oxidative Stress in Young Male Mice. J Med. Food 2015, 18, 1103–1111. [Google Scholar] [CrossRef]
- Sebai, H.; Selmi, S.; Rtibi, K.; Souli, A.; Gharbi, N.; Sakly, M. Lavender (Lavandula stoechas L.) essential oils attenuate hyperglycemia and protect against oxidative stress in alloxan-induced diabetic rats. Lipids Health Dis. 2013, 12, 189. [Google Scholar] [CrossRef]
- Rašković, A.; Milanović, I.; Pavlović, N.; Ćebović, T.; Vukmirović, S.; Mikov, M. Antioxidant activity of rosemary (Rosmarinus officinalis L.) essential oil and its hepatoprotective potential. BMC Complement. Altern. Med. 2014, 14, 225. [Google Scholar] [CrossRef] [PubMed]
- Botsoglou, N.A.; Christaki, E.; Fletouris, D.J.; Florou-Paneri, P.; Spais, A.B. The effect of dietary oregano essential oil on lipid oxidation in raw and cooked chicken during refrigerated storage. Meat Sci. 2002, 62, 259–265. [Google Scholar] [CrossRef]
- Russo, M.; Martella, N.; Gargano, D.; Fantasma, F.; Marcovecchio, C.; Russo, V.; Oliva, M.A.; Segatto, M.; Saviano, G.; Di Bartolomeo, S.; et al. Lavender Essential Oil and Its Terpenic Components Negatively Affect Tumor Properties in a Cell Model of Glioblastoma. Molecules 2024, 29, 6044. [Google Scholar] [CrossRef]
- Liu, M.Y.; Sun, C.X.; Zheng, X.C.; Zhou, Q.L.; Liu, B.; Zhou, Y.F.; Xu, P. Comparative Proteomic Analysis Revealed the Mechanism of Tea Tree Oil Targeting Lipid Metabolism and Antioxidant System to Protect Hepatopancreatic Health in Macrobrachium rosenbergii. Front. Immunol. 2022, 13, 906435. [Google Scholar] [CrossRef]
- Khabour, O.F.; Alzoubi, K.H.; Hassanein, S.F.M.; Makhlouf, H.; Alhashimi, F. Protective effect of essential oils of Ocimum basilicum, Galium odoratum, and Cymbopogon citratus against oxidative DNA damage in cultured human lymphocyte cells. Pak. J. Bot. 2023, 55, 307–311. [Google Scholar] [CrossRef]
- Avola, R.; Granata, G.; Geraci, C.; Napoli, E.; Graziano, A.C.E.; Cardile, V. Oregano (Origanum vulgare L.) essential oil provides anti-inflammatory activity and facilitates wound healing in a human keratinocytes cell model. Food Chem. Toxicol. 2020, 144, 111586. [Google Scholar] [CrossRef]
- Büyükkılıç Beyzi, S.; Konca, Y.; Kaliber, M.; Sarıözkan, S.; Kocaoğlu Güçlü, B.; Aktuğ, E.; Şentürk, M. Effects of thyme essential oil and A, C, and E vitamin combinations to diets on performance, egg quality, MDA, and 8-OHdG of laying hens under heat stress. J. Appl. Anim. Res. 2020, 48, 126–132. [Google Scholar] [CrossRef]
- Liu, Q.; Duan, R.J.; Zhou, Y.F.; Wei, H.K.; Peng, J.; Li, J.L. Supplementing oregano essential oil to boar diet with strengthened fish oil: Effects on semen antioxidant status and semen quality parameters. Andrologia 2017, 49, e12764. [Google Scholar] [CrossRef] [PubMed]
- Tan, C.Q.; Wei, H.K.; Sun, H.Q.; Ao, J.T.; Long, G.; Jiang, S.W.; Peng, J. Effects of Dietary Supplementation of Oregano Essential Oil to Sows on Oxidative Stress Status, Lactation Feed Intake of Sows, and Piglet Performance. BioMed Res. Int. 2015, 2015, 525218. [Google Scholar] [CrossRef] [PubMed]
- Erdogan, A.; Ozkan, A. A comparative study of cytotoxic, membrane and DNA damaging effects of Origanum majorana’s essential oil and its oxygenated monoterpene component linalool on parental and epirubicin-resistant H1299 cells. Biologia 2013, 68, 754–761. [Google Scholar]
- Games, E.; Guerreiro, M.; Santana, F.R.; Pinheiro, N.M.; de Oliveira, E.A.; Lopes, F.; Olivo, C.R.; Tibério, I.; Martins, M.A.; Lago, J.H.G.; et al. Structurally Related Monoterpenes p-Cymene, Carvacrol and Thymol Isolated from Essential Oil from Leaves of Lippia sidoides Cham. (Verbenaceae) Protect Mice against Elastase-Induced Emphysema. Molecules 2016, 21, 1390. [Google Scholar] [CrossRef]
- Liu, C.T.; Raghu, R.; Lin, S.H.; Wang, S.Y.; Kuo, C.H.; Tseng, Y.F.J.; Sheen, L.Y. Metabolomics of Ginger Essential Oil against Alcoholic Fatty Liver in Mice. J. Agric. Food Chem. 2013, 61, 11231–11240. [Google Scholar] [CrossRef] [PubMed]
- Huang, Z.B.; Yuan, Y.H.; Tan, Z.K.; Zheng, J.H.; Zhang, W.C.; Huang, S.Y.; Wang, Y.; Chen, M.; Zhang, L.Y.; Li, H. Metabolomics in combination with network pharmacology reveals the potential anti-neuroinflammatory mechanism of essential oils from four Curcuma species. Ind. Crops Prod. 2023, 195, 116411. [Google Scholar] [CrossRef]
- Dong, H.B.; Zeng, X.B.; Zheng, X.T.; Li, C.H.; Ming, J.C.; Zhang, J.S. The Liver-Protective Effects of the Essential Oil from Amomum villosum in Tilapia (Oreochromis niloticus): Antioxidant, Transcriptomic, and Metabolomic Modulations. Antioxidants 2024, 13, 1118. [Google Scholar] [CrossRef] [PubMed]
- Bahja, J.; Stewart, N.A.; Dymond, M.K. Oxidative stress is inhibited by plant-based supplements: A quantitative lipidomic analysis of antioxidant activity and lipid compositional change. Adv. Redox Res. 2022, 6, 100054. [Google Scholar] [CrossRef]
- Sanz, A.; Caro, P.; Gómez, J.; Barja, G. Testing the vicious cycle theory of mitochondrial ROS production:: Effects of H2O2 and cumene hydroperoxide treatment on heart mitochondria. J. Bioenerg. Biomembr. 2006, 38, 121–127. [Google Scholar] [CrossRef]
- Zou, C.G.; Agar, N.S.; Jones, G.L. Oxidative insult to human red blood cells induced by free radical initiator AAPH and its inhibition by a commercial antioxidant mixture. Life Sci. 2001, 69, 75–86. [Google Scholar] [CrossRef]
- Zhao, X.; Zhao, Z.L.; Li, B.R.; Huan, S.Y.; Li, Z.X.; Xie, J.L.; Liu, G.Q. ACSL4-mediated lipid rafts prevent membrane rupture and inhibit immunogenic cell death in melanoma. Cell Death Dis. 2024, 15, 695. [Google Scholar] [CrossRef]
- West, E.L.; Majumder, P.; Naeem, A.; Fernando, M.; O’Hara-Wright, M.; Lanning, E.; Kloc, M.; Ribeiro, J.; Ovando-Roche, P.; Shum, I.O.; et al. Antioxidant and lipid supplementation improve the development of photoreceptor outer segments in pluripotent stem cell-derived retinal organoids. Stem Cell Rep. 2022, 17, 775–788. [Google Scholar] [CrossRef]
