Vegetation Coverage Evolution Mechanism and Driving Factors in Dongting Lake Basin (China), 2000 to 2020
Abstract
1. Introduction
2. Materials and Methods
2.1. Study Area
2.2. Data Source and Processing
2.3. Methods
2.3.1. Trend Analysis
2.3.2. Mann–Kendall Mutation Test
2.3.3. Coefficient of Variation
2.3.4. Intensity Analysis
2.3.5. Spatial Autocorrelation Analysis
2.3.6. Geodetector
2.3.7. Partial Correlation Analysis
2.3.8. Validation and Accuracy Assessment
3. Results
3.1. Spatial Distribution and Characteristic of Changing Trends of NDVI
3.2. Temproal Change of NDVI
3.2.1. Inter-Annual Changes in NDVI
3.2.2. Intra-Annual Variations in NDVI
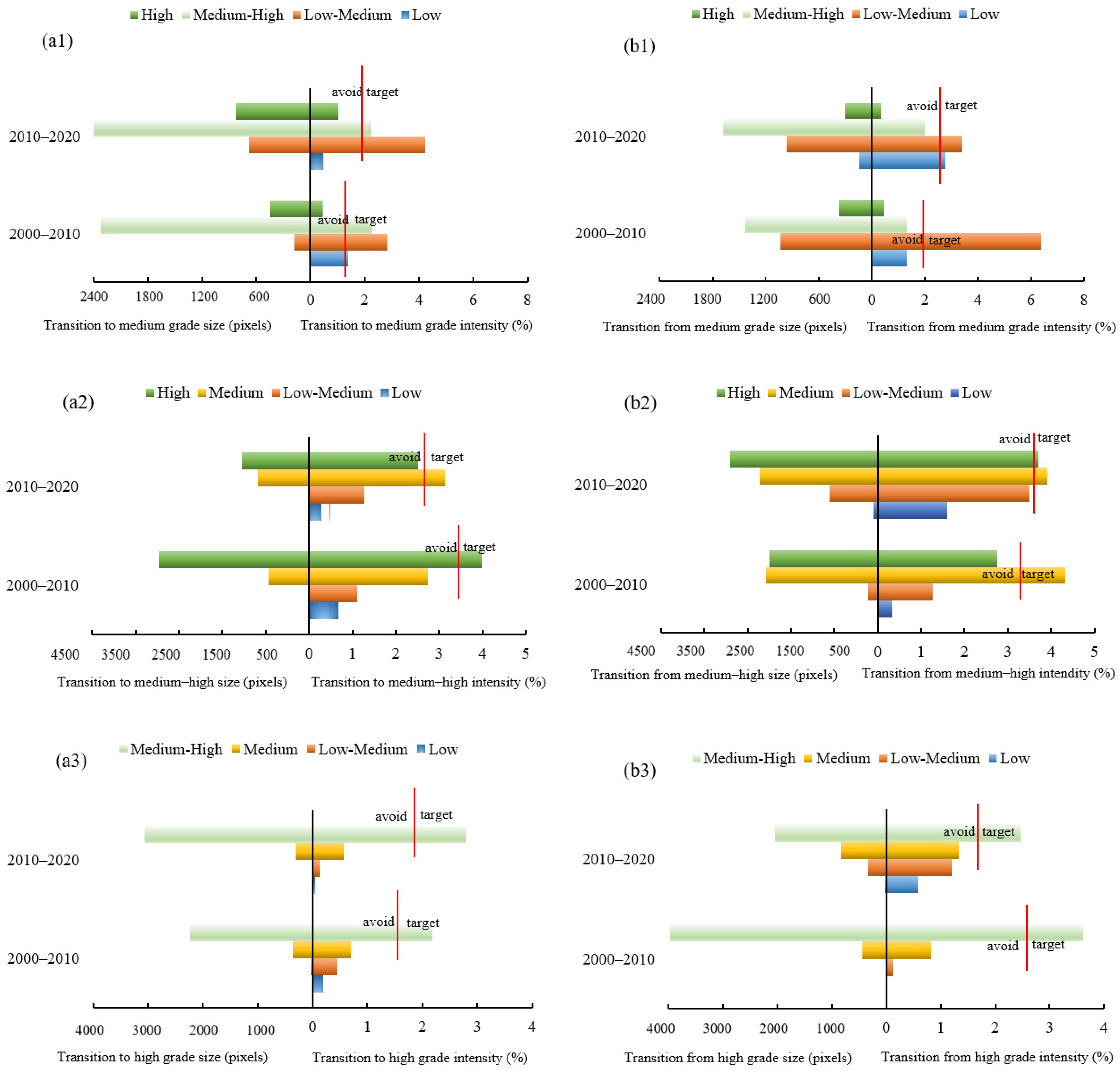
3.3. Results of the Intensity Analysis
3.4. Spatial Distribution Characteristic in DLB
3.5. Influencing Factors of NDVI Spatial Variations
3.6. Relationship Between Climate Change and NDVI Change
4. Discussion
4.1. Spatial and Temporal Change in NDVI
4.2. Response of Vegetation Coverage Change on Climate Change
4.3. Research Limitations
5. Conclusions
- (1)
- Spatially, vegetation coverage in the DLB was maintained in good condition, with higher NDVI levels in the western and eastern regions and relatively lower coverage in the central and northern areas. Temporal trends showed that, from 2000 to 2020, the average annual NDVI showed a generally increasing trend, with fluctuations in 2010; areas with an upward NDVI trend accounted for 87.55% and were mainly distributed in the forest area.
