Characterization of Volatile Profile of Different Kiwifruits (Actinidia chinensis Planch) Varieties and Regions by Headspace-Gas Chromatography-Ion Mobility Spectrometry
Abstract
1. Introduction
2. Materials and Methods
2.1. Sample Collection and Preparation
2.2. Volatile Extraction and Analyses by GC-IMS
2.3. Qualitative Analyses of Volatiles
2.4. Statistical Analyses
3. Results and Discussion
3.1. Volatile Profiling Analysis of Kiwifruits
3.2. Multivariate Analysis of Kiwifruits
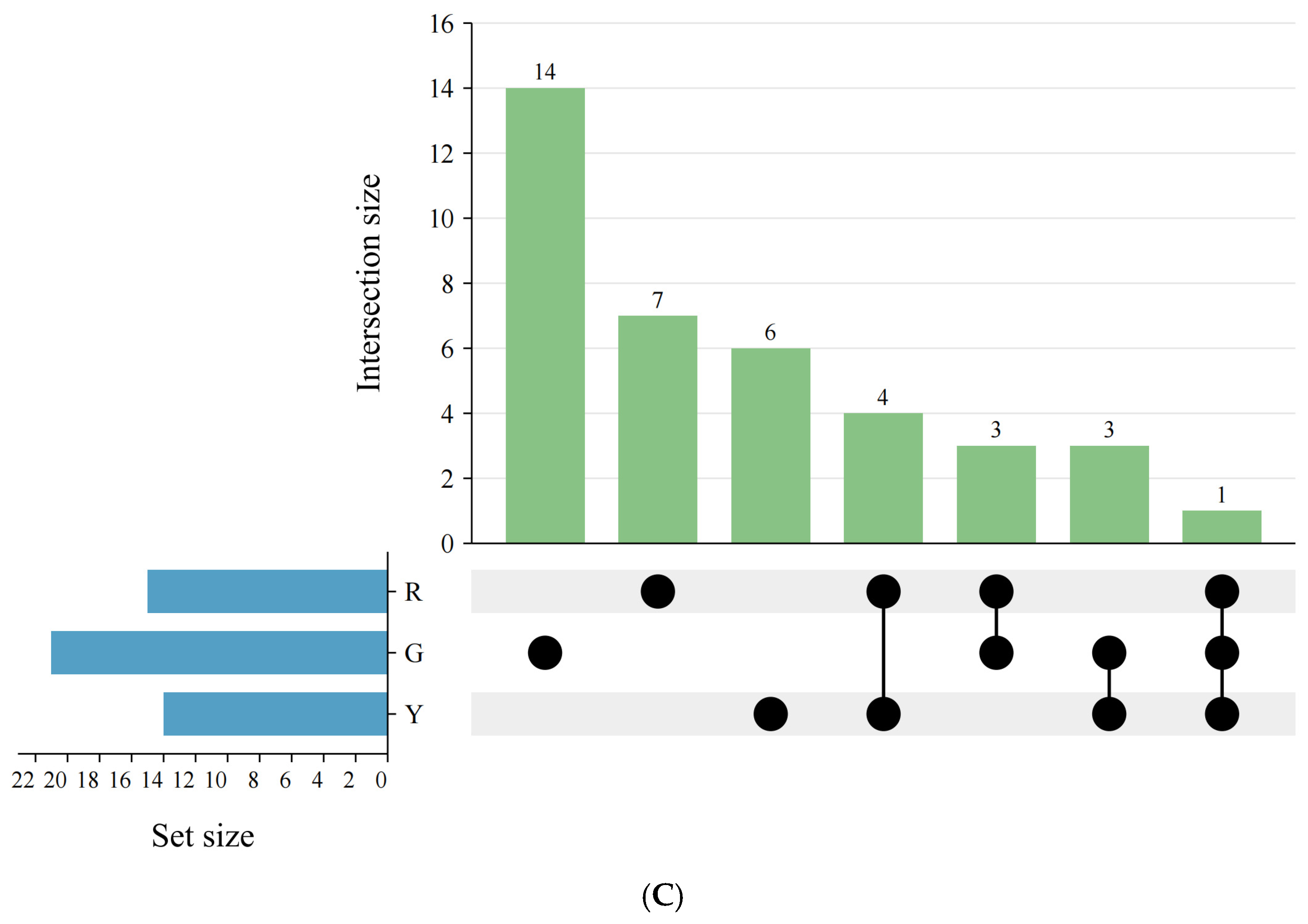
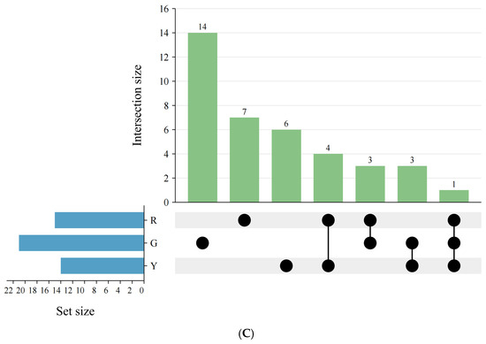
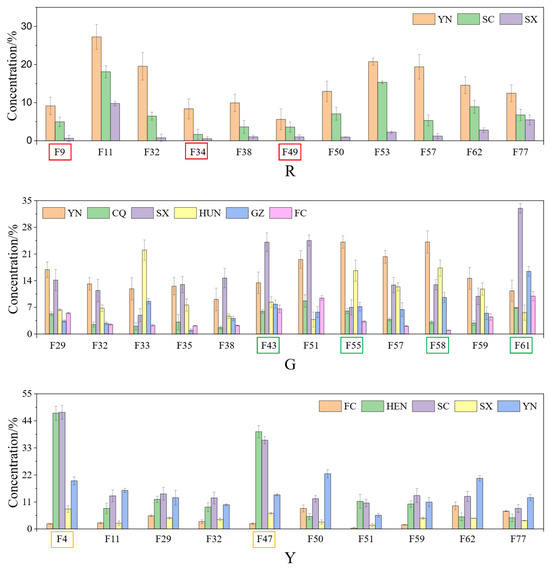
3.3. Unique Aroma Compounds of Kiwifruits
3.4. Pathway of Common and Unique Aroma Compounds
4. Conclusions
Supplementary Materials
Author Contributions
Funding
Institutional Review Board Statement
Informed Consent Statement
Data Availability Statement
Conflicts of Interest
References
- Zhong, C.; Huang, W.; Li, D.; Zhang, Q.; Li, L. Analysis of the Development of the Global Kiwifruit Industry and Trends in Fresh Fruit Trade. Chin. Fruit Trees 2021, 07, 101–108. [Google Scholar] [CrossRef]
- Zhang, J.; Mo, Z.; Xuan, J.; Jia, X.; Liu, Y.; Guo, Z. Advance of Research on Flesh Color Related Pigment Metabolism in Kiwifruit. Chin. Agric. Sci. Bull. 2013, 29, 77–85. [Google Scholar]
- Xu, X.; Zhang, Q. Researches and Utilizations of Germplasm Resourceof Kiwifruit in China. Chin. Bull. Bot. 2003, 20, 648–655. [Google Scholar]
- Du, D.; Xu, M.; Wang, J.; Gu, S.; Zhu, L.; Hong, X. Tracing internal quality and aroma of a red-fleshed kiwifruit during ripening by means of GC-MS and E-nose. RSC Adv. 2019, 9, 21164–21174. [Google Scholar] [CrossRef]
- Lan, T.; Gao, C.; Yuan, Q.; Wang, J.; Zhang, H.; Sun, X.; Lei, Y.; Ma, T. Analysis of the Aroma Chemical Composition of Commonly Planted Kiwifruit Cultivars in China. Foods 2021, 10, 1645. [Google Scholar] [CrossRef]
- Mitalo, O.W.; Tokiwa, S.; Kondo, Y.; Otsuki, T.; Galis, I.; Suezawa, K.; Kataoka, I.; Doan, A.T.; Nakano, R.; Ushijima, K.; et al. Low Temperature Storage Stimulates Fruit Softening and Sugar Accumulation Without Ethylene and Aroma Volatile Production in Kiwifruit. Front. Plant Sci. 2019, 10, 888. [Google Scholar] [CrossRef]
- Tian, X.; Zhu, L.; Yang, N.; Song, J.; Zhao, H.; Zhang, J.; Ma, F.; Li, M. Proteomics and Metabolomics Reveal the Regulatory Pathways of Ripening and Quality in Post-Harvest Kiwifruits. J. Agric. Food Chem. 2021, 69, 824–835. [Google Scholar] [CrossRef]
