Sign in to use this feature.

Years

Between: -

Subjects

remove_circle_outline
remove_circle_outline
remove_circle_outline
remove_circle_outline
remove_circle_outline
remove_circle_outline
remove_circle_outline
remove_circle_outline
remove_circle_outline

Journals

Article Types

Countries / Regions

remove_circle_outline
remove_circle_outline
remove_circle_outline
remove_circle_outline

Search Results (742)

Search Parameters:
Keywords = vegetation spatial–temporal variation

Order results
Result details
Results per page
Select all
Export citation of selected articles as:
28 pages, 15158 KB  
Article
Towards Near-Real-Time Estimation of Live Fuel Moisture Content from Sentinel-2 for Fire Management in Northern Thailand
by Chakrit Chotamonsak, Duangnapha Lapyai and Punnathorn Thanadolmethaphorn
Fire 2025, 8(12), 475; https://doi.org/10.3390/fire8120475 - 11 Dec 2025
Viewed by 127
Abstract
Wildfires are a recurring dry-season hazard in northern Thailand, contributing to severe air pollution and trans-boundary haze. However, the region lacks the ground-based measurements necessary for monitoring Live Fuel Moisture Content (LFMC), a key variable influencing vegetation flammability. This study presents a preliminary [...] Read more.
Wildfires are a recurring dry-season hazard in northern Thailand, contributing to severe air pollution and trans-boundary haze. However, the region lacks the ground-based measurements necessary for monitoring Live Fuel Moisture Content (LFMC), a key variable influencing vegetation flammability. This study presents a preliminary framework for near-real-time (NRT) LFMC estimation using Sentinel-2 multispectral imagery. The system integrates normalized vegetation and moisture-related indices, including the Normalized Difference Vegetation Index (NDVI), the Normalized Difference Infrared Index (NDII), and the Moisture Stress Index (MSI) with an NDVI-derived evapotranspiration fraction (ETf) within a heuristic modeling approach. The workflow includes cloud and shadow masking, weekly to biweekly compositing, and pixel-wise normalization to address the persistent cloud cover and heterogeneous land surfaces. Although currently unvalidated, the LFMC estimates capture the relative spatial and temporal variations in vegetation moisture across northern Thailand during the 2024 dry season (January–April). Evergreen forests maintained higher moisture levels, whereas deciduous forests and agricultural landscapes exhibited pronounced drying from January to March. Short-lag responses to rainfall suggest modest moisture recovery following precipitation, although the relationship is influenced by additional climatic and ecological factors not represented in the heuristic model. LFMC-derived moisture classes reflect broad seasonal dryness patterns but should not be interpreted as direct fire danger indicators. This study demonstrates the feasibility of generating regional LFMC indicators in a data-scarce tropical environment and outlines a clear pathway for future calibration and validation, including field sampling, statistical optimization, and benchmarking against global LFMC products. Until validated, the proposed NRT LFMC estimation product should be used to assess relative vegetation dryness and to support the refinement and development of future operational fire management tools, including early warnings, burn-permit regulation, and resource allocation. Full article
(This article belongs to the Section Fire Science Models, Remote Sensing, and Data)
27 pages, 12675 KB  
Article
Spatiotemporal Dynamics and Driving Mechanisms of Vegetation Net Primary Productivity in the Giant Panda National Park Under the Context of Ecological Conservation
by Wendou Liu, Shaozhi Chen, Dongyang Han, Jiang Liu, Pengfei Zheng, Xin Huang and Rong Zhao
Land 2025, 14(12), 2394; https://doi.org/10.3390/land14122394 - 10 Dec 2025
Viewed by 225
Abstract
Nature reserves serve as core spatial units for maintaining regional ecological security and biodiversity. Owing to their high ecosystem integrity, extensive vegetation cover, and low levels of disturbance, they play a crucial role in sustaining ecological processes and ensuring functional stability. Taking the [...] Read more.
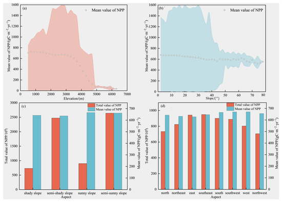
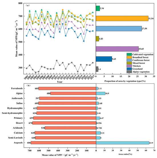
Nature reserves serve as core spatial units for maintaining regional ecological security and biodiversity. Owing to their high ecosystem integrity, extensive vegetation cover, and low levels of disturbance, they play a crucial role in sustaining ecological processes and ensuring functional stability. Taking the Giant Panda National Park (GPNP), which spans the provinces of Gansu, Sichuan, and Shaanxi in China, as the study region, the vegetation net primary productivity (NPP) during 2001–2023 was simulated using the Carnegie–Ames–Stanford Approach (CASA) model. Spatial and temporal variations in NPP were examined using Moran’s I, Getis-Ord Gi* hotspot analysis, Theil–Sen trend estimation, and the Mann–Kendall test. In addition, the Optimal Parameters-based Geographical Detector (OPGD) model was applied to quantitatively assess the relative contributions of natural and anthropogenic factors to NPP dynamics. The results demonstrated that: (1) The mean annual NPP within the GPNP reached 646.90 gC·m−2·yr−1, exhibiting a fluctuating yet generally upward trajectory, with an average growth rate of approximately 0.65 gC·m−2·yr−1, reflecting the positive ecological outcomes of national park establishment and ecological restoration projects. (2) NPP exhibits significant spatial heterogeneity, with higher NPP values in the northern, while the central and western regions and some high-altitude areas remain at relatively low levels. Across the four major subregions of the GPNP, the Qinling has the highest mean annual NPP at 758.89 gC·m−2·yr−1, whereas the Qionglai–Daxiaoxiangling subregion shows the lowest value at 616.27 gC·m−2·yr−1. (3) Optimal NPP occurred under favorable temperature and precipitation conditions combined with relatively high solar radiation. Low elevations, gentle slopes, south facing aspects, and leached soils facilitated productivity accumulation, whereas areas with high elevation and steep slopes exhibited markedly lower productivity. Moderate human disturbance contributed to sustaining and enhancing NPP. (4) Factor detection results indicated that elevation, mean annual temperature, and land use were the dominant drivers of spatial heterogeneity when considering all natural and anthropogenic variables. Their interactions further enhanced explanatory power, particularly the interaction between elevation and climatic factors. Overall, these findings reveal the complex spatiotemporal characteristics and multi-factorial controls of vegetation productivity in the GPNP and provide scientific guidance for strengthening habitat conservation, improving ecological restoration planning, and supporting adaptive vegetation management within the national park systems. Full article
Show Figures

