Sign in to use this feature.

Years

Between: -

Subjects

remove_circle_outline
remove_circle_outline
remove_circle_outline
remove_circle_outline
remove_circle_outline
remove_circle_outline

Journals

Article Types

Countries / Regions

Search Results (21)

Search Parameters:
Keywords = uvaol

Order results
Result details
Results per page
Select all
Export citation of selected articles as:
20 pages, 6127 KB  
Article
Study of the Extraction Process Using Natural Microtalc in the Malaxation Stage and Characterisation of Virgin Olive Oils from Moroccan Varieties
by Noura Issaoui, Inmaculada Olivares-Merino, Mohamed Ebn Touhami, Amar Habsaoui and Sebastián Sánchez
Processes 2025, 13(5), 1399; https://doi.org/10.3390/pr13051399 - 3 May 2025
Cited by 1 | Viewed by 2162
Abstract
The goal of this study was to determine the composition of olive oils from four North Moroccan provinces (Larache, Chefchaouen, Ouazzane and Tetouan), one of the main productive zones nationwide. For this purpose, we evaluate the quality parameters, phenolic compounds, oxidative stability, fatty [...] Read more.
The goal of this study was to determine the composition of olive oils from four North Moroccan provinces (Larache, Chefchaouen, Ouazzane and Tetouan), one of the main productive zones nationwide. For this purpose, we evaluate the quality parameters, phenolic compounds, oxidative stability, fatty acids, sterols, uvaol + erytrodiol, carotenoids and chlorophylls of three varieties (‘Picholine marocaine’, ‘Haouzia’ and ‘Menara’) in three campaigns (2019/2020 to 2021/2022) and in three harvesting periods. Another aim was to research the effect of natural microtalc (NMT) on the compounds of olive oils, and to evaluate whether the addition of microtalc to olive pastes during the malaxation stage influences in the quality of olive oils. From the results, it was observed that industrial yields increase when natural microtalcs were used during the oil production. Considering the quality parameters, the olive oils produced with NMT showed lower values when compared with those obtained without any addition. Also, oils produced with NMT showed a higher content in phenolic compounds as well as a greater oxidative stability. It is worth highlighting that the maximum content in phenolic compounds, adding NMT during the extraction process, was determined in oils obtained from the ‘Picholine marocaine’ variety from Chefchaouen, harvested in the 2019/2020 campaign, with 848.71 mg/kg oil, with a value of oxidative stability of 78.68 h. Full article
(This article belongs to the Section Food Process Engineering)
Show Figures

Figure 1

10 pages, 1123 KB  
Article
Near-Infrared Spectroscopic Determination of Pentacyclic Triterpenoid Concentrations in Additives for Animal Food
by Carmen Sugráñez-Pérez, Rafael Sugráñez-Serrano, Marta López-González, Sara Martínez-Vaquero, Daniel Moral-Martos, Sofía Cortés-Jiménez and Juan Peragón-Sánchez
Biology 2024, 13(8), 578; https://doi.org/10.3390/biology13080578 - 31 Jul 2024
Viewed by 1616
Abstract
The nutritional composition of food for animal production can be enhanced using olive tree and plant by-products due to their high content of bioactive compounds such as pentacyclic triterpenes. Here, we present a novel application of near-infrared spectroscopy (NIRS) for the prediction of [...] Read more.
The nutritional composition of food for animal production can be enhanced using olive tree and plant by-products due to their high content of bioactive compounds such as pentacyclic triterpenes. Here, we present a novel application of near-infrared spectroscopy (NIRS) for the prediction of the total or individual [maslinic acid (MA), oleanolic acid (OA), and uvaol (UO)] pentacyclic triterpene concentrations in a feed additive obtained from a plant mixture. The oxygen radical absorbance capacity of these types of samples demonstrated the existence of a high antioxidant capacity. The conventional determination methods of pentacyclic triterpene concentration are costly, labor-intensive, and not practical for analyzing several lines within a limited timeframe at the factory level. The optimal regression model developed in our work demonstrated high correlation values for the calibration and validation sets, along with a high residual prediction deviation value. We used 63 samples for the development of the model. The NIRS method can be applied directly to dried powder and makes extraction and high-performance liquid chromatography (HPLC) analysis unnecessary. Our results also demonstrate that NIRS can accurately quantify pentacyclic triterpenes even at low concentrations in food additives. It can be used at the factory level to directly determine the pentacyclic triterpene concentrations in the additive powder at the same time that the powder is produced. Full article
(This article belongs to the Section Biochemistry and Molecular Biology)
Show Figures