- (2)
- The seasonal average NDVI showed different dynamic changes during the study period, and the NDVI in winter showed a more rapidly changing trend compared with those of the other three seasons. Abrupt changes in the NDVI in spring, summer, autumn, and winter occurred in 2003, 2006, 2000, and 2006, respectively.
- (3)
- Based on the intensity analysis, vegetation growth was primarily characterized by an increase in medium–high and low–medium vegetation from 2000 to 2020, whereas areas with high NDVI values experienced some decline. Contrastingly, 2010–2020 saw a dominant expansion of high NDVI vegetation accompanied by a reduction in low–medium and low NDVI vegetation.
- (4)
- According to the Geodetector results, topographic factors were the primary factors influencing vegetation coverage differentiation, and the DEM comprised a stronger explanatory power, with a q-value of 32.15%. Among the climatic factors, the annual average temperature exhibited a higher explanatory power (26.09%) for vegetation coverage, whereas precipitation demonstrated relatively weaker effects (11.08%). Furthermore, the interaction of each pair of factors strengthened the explanatory power of vegetation variations, among which the interaction between DEM and population density had the highest q-value. This implies that the interaction of DEM and population density exhibited great effects on the spatial distribution of the NDVI in the DBL.
- (5)
- Vegetation coverage change responded positively to climate changes in the DBL during 2000–2020. The partial correlation coefficient of the NDVI with temperature is greater than that with precipitation, which implies that the temperature is the main factor affecting vegetation coverage dynamics during the study period.
Author Contributions
Funding
Institutional Review Board Statement
Informed Consent Statement
Data Availability Statement
Conflicts of Interest
References
- Setiawan, Y.; Yoshino, K.; Prasetyo, L.B. Characterizing the dynamics change of vegetation cover on tropical forestlands using 250 m multi-temporal MODIS EVI. Int. J. Appl. Earth Obs. Geoinf. 2014, 26, 132–144. [Google Scholar] [CrossRef]
- Li, J.; Wang, J.; Zhang, J.; Zhang, J.; Kong, H. Dynamic changes of vegetation coverage in China-Myanmar economic corridor over the past 20 years. Int. J. Appl. Earth Obs. Geoinf. 2021, 102, 102378. [Google Scholar] [CrossRef]
- Lewis, S.L.; Lloyd, J.; Sitch, S.; Mitchard, E.T.A.; Laurance, W.F. Changing ecology of tropical forests: Evidence and drivers. Annu. Rev. Ecol. Evol. Syst. 2009, 40, 529–549. [Google Scholar] [CrossRef]
- Liu, Y.; Li, L.; Chen, X.; Zhang, R.; Yang, J. Temporal-spatial variations and influencing factors of vegetation cover in Xinjiang from 1982 to 2013 based on GIMMS-NDVI3g. Glob. Planet. Change 2018, 169, 145–155. [Google Scholar] [CrossRef]
- Piao, S.; Wang, X.; Ciais, P.; Zhu, B.; Wang, T.; Liu, J. Changes in satellite-derived vegetation growth trend in temperate and boreal Eurasia from 1982 to 2006. Glob. Change Biol. 2011, 17, 3228–3239. [Google Scholar] [CrossRef]
- Arneth, A.; Harrison, S.P.; Zaehle, S.; Tsigaridis, K.; Menon, S.; Bartlein, P.J.; Feichter, J.; Korhola, A.; Kulmala, M.O.D.; Schurgers, G.; et al. Terrestrial biogeochemical feedbacks in the climate system. Nat. Geosci. 2010, 3, 525–532. [Google Scholar] [CrossRef]