Figure 1

16 pages, 3184 KB  
Article
Substrate and Soil Temperatures in Passive Mediterranean Greenhouse Crops
by Santiago Bonachela, María Cruz Sánchez-Guerrero, Santiago Vélez-Piedrahita, Francisco Gabriel Sánchez-Martín and Joaquín Hernández
Horticulturae 2025, 11(12), 1473; https://doi.org/10.3390/horticulturae11121473 - 5 Dec 2025
Viewed by 219
Abstract
Substrate and soil temperatures were analyzed throughout 14 representative fruit–vegetable crop cycles and treatments grown in low-cost Mediterranean greenhouses, mostly around the cold winter period. The mean daily temperatures of most common substrates (perlite and coconut-coir bags) were lower (between 0.9 and 3.0 [...] Read more.
Substrate and soil temperatures were analyzed throughout 14 representative fruit–vegetable crop cycles and treatments grown in low-cost Mediterranean greenhouses, mostly around the cold winter period. The mean daily temperatures of most common substrates (perlite and coconut-coir bags) were lower (between 0.9 and 3.0 °C) and more variable than root zone temperatures of the most common soil (enarenado soil) throughout all crop cycles and treatments studied, particularly during the cold period. The mean daily temperature of the perlite and coconut-coir bags was low (around 15 °C) during most of the cold periods, and the minimum daily temperature was very low (around 12 °C) during some crop periods. These low temperatures are generally considered suboptimal for greenhouse production. The seasonal dynamics of the minimum and mean daily temperature of the substrate bags were similar to those observed for the mean daily greenhouse air temperature. The minimum daily temperature of substrate bags was close to the mean daily greenhouse air temperature for all the studied crop cycles. A simple and practical relationship was found for predicting mean daily temperatures of substrate bags from mean daily greenhouse air temperatures (MAE = 0.87 °C; RMSE = 1.15 °C). A substantial spatial and temporal variation in the hourly temperature was found in the cross-section of the coconut-coir bag, but not for the mean daily temperature. No differences were found for the mean daily temperature along the longitudinal section of the bag. In general, representative measurements of the coconut-coir bag can be taken by installing the sensors horizontally and especially vertically around the middle part of the bag. Full article
(This article belongs to the Section Protected Culture)
Show Figures