Figure 1

21 pages, 12770 KB  
Article
Experimental and Theoretical Investigation of the Inhibitor Efficiency of Eucalyptus globulus Leaf Essential Oil (EuEO) on Mild Steel Corrosion in a Molar Hydrochloric Acid Medium
by Dounia Azzouni, Soukaina Alaoui Mrani, Roberta Bertani, Mohammed M. Alanazi, Ghizlan En-nabety and Mustapha Taleb
Molecules 2024, 29(14), 3323; https://doi.org/10.3390/molecules29143323 - 15 Jul 2024
Cited by 12 | Viewed by 2050
Abstract
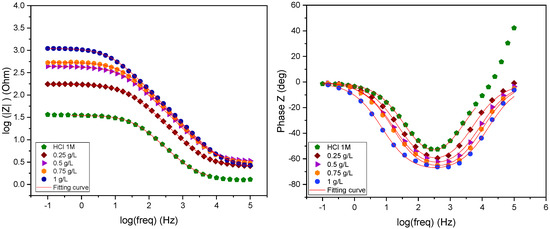
As a corrosion inhibitor for mild steel in a molar hydrochloric acid medium, we investigated the potential of Eucalyptus globulus essential oil (EuEO). Through electrochemical impedance spectroscopy (EIS), potentiodynamic polarization curves, and theoretical methods, including DFT/B3LYP 6-31G (d, p) and Monte [...] Read more.
As a corrosion inhibitor for mild steel in a molar hydrochloric acid medium, we investigated the potential of Eucalyptus globulus essential oil (EuEO). Through electrochemical impedance spectroscopy (EIS), potentiodynamic polarization curves, and theoretical methods, including DFT/B3LYP 6-31G (d, p) and Monte Carlo simulations, the interactions between the EuEO components and the steel surface were analyzed. D-Allose, Betulinaldehyde, and Uvaol were identified as the major active compounds in the GC-MS analysis. The experimental results showed that EuEO reached an inhibitory efficiency as high as 97% at a 1 g/L concentration. The findings suggest that EuEO operates as a mixed-type inhibitor, reducing both cathodic and anodic reactions, as well as building up a protective coating on the steel surface. Simulations also confirmed that EuEO molecules function as electron donors and acceptors, enhancing corrosion resistance. Full article
Show Figures

Figure 1

13 pages, 1154 KB  
Article
Determination of Pentacyclic Triterpenoids in Plant Biomass by Porous Graphitic Carbon Liquid Chromatography—Tandem Mass Spectrometry
by Ilya S. Voronov, Danil I. Falev, Anna V. Faleva, Nikolay V. Ul’yanovskii and Dmitry S. Kosyakov
Molecules 2023, 28(9), 3945; https://doi.org/10.3390/molecules28093945 - 7 May 2023
Cited by 7 | Viewed by 3050
Abstract
Pentacyclic triterpenoids (PCTs), which possess a number of bioactive properties, are considered one of the most important classes of secondary plant metabolites. Their chromatographic determination in plant biomass is complicated by the need to separate a large number of structurally similar compounds belonging [...] Read more.
Pentacyclic triterpenoids (PCTs), which possess a number of bioactive properties, are considered one of the most important classes of secondary plant metabolites. Their chromatographic determination in plant biomass is complicated by the need to separate a large number of structurally similar compounds belonging to several classes that differ greatly in polarity (monools, diols, and triterpenic acids). This study proposes a rapid, sensitive, and low-cost method for the simultaneous quantification of ten PCTs (3β-taraxerol, lupeol, β-amyrin, α-amyrin, betulin, erythrodiol, uvaol, betulinic, oleanolic, and ursolic acids) by high-performance liquid chromatography-tandem mass spectrometry (HPLC-MS/MS) using porous graphitic carbon (Hypercarb) as a stationary phase capable of hydrophobic retention and specific interactions with analytes. Revealing the effects of the mobile phase composition, pH, ionic strength, and column temperature on retention and selection of chromatographic conditions on this basis allowed for the effective separation of all target analytes within 8 min in gradient elution mode and attaining limits of detection in the range of 4–104 µg L−1. The developed method was fully validated and successfully tested in the determination of PCTs in common haircap (Polytrichum commune) and prairie sphagnum (Sphagnum palustre) mosses, and fireweed (Chamaenerion angustifolium) stems and leaves. Full article
(This article belongs to the Section Analytical Chemistry)
Show Figures