- Elbadawi, M.; Ammar, R.M.; Aziz-Kalbhenn, H.; Rabini, S.; Klauck, S.M.; Dawood, M.; Saeed, M.E.M.; Kampf, C.J.; Efferth, T. Anti-inflammatory and tight junction protective activity of the herbal preparation STW 5-II on mouse intestinal organoids. Phytomedicine 2021, 88, 153589. [Google Scholar] [CrossRef]
- Azadi, M.; Jamali, T.; Kianmehr, Z.; Kavoosi, G.; Ardestani, S.K. In-vitro (2D and 3D cultures) and in-vivo cytotoxic properties of Zataria multiflora essential oil (ZEO) emulsion in breast and cervical cancer cells along with the investigation of immunomodulatory potential. J. Ethnopharmacol. 2020, 257, 112865. [Google Scholar] [CrossRef]
- Bejoy, J.; Farry, J.M.; Qian, E.S.; Dearing, C.H.; Ware, L.B.; Bastarache, J.A.; Woodard, L.E. Ascorbate protects human kidney organoids from damage induced by cell-free hemoglobin. Dis. Model. Mech. 2023, 16, dmm050342. [Google Scholar] [CrossRef]
- Chen, X.H.; Shang, S.F.; Yan, F.; Jiang, H.; Zhao, G.J.; Tian, S.; Chen, R.; Chen, D.J.; Dang, Y.F. Antioxidant Activities of Essential Oils and Their Major Components in Scavenging Free Radicals, Inhibiting Lipid Oxidation and Reducing Cellular Oxidative Stress. Molecules 2023, 28, 4559. [Google Scholar] [CrossRef]
- Cavalcanti, B.C.; Ferreira, J.R.O.; Cabral, I.O.; Magalhaes, H.I.F.; de Oliveira, C.C.; Rodrigues, F.A.R.; Rocha, D.D.; Barros, F.W.A.; da Silva, C.R.; Júnior, H.V.N.; et al. Genetic toxicology evaluation of essential oil of Alpinia zerumbet and its chemoprotective effects against H2O2-induced DNA damage in cultured human leukocytes. Food Chem. Toxicol. 2012, 50, 4051–4061. [Google Scholar] [CrossRef] [PubMed]
- Slamenova, D.; Kozics, K.; Hunakova, L.; Melusova, M.; Navarova, J.; Horvathova, E. Comparison of biological processes induced in HepG2 cells by tert-butyl hydroperoxide (t-BHP) and hydroperoxide (H2O2): The influence of carvacrol. Mutat. Res.-Genet. Toxicol. Environ. Mutagen. 2013, 757, 15–22. [Google Scholar] [CrossRef] [PubMed]
- Dashtaki, A.; Mahjoub, S.; Zabihi, E.; Pourbagher, R. The Effects of Pre-Treatment and Post-Treatment of Thymol against tert-Butyl Hydroperoxide (t-BHP) Cytotoxicity in MCF-7 Cell Line and Fibroblast Derived Foreskin. Rep. Biochem. Mol. Biol. 2020, 9, 338–347. [Google Scholar] [CrossRef] [PubMed]
- Wu, Y.T.; Zhong, L.S.; Huang, C.; Guo, Y.Y.; Jin, F.J.; Hu, Y.Z.; Zhao, Z.B.; Ren, Z.; Wang, Y.F. β-Caryophyllene Acts as a Ferroptosis Inhibitor to Ameliorate Experimental Colitis. Int. J. Mol. Sci. 2022, 23, 16055. [Google Scholar] [CrossRef]
- Hu, W.X.; Chen, M.H.; Wang, W.Y.; Huang, F.; Tian, X.Y.; Xie, L. Pomelo Peel Essential Oil Ameliorates Cerebral Ischemia-Reperfusion Injury through Regulating Redox Homeostasis in Rats and SH-SY5Y Cells. Oxid. Med. Cell. Longev. 2022, 2022, 8279851. [Google Scholar] [CrossRef]
- Hu, Q.W.; Zuo, T.R.; Deng, L.; Chen, S.; Liu, S.W.; Liu, J.D.; Wang, X.; Fan, X.M.; Dong, Z. β-Caryophyllene suppresses ferroptosis induced by cerebral ischemia reperfusion via activation of the NRF2/HO-1 signaling pathway in MCAO/R rats. Phytomedicine 2022, 102, 154112. [Google Scholar] [CrossRef]
- Cheng, X.L.; Hao, W.L.; Yu, S.L.; Gao, X.; Qu, L.Y.; Liu, C.; Wang, Y.L.; Sun, Y.F.; Huang, J.; Yang, L.; et al. Nephroprotective effects of Amomum kravanh essential oil by inhibition of ferroptosis regulated by Nrf2/HO-1 signaling pathway. Phytomedicine 2025, 142, 156762. [Google Scholar] [CrossRef]
- Kupferberg, H. Animal models used in the screening of antiepileptic drugs. Epilepsia 2001, 42, 7–12. [Google Scholar] [CrossRef]
- Eddouks, M.; Chattopadhyay, D.; Zeggwagh, N.A. Animal Models as Tools to Investigate Antidiabetic and Anti-Inflammatory Plants. Evid.-Based Complement. Altern. Med. 2012, 2012, 142087. [Google Scholar] [CrossRef]
- Zhang, H.J.; Yin, M.; Huang, L.Y.; Wang, J.; Gong, L.X.; Liu, J.; Sun, B.G. Evaluation of the Cellular and Animal Models for the Study of Antioxidant Activity: A Review. J. Food Sci. 2017, 82, 278–288. [Google Scholar] [CrossRef]
- Speakman, J.; Hambly, C.; Mitchell, S.; Król, E. The contribution of animal models to the study of obesity. Lab. Anim. 2008, 42, 413–432. [Google Scholar] [CrossRef]
- McGonigle, P.; Ruggeri, B. Animal models of human disease: Challenges in enabling translation. Biochem. Pharmacol. 2014, 87, 162–171. [Google Scholar] [CrossRef]
- Unsal, V.; Cicek, M.; Sabancilar, I. Toxicity of carbon tetrachloride, free radicals and role of antioxidants. Rev. Environ. Health 2021, 36, 279–295. [Google Scholar] [CrossRef]
- Kucera, O.; Endlicher, R.; Rousar, T.; Lotková, H.; Garnol, T.; Drahota, Z.; Cervinková, Z. The Effect of tert-Butyl Hydroperoxide-Induced Oxidative Stress on Lean and Steatotic Rat Hepatocytes In Vitro. Oxid. Med. Cell. Longev. 2014, 2014, 752506. [Google Scholar] [CrossRef]
- Shi, S.X.; Chen, Y.; Luo, Z.J.; Nie, G.J.; Dai, Y. Role of oxidative stress and inflammation-related signaling pathways in doxorubicin-induced cardiomyopathy. Cell Commun. Signal. 2023, 21, 61. [Google Scholar] [CrossRef]
- Hung, H.C.; Lee, E.H.Y. MPTP produces differential oxidative stress and antioxidative responses in the nigrostriatal and mesolimbic dopaminergic pathways. Free Radic. Biol. Med. 1998, 24, 76–84. [Google Scholar] [CrossRef]
- Ma, J.Q.; Xu, H.; Wu, J.; Qu, C.F.; Sun, F.L.; Xu, S.D. Linalool inhibits cigarette smoke-induced lung inflammation by inhibiting NF-κB activation. Int. Immunopharmacol. 2015, 29, 708–713. [Google Scholar] [CrossRef]
- Ho, C.L.; Li, L.H.; Weng, Y.C.; Hua, K.F.; Ju, T.C. Eucalyptus essential oils inhibit the lipopolysaccharide-induced inflammatory response in RAW264.7 macrophages through reducing MAPK and NF-κB pathways. Bmc Complement. Med. Ther. 2020, 20, 200. [Google Scholar] [CrossRef]