Graphical abstract

20 pages, 9178 KB  
Article
Graph-Based Relaxation for Over-Normalization Avoidance in Reflectance Normalization of Multi-Temporal Satellite Imagery
by Gabriel Yedaya Immanuel Ryadi, Chao-Hung Lin and Bo-Yi Lin
Remote Sens. 2025, 17(23), 3877; https://doi.org/10.3390/rs17233877 - 29 Nov 2025
Viewed by 178
Abstract
Reflectance normalization is critical for minimizing temporal discrepancies and facilitating reliable multi-temporal satellite analysis. However, this process is challenged by the risks of under-normalization and over-normalization, which stem from the inherent complexities of varying atmospheric conditions, data acquisition, and environmental dynamics. Under-normalization occurs [...] Read more.
Reflectance normalization is critical for minimizing temporal discrepancies and facilitating reliable multi-temporal satellite analysis. However, this process is challenged by the risks of under-normalization and over-normalization, which stem from the inherent complexities of varying atmospheric conditions, data acquisition, and environmental dynamics. Under-normalization occurs when multi-temporal variations are insufficiently corrected, resulting in temporal reflectance inconsistencies. Over-normalization arises when overly aggressive adjustments suppress meaningful variability, such as seasonal and phenological patterns, thereby compromising data integrity. Effectively addressing these challenges is essential for preserving the spatial and temporal fidelity of satellite imagery, which is crucial for applications such as environmental monitoring and long-term change analysis. This study introduces a novel graph-based relaxation for reflectance normalization aimed at addressing issues of under- and over-normalization through a two-stage structural normalization strategy: intra-normalization and inter-normalization. A graph structure represents adjacency and similarity among image instances, enabling an iterative relaxation process to adjust reflectance values. In the proposed framework, the intra-normalization stage aligns images within the same reflectance group to preserve temporally local reflectance patterns, while the inter-normalization stage harmonizes reflectance across different groups, ensuring smooth temporal transitions and maintaining essential temporal variability. Experimental results with the metrics root mean squared error (RMSE) and Structural Similarity Index Measure (SSIM) demonstrate the effectiveness of the proposed method. Specifically, the proposed method achieves around 37% improvement measured by RMSE in the transition of two adjacent image groups compared with related normalization methods. Graph-based relaxation preserves seasonal dynamics, ensures smooth transitions, and improves vegetation indices, making it suitable for both short-term and long-term environmental change analysis. Full article
Show Figures

Figure 1

20 pages, 6223 KB  
Article
Research on Vegetation Dynamics and Driving Mechanisms in Karst Desertified Areas Integrating Remote Sensing and Multi-Source Data
by Jimin Tang, Yifei Liu, Yan Wang, Jiangxia Ye, Xiaojie Yin, Zhexiu Yu and Chao Zhang
Agriculture 2025, 15(23), 2464; https://doi.org/10.3390/agriculture15232464 - 27 Nov 2025
Viewed by 272
Abstract
Rocky desertification severely restricts socio-economic development in the karst regions. However, assessments linking karst rocky desertification and NPP changes over the long term and at high resolution are limited. This study aims to reveal the spatiotemporal patterns and driving mechanisms of NPP changes [...] Read more.
Rocky desertification severely restricts socio-economic development in the karst regions. However, assessments linking karst rocky desertification and NPP changes over the long term and at high resolution are limited. This study aims to reveal the spatiotemporal patterns and driving mechanisms of NPP changes in Wenshan Prefecture, addressing the scientific gap in quantitative process research and mechanism identification in karst desertification areas. We estimated vegetation NPP from 2000 to 2020 using remote sensing data and the CASA model. The Theil–Sen trend analysis and Mann–Kendall test were applied to assess temporal variation, while a Geographical Detector identified the dominant natural and human factors and their interactions shaping NPP spatial patterns. Our results showed that NPP increased overall by 4.07 gC m−2 a−1, alongside a general decline in rocky desertification. The most significant improvement occurred between 2010 and 2015, when rocky desertification shrank by 2224 km2 and the dynamic rate reached 1.42%. Mean NPP reached 1057 gC m−2 a−1, with a “northwest high–southeast low” spatial pattern, and 77% of the region showed significant increases. Rocky desertification was most severe at elevations between 1000 and 2000 m. In the karst region, NPP is mainly controlled by natural factors, with soil depth and slope being the strongest influences. Human activity had the largest negative impact, and most factors interacted synergistically, where hydrothermal gradients and human disturbances more strongly suppressed NPP on steep, thin slopes than individually expected. These findings provide robust scientific evidence and practical decision-making support for ecological restoration, rocky desertification control and long-term sustainable development in Wenshan and other karst regions, highlighting the importance of continuous monitoring and adaptive management strategies to consolidate restoration achievements and guide future land-use planning and regional ecological policy. Full article
(This article belongs to the Section Artificial Intelligence and Digital Agriculture)
Show Figures