- Ding, S.; Qiu, M.; Cao, Y.; Pan, L. Identification of Different Volatile Components in Fresh andProcessed Atractylodis Macrocephala Rhizoma Based onGC-IMS. J. Instrum. Anal. 2025, 44, 2486–2496. [Google Scholar]
- Tian, X.; Li, Z.J.; Chao, Y.Z.; Wu, Z.Q.; Zhou, M.X.; Xiao, S.T.; Zeng, J.; Zhe, J. Evaluation by electronic tongue and headspace-GC-IMS analyses of the flavor compounds in dry-cured pork with different salt content. Food Res. Int. 2020, 137, 109456. [Google Scholar] [CrossRef] [PubMed]
- Wang, S.; Chen, H.; Sun, B. Recent progress in food flavor analysis using gas chromatography–ion mobility spectrometry (GC–IMS). Food Chem. 2020, 315, 126158. [Google Scholar] [CrossRef] [PubMed]
- Gao, L.; Zhang, L.; Liu, J.; Zhang, X.; Lu, Y. Analysis of the Volatile Flavor Compounds of Pomegranate Seeds at Different Processing Temperatures by GC-IMS. Molecules 2023, 28, 2717. [Google Scholar] [CrossRef]
- Sun, P.; Xu, B.; Wang, Y.; Lin, X.; Chen, C.; Zhu, J.; Jia, H.; Wang, X.; Shen, J.; Feng, T. Characterization of volatile constituents and odorous compounds in peach (Prunus persica L) fruits of different varieties by gas chromatography–ion mobility spectrometry, gas chromatography–mass spectrometry, and relative odor activity value. Front. Nutr. 2022, 9, 965796. [Google Scholar] [CrossRef] [PubMed]
- Man, L.; Ren, W.; Sun, M.; Du, Y.; Chen, H.; Qin, H.; Chai, W.; Zhu, M.; Liu, G.; Wang, C.; et al. Characterization of donkey-meat flavor profiles by GC–IMS and multivariate analysis. Front. Nutr. 2023, 10, 2023. [Google Scholar] [CrossRef]
- Huang, H. Study on Aroma Differences of Tea Leaves with Different Fermentation Types and Storage Times Based on Electronic Nose, HS-GC-IMS and HS-SPME-GC-MS. Master’s Thesis, Nanjing Forestry University, Nanjing, China, 2025. [Google Scholar]
- Ye, Y.; Li, K.; Bi, Y.; Lin, T.; Chen, D.; Du, L. Comprehensive evaluation of Actinidia chinensis Planch quality in major producing areas of China based on entropy weight-technique for order preference by similarity to ideal solution method. J. Food Saf. Qual. 2025, 16, 205–217. [Google Scholar] [CrossRef]
- Zhao, H.; Zhang, S.; Ma, D.; Liu, Z.; Qi, P.; Wang, Z.; Di, S.; Wang, X. Review of fruits flavor deterioration in postharvest storage: Odorants, formation mechanism and quality control. Food Res. Int. 2024, 182, 114077. [Google Scholar] [CrossRef] [PubMed]
- Xi, W.; Zhang, L.; Liu, S.; Zhao, G. The Genes of CYP, ZEP, and CCD1/4 Play an Important Role in Controlling Carotenoid and Aroma Volatile Apocarotenoid Accumulation of Apricot Fruit. Front. Plant Sci. 2020, 11, 607715. [Google Scholar] [CrossRef]