- Di Naso, F.C.; Dias, A.S.; Porawski, M.; Marroni, N.A.P. Exogenous Superoxide Dismutase: Action on Liver Oxidative Stress in Animals with Streptozotocin-Induced Diabetes. Exp. Diabetes Res. 2011, 2011, 754132. [Google Scholar] [CrossRef]
- Kakimoto, P.A.; Kowaltowski, A.J. Effects of high fat diets on rodent liver bioenergetics and oxidative imbalance. Redox Biol. 2016, 8, 216–225. [Google Scholar] [CrossRef]
- Wei, J.L.; Wang, B.; Wang, H.H.; Meng, L.B.; Zhao, Q.; Li, X.Y.; Xin, Y.; Jiang, X. Radiation-Induced Normal Tissue Damage: Oxidative Stress and Epigenetic Mechanisms. Oxid. Med. Cell. Longev. 2019, 2019, 3010342. [Google Scholar] [CrossRef]
- Lakshmi, B.; Tilak, J.C.; Adhikari, S.; Devasagayam, T.P.A.; Janardhanan, K.K. Inhibition of lipid peroxidation induced by γ-radiation and AAPH in rat liver and brain mitochondria by mushrooms. Curr. Sci. 2005, 88, 484–488. [Google Scholar]
- Ferrari, R.S.; Andrade, C.F. Oxidative Stress and Lung Ischemia-Reperfusion Injury. Oxid. Med. Cell. Longev. 2015, 2015, 590987. [Google Scholar] [CrossRef]
- Kitada, M.; Ogura, Y.; Koya, D. Rodent models of diabetic nephropathy: Their utility and limitations. Int. J. Nephrol. Renov. Dis. 2016, 9, 279–290. [Google Scholar] [CrossRef]
- Berry, C.; La Vecchia, C.; Nicotera, P. Paraquat and Parkinson’s disease. Cell Death Differ. 2010, 17, 1115–1125. [Google Scholar] [CrossRef]
- Rahmani, H.; Ghavamipour, F.; Sajedi, R.H. Bioluminescence Detection of Superoxide Anion Using Aequorin. Anal. Chem. 2019, 91, 12768–12774. [Google Scholar] [CrossRef]
- Wilde, J.H.; Sun, Y.Y.; Simpson, S.R.; Hill, E.R.; Fu, Z.X.; Bian, E.J.; Kinkaid, M.M.; Villanueva, P.; Weybright, A.F.; Terrell, W.R.; et al. A positron emission tomography tracer for the imaging of oxidative stress in the central nervous system. Nat. Biomed. Eng. 2025, 9, 716–729. [Google Scholar] [CrossRef]
- Fahm, M.A.; Diab, K.A.; Abdel-Samie, N.S.; Omara, E.A.; Hassan, Z.M. Carbon tetrachloride induced hepato/renal toxicity in experimental mice: Antioxidant potential of Egyptian Salvia officinalis L. essential oil. Environ. Sci. Pollut. Res. 2018, 25, 27858–27876. [Google Scholar] [CrossRef]
- Lahmar, A.; Dhaouefi, Z.; Khlifi, R.; Fairouz, S.; Chekir-Ghedira, L. Pituranthos chloranthus Oil as an Antioxidant-Based Adjuvant Therapy against Cisplatin-Induced Nephrotoxicity. J. Toxicol. 2020, 2020, 7054534. [Google Scholar] [CrossRef]
- Seyedan, A.A.; Dezfoulian, O.; Alirezaei, M. Satureja khuzistanica Jamzad essential oil prevents doxorubicin-induced apoptosis via extrinsic and intrinsic mitochondrial pathways. Res. Pharm. Sci. 2020, 15, 481–490. [Google Scholar] [CrossRef]
- Xu, P.; Wang, K.Z.; Lu, C.; Dong, L.M.; Gao, L.; Yan, M.; Aibai, S.; Yang, Y.Y.; Liu, X.M. The Protective Effect of Lavender Essential Oil and Its Main Component Linalool against the Cognitive Deficits Induced by D-Galactose and Aluminum Trichloride in Mice. Evid.-Based Complement. Altern. Med. 2017, 2017, 7426538. [Google Scholar] [CrossRef]
- Wan, M.; Yao, Y.F.; Wu, W.; Fu, W.W.; Wu, R.T.; Li, W.J. Chimonanthus nitens Oliv. essential oil mitigates lipopolysaccharide-induced acute lung injury in rats. Food Chem. Toxicol. 2021, 156, 112445. [Google Scholar] [CrossRef]
- Mahmoud, M.F.; Elrashidy, R.A.; Mohammed, H.O.; Drissi, B.; Mahdi, I.; Sobeh, M. Essential oil and polyphenolics from Thymus satureioides Coss. counteract acrylamide-induced liver toxicity through suppression of NLRP3 inflammasome/NF-κB axis. J. Funct. Foods 2023, 107, 105641. [Google Scholar] [CrossRef]
- Lai, Y.S.; Lee, W.C.; Lin, Y.E.; Ho, C.T.; Lu, K.H.; Lin, S.H.; Panyod, S.; Chu, Y.L.; Sheen, L.Y. Ginger Essential Oil Ameliorates Hepatic Injury and Lipid Accumulation in High Fat Diet-Induced Nonalcoholic Fatty Liver Disease. J. Agric. Food Chem. 2016, 64, 2062–2071. [Google Scholar] [CrossRef]
- Younis, N.S.; Mohamed, M.E. Protective effects of myrrh essential oil on isoproterenol-induced myocardial infarction in rats through antioxidant, anti-inflammatory, Nrf2/HO-1 and apoptotic pathways. J. Ethnopharmacol. 2021, 270, 113793. [Google Scholar] [CrossRef]
- Abdellatief, S.A.; Beheiry, R.R.; El-Mandrawy, S.A.M. Peppermint essential oil alleviates hyperglycemia caused by streptozotocin-nicotinamide-induced type 2 diabetes in rats. Biomed. Pharmacother. 2017, 95, 990–999. [Google Scholar] [CrossRef]
- Amin, F.; Basirat, H.; Parvaz, N.; Khademalhosseini, M.; Hakimizadeh, E.; Fatemi, I. Protective effects of myrtenol against paraquat-induced toxicity in rats. BMC Pulm. Med. 2025, 25, 17. [Google Scholar] [CrossRef]
- Takayama, C.; de-Faria, F.M.; de Almeida, A.C.A.; Dunder, R.J.; Manzo, L.P.; Socca, E.A.R.; Batista, L.M.; Salvador, M.J.; Souza-Brito, A.R.M.; Luiz-Ferreira, A. Chemical composition of Rosmarinus officinalis essential oil and antioxidant action against gastric damage induced by absolute ethanol in the rat. Asian Pac. J. Trop. Biomed. 2016, 6, 677–681. [Google Scholar] [CrossRef]
- Mishra, A.K.; Mishra, A.; Verma, A.; Chattopadhyay, P. Effects of Calendula Essential Oil-Based Cream on Biochemical Parameters of Skin of Albino Rats against Ultraviolet B Radiation. Sci. Pharm. 2012, 80, 669–683. [Google Scholar] [CrossRef]
- Mohamed, N.E. Protective Effect of Origanum Oil on Alterations of Some Trace Elements and Antioxidant Levels Induced by Mercuric Chloride in Male Rats. Biol. Trace Elem. Res. 2018, 182, 49–56. [Google Scholar] [CrossRef]
- Toledano, M.B.; Leonard, W.J. Modulation of transcription factor NF-kappa B binding activity by oxidation-reduction in vitro. Proc. Natl. Acad. Sci USA 1991, 88, 4328–4332. [Google Scholar] [CrossRef]