Figure 1

24 pages, 11289 KB  
Article
Vegetation Coverage Evolution Mechanism and Driving Factors in Dongting Lake Basin (China), 2000 to 2020
by Taohong Zou, Yuqiu Jia, Peng Chen and Yaxuan Chang
Sustainability 2025, 17(23), 10543; https://doi.org/10.3390/su172310543 - 25 Nov 2025
Viewed by 189
Abstract
The Dongting Lake Basin (DLB), a region of key importance in the national project of the Yangtze River Protection and Economic Belt Construction, experienced dramatic land use changes caused by anthropogenic disturbances and climate change. Understanding vegetation dynamics is crucial for improving ecosystem [...] Read more.
The Dongting Lake Basin (DLB), a region of key importance in the national project of the Yangtze River Protection and Economic Belt Construction, experienced dramatic land use changes caused by anthropogenic disturbances and climate change. Understanding vegetation dynamics is crucial for improving ecosystem structure and function and environmental sustainability. Here, a long-term (2000–2020) Normalized Difference Vegetation Index (NDVI) dataset, integrated with multiple statistical methods, was applied to investigate the spatiotemporal characteristics of vegetation coverage in the DLB. The Geodetector model and partial correlation analysis were then applied to determine the main factors affecting spatial and temporal vegetation coverage change. The results showed the following: (1) The DLB showed an overall increasing NDVI at a rate of 0.37% per year from 2000 to 2020; NDVI dynamics shifted in 2010, changing from a slow to a significant increase. The seasonal average NDVI increased differently among the four seasons, in the following descending order: winter (0.56%) > spring (0.22%) > summer (0.17%) > autumn (0.05%). (2) The area with an upward NDVI trend was primarily distributed in the forest zones in the eastern and western parts, accounting for 87.55% of the total area, whereas the area with a decreasing trend was mainly clustered in the northern plains of the DLB, accounting for 6.27% of the total area. (3) The annual variation rate of the NDVI during 2010–2020 was faster than that from 2000 to 2010; the gains and losses of the transmission area were varied among different vegetation levels. (4) The DEM and slope comprised a stronger influence on the NDVI spatial variation, while the annual average temperature was the controlling climate factor, with a q-value of 26.09%. The interaction of each independent factor showed a strengthening effect for explaining the spatial variability of the NDVI. (5) Climatic factors exerted a positive correlation with the NDVI, and the temperature had a stronger influence on vegetation coverage change than that of precipitation. These results can guide the development of ecosystem models to enhance their predictive accuracy, which can provide a scientific basis for the sustainable management of vegetation resources. Full article
(This article belongs to the Section Sustainable Forestry)
Show Figures

Figure 1

18 pages, 1859 KB  
Article
Spatio-Temporal Analysis of Structural Sediment Connectivity in a Dryland Catchment of the Pamir Mountains
by Haniyeh Asadi, Roy C. Sidle and Arnaud Caiserman
Water 2025, 17(22), 3302; https://doi.org/10.3390/w17223302 - 18 Nov 2025
Viewed by 425
Abstract
Sediment connectivity constitutes a valuable metric to assess the most likely areas of sediment transport, providing a preliminary estimate of the areas to be prioritized for sediment control interventions. Assessment spatio-temporal variability in sediment connectivity can help decrease uncertainties in interpreting sediment transport [...] Read more.
Sediment connectivity constitutes a valuable metric to assess the most likely areas of sediment transport, providing a preliminary estimate of the areas to be prioritized for sediment control interventions. Assessment spatio-temporal variability in sediment connectivity can help decrease uncertainties in interpreting sediment transport and sediment yield within a catchment. In this regard, we evaluated variations in the index of sediment connectivity (IC) based on a well-established approach in the Gunt River catchment. To achieve a more effective assessment of the temporal variations in IC, we considered changes in surface soil moisture (SSM) along with normalized difference vegetation index (NDVI) in July 2015 and 2024. Also, to better represent and more accurately assess IC within this large catchment (13,700 km2), we applied weighted mean IC values (as a novel metric) based on iso-IC lines. Our results indicate that among the environmental factors affecting IC, including SSM, slope gradient, elevation, and NDVI, SSM is the most influential in such cold, dry mountainous catchments. Also, the findings demonstrated a 38.5% increase in the extent of the medium-high and high categories of IC from 2015 to 2024. Temporal monitoring of IC revealed pronounced variations in the western (close to the outlet) and eastern portions of the catchment, likely associated with the effects of climate warming on sediment connectivity. These results emphasize that SSM is a key parameter for assessing IC in the snow- and ice-melt-dominated dry mountainous catchment. Accordingly, temporal and spatial monitoring of SSM can allow implementation of more effective measures for reducing sediment transfer at the catchment scale. Full article
(This article belongs to the Special Issue Flow Dynamics and Sediment Transport in Rivers and Coasts)
Show Figures