- Piao, S.; Yin, G.; Tan, J.; Cheng, L.; Huang, M.; Li, Y.; Liu, R.; Mao, J.; Myneni, R.B.; Peng, S.; et al. Detection and attribution of vegetation greening trend in China over the last 30 year. Glob. Change Biol. 2015, 21, 1601–1609. [Google Scholar] [CrossRef]
- Zhang, W.; Wang, L.; Xiang, F.; Qin, W.; Jiang, W. Vegetation dynamics and the relations with climate change at multiple time scales in the Yangtze River and Yellow River Basin, China. Ecol. Indic. 2020, 110, 105892. [Google Scholar] [CrossRef]
- Bai, Y. Analysis of vegetation dynamics in the Qinling-Daba Mountains region from MODIS time series data. Ecol. Indic. 2021, 129, 108029. [Google Scholar] [CrossRef]
- Stow, D.A.; Hope, A.; Mcguire, D.; Verbyla, D.; Gamon, J.; Huemmrich, F.; Houston, S.; Racine, C.; Sturm, M.; Tape, K.; et al. Remote sensing of vegetation and land-cover change in Arctic Tundra Ecosystems. Remote Sens. Environ. 2004, 89, 281–308. [Google Scholar] [CrossRef]
- Tucker, C.J.; Newcomb, W.W.; Los, S.O.; Prince, S.D. Mean and inter-year variation of growing-season normalized difference vegetation index for the Sahel 1981–1989. Int. J. Remote Sens. 1991, 12, 1133–1135. [Google Scholar] [CrossRef]
- Pinzon, J.E.; Tucker, C.J. A Non-Stationary 1981–2012 AVHRR NDVI3g Time Series. Remote Sens. 2014, 6, 6929–6960. [Google Scholar] [CrossRef]
- Eastman, J.; Sangermano, F.; Machado, E.; Rogan, J.; Anyamba, A. Global trends in seasonality of Normalized Difference Vegetation Index (NDVI), 1982–2011. Remote Sens. 2013, 5, 4799–4818. [Google Scholar] [CrossRef]
- Wen, Z.F.; Wu, S.J.; Chen, J.L.; Lu, M.Q. NDVI indicated long-term interannual changes in vegetation activities and their responses to climatic and anthropogenic factors in the Three Gorges Reservoir Region, China. Sci. Total Environ. 2017, 574, 947–959. [Google Scholar] [CrossRef]
- Jiang, W.G.; Yuan, L.H.; Wang, W.J.; Cao, R.; Zhang, Y.F.; Shen, W.M. Spatio-temporal analysis of vegetation variation in the Yellow River Basin. Ecol. Indic. 2015, 51, 117–126. [Google Scholar] [CrossRef]
- Qu, S.; Wang, L.; Lin, A.; Zhu, H.; Yuan, M. What drives the vegetation restoration in Yangtze River basin, China: Climate change or anthropogenic factors? Ecol. Indic. 2018, 90, 438–450. [Google Scholar] [CrossRef]
- Cao, S. Why large-scale afforestation efforts in China have failed to solve the desertification problem. Environ. Sci. Technol. 2008, 42, 1826–1831. [Google Scholar]
- Piao, S.; Nan, H.; Huntingford, C.; Ciais, P.; Friedlingstein, P.; Sitch, S.; Peng, S.; Ahlström, A.; Canadell, J.G.; Cong, N.; et al. Evidence for a weakening relationship between interannual temperature variability and northern vegetation activity. Nat. Commun. 2014, 5, 5018. [Google Scholar] [CrossRef]
- Qi, S.Y.; Chen, S.D.; Long, X.; An, X.X.; Zhang, M. Quantitative contribution of climate change and anthropological activities to vegetation carbon storage in the Dongting Lake basin in the last two decades. Adv. Space Res. 2023, 71, 845–868. [Google Scholar]
- Liu, Y.; Li, J.T.; Yan, D.D.; Chen, L.; Li, M.; Luan, Z.Q. Typical vegetation dynamic and hydrological changes of Dongting Lake wetland from 1985 to 2020. Ecohydrol. Hydrobiol. 2024, 24, 910–919. [Google Scholar] [CrossRef]