- Haddad, J.J.; Land, S.C. Redox/ROS regulation of lipopolysaccharide-induced mitogen-activated protein kinase (MAPK) activation and MAPK-mediated TNF-α biosynthesis. Br. J. Pharmacol. 2002, 135, 520–536. [Google Scholar] [CrossRef]
- Yang, Y.D.; Zhan, J.; Zhou, Y.Q. SPOT-Ligand: Fast and Effective Structure-Based Virtual Screening by Binding Homology Search According to Ligand and Receptor Similarity. J. Comput. Chem. 2016, 37, 1734–1739. [Google Scholar] [CrossRef]
- Itoh, K.; Tong, K.I.; Yamamoto, M. Molecular mechanism activating Nrf2-Keap1 pathway in regulation of adaptive response to electrophiles. Free Radic. Biol. Med. 2004, 36, 1208–1213. [Google Scholar] [CrossRef]
- Torrente, L.; DeNicola, G.M. Targeting NRF2 and Its Downstream Processes: Opportunities and Challenges. Annu. Rev. Pharmacol Toxicol. 2022, 62, 279–300. [Google Scholar] [CrossRef]
- Ghanim, B.Y.; Qinna, N.A. Nrf2/ARE axis signalling in hepatocyte cellular death. Mol. Biol. Rep. 2022, 49, 4039–4053. [Google Scholar] [CrossRef]
- Motohashi, H.; Yamamoto, M. Nrf2-Keap1 defines a physiologically important stress response mechanism. Trends Mol. Med. 2004, 10, 549–557. [Google Scholar] [CrossRef]
- Dinkova-Kostova, A.T.; Hakomäki, H.; Levonen, A.L. Electrophilic metabolites targeting the KEAP1/NRF2 partnership. Curr. Opin. Chem. Biol. 2024, 78, 102425. [Google Scholar] [CrossRef]
- Stepkowski, T.M.; Kruszewski, M.K. Molecular cross-talk between the NRF2/KEAP1 signaling pathway, autophagy, and apoptosis. Free Radic. Biol. Med. 2011, 50, 1186–1195. [Google Scholar] [CrossRef]
- Kaspar, J.W.; Niture, S.K.; Jaiswal, A.K. Nrf2:INrf2 (Keap1) signaling in oxidative stress. Free Radic. Biol. Med. 2009, 47, 1304–1309. [Google Scholar] [CrossRef]
- Huang, T.C.; Chung, Y.L.; Wu, M.L.; Chuang, S.M. Cinnamaldehyde Enhances Nrf2 Nuclear Transilocation to Upregulate Phase II Detoxifying Enzyme Expression in HepG2 Cells. J. Agric. Food Chem. 2011, 59, 5164–5171. [Google Scholar] [CrossRef]
- Wang, F.; Pu, C.H.; Zhou, P.; Wang, P.J.; Liang, D.P.; Wang, Q.L.; Hu, Y.H.; Li, B.H.; Hao, X.Z. Cinnamaldehyde Prevents Endothelial Dysfunction Induced by High Glucose by Activating Nrf2. Cell. Physiol. Biochem. 2015, 36, 315–324. [Google Scholar] [CrossRef]
- Wang, P.J.; Yang, Y.; Wang, D.; Yang, Q.Y.; Wan, J.D.; Liu, S.; Zhou, P.; Yang, Y.J. Cinnamaldehyde Ameliorates Vascular Dysfunction in Diabetic Mice by Activating Nrf2. Am. J. Hypertens. 2020, 33, 610–619. [Google Scholar] [CrossRef]
- Lin, B.H.; Ma, R.X.; Wu, J.T.; Du, S.Q.; Lv, Y.Y.; Yu, H.N.; Zhang, W.; Mao, S.M.; Liu, G.Y.; Bu, Y.T.; et al. Cinnamaldehyde Alleviates Bone Loss by Targeting Oxidative Stress and Mitochondrial Damage via the Nrf2/HO-1 Pathway in BMSCs and Ovariectomized Mice. J. Agric. Food Chem. 2023, 71, 17362–17378. [Google Scholar] [CrossRef]
- Kim, N.Y.; Ahn, S.G.; Kim, S.A. Cinnamaldehyde protects human dental pulp cells against oxidative stress through the Nrf2/HO-1-dependent antioxidant response. Eur. J. Pharmacol. 2017, 815, 73–79. [Google Scholar] [CrossRef]
- Uchi, H.; Yasumatsu, M.; Morino-Koga, S.; Mitoma, C.; Furue, M. Inhibition of aryl hydrocarbon receptor signaling and induction of NRF2-mediated antioxidant activity by cinnamaldehyde in human keratinocytes. J. Dermatol. Sci. 2017, 85, 36–43. [Google Scholar] [CrossRef]
- Liao, B.C.; Hsieh, C.W.; Liu, Y.C.; Tzeng, T.T.; Sun, Y.W.; Wung, B.S. Cinnamaldehyde inhibits the tumor necrosis factor-α-induced expression of cell adhesion molecules in endothelial cells by suppressing NF-κB activation:: Effects upon IκB and Nrf2. Toxicol. Appl. Pharmacol. 2008, 229, 161–171. [Google Scholar] [CrossRef]
- Hashimoto-Hachiya, A.; Tsuji, G.; Furue, M. Antioxidants cinnamaldehyde and Galactomyces fermentation filtrate downregulate senescence marker CDKN2A/p16INK4A via NRF2 activation in keratinocytes. J. Dermatol. Sci. 2019, 96, 53–56. [Google Scholar] [CrossRef]
- Mitamura, Y.; Murai, M.; Mitoma, C.; Furue, M. NRF2 Activation Inhibits Both TGF-β1-and IL-13-Mediated Periostin Expression in Fibroblasts: Benefit of Cinnamaldehyde for Antifibrotic Treatment. Oxid. Med. Cell. Longev. 2018, 2018, 2475047. [Google Scholar] [CrossRef]
- Long, M.; Tao, S.S.; de la Vega, M.R.; Jiang, T.; Wen, Q.; Park, S.L.; Zhang, D.D.; Wondrak, G.T. Nrf2-Dependent Suppression of Azoxymethane/Dextran Sulfate Sodium-Induced Colon Carcinogenesis by the Cinnamon-Derived Dietary Factor Cinnamaldehyde. Cancer Prev. Res. 2015, 8, 444–454. [Google Scholar] [CrossRef]
- Choi, Y.H. trans-Cinnamaldehyde Prevents Oxidative Stress-Induced Apoptosis in V79-4 Chinese Hamster Lung Fibroblasts through the Nrf2-Mediated HO-1 Activation. Biol. Pharm. Bull. 2020, 43, 1707–1714. [Google Scholar] [CrossRef]
- Sena, C.M.; Pereira, A.; Seiça, R.M. Cinnamaldehyde Supplementation Reverts Endothelial Dysfunction in Rat Models of Diet-Induced Obesity: Role of NF-E2-Related Factor-2. Antioxidants 2023, 12, 82. [Google Scholar] [CrossRef]
- Mao, M.J.; Zheng, W.; Deng, B.; Wang, Y.H.; Zhou, D.; Shen, L.; Niku, W.K.; Zhang, N. Cinnamaldehyde alleviates doxorubicin-induced cardiotoxicity by decreasing oxidative stress and ferroptosis in cardiomyocytes. PLoS ONE 2023, 18, e0292124. [Google Scholar] [CrossRef]
- Vallion, R.; Hardonnière, K.; Bouredji, A.; Damiens, M.H.; Deloménie, C.; Pallardy, M.; Ferret, P.J.; Kerdine-Römer, S. The Inflammatory Response in Human Keratinocytes Exposed to Cinnamaldehyde Is Regulated by Nrf2. Antioxidants 2022, 11, 575. [Google Scholar] [CrossRef]
- Kim, N.Y.; Trinh, N.T.; Ahn, S.G.; Kim, S.A. Cinnamaldehyde protects against oxidative stress and inhibits the TNF-α-induced inflammatory response in human umbilical vein endothelial cells. Int. J. Mol. Med. 2020, 46, 449–457. [Google Scholar] [CrossRef]
- Abou El-ezz, D.; Maher, A.; Sallam, N.; El-brairy, A.; Kenawy, S. Trans-cinnamaldehyde Modulates Hippocampal Nrf2 Factor and Inhibits Amyloid Beta Aggregation in LPS-Induced Neuroinflammation Mouse Model. Neurochem. Res. 2018, 43, 2333–2342. [Google Scholar] [CrossRef]