Figure 1

32 pages, 23108 KB  
Article
Reconstruction of SMAP Soil Moisture Data Based on Residual Autoencoder Network with Convolutional Feature Extraction
by Yaojie Liu, Haoyu Fan, Yan Jin and Shaonan Zhu
Remote Sens. 2025, 17(22), 3729; https://doi.org/10.3390/rs17223729 - 16 Nov 2025
Viewed by 582
Abstract
Satellite-based surface soil moisture (SSM) products often contain spatial gaps and reduced reliability due to variations in vegetation cover and type, complex surface conditions such as heterogeneous topography and soil texture, or inherent limitations of satellite microwave sensors. This study presents a residual [...] Read more.
Satellite-based surface soil moisture (SSM) products often contain spatial gaps and reduced reliability due to variations in vegetation cover and type, complex surface conditions such as heterogeneous topography and soil texture, or inherent limitations of satellite microwave sensors. This study presents a residual autoencoder model named TsSMNet, which combines multi-source remote sensing inputs with statistical features derived from SSM time series, including central tendency, dispersion and variability, extremes and distribution, temporal dynamics, magnitude and energy, and count-based features, to reconstruct gap-free SSM estimates. The model incorporates one-dimensional convolutional layers to efficiently capture local continuity patterns within the flattened SSM representations while reducing parameter complexity. TsSMNet was used to generate seamless 9 km SSM data over China from 2016 to 2022, based on the SMAP product, and was evaluated using in situ observations from six networks in the International Soil Moisture Network. The results show that TsSMNet outperforms AutoResNet, Transformer, Random Forest and XGBoost models, reducing the root mean square error (RMSE) by an average of 17.1 percent and achieving a mean RMSE of 0.09 cm3/cm3. Feature importance analysis highlights the strong contribution of temporal predictors to model accuracy. Compared to its variant without time-series features, TsSMNet provides better spatial representation, improved consistency with in situ temporal observations, and enhanced evaluation metrics. The reconstructed product offers improved spatial coverage and continuity relative to the original SMAP data, supporting broader applications in regional-scale hydrological analysis and large-scale climate, ecological, and agricultural studies. Full article
Show Figures

Graphical abstract

20 pages, 11111 KB  
Article
Long-Term Trends and Seasonally Resolved Drivers of Surface Albedo Across China Using GTWR
by Jiqiang Niu, Ziming Wang, Hao Lin, Hongrui Li, Zijian Liu, Mengyang Li, Xiaodong Deng, Bohan Wang, Tong Wu and Junkuan Zhu
Atmosphere 2025, 16(11), 1287; https://doi.org/10.3390/atmos16111287 - 12 Nov 2025
Viewed by 411
Abstract
Amid accelerating global warming, surface albedo is a key indicator and regulator of how Earth’s surface reflects solar radiation, directly affecting the planetary radiation balance and climate. In this paper, we combined MODIS shortwave albedo (MCD43A3, 500 m), MODIS NDVI (MOD13A3, 1 km; [...] Read more.
Amid accelerating global warming, surface albedo is a key indicator and regulator of how Earth’s surface reflects solar radiation, directly affecting the planetary radiation balance and climate. In this paper, we combined MODIS shortwave albedo (MCD43A3, 500 m), MODIS NDVI (MOD13A3, 1 km; NDVI = normalized difference vegetation index) and 1-km gridded meteorological data to analyze the spatiotemporal variations of surface albedo across China during 2001–2020 at a gridded scale. Temporal trends were quantified with the Theil–Sen slope and the Mann–Kendall test, and the seasonal contributions of NDVI, air temperature, and precipitation were assessed with a geographically and temporally weighted regression (GTWR) model. China’s mean annual shortwave albedo was 0.186 and showed a significant decline. Attribution indicates NDVI is the dominant driver (~48% of total change), followed by temperature (~27%) and precipitation (~25%). Seasonally, NDVI explains ~43.94–52.02% of the variation, ~26.81–28.07% of the temperature, and ~21.17–28.57% of the precipitation. Clear spatial patterns emerge. In high-latitude and high-elevation snow-dominated regions, albedo tends to decrease with warmer conditions and increase with greater precipitation. In much of eastern China, albedo is generally positively associated with temperature and negatively with precipitation. NDVI—reflecting vegetation greenness and canopy structure—captures the effects of vegetation greening, canopy densification, and land-cover change that reduce surface reflectivity by enhancing shortwave absorption. Temperature and precipitation affect albedo primarily by regulating vegetation growth. This study goes beyond correlation mapping by combining robust trend detection (Theil–Sen + MK) with GTWR to resolve seasonally varying, non-stationary controls on albedo at 1-km over 20 years. By explicitly separating snow-covered and snow-free conditions, we quantify how NDVI, temperature, and precipitation contributions shift across climate zones and seasons, providing a reproducible, national-scale attribution that can inform ecosystem restoration and land-surface radiative management. Full article
Show Figures