- Sun, Y.L.; Shan, M.; Pei, X.R.; Zhang, X.K.; Yang, Y.L. Assessment of the impacts of climate change and human activities on vegetation cover change in the Haihe River basin, China. Phys. Chem. Earth Parts A/B/C 2020, 115, 102834. [Google Scholar]
- Bao, Z.; Zhang, J.; Wang, G.; Guan, T.; Jin, J.; Liu, Y.; Li, M.; Ma, T. The sensitivity of vegetation cover to climate change in multiple climatic zones using machine learning algorithms. Ecol. Indic. 2021, 124, 107443. [Google Scholar] [CrossRef]
- Long, X.; Li, X.; Lin, H.; Zhang, M. Mapping the vegetation distribution and dynamics of a wetland using adaptive-stacking and Google Earth Engine based on multi-source remote sensing data. Int. J. Appl. Earth Obs. Geoinf. 2021, 102, 102453. [Google Scholar] [CrossRef]
- Zhu, S.J.; Feng, W.W.; Zou, B.; Ye, S.C. Spatial-temproal characteristics of 2000–2019 vegetation NPP of the Dongting Lake basin and their driving factors. Remote Sens. Nat. Resour. 2022, 34, 196–206. [Google Scholar]
- Yang, N.; Mo, W.B.; Zhang, X.; Luo, W.J.; Zhang, C.M.; Zhao, Y.L.; Ma, F.F. Analysis of vegetation spatio-temporal variation based on NDVI of east Dongting wetland over the past 30 years. J. Cent. South Univ. For. Technol. 2019, 39, 19–30. [Google Scholar]
- Wei, D.; Liu, S.; Wu, Y.; Feng, S.; Gao, H.; Qin, C.; Ren, D.; Tang, W.; Zhang, Y. Impacts of human activities and climate change on water and sediment evolution in four large subtropical river basins in China. Ecol. Indic. 2023, 155, 110958. [Google Scholar] [CrossRef]
- Guo, J.; Guan, H.; Zhang, X. Growing season NDVI variation in the Dongting lake watershed from 1982 to 2010 and the climatic and anthropogenic influences. Resour. Environ. Yangtze Basin 2015, 24, 1305–1314. [Google Scholar]
- Hu, W.; Li, G.; Gao, Z.; Jia, G.; Wang, Z.; Li, Y. Assessment of the impact of the Poplar Ecological Retreat Project on water conservation in the Dongting Lake wetland region using the InVEST model. Sci. Total Environ. 2020, 733, 139423. [Google Scholar]
- Yuan, B.; Fu, L.; Zou, Y.; Zhang, S.; Chen, X.; Li, F.; Deng, Z.; Xie, Y. Spatiotemporal change detection of ecological quality and the associated affecting factors in Dongting Lake Basin, based on RSEI. Clean. Prod. 2021, 302, 126995. [Google Scholar]
- Zou, Y.A.; Zhang, P.Y.; Zhang, S.Q.; Chen, X.S.; Li, F.; Deng, Z.M.; Yang, S.; Zhang, H.; Li, F.Y.; Xie, Y.H. Crucial sites and environmental variables for wintering migratory waterbird population distributions in the natural wetlands in East Dongting Lake, China. Sci. Total Environ. 2019, 655, 147–157. [Google Scholar] [CrossRef]
- Zhao, Y.; Feng, Q. Identifying the spatiotemporal pattern and driving factors of vegetation dynamics in Shaanxi Province, China. Geocarto Int. 2022, 37, 17890–17916. [Google Scholar] [CrossRef]
- Zou, T.; Yoshino, K. Environmental vulnerability evaluation using a spatial principal components approach in the Daxing’anling region, China. Ecol. Indic. 2017, 78, 405–415. [Google Scholar] [CrossRef]
- Yuan, J.; Xu, Y.; Xiang, J.; Wu, L.; Wang, D. Spatiotemporal variation of vegetation coverage and its associated influence factor analysis in the Yangtze River Delta, eastern China. Environ. Sci. Pollut. Res. Int. 2019, 26, 32866–32879. [Google Scholar] [CrossRef]