- Li, Y.G.; Li, J.H.; Wang, H.Q.; Liao, J.H.; Du, X.Y. Cinnamaldehyde protects cardiomyocytes from oxygen-glucose deprivation/reoxygenation-induced lipid peroxidation and DNA damage via activating the Nrf2 pathway. Chem. Biol. Drug Des. 2024, 103, e14489. [Google Scholar] [CrossRef]
- Chew, E.H.; Nagle, A.A.; Zhang, Y.C.; Scarmagnani, S.; Palaniappan, P.; Bradshaw, T.D.; Holmgren, A.; Westwell, A.D. Cinnamaldehydes inhibit thioredoxin reductase and induce Nrf2: Potential candidates for cancer therapy and chemoprevention. Free Radic. Biol. Med. 2010, 48, 98–111. [Google Scholar] [CrossRef]
- Wondrak, G.T.; Villeneuve, N.F.; Lamore, S.D.; Bause, A.S.; Jiang, T.; Zhang, D.D. The Cinnamon-Derived Dietary Factor Cinnamic Aldehyde Activates the Nrf2-Dependent Antioxidant Response in Human Epithelial Colon Cells. Molecules 2010, 15, 3338–3355. [Google Scholar] [CrossRef]
- Yang, S.M.; Hua, K.F.; Lin, Y.C.; Chen, A.; Chang, J.M.; Chao, L.K.; Ho, C.L.; Ka, S.M. Citral Is Renoprotective for Focal Segmental Glomerulosclerosis by Inhibiting Oxidative Stress and Apoptosis and Activating Nrf2 Pathway in Mice. PLoS ONE 2013, 8, e74871. [Google Scholar] [CrossRef]
- Zhao, W.L.; Wang, J.R.; Li, Y.; Ye, C. Citral protects against LPS-induced endometritis by inhibiting ferroptosis through activating Nrf2 signaling pathway. Inflammopharmacology 2023, 31, 1551–1558. [Google Scholar] [CrossRef] [PubMed]
- Ka, S.M.; Lin, J.C.; Lin, T.J.; Liu, F.C.; Chao, L.K.; Ho, C.L.; Yeh, L.T.; Sytwu, H.K.; Hua, K.F.; Chen, A. Citral alleviates an accelerated and severe lupus nephritis model by inhibiting the activation signal of NLRP3 inflammasome and enhancing Nrf2 activation. Arthritis Res. Ther. 2015, 17, 331. [Google Scholar] [CrossRef] [PubMed]
- Ohnishi, M.; Banshoya, K.; Machida, A.; Kikuchi, N.; Yamaguchi, S.; Akagi, M.; Fujimoto, S.; Yamaguchi, I.; Kirimura, T.; Maehara, S.; et al. Aroma of citral repels mice and exerts antioxidant effects as a functional food. Flavour Fragr. J. 2024, 39, 362–369. [Google Scholar] [CrossRef]
- Ulas, N.; Üstündag, H.; Özkanlar, S.; Erbas, E.; Kara, A.; Özkanlar, Y. D-carvone attenuates LPS-induced acute lung injury via TLR4/NF-κB and Nrf2/HO-1 signaling pathways in rats. Naunyn-Schmiedebergs Arch. Pharmacol. 2025, 398, 12215–12225. [Google Scholar] [CrossRef] [PubMed]
- Ogaly, H.A.; Aldulmani, S.A.A.; Al-Zahrani, F.A.M.; Abd-Elsalam, R.M. D-Carvone Attenuates CCl4-Induced Liver Fibrosis in Rats by Inhibiting Oxidative Stress and TGF-β 1/SMAD3 Signaling Pathway. Biology 2022, 11, 739. [Google Scholar] [CrossRef]
- Roy, A.; Park, H.-J.; Abdul, Q.A.; Jung, H.A.; Choi, J.S. Pulegone Exhibits Anti-inflammatory Activities through the Regulation of NF-κB and Nrf-2 Signaling Pathways in LPS-stimulated RAW 264.7 cells. Nat. Prod. Sci. 2018, 24, 28–35. [Google Scholar] [CrossRef]
- Xiong, Q.P.; Du, C.; Xia, W.; Tang, K. Pulegone ameliorates inflammation and oxidative stress in L-arginine-induced acute pancreatitis in mice by regulating the activation of p38 MAPK pathway. Trop. J. Pharm. Res. 2022, 21, 755–760. [Google Scholar] [CrossRef]
- Ma, L.N.; Liu, J.; Lin, Q.; Gu, Y.C.; Yu, W.G. Eugenol protects cells against oxidative stress via Nrf2. Exp. Ther. Med. 2021, 21, 107. [Google Scholar] [CrossRef]
- Shah, S.T.; Tryphena, K.P.; Singh, G.; Kulkarni, A.; Pinjala, P.; Khatri, D.K. Neuroprotective role of Carvacrol via Nrf2/HO-1/NLRP3 axis in Rotenone-induced PD mice model. Brain Res. 2024, 1836, 148954. [Google Scholar] [CrossRef]
- Arkali, G.; Aksakal, M.; Kaya, S. Protective effects of carvacrol against diabetes-induced reproductive damage in male rats: Modulation of Nrf2/HO-1 signalling pathway and inhibition of Nf-kB-mediated testicular apoptosis and inflammation. Andrologia 2021, 53, e13899. [Google Scholar] [CrossRef]
- Peirovy, Y.; Asle-Rousta, M. Thymol and p-Cymene Protect the Liver by Mitigating Oxidative Stress, Suppressing TNF-α/NF-κB, and Enhancing Nrf2/HO-1 Expression in Immobilized Rats. Chem. Biol. Drug Des. 2024, 104, e14618. [Google Scholar] [CrossRef] [PubMed]
- Rahimi, K.; Shirvani, N.; Sanaie, P.; Javadi, A.; Khademi, M. The effects of alpha-pinene on the Nrf2-HO1 signaling pathway in gastric damage in rats. Mol. Biol. Rep. 2023, 50, 8615–8622. [Google Scholar] [CrossRef] [PubMed]
- Mohamed, M.E.; Abdelnaby, R.M.; Younis, N.S. β-caryophyllene ameliorates hepatic ischemia reperfusion-induced injury: The involvement of Keap1/Nrf2/HO 1/NQO 1 and TLR4/NF-ΚB/ NLRP3 signaling pathways. Eur. Rev. Med. Pharmacol. Sci. 2022, 26, 8551–8566. [Google Scholar]
- Assis, L.C.; Straliotto, M.R.; Engel, D.; Hort, M.A.; Dutra, R.C.; De Bem, A.F. β-Caryophyllene protects the C6 glioma cells against glutamate-induced excitotoxicity through the Nrf2 pathway. Neuroscience 2014, 279, 220–231. [Google Scholar] [CrossRef]
- Song, Y.; Wang, L.B.; Bei, Y.; Qin, D.X.; Ai, L.Y.; Ma, Q.Z.; Lin, P.Y. Carvacryl acetate, a semisynthetic monoterpenic ester obtained from essential oils, provides neuroprotection against cerebral ischemia reperfusion-induced oxidative stress injury via the Nrf2 signalling pathway. Food Funct. 2020, 11, 1754–1763. [Google Scholar] [CrossRef]
- El-Emam, S.Z.; Soubh, A.A.; Al-Mokaddem, A.K.; El-Ella, D.M.A. Geraniol activates Nrf-2/HO-1 signaling pathway mediating protection against oxidative stress-induced apoptosis in hepatic ischemia-reperfusion injury. Naunyn-Schmiedebergs Arch. Pharmacol. 2020, 393, 1849–1858. [Google Scholar] [CrossRef] [PubMed]
- Younis, N.S.; Elsewedy, H.S.; Soliman, W.E.; Shehata, T.M.; Mohamed, M.E. Geraniol isolated from lemon grass to mitigate doxorubicin-induced cardiotoxicity through Nrf2 and NF-κB signaling. Chem.-Biol. Interact. 2021, 347, 109599. [Google Scholar] [CrossRef]