Figure 1

20 pages, 7475 KB  
Article
Trade-Offs in Aboveground and Soil Mangrove Carbon Stocks Under Species Introduction: Remote Sensing Reveals Temporal Divergence in Restoration Trajectories
by Zongyang Wang, Fen Guo, Xuelan Zeng, Zixun Huang, Honghao Xie, Xiaoguang Ouyang and Yuan Zhang
Forests 2025, 16(11), 1696; https://doi.org/10.3390/f16111696 - 7 Nov 2025
Viewed by 500
Abstract
Mangrove ecosystems play a critical role in global carbon cycling, serving as significant carbon sinks by storing carbon in both aboveground biomass (ACG) and soil carbon stock (SOC). However, the temporal dynamics of ACG and SOC, as well as their spatial variations across [...] Read more.
Mangrove ecosystems play a critical role in global carbon cycling, serving as significant carbon sinks by storing carbon in both aboveground biomass (ACG) and soil carbon stock (SOC). However, the temporal dynamics of ACG and SOC, as well as their spatial variations across different mangrove age stages, remain poorly understood, particularly under the influence of introduced species such as Sonneratia apetala Buch.-Ham. To address these gaps, our study used a long-term series of NDVI from Landsat (from 1990 to 2024) and the mangrove product of China (1990, 2000, 2010, and 2018) to estimate the mangrove age stage (Stage I 10–24 years, Stage II 24–34 years, and Stage III > 34 years). UAV-LiDAR and in-situ surveys were applied to measure mangrove canopy height to calculate ACG and measure the belowground soil carbon stock, respectively. Combined with the mangrove age stage, ACG, and SOC, our results reveal that ACG accumulates rapidly in younger mangroves dominated by Sonneratia apetala, peaking early (<20 years) and then stabilizing as mangroves, indicating that the introduction of Sonneratia apetala changed the increase in ACG with age. In contrast, SOC increases more gradually over time, with only older mangroves (over 30 years) storing significantly higher SOC. Root structure, TN, and TP were sensitive to the SOC. The different root structures (pneumatophore, plank, pop, and knee root) had different SOC results, and the pneumatophore had the lowest SOC. Remote sensing data revealed that the introduction of Sonneratia apetala altered the species composition of younger mangroves, leading to its predominance within these ecosystems. This shift in species composition not only altered the temporal dynamics of aboveground carbon (ACG) but also favored pneumatophore-dominated root structures, which were associated with the lowest soil organic carbon (SOC). Consequently, younger stands may require more time to accumulate SOC to levels comparable to older mangrove forests. These results suggest that restoration targets for vegetation carbon and soil carbon should be set on different timelines, explicitly accounting for stand age, species composition, and root functional types. Full article
Show Figures

Figure 1

22 pages, 7609 KB  
Article
Monitoring Long-Term Vegetation Dynamics in the Hulun Lake Basin of Northeastern China Through Greening and Browning Speeds from 1982 to 2015
by Nan Shan, Tie Wang, Qian Zhang, Jinqi Gong, Mingzhu He, Xiaokang Zhang, Xuehe Lu and Feng Qiu
Plants 2025, 14(21), 3394; https://doi.org/10.3390/plants14213394 - 5 Nov 2025
Cited by 1 | Viewed by 367
Abstract
Vegetation dynamics in the Hulun Lake Basin (HLB), a vulnerable grassland–wetland–forest transition zone in Northeastern Inner Mongolia, North China, are sensitive to climate change, but traditional greenness metrics like the normalized difference vegetation index (NDVI) lack process-level insights. Using the GIMMS NDVI3g dataset [...] Read more.
Vegetation dynamics in the Hulun Lake Basin (HLB), a vulnerable grassland–wetland–forest transition zone in Northeastern Inner Mongolia, North China, are sensitive to climate change, but traditional greenness metrics like the normalized difference vegetation index (NDVI) lack process-level insights. Using the GIMMS NDVI3g dataset (1982–2015) and meteorological data, this study analyzed the spatiotemporal dynamics of the NDVI and vegetation NDVI change rate (VNDVI)—a metric quantifying greening and browning speeds via NDVI temporal variation—employing linear regression and partial correlation analyses. The NDVI exhibited an overall significant upward trend of +0.0028 yr−1 (p < 0.05) across more than 70% of the basin, indicating a persistent greening tendency. The VNDVI revealed an accelerated spring greening rate of +0.8% yr−1 (p < 0.05) and a slowed autumn browning rate of −0.6% yr−1 (p < 0.05), reflecting an extended growing season. Spatial correlation analysis showed that the temperature dominated spring greening (r = 0.52), precipitation governed summer growth (r = 0.64), and solar radiation modulated autumn senescence (r = 0.38). Compared with the NDVI, the VNDVI was more sensitive to both climatic fluctuations and anthropogenic disturbances, highlighting its utility in capturing process-level vegetation dynamics. These findings provide quantitative insights into the mechanisms of vegetation change in the HLB and offer scientific support for ecological conservation in North China’s grassland–forest ecotone. Full article
(This article belongs to the Section Plant Ecology)
Show Figures