- Zamljen, T.; Grohar, M.C.; Medic, A. Mint-Scented Species in Lamiaceae: An Abundant and Varied Reservoir of Phenolic and Volatile Compounds. Foods 2024, 13, 1857. [Google Scholar] [CrossRef] [PubMed]
- Rey-Serra, P.; Mnejja, M.; Monfort, A. Inheritance of esters and other volatile compounds responsible for the fruity aroma in strawberry. Front. Plant Sci. 2022, 13, 959155. [Google Scholar] [CrossRef]
- Melini, F.; Melini, V. Role of Microbial Fermentation in the Bio-Production of Food Aroma Compounds from Vegetable Waste. Fermentation 2024, 10, 132. [Google Scholar] [CrossRef]
- Lipinski, S.; Lindekamp, N.; Funck, N.; Cramer, B.; Humpf, H.-U. Determination of furan and alkylfuran in breakfast cereals from the European market and their correlation with acrylamide levels. Eur. Food Res. Technol. 2023, 250, 167–180. [Google Scholar] [CrossRef]
- Mall, V.; Sellami, I.; Schieberle, P. New Degradation Pathways of the Key Aroma Compound 1-Penten-3-one during Storage of Not-from-Concentrate Orange Juice. J. Agric. Food Chem. 2018, 66, 11083–11091. [Google Scholar] [CrossRef] [PubMed]
- Kumari, S.; Pande, K.K.; Movi, S.; Kumar, A.; Solanki, P.; Rajput, R.; Das, J.; Das, R. Climate Change Impact on Fruit Crops and Mitigation through Climate-Smart Production Practices. J. Sci. Res. Rep. 2024, 30, 731–738. [Google Scholar] [CrossRef]
- Wang, L.; Tang, P.; Zhang, P.; Lu, J.; Chen, Y.; Xiao, D.; Guo, X. Unraveling the aroma profiling of Baijiu: Sensory characteristics of aroma compounds, analytical approaches, key odor-active compounds in different Baijiu, and their synthesis mechanisms. Trends Food Sci. Technol. 2024, 146, 104376. [Google Scholar] [CrossRef]
- Guan, S.; Yang, F.; Yao, J.; Liu, C.; Wang, R.; Ruan, M.; Yao, Z.; Liu, C.; Wan, H.; Li, Z.; et al. Dynamic changes in volatile organic compounds of cherry tomato fruits during storage at different temperatures using HS-GC-IMS. Food Res. Int. 2025, 218, 116790. [Google Scholar] [CrossRef] [PubMed]
- Wang, C.; Xing, J.; Chin, C.-K.; Ho, C.-T.; Martin, C.E. Modification of fatty acids changes the flavor volatiles in tomato leaves. Phytochemistry 2001, 58, 227–232. [Google Scholar] [CrossRef]
- Supriyadi; Suzuki, M.; Wu, S.; Tomita, N.; Fujita, A.; Watanabe, N. Biogenesis of Volatile Methyl Esters in Snake Fruit (Salacca edulis, Reinw) cv. Pondoh. Biosci. Biotechnol. Biochem. 2003, 67, 1267–1271. [Google Scholar] [CrossRef]