- Tong, S.; Zhang, J.; Bao, Y.; Lai, Q.; Lian, X.; Li, N.; Bao, Y. Analyzing vegetation dynamic trend on the Mongolian Plateau based on the Hurst exponent and influencing factors from 1982–2013. J. Geogr. Sci 2018, 28, 595–610. [Google Scholar] [CrossRef]
- Liu, X.; Zhu, X.; Pan, Y.; Li, S.; Ma, Y.; Nie, J. Vegetation dynamics in Qinling-Daba Mountains in relation to climate factors between 2000 and 2014. J. Geogr. Sci. 2016, 26, 45–58. [Google Scholar] [CrossRef]
- Duo, A.; Zhao, W.; Qu, X.; Jing, R.; Xiong, K. Spatio-temporal variation of vegetation coverage and its response to climate change in North China plain in the last 33 years. Int. J. Appl. Earth Obs. Geoinf. 2016, 53, 103–117. [Google Scholar]
- Zhou, J.; Jia, L.; Menenti, M. Reconstruction of global MODIS NDVI time series: Performance of Harmonic ANalysis of Time Series (HANTS). Remote Sens. Environ. 2015, 163, 217–228. [Google Scholar] [CrossRef]
- Sen, P.K. Estimates of the regression coefficient based on Kendall’s Tau. J. Am. Stat. Assoc. 1968, 63, 1379–1389. [Google Scholar] [CrossRef]
- Yang, C.; Fu, M.; Feng, D.; Sun, Y.; Zhai, G. Spatiotemporal changes in vegetation cover and its influencing factors in the Loess Plateau of China based on the geographically weighted regression model. Forests 2021, 12, 673. [Google Scholar] [CrossRef]
- Kendall, M.G. Rank Correlation Methods, 4th ed.; Charles Grifin: London, UK, 1975. [Google Scholar]
- Geng, S.B.; Zhang, H.M.; Xie, F.; Li, L.H.; Yang, L. Vegetation dynamics under rapid urbanization in the Guangdong-Hong Kong- Macao Greater Bay area urban agglomeration during the past two decades. Remote Sens. 2022, 14, 3993. [Google Scholar] [CrossRef]
- Ullah, S.; You, Q.; Ullah, W.; Ali, A. Observed changes in precipitation in China-Pakistan economic corridor during 1980–2016. Atmos. Res. 2018, 210, 1–14. [Google Scholar] [CrossRef]
- Xu, J.H. Mathematical Methods in Contemporary Geography; Higher Education Press: Beijing, China, 2002; pp. 37–48. [Google Scholar]
- Qu, S.; Wang, L.; Lin, A.; Yu, D.; Yuan, M.; Li, C.A. Distinguishing the impacts of climate change and anthropogenic factors on vegetation dynamics in the Yangtze River Basin, China. Ecol. Indic. 2020, 108, 105724. [Google Scholar] [CrossRef]
- Aldwaik, S.Z.; Pontius, R.G. Intensity analysis to unify measurements of size and stationarity of land changes by interval, category, and transition. Landsc. Urban Plan. 2012, 106, 103–114. [Google Scholar] [CrossRef]
- Huang, B.Q.; Huang, J.L.; Pontius, R.G.; Tu, Z.S. Comparison of Intensity Analysis and the land use dynamic degrees to measure land changes outside versus inside the coastal zone of Longhai, China. Ecol. Indic. 2018, 89, 336–347. [Google Scholar] [CrossRef]
- Peng, W.F.; Kuang, T.T.; Tao, S. Quantifying influences of natural factors on vegetation NDVI changes based on geographical detector in Sichuan, western China. J. Clean. Prod. 2019, 233, 353–367. [Google Scholar] [CrossRef]
- Zou, T.H.; Chang, Y.X.; Chen, P.; Liu, J.F. Spatial-temporal variations of ecological vulnerability in Jilin Province (China), 2000 to 2018. Ecol. Indic. 2021, 133, 108429. [Google Scholar] [CrossRef]