- Jayachandran, M.; Chandrasekaran, B.; Namasivayam, N. Geraniol attenuates oxidative stress by Nrf2 activation in diet-induced experimental atherosclerosis. J. Basic Clin. Physiol. Pharmacol. 2015, 26, 335–346. [Google Scholar] [CrossRef]
- Mohamed, M.E.; Elmorsy, M.A.; Younis, N.S. Renal Ischemia/Reperfusion Mitigation via Geraniol: The Role of Nrf-2/HO-1/NQO-1 and TLR2,4/MYD88/NFκB Pathway. Antioxidants 2022, 11, 1568. [Google Scholar] [CrossRef]
- Puppala, E.R.; Jain, S.; Saha, P.; Rachamalla, M.; Syamprasad, N.P.; Yalamarthi, S.S.; Abubakar, M.; Chaudhary, A.; Chamundeswari, D.; Murty, U.S.N.; et al. Perillyl alcohol attenuates rheumatoid arthritis via regulating TLR4/NF-κB and Keap1/Nrf2 signaling pathways: A comprehensive study onin-vitro and in-vivo experimental models. Phytomedicine 2022, 97, 153926. [Google Scholar] [CrossRef]
- Fang, Y.; Zheng, Y.H.; Gao, Q.Q.; Pang, M.D.; Wu, Y.Q.; Feng, X.L.; Tao, X.Y.; Hu, Y.Y.; Lin, Z.L.; Lin, W. Activation of the Nrf2/Keap1 signaling pathway mediates the neuroprotective effect of Perillyl alcohol against cerebral hypoxic-ischemic damage in neonatal rats. Redox Rep. 2024, 29, 2394714. [Google Scholar] [CrossRef] [PubMed]
- Meeran, M.F.N.; Azimullah, S.; Mamoudh, H.H.; Sharma, C.; Kumar, S.; Goyal, S.N.; Ojha, S. Nerolidol, a Sesquiterpene from the Essential Oils of Aromatic Plants, Attenuates Doxorubicin-Induced Chronic Cardiotoxicity in Rats. J. Agric. Food Chem. 2021, 69, 7334–7343. [Google Scholar] [CrossRef]
- Kang, W.; Ha, Y.; Jung, Y.; Lee, H.; Park, T. Nerol mitigates dexamethasone-induced skin aging by activating the Nrf2 signaling pathway in human dermal fibroblasts. Life Sci. 2024, 356, 123034. [Google Scholar] [CrossRef]
- Tang, L.F.; Ma, X.M.; Xie, L.W.; Zhou, H.; Yu, J.H.; Wang, Z.X.; Li, M. Perillaldehyde Mitigates Ionizing Radiation-Induced Intestinal Injury by Inhibiting Ferroptosis via the Nrf2 Signaling Pathway. Mol. Nutr. Food Res. 2023, 67, e2300232. [Google Scholar] [CrossRef]
- Kumar, K.J.S.; Vani, M.G.; Wang, S.Y. Limonene protects human skin keratinocytes against UVB-induced photodamage and photoaging by activating the Nrf2-dependent antioxidant defense system. Environ. Toxicol. 2022, 37, 2897–2909. [Google Scholar] [CrossRef]
- Qu, Y.; Guo, Y.X.; Li, W.P.; Shen, H.K.; Cui, J.W.; Li, J.L.; Liu, J.G.; Wu, D.M. The improvement of Coreopsis tinctoria essential oil on learning and memory impairment of d-galactose-induced mice through Nrf2/NF-?B pathway. Front. Pharmacol. 2022, 13, 994705. [Google Scholar] [CrossRef] [PubMed]
- Miao, Z.M.; Dong, M.W.; Wang, Z.; Ma, J.W.; Lin, Y.; Wu, Y.S. Linalool inhibits the progression of osteoarthritis via the Nrf2/HO-1 signal pathway both in vitro and in vivo. Int. Immunopharmacol. 2022, 113, 109338. [Google Scholar] [CrossRef] [PubMed]
- Younis, N.S.; Abdelnaby, R.M.; Mohamed, M.E. Hepatoprotective effects of linalool against liver ischemia-reperfusion: The role of Nrf2/HO-1/ NQO1 and TLR4/RAGE/NFκB pathways. Eur. Rev. Med. Pharmacol. Sci. 2023, 27, 10094–10111. [Google Scholar]
- Alomair, M.K.; Alabduladheem, L.S.; Almajed, M.A.; Alobaid, A.A.; Alkhalifah, E.A.R.; Younis, N.S.; Mohamed, M.E. Achillea millefolium Essential Oil Mitigates Peptic Ulcer in Rats through Nrf2/HO-1 Pathway. Molecules 2022, 27, 7908. [Google Scholar] [CrossRef]
- Jiang, Z.H.; Guo, X.; Zhang, K.P.; Sekaran, G.; Cao, B.R.; Zhao, Q.Q.; Zhang, S.Q.; Kirby, G.M.; Zhang, X.Y. The Essential Oils and Eucalyptol from Artemisia vulgaris L. Prevent Acetaminophen-Induced Liver Injury by Activating Nrf2-Keap1 and Enhancing APAP Clearance Through Non-Toxic Metabolic Pathway. Front. Pharmacol. 2019, 10, 782. [Google Scholar] [CrossRef]
- Hur, J.; Pak, S.C.; Koo, B.S.; Jeon, S. Borneol alleviates oxidative stress via upregulation of Nrf2 and Bcl-2 in SH-SY5Y cells. Pharm. Biol. 2013, 51, 30–35. [Google Scholar] [CrossRef] [PubMed]
- Lee, S.Y.; Chen, P.Y.; Lin, J.C.; Kirkby, N.S.; Ou, C.H.; Chang, T.C. Melaleuca alternifolia Induces Heme Oxygenase-1 Expression in Murine RAW264.7 Cells through Activation of the Nrf2-ARE Pathway. Am. J. Chin. Med. 2017, 45, 1631–1648. [Google Scholar] [CrossRef]
- Tan, J.; Li, J.; Mai, J.L.; Qiao, F. Hepatoprotective effect of essential oils of Nepeta cataria L. on acetaminophen-induced liver dysfunction. Biosci. Rep. 2019, 39, BSR20190697. [Google Scholar] [CrossRef]
- Zou, Y.; Wang, J.; Peng, J.; Wei, H.K. Oregano Essential Oil Induces SOD1 and GSH Expression through Nrf2 Activation and Alleviates Hydrogen Peroxide-Induced Oxidative Damage in IPEC-J2 Cells. Oxid. Med. Cell. Longev. 2016, 2016, 5987183. [Google Scholar] [CrossRef]
- Wu, S.Y.; Yuan, Z.C.; Xie, P.H.; Shafiq, M.; Hou, J.; Liang, Y.Q.; Hashim, R.; Zhang, W.Y.; Yang, R.; Mo, X.M.; et al. Lecithin-complexed oregano essential oil-encapsulated fibrous barriers prevent postoperative adhesions by regulating Nrf2/NF-κB signaling pathways. Appl. Mater. Today 2024, 38, 102185. [Google Scholar] [CrossRef]
- Lin, W.T.; Chen, Y.J.; Kuo, H.N.; Kumar, S.; Abomughaid, M.M.; Kumar, K.J.S. Ultraviolet B-induced oxidative damage in human skin keratinocytes is alleviated by Pinus morrisonicola leaf essential oil through activation of the Nrf2-dependent antioxidant defense system. Redox Rep. 2025, 30, 2527427. [Google Scholar] [CrossRef] [PubMed]
- Li, Y.; Huang, L.; Xu, Y.; Cheng, B.; Zhao, M. Antioxidant mechanism of Rosmarinus officinalis essential oil ameliorating pulmonary oxidative stress by activating NRF2 signaling pathway. Res. Sq. 2024. [Google Scholar] [CrossRef]
- Porres-Martínez, M.; González-Burgos, E.; Carretero, M.E.; Gómez-Serranillos, M.P. Protective properties of Salvia lavandulifolia Vahl. essential oil against oxidative stress-induced neuronal injury. Food Chem. Toxicol. 2015, 80, 154–162. [Google Scholar] [CrossRef] [PubMed]