- Zhang, A.; Zhang, Q.; Li, J.; Gong, H.; Fan, X.; Yang, Y.; Liu, X.; Yin, X. Transcriptome co-expression network analysis identifies key genes and regulators of ripening kiwifruit ester biosynthesis. BMC Plant Biol. 2020, 20, 103. [Google Scholar] [CrossRef]
- Zhang, B.; Yin, X.-R.; Li, X.; Yang, S.-L.; Ferguson, I.B.; Chen, K.-S. Lipoxygenase Gene Expression in Ripening Kiwifruit in Relation to Ethylene and Aroma Production. J. Agric. Food Chem. 2009, 57, 2875–2881. [Google Scholar] [CrossRef]
- Qian, X.; Xu, X.-Q.; Yu, K.-J.; Zhu, B.-Q.; Lan, Y.-B.; Duan, C.-Q.; Pan, Q.-H. Varietal Dependence of GLVs Accumulation and LOX-HPL Pathway Gene Expression in Four Vitis vinifera Wine Grapes. Int. J. Mol. Sci. 2016, 17, 1924. [Google Scholar] [CrossRef]
- Fang, X.; Xu, W.; Jiang, G.; Sui, M.; Xiao, J.; Ning, Y.; Niaz, R.; Wu, D.; Feng, X.; Chen, J.; et al. Monitoring the dynamic changes in aroma during the whole processing of Qingzhuan tea at an industrial scale: From fresh leaves to finished tea. Food Chem. 2024, 439, 137810. [Google Scholar] [CrossRef]
- Api, A.M.; Bartlett, A.; Belsito, D.; Botelho, D.; Bruze, M.; Bryant-Freidrich, A.; Burton, G.A.; Cancellieri, M.A.; Chon, H.; Dagli, M.L.; et al. RIFM fragrance ingredient safety assessment, benzoic acid, 2-hydroxy-5-methyl-, methyl ester, CAS Registry Number 22717-57-3. Food Chem. Toxicol. 2024, 183, 114370. [Google Scholar] [CrossRef]
- Tian, H.; Yu, B.; Yu, H.; Chen, C. Evaluation of the synergistic olfactory effects of diacetyl, acetaldehyde, and acetoin in a yogurt matrix using odor threshold, aroma intensity, and electronic nose analyses. J. Dairy Sci. 2020, 103, 7957–7967. [Google Scholar] [CrossRef]
- Liu, X.; Feng, Y.; Li, S.; Li, D.; Yu, J.; Zhao, Z. Jasmonate-induced MdMYC2 improves fruit aroma during storage of ‘Ruixue’ apple based on transcriptomic, metabolic and functional analyses. LWT 2023, 185, 115168. [Google Scholar] [CrossRef]
- Pott, D.M.; Durán-Soria, S.; Allwood, J.W.; Pont, S.; Gordon, S.L.; Jennings, N.; Austin, C.; Stewart, D.; Brennan, R.M.; Masny, A.; et al. Dissecting the impact of environment, season and genotype on blackcurrant fruit quality traits. Food Chem. 2023, 402, 134360. [Google Scholar] [CrossRef]
- Imahori, Y.; Yamamoto, K.; Tanaka, H.; Bai, J. Residual effects of low oxygen storage of mature green fruit on ripening processes and ester biosynthesis during ripening in bananas. Postharvest Biol. Technol. 2013, 77, 19–27. [Google Scholar] [CrossRef]