- Cai, Y.T.; Liu, S.T.; Lin, H. Monitoring the vegetation dynamics in the Dongting Lake wetland from 2000 to 2019 using the BEAST algorithm based on dense Landsat time series. Appl. Sci 2020, 10, 4209. [Google Scholar] [CrossRef]
- Zhang, Y.; Zhang, L.Q.; Wang, J.Y.; Dong, G.C.; Wei, Y.L. Quantitative analysis of NDVI driving factors based on the geographical detector model in the Chengdu-Chongqing region, China. Ecol. Indic. 2023, 155, 110978. [Google Scholar] [CrossRef]
- Zeng, G.J.; Lai, X.; Liang, J.; Huang, L.; Li, X.D.; Long, Y.; Wu, H.P.; Yuan, Y.J. Water level response of east Dongting Lake wetland’s NDVI from 2000 to 2010. J. Hunan Univ. (Nat. Sci.) 2014, 41, 45–52. [Google Scholar]
- Yang, X.; Meng, F.; Fu, P.; Zhang, Y.; Liu, Y. Spatiotemporal change and driving factors of the Eco-Environment quality in the Yangtze River Basin from 2001 to 2019. Ecol. Indic. 2021, 131, 108214. [Google Scholar] [CrossRef]
- Cui, L.; Wang, L.; Qu, S.; Singh, R.P.; Lai, Z.; Yao, R. Spatiotemporal extremes of temperature and precipitation during 1960–2015 in the Yangtze River Basin (China) and impacts on vegetation dynamics. Theor. Appl. Climatol. 2018, 136, 675–692. [Google Scholar] [CrossRef]
- Zhang, M.; Lin, H.; Long, X.; Cai, Y. Analyzing the spatiotemporal pattern and driving factors of wetland vegetation changes using 2000–2019 time-series Landsat data. Sci. Total Environ. 2021, 780, 146615. [Google Scholar] [CrossRef] [PubMed]
- Zhang, Y.; Zhang, C.; Wang, Z.; Chen, Y.; Gang, C.; An, R.; Li, J. Vegetation dynamics and its driving forces from climate change and human activities in the Three-River Source Region, China from 1982 to 2012. Sci. Total Environ. 2016, 563–564, 210–220. [Google Scholar] [CrossRef] [PubMed]
- Zhang, L.; Chen, X.; Cai, X.; Habib, A.S. Spatial-temporal changes of NDVI and their relations with precipitation and temperature in Yangtze River Basin from 1981 to 2001. Geo-Spat. Inf. Sci. 2010, 13, 186–190. [Google Scholar] [CrossRef]
- Zhang, Y.; Shi, J.; Zhang, H.; Wu, B. Spatiotemporal patterns and driving forces of vegetation restoration and degradation in Dongting Lake wetland. Sci. Silvae Sin. 2024, 60, 1–13. [Google Scholar]
- Jian, S.Q.; Shi, S.J.; Cui, J.K.; Zhu, T.S.; Hu, C.H. Study on fractional vegetation cover dynamic in the Yellow River Basin, China from 1901 to 2100. Front. For. Glob. Change 2023, 6, 1157285. [Google Scholar] [CrossRef]
- Liang, Y.; Zhang, Z.Y.; Lu, L.; Cui, X.; Qian, J.K.; Zou, S.B.; Ma, X.L. Trend in satellite-observed vegetation cover and its drivers in the Gannan Plateau, Upper Reaches of the Yellow River, from 2000 to 2020. Remote Sens. 2022, 14, 3849. [Google Scholar] [CrossRef]
- Tao, S.; Peng, W.F.; Xiang, J.Y. Spatiotemporal variations and driving mechanisms of vegetation coverage in the Wumeng Mountainous Area, China. Ecol. Inform. 2022, 70, 101737. [Google Scholar] [CrossRef]
- Liu, L.; Yang, X.; Zhou, H.; Liu, S.; Zhou, L.; Li, X.; Yang, J.; Wu, J. Relationship of root zone soil moisture with solar-induced chlorophyll fluorescence and vegetation indices in winter wheat: A comparative study based on continuous ground-measurements. Ecol. Indic. 2018, 90, 9–17. [Google Scholar] [CrossRef]