Figure 1

23 pages, 3843 KB  
Article
Monitoring Maize Yield Variability over Space and Time with Unsupervised Satellite Imagery Features
by Cullen Molitor, Juliet Cohen, Grace Lewin, Steven Cognac, Protensia Hadunka, Jonathan Proctor and Tamma Carleton
Remote Sens. 2025, 17(21), 3641; https://doi.org/10.3390/rs17213641 - 4 Nov 2025
Viewed by 832
Abstract
Recent innovations in task-agnostic imagery featurization have lowered the computational costs of using machine learning to predict ground conditions from satellite imagery. These methods hold particular promise for the development of imagery-based monitoring systems in low-income regions, where data and computational resources can [...] Read more.
Recent innovations in task-agnostic imagery featurization have lowered the computational costs of using machine learning to predict ground conditions from satellite imagery. These methods hold particular promise for the development of imagery-based monitoring systems in low-income regions, where data and computational resources can be limited. However, these relatively simple prediction pipelines have not been evaluated in developing-country contexts over time, limiting our understanding of their performance in practice. Here, we compute task-agnostic random convolutional features from satellite imagery and use linear ridge regression models to predict maize yields over space and time in Zambia, a country prone to severe droughts and crop failure. Leveraging Landsat and Sentinel 2 satellite constellations, in combination with district-level yield data, our model explains 83% of the out-of-sample maize yield variation from 2016 to 2021, slightly outperforming a model trained on Normalized Difference Vegetation Index (NDVI) features, a common remote sensing approach used by practitioners to monitor crop health. Our approach maintains an R2 score of 0.74 when predicting temporal variation alone, while the performance of the NDVI-based approach drops to an R2 of 0.39. Our findings imply that this task-agnostic featurization can be used to predict spatial and temporal variation in agricultural outcomes, even in contexts with limited ground truth data. More broadly, these results point to imagery-based monitoring as a promising tool for assisting agricultural planning and food security, even in contexts where computationally expensive methodologies remain out of reach. Full article
(This article belongs to the Special Issue Crop Yield Prediction Using Remote Sensing Techniques)
Show Figures

Figure 1

23 pages, 31410 KB  
Article
Spatiotemporal Evolution and Driving Factors of the Cooling Capacity of Urban Green Spaces in Beijing over the Past Four Decades
by Chao Wang, Chaobin Yang, Huaiqing Wang and Lilong Yang
Sustainability 2025, 17(21), 9500; https://doi.org/10.3390/su17219500 - 25 Oct 2025
Viewed by 485
Abstract
Urban green spaces (UGS) are crucial for mitigating rising urban land surface temperatures (LST). Rapid urbanization presents unresolved questions regarding (a) seasonal variations in the spatial co-distribution of UGS and LST, (b) the temporal and spatial changes in UGS cooling, and (c) the [...] Read more.
Urban green spaces (UGS) are crucial for mitigating rising urban land surface temperatures (LST). Rapid urbanization presents unresolved questions regarding (a) seasonal variations in the spatial co-distribution of UGS and LST, (b) the temporal and spatial changes in UGS cooling, and (c) the dominant factors driving cooling effects during different periods. This study focuses on Beijing’s Fifth Ring Road area, utilizing nearly 40 years of Landsat remote sensing imagery and land cover data. We propose a novel nine-square grid spatial analysis approach that integrates LST retrieval, profile line analysis, and the XGBoost algorithm to investigate the long-term spatiotemporal evolution of UGS cooling capacity and its driving mechanisms. The results demonstrate three key findings: (1) Strong seasonal divergence in UGS-LST correlation: A significant negative correlation dominates during summer months (June–August), whereas winter (December–February) exhibits marked weakening of this relationship, with localized positive correlations indicating thermal inversion effects. (2) Dynamic evolution of cooling capacity under urbanization: Urban expansion has reconfigured UGS spatial patterns, with a cooling capacity of UGS showing an “enhancement–decline–enhancement” trend over time. Analysis through machine learning on the significance of landscape metrics revealed that scale-related metrics play a dominant role in the early stage of urbanization, while the focus shifts to quality-related metrics in the later phase. (3) Optimal cooling efficiency threshold: Maximum per-unit-area cooling intensity occurs at 10–20% UGS coverage, yielding an average LST reduction of approximately 1 °C relative to non-vegetated surfaces. This study elucidates the spatiotemporal evolution of UGS cooling effects during urbanization, establishing a robust scientific foundation for optimizing green space configuration and enhancing urban climate resilience. Full article
Show Figures