Figure 1

24 pages, 2201 KB  
Review
Persimmon Leaves: Nutritional, Pharmaceutical, and Industrial Potential—A Review
by Abul Hossain and Fereidoon Shahidi
Plants 2023, 12(4), 937; https://doi.org/10.3390/plants12040937 - 18 Feb 2023
Cited by 30 | Viewed by 10008
Abstract
Persimmon is a delicious fruit, and its leaves are considered a valuable ingredient in food, beverage, pharmaceutical, and cosmetic sectors. Traditionally, persimmon leaves (PL) are used as a functional tea in Asian culture to cure different ailments, and are also incorporated into various [...] Read more.
Persimmon is a delicious fruit, and its leaves are considered a valuable ingredient in food, beverage, pharmaceutical, and cosmetic sectors. Traditionally, persimmon leaves (PL) are used as a functional tea in Asian culture to cure different ailments, and are also incorporated into various food and cosmeceutical products as a functional ingredient. PL mainly contain flavonoids, terpenoids, and polysaccharides, along with other constituents such as carotenoids, organic acids, chlorophylls, vitamin C, and minerals. The major phenolic compounds in PL are proanthocyanidins, quercetin, isoquercetin, catechin, flavonol glucosides, and kaempferol. Meanwhile, ursolic acid, rotungenic acid, barbinervic acid, and uvaol are the principal terpenoids. These compounds demonstrate a wide range of pharmacological activities, including antioxidant, anticancer, antihypertensive, antidiabetic, anti-obesity, anti-tyrosinase, antiallergic, and antiglaucoma properties. This review summarizes the latest information on PL, mainly distribution, traditional uses, industrial potential, and bioactive compounds, as well as their potential action mechanisms in exhibiting biological activities. In addition, the effect of seasonality and geographical locations on the content and function of these biomolecules are discussed. Full article
(This article belongs to the Special Issue Bioactive Compounds from Plants-Based Functional Foods)
Show Figures

Graphical abstract

22 pages, 2405 KB  
Article
Fractionation and Characterization of Triterpenoids from Vaccinium vitis-idaea L. Cuticular Waxes and Their Potential as Anticancer Agents
by Gabriele Vilkickyte, Vilma Petrikaite, Mindaugas Marksa, Liudas Ivanauskas, Valdas Jakstas and Lina Raudone
Antioxidants 2023, 12(2), 465; https://doi.org/10.3390/antiox12020465 - 12 Feb 2023
Cited by 20 | Viewed by 3685
Abstract
Fruit and leaf cuticular waxes are valuable source materials for the isolation of triterpenoids that can be applied as natural antioxidants and anticancer agents. The present study aimed at the semi-preparative fractionation of triterpenoids from cuticular wax extracts of Vaccinium vitis-idaea L. (lingonberry) [...] Read more.
Fruit and leaf cuticular waxes are valuable source materials for the isolation of triterpenoids that can be applied as natural antioxidants and anticancer agents. The present study aimed at the semi-preparative fractionation of triterpenoids from cuticular wax extracts of Vaccinium vitis-idaea L. (lingonberry) leaves and fruits and the evaluation of their cytotoxic potential. Qualitative and quantitative characterization of obtained extracts and triterpenoid fractions was performed using HPLC-PDA method, followed by complementary analysis by GC-MS. For each fraction, cytotoxic activities towards the human colon adenocarcinoma cell line (HT-29), malignant melanoma cell line (IGR39), clear renal carcinoma cell line (CaKi-1), and normal endothelial cells (EC) were determined using MTT assay. Furthermore, the effect of the most promising