- Tan, L.; Yang, Y.; Peng, J.; Zhang, Y.; Wu, B.; He, B.; Jia, Y.; Yan, T. Schisandra chinensis (Turcz.) Baill. essential oil exhibits antidepressant-like effects and against brain oxidative stress through Nrf2/HO-1 pathway activation. Metab. Brain Dis. 2022, 37, 2261–2275. [Google Scholar] [CrossRef]
- Li, J.M.; Wang, Z.S.; Wang, Y.; Lin, J.X.; Tang, N.; Zheng, C.; Xu, Q. The essential oil from the rhizomes of Stahlianthus involucratus attenuates the progression of vascular aging and atherosclerosis by regulating Nrf2-mediated mitochondrial quality. Front. Pharmacol. 2025, 16, 1579333. [Google Scholar] [CrossRef] [PubMed]
- Liu, M.Y.; Zheng, X.C.; Sun, C.X.; Zhou, Q.L.; Liu, B.; Xu, P. Tea Tree Oil Mediates Antioxidant Factors Relish and Nrf2-Autophagy Axis Regulating the Lipid Metabolism of Macrobrachium rosenbergii. Antioxidants 2022, 11, 2260. [Google Scholar] [CrossRef]
- Cui, G.L.; Wei, F.; Wei, M.X.; Xie, L.Q.; Lin, Z.Y.; Feng, X.K. Modulatory effect of Tagetes erecta flowers essential oils via Nrf2/HO-1/NF-κB/p65 axis mediated suppression of N-methyl-N′nitro-N-nitroguanidine (MNNG) induced gastric cancer in rats. Mol. Cell. Biochem. 2021, 476, 1541–1554. [Google Scholar] [CrossRef]
- Benedetti, S.; Nasoni, M.G.; Luchetti, F.; Palma, F. New insights into the cytotoxic effects of Thymus vulgaris essential oil on the human triple-negative breast cancer cell line MDA-MB-231. Toxicol. In Vitro 2023, 93, 105705. [Google Scholar] [CrossRef]
- He, T.; Li, X.; Wang, X.P.; Xu, X.; Yan, X.; Li, X.; Sun, S.Q.; Dong, Y.; Ren, X.Y.; Liu, X.Y.; et al. Chemical composition and anti-oxidant potential on essential oils of Thymus quinquecostatus Celak. from Loess Plateau in China, regulating Nrf2/Keap1 signaling pathway in zebrafish. Sci. Rep. 2020, 10, 11280. [Google Scholar] [CrossRef]
- De Cicco, P.; Ercolano, G.; Sirignano, C.; Rubino, V.; Rigano, D.; Ianaro, A.; Formisano, C. Chamomile essential oils exert anti-inflammatory effects involving human and murine macrophages: Evidence to support a therapeutic action. J. Ethnopharmacol. 2023, 311, 116391. [Google Scholar] [CrossRef]
- Zhang, Y.; He, J.; Chen, L.L.; Wang, W.J. Chimonanthus nitens Oliv leaves essential oil alleviates colitis induced by sodium dextran sulfate in BALB/C mice via MAPK/NF-κB/Nrf2 signaling pathway. J. Funct. Foods 2024, 115, 106095. [Google Scholar] [CrossRef]
- Mahmoud, M.F.; Ali, N.; Mahdi, I.; Mouhtady, O.; Mostafa, I.; El-Shazly, A.M.; Abdelfattah, M.A.O.; Hasan, R.A.; Sobeh, M. Coriander essential oil attenuates dexamethasone-induced acute liver injury through potentiating Nrf2/HO-1 and ameliorating apoptotic signaling. J. Funct. Foods 2023, 103, 105484. [Google Scholar] [CrossRef]
- Wang, C.H.; Gong, B.; Meng, H.; Wu, Y.L.; Zhao, X.S.; Wei, J.H. Dalbergia odorifera Essential oil protects against myocardial ischemia through upregulating nrf2 and inhibiting caspase signaling pathways in isoproterenol-induced rats. World J. Tradit. Chin. Med. 2023, 9, 338–347. [Google Scholar] [CrossRef]
- da Cunha, F.A.B.; Wallau, G.L.; Pinho, A.I.; Nunes, M.E.M.; Leite, N.F.; Tintino, S.R.; da Costa, G.M.; Athayde, M.L.; Boligon, A.A.; Coutinho, H.D.M.; et al. Eugenia uniflora leaves essential oil induces toxicity in Drosophila melanogaster: Involvement of oxidative stress mechanisms. Toxicol. Res. 2015, 4, 634–644. [Google Scholar] [CrossRef]
- Bak, M.J.; Jun, M.; Jeong, W.S. Antioxidant and Hepatoprotective Effects of the Red Ginseng Essential Oil in H2O2-Treated HepG2 Cells and CCl4-Treated Mice. Int. J. Mol. Sci. 2012, 13, 2314–2330. [Google Scholar] [CrossRef]
- Choi, D.; Choi, J.Y.; Lee, J.B.; Yun, S.J.; Moon, B.K.; Ahn, Y.G.; Lee, S.Y.; Lee, S.C. Protective Activity against Oxidative Stress in Dermal Papillae with Extracted Herbal Essential Oils. Appl. Sci. 2023, 13, 3985. [Google Scholar] [CrossRef]
- Huang, Z.B.; Xie, L.N.; Xu, Y.Y.; Zhao, K.; Li, X.T.; Zhong, J.B.; Lu, Y.J.; Xu, X.T.; Goodin, S.; Zhang, K.; et al. Essential Oils from Zingiber striolatum Diels Attenuate Inflammatory Response and Oxidative Stress through Regulation of MAPK and NF-κB Signaling Pathways. Antioxidants 2021, 10, 2019. [Google Scholar] [CrossRef]
- Arunachalam, S.; Meeran, M.F.N.; Azimullah, S.; Jha, N.K.; Saraswathiamma, D.; Albawardi, A.; Beiram, R.; Ojha, S. α-Bisabolol Attenuates NF-κB/MAPK Signaling Activation and ER-Stress-Mediated Apoptosis by Invoking Nrf2-Mediated Antioxidant Defense Systems against Doxorubicin-Induced Testicular Toxicity in Rats. Nutrients 2022, 14, 4648. [Google Scholar] [CrossRef]
- Dixon, S.J.; Olzmann, J.A. The cell biology of ferroptosis. Nat. Rev. Mol. Cell. Biol. 2024, 25, 424–442. [Google Scholar] [CrossRef]
- Cui, W.Q.; Zhou, H.; Zhang, J.X.; Zhang, J.W.; Wu, D.Q.; Rong, Y.; Liu, F.L.; Liu, J.H.; Liu, H.Y.; Wei, B.; et al. Hepatoprotective effect of Artemisia Argyi essential oil on bisphenol A-induced hepatotoxicity via inhibition of ferroptosis in mice. Environ. Toxicol. 2023, 38, 2416–2428. [Google Scholar] [CrossRef]
- Huang, Y.; Ding, M.; Wang, D.; Li, H.; Xia, F.; Bai, H.; Sun, M.; Mo, M.; Dong, Y.; Shi, L. Chemical diversity and antimelanoma potential of rosemary essential oils: Unveiling mechanistic insights through quantitative proteomics. Ind. Crops Prod. 2024, 215, 118652. [Google Scholar] [CrossRef]
- Chen, G.; Lv, C.H.; Nie, Q.; Li, X.; Lv, Y.Y.; Liao, G.Y.; Liu, S.C.; Ge, W.W.; Chen, J.G.; Du, Y.T. Essential Oil of Matricaria chamomilla Alleviate Psoriatic-Like Skin Inflammation by Inhibiting PI3K/Akt/mTOR and p38MAPK Signaling Pathway. Clin. Cosmet. Investig. Dermatol. 2024, 17, 59–77. [Google Scholar] [CrossRef] [PubMed]