| NDVI Categories | Final Year of Time Interval | |||||||
|---|---|---|---|---|---|---|---|---|
| 1 | 2 | 3 | 4 | 5 | Initial Total | Gross Loss | ||
| Initial year of time interval | 1 | 377 | 403 | 139 | 69 | 20 | 1008 | 631 |
| 643 | 146 | 40 | 25 | 4 | 858 | 215 | ||
| 2 | 337 | 3194 | 1785 | 708 | 280 | 6304 | 3110 | |
| 1880 | 5162 | 6835 | 2069 | 209 | 16,155 | 10,993 | ||
| 3 | 114 | 10,310 | 24,009 | 14,345 | 3662 | 52,440 | 28,431 | |
| 1375 | 9612 | 22,774 | 16,798 | 3037 | 53,596 | 30,822 | ||
| 4 | 28 | 2055 | 23,201 | 54,867 | 22,411 | 102,562 | 47,695 | |
| 794 | 9950 | 24,418 | 43,689 | 30,694 | 109,545 | 65,856 | ||
| 5 | 2 | 193 | 4462 | 39,556 | 55,069 | 99,282 | 44,213 | |
| 288 | 3439 | 8293 | 20,439 | 48,983 | 81,442 | 32,459 | ||
| Final Total | 858 | 16,155 | 53,596 | 109,545 | 81,442 | |||
| 4980 | 28,309 | 62,360 | 83,020 | 82,927 | ||||
| Gross Gain | 481 | 12,961 | 29,587 | 54,678 | 26,373 | |||
| 4337 | 23,147 | 39,586 | 39,331 | 33,944 | ||||
| Interaction Types | Description |
|---|---|
| Non-linear enhancement | |
| Independent | |
| Bilinear enhancement | |
| Single-factor enhancement | |
| Non-linear weaken |
| NDVI Grades | 2000–2010 | 2010–2020 |
|---|---|---|
| Low NDVI (LN) | (−) LMN | (+) LMN, MN |
| Low–medium NDVI (LMN) | (+) LN, MN | (+) LN, MN, MHN |
| Medium NDVI (MN) | (+) LMN, MHN, LN | (+) LMN, MHN |
| Medium–high NDVI (MHN) | (−) MN, HN | (−) LMN, MN, HN |
| High NDVI (HN) | (+) MHN | (−) MHN, MN |
| Correlation | NDVI and Temperature (%) | NDVI and Precipitation (%) |
|---|---|---|
| Non-significant positive | 44.95 | 52.23 |
| Significant positive | 36.86 | 28.17 |
| Significant negative | 2.65 | 1.86 |
| Non-significant negative | 15.54 | 17.74 |
Disclaimer/Publisher’s Note: The statements, opinions and data contained in all publications are solely those of the individual author(s) and contributor(s) and not of MDPI and/or the editor(s). MDPI and/or the editor(s) disclaim responsibility for any injury to people or property resulting from any ideas, methods, instructions or products referred to in the content. |
© 2025 by the authors. Licensee MDPI, Basel, Switzerland. This article is an open access article distributed under the terms and conditions of the Creative Commons Attribution (CC BY) license (https://creativecommons.org/licenses/by/4.0/).
Share and Cite
Zou, T.; Jia, Y.; Chen, P.; Chang, Y. Vegetation Coverage Evolution Mechanism and Driving Factors in Dongting Lake Basin (China), 2000 to 2020. Sustainability 2025, 17, 10543. https://doi.org/10.3390/su172310543
Zou T, Jia Y, Chen P, Chang Y. Vegetation Coverage Evolution Mechanism and Driving Factors in Dongting Lake Basin (China), 2000 to 2020. Sustainability. 2025; 17(23):10543. https://doi.org/10.3390/su172310543
Chicago/Turabian StyleZou, Taohong, Yuqiu Jia, Peng Chen, and Yaxuan Chang. 2025. "Vegetation Coverage Evolution Mechanism and Driving Factors in Dongting Lake Basin (China), 2000 to 2020" Sustainability 17, no. 23: 10543. https://doi.org/10.3390/su172310543
APA StyleZou, T., Jia, Y., Chen, P., & Chang, Y. (2025). Vegetation Coverage Evolution Mechanism and Driving Factors in Dongting Lake Basin (China), 2000 to 2020. Sustainability, 17(23), 10543. https://doi.org/10.3390/su172310543