- Chen, S.; Zhang, F.; Ananta, E.; Muller, J.A.; Liang, Y.; Lee, Y.K.; Liu, S.-Q. Co-Inoculation of Latilactobacillus sakei with Pichia kluyveri or Saccharomyces boulardii Improves Flavour Compound Profiles of Salt-Free Fermented Wheat Gluten. Fermentation 2024, 10, 75. [Google Scholar] [CrossRef]
- Liu, W.; Fan, M.; Sun, S.; Li, H. Effect of mixed fermentation by Torulaspora delbrueckii, Saccharomyces cerevisiae, and Lactobacillus plantarum on the sensory quality of black raspberry wines. Eur. Food Res. Technol. 2020, 246, 1573–1581. [Google Scholar] [CrossRef]
- Liu, Z.; Cai, S.; Zhang, S.; Xiao, Y.; Devahastin, S.; Guo, C.; Wang, Y.; Wang, T.; Yi, J. A systematic review on fermented chili pepper products: Sensorial quality, health benefits, fermentation microbiomes, and metabolic pathways. Trends Food Sci. Technol. 2023, 141, 104189. [Google Scholar] [CrossRef]
- Varela, C.; Torrea, D.; Schmidt, S.A.; Ancin-Azpilicueta, C.; Henschke, P.A. Effect of oxygen and lipid supplementation on the volatile composition of chemically defined medium and Chardonnay wine fermented with Saccharomyces cerevisiae. Food Chem. 2012, 135, 2863–2871. [Google Scholar] [CrossRef] [PubMed]
- Kracht, O.N.; Ammann, A.-C.; Stockmann, J.; Wibberg, D.; Kalinowski, J.; Piotrowski, M.; Kerr, R.; Brück, T.; Kourist, R. Transcriptome profiling of the Australian arid-land plant Eremophila serrulata (A.DC.) Druce (Scrophulariaceae) for the identification of monoterpene synthases. Phytochemistry 2017, 136, 15–22. [Google Scholar] [CrossRef]
- Makangara, J.J.; Mshandete, A.M.; Mbega, E.R.; Nyika, J.R.; Mbago, F.; Ndilanha, E.G.; Nyika, R.J.; Nyika, J.J. Review on the secondary metabolites, biological properties, and ethnomedicinal uses of the component species of the buheri wa afya formula used to treat COVID-19 in Tanzania. Phytomedicine Plus 2024, 4, 100508. [Google Scholar] [CrossRef]
- Wang, B.; Wu, W.; Liu, J.; Soladoye, O.P.; Ho, C.-T.; Zhang, Y.; Fu, Y. Flavor mystery of spicy hot pot base: Chemical understanding of pungent, numbing, umami and fragrant characteristics. Trends Food Sci. Technol. 2023, 139, 104137. [Google Scholar] [CrossRef]
- Valentoni, A.; Melis, R.; Sanna, M.; Porcu, M.C.; Rodolfi, M.; Braca, A.; Bianco, A.; Zara, G.; Budroni, M.; Anedda, R.; et al. Fruit Beer with the Bisucciu Sardinian Apricot Cultivar (Prunus armeniaca L.): A Technological and Analytical Approach. Fermentation 2023, 9, 305. [Google Scholar] [CrossRef]
- Zhang, H.; Zhu, X.; Xu, R.; Yuan, Y.; Abugu, M.N.; Yan, C.; Tieman, D.; Li, X. Postharvest chilling diminishes melon flavor via effects on volatile acetate ester biosynthesis. Front. Plant Sci. 2023, 13, 1067680. [Google Scholar] [CrossRef] [PubMed]