- Sousa, C.; Neves, B.M.; Leitao, A.J.; Mendes, A.F. Elucidation of the Mechanism Underlying the Anti-Inflammatory Properties of (S)-(+)-Carvone Identifies a Novel Class of Sirtuin-1 Activators in a Murine Macrophage Cell Line. Biomedicines 2021, 9, 777. [Google Scholar] [CrossRef] [PubMed]
- Huchzermeyer, B.; Menghani, E.; Khardia, P.; Shilu, A. Metabolic Pathway of Natural Antioxidants, Antioxidant Enzymes and ROS Providence. Antioxidants 2022, 11, 761. [Google Scholar] [CrossRef]
- Johnson, F.; Giulivi, C. Superoxide dismutases and their impact upon human health. Mol. Asp. Med. 2005, 26, 340–352. [Google Scholar] [CrossRef] [PubMed]
- Ighodaro, O.M.; Akinloye, O.A. First line defence antioxidants-superoxide dismutase (SOD), catalase (CAT) and glutathione peroxidase (GPX): Their fundamental role in the entire antioxidant defence grid. Alex. J. Med. 2018, 54, 287–293. [Google Scholar] [CrossRef]
- Keum, Y.S.; Han, Y.H.; Liew, C.; Kim, J.H.; Xu, C.; Yuan, X.; Shakarjian, M.P.; Chong, S.; Kong, A.N. Induction of heme oxygenase-1 (HO-1) and NAD[P]H: Quinone oxidoreductase 1 (NQO1) by a phenolic antioxidant, butylated hydroxyanisole (BHA) and its metabolite, tert-butylhydroquinone (tBHQ) in primary-cultured human and rat hepatocytes. Pharm. Res. 2006, 23, 2586–2594. [Google Scholar] [CrossRef]
- Bahn, G.; Park, J.S.; Yun, U.J.; Lee, Y.J.; Choi, Y.; Park, J.S.; Baek, S.H.; Choi, B.Y.; Cho, Y.S.; Kim, H.K.; et al. NRF2/ARE pathway negatively regulates BACE1 expression and ameliorates cognitive deficits in mouse Alzheimer’s models. Proc. Natl. Acad. Sci. USA 2019, 116, 12516–12523. [Google Scholar] [CrossRef]
- Sánchez-Quintero, M.J.; Delgado, J.; Chaves, L.M.; Medina-Vera, D.; Murri, M.; Becerra-Muñoz, V.M.; Estévez, M.; Crespo-Leiro, M.G.; López, G.P.; González-Jiménez, A.; et al. Multi-Omics Approach Reveals Prebiotic and Potential Antioxidant Effects of Essential Oils from the Mediterranean Diet on Cardiometabolic Disorder Using Humanized Gnotobiotic Mice. Antioxidants 2023, 12, 1643. [Google Scholar] [CrossRef]
- Fernandes, C.S.M.; dos Santos, R.; Ottengy, S.; Viecinski, A.C.; Béhar, G.; Mouratou, B.; Pecorari, F.; Roque, A.C.A. Affitins for protein purification by affinity magnetic fishing. J. Chromatogr. A 2016, 1457, 50–58. [Google Scholar] [CrossRef]
- Smith, E.; Collins, I. Photoaffinity labeling in target- and binding-site identification. Future Med. Chem. 2015, 7, 159–183. [Google Scholar] [CrossRef]
- Murale, D.P.; Hong, S.C.; Haque, M.M.; Lee, J.S. Photo-affinity labeling (PAL) in chemical proteomics: A handy tool to investigate protein-protein interactions (PPIs). Proteome Sci. 2017, 15, 14. [Google Scholar] [CrossRef]
- Murakami, Y.; Kawata, A.; Seki, Y.; Koh, T.; Yuhara, K.; Maruyama, T.; Machino, M.; Ito, S.; Kadoma, Y.; Fujisawa, S. Comparative Inhibitory Effects of Magnolol, Honokiol, Eugenol and bis-Eugenol on Cyclooxygenase-2 Expression and Nuclear Factor-Kappa B Activation in RAW264.7 Macrophage-like Cells Stimulated with Fimbriae of Porphyromonas gingivalis. In Vivo 2012, 26, 941–950. [Google Scholar] [PubMed]
- Gertsch, J.; Leonti, M.; Raduner, S.; Racz, I.; Chen, J.-Z.; Xie, X.-Q.; Altmann, K.-H.; Karsak, M.; Zimmer, A. Beta-caryophyllene is a dietary cannabinoid. Proc. Natl. Acad. Sci. USA 2008, 105, 9099–9104. [Google Scholar] [CrossRef] [PubMed]
- Garcia, D.A.; Bujons, J.; Suñol, C. Allosteric positive interaction of thymol with the GABAA receptor in primary cultures of mouse cortical neurons. Neuropharmacology 2006, 50, 25–35. [Google Scholar] [CrossRef]
- Chung, G.; Im, S.T.; Kim, Y.H.; Jung, S.J.; Rhyu, M.R.; Oh, S.B. Activation of transient receptor potential ankyrin 1 by eugenol. Neuroscience 2014, 261, 153–160. [Google Scholar] [CrossRef]
- Brum, L.F.S.; Elisabetsky, E.; Souza, D. Effects of linalool on 3H MK801 and 3H muscimol binding in mouse cortical membranes. Phytother. Res. 2001, 15, 422–425. [Google Scholar] [CrossRef]
- Liu, W.Y.; Liu, R.; Qin, Q.Y.; Wang, H.L.; Zhang, X.X.; Meng, G.L. Molecular docking and molecular dynamics simulation of wheat gluten-derived antioxidant peptides acting through the Keap1-Nrf2 pathway. J. Sci. Food Agric. 2024, 104, 8150–8161. [Google Scholar] [CrossRef] [PubMed]
- Hollingsworth, S.A.; Dror, R.O. Molecular Dynamics Simulation for All. Neuron 2018, 99, 1129–1143. [Google Scholar] [CrossRef] [PubMed]













Disclaimer/Publisher’s Note: The statements, opinions and data contained in all publications are solely those of the individual author(s) and contributor(s) and not of MDPI and/or the editor(s). MDPI and/or the editor(s) disclaim responsibility for any injury to people or property resulting from any ideas, methods, instructions or products referred to in the content. |
© 2025 by the authors. Licensee MDPI, Basel, Switzerland. This article is an open access article distributed under the terms and conditions of the Creative Commons Attribution (CC BY) license.
Share and Cite
Huang, Y.; Ebrahimi, H.; Berselli, E.; Foti, M.C.; Amorati, R. Essential Oils as Antioxidants: Mechanistic Insights from Radical Scavenging to Redox Signaling. Antioxidants 2026, 15, 37. https://doi.org/10.3390/antiox15010037
Huang Y, Ebrahimi H, Berselli E, Foti MC, Amorati R. Essential Oils as Antioxidants: Mechanistic Insights from Radical Scavenging to Redox Signaling. Antioxidants. 2026; 15(1):37. https://doi.org/10.3390/antiox15010037
Chicago/Turabian StyleHuang, Yeqin, Haniyeh Ebrahimi, Elena Berselli, Mario C. Foti, and Riccardo Amorati. 2026. "Essential Oils as Antioxidants: Mechanistic Insights from Radical Scavenging to Redox Signaling" Antioxidants 15, no. 1: 37. https://doi.org/10.3390/antiox15010037
APA StyleHuang, Y., Ebrahimi, H., Berselli, E., Foti, M. C., & Amorati, R. (2026). Essential Oils as Antioxidants: Mechanistic Insights from Radical Scavenging to Redox Signaling. Antioxidants, 15(1), 37. https://doi.org/10.3390/antiox15010037