Figure 1

17 pages, 14104 KB  
Article
An Interpretable Machine Learning Approach to Remote Sensing-Based Estimation of Hourly Agricultural Evapotranspiration in Drylands
by Qifeng Zhuang, Weiwei Zhu, Nana Yan, Ghaleb Faour, Mariam Ibrahim and Liang Zhu
Agriculture 2025, 15(21), 2193; https://doi.org/10.3390/agriculture15212193 - 22 Oct 2025
Viewed by 947
Abstract
Obtaining evapotranspiration (ET) estimates at high spatiotemporal resolution is a fundamental prerequisite for clarifying the patterns and controlling factors of agricultural water consumption in drylands. However, most existing ET products are provided at daily or coarser spatial–temporal scales, which limits the ability to [...] Read more.
Obtaining evapotranspiration (ET) estimates at high spatiotemporal resolution is a fundamental prerequisite for clarifying the patterns and controlling factors of agricultural water consumption in drylands. However, most existing ET products are provided at daily or coarser spatial–temporal scales, which limits the ability to capture short-term variations in crop water use. This study developed a novel hourly 10-m ET estimation method that combines remote sensing with machine learning techniques. The approach was evaluated using agricultural sites in two arid regions: the Heihe River Basin in China and the Bekaa Valley in Lebanon. By integrating hourly eddy covariance measurements, Sentinel-2 reflectance data, and ERA5-Land reanalysis meteorological variables, we constructed an XGBoost-based modeling framework for hourly ET estimation, and incorporated the SHapley Additive exPlanations (SHAP) method for model interpretability analysis. Results demonstrated that the model achieved strong performance across all sites (R2 = 0.86–0.91, RMSE = 0.04–0.05 mm·h−1). Additional metrics, including the Nash–Sutcliffe efficiency coefficient (NSE) and percent bias (PBIAS), further confirmed the model’s robustness. Interpreting the model with SHAP highlighted net radiation (Rn), 2-m temperature (t2m), and near-infrared reflectance of vegetation (NIRv) as the dominant factors controlling hourly ET variations. Significant interaction effects, such as Rn × NIRv and Rn × t2m, were also identified, revealing the modulation mechanism of energy, vegetation status and temperature coupling on hourly ET. The study offers a practical workflow and an interpretable framework for generating high-resolution ET maps, thereby supporting regional water accounting and land–atmosphere interaction research. Full article
(This article belongs to the Section Artificial Intelligence and Digital Agriculture)
Show Figures

Figure 1

27 pages, 9555 KB  
Article
Quantifying the Spatiotemporal Dynamics and Driving Factors of Lake Turbidity in Northeast China from 1985 to 2023
by Yue Ma, Qiang Zheng, Kaishan Song, Chong Fang, Sijia Li, Qiuyue Chen and Yongchao Ma
Remote Sens. 2025, 17(20), 3481; https://doi.org/10.3390/rs17203481 - 18 Oct 2025
Viewed by 462
Abstract
Turbidity is a crucial indicator for evaluating water quality. This study obtained the long-term spatial distribution of water turbidity across Northeast China from 1985 to 2023. A combination of the geographically and temporally weighted regression (GTWR) model, the Lindeman, Merenda, and Gold (LMG) [...] Read more.
Turbidity is a crucial indicator for evaluating water quality. This study obtained the long-term spatial distribution of water turbidity across Northeast China from 1985 to 2023. A combination of the geographically and temporally weighted regression (GTWR) model, the Lindeman, Merenda, and Gold (LMG) method, and statistical data analysis methods were employed to quantify the spatiotemporal impacts of driving factors on turbidity changes. The stepwise regression model was able to credibly estimate turbidity, achieving a low RMSE of 18.432 Nephelometric Turbidity Units (NTU). Temporal variations in turbidity showed that 69.90% of lakes exhibited a decreasing trend. Spatial variations revealed that lakes with significantly increased turbidity were predominantly concentrated in the Songnen and Sanjiang Plains, whereas lakes with lower turbidity were situated in the Eastern Mountains regions and Liaohe Plain. Temporal changes were closely associated with socioeconomic development and anthropogenic interventions implemented by governments on the aquatic environment. Vegetation coverage, precipitation, and elevation demonstrated significant contributions (exceeding 16.39%) to turbidity variations in the Lesser Khingan and Eastern Mountains regions, where natural factors played a more dominant role. In contrast, cropland area, wind speed, and impervious surface area showed higher contribution rates of above 14.00% in the Songnen, Sanjiang, and Liaohe Plains, where anthropogenic factors were dominant. These findings provide valuable insights for informed decision-making in water environmental management in Northeast China and facilitate the aquatic ecosystem sustainability under human activities and climate change. Full article
Show Figures

Figure 1

Back to TopTop