| Variety | Region | Total Number | Harvest Time | Fruit Firmness |
|---|---|---|---|---|
| Red-fleshed (R) | Yunnan (YN, 15), Sichuan (SC, 9), Shanxi (SX, 3) | 27 | Early August | 3.9~4.9 N/cm2 |
| Green-fleshed (G) | Yunnan (YN, 12), Chongqing (CQ, 3), Shanxi (SX, 9), Hunan (HUN, 6), Guizhou (GZ, 3), Foreign Country (FC, New Zealand, 3) | 36 | Mid-October | 5.9~6.9 N/cm2 |
| Yellow-fleshed (Y) | Yunnan (YN, 9), Sichuan (SC, 9), Shanxi (SX, 3), Henan (HEN, 6), Foreign Country (FC, New Zealand, 3) | 30 | Early October | 8.8~9.8 N/cm2 |
Disclaimer/Publisher’s Note: The statements, opinions and data contained in all publications are solely those of the individual author(s) and contributor(s) and not of MDPI and/or the editor(s). MDPI and/or the editor(s) disclaim responsibility for any injury to people or property resulting from any ideas, methods, instructions or products referred to in the content. |
© 2026 by the authors. Licensee MDPI, Basel, Switzerland. This article is an open access article distributed under the terms and conditions of the Creative Commons Attribution (CC BY) license.
Share and Cite
Du, L.; Bi, Y.; Xiong, J.; Mu, X.; Zhai, D.; Chen, W.; Liu, H.; Ye, Y. Characterization of Volatile Profile of Different Kiwifruits (Actinidia chinensis Planch) Varieties and Regions by Headspace-Gas Chromatography-Ion Mobility Spectrometry. Foods 2026, 15, 152. https://doi.org/10.3390/foods15010152
Du L, Bi Y, Xiong J, Mu X, Zhai D, Chen W, Liu H, Ye Y. Characterization of Volatile Profile of Different Kiwifruits (Actinidia chinensis Planch) Varieties and Regions by Headspace-Gas Chromatography-Ion Mobility Spectrometry. Foods. 2026; 15(1):152. https://doi.org/10.3390/foods15010152
Chicago/Turabian StyleDu, Lijuan, Yanan Bi, Jialiang Xiong, Xue Mu, Dacheng Zhai, Weixiang Chen, Hongcheng Liu, and Yanping Ye. 2026. "Characterization of Volatile Profile of Different Kiwifruits (Actinidia chinensis Planch) Varieties and Regions by Headspace-Gas Chromatography-Ion Mobility Spectrometry" Foods 15, no. 1: 152. https://doi.org/10.3390/foods15010152
APA StyleDu, L., Bi, Y., Xiong, J., Mu, X., Zhai, D., Chen, W., Liu, H., & Ye, Y. (2026). Characterization of Volatile Profile of Different Kiwifruits (Actinidia chinensis Planch) Varieties and Regions by Headspace-Gas Chromatography-Ion Mobility Spectrometry. Foods, 15(1), 152. https://doi.org/10.3390/foods15010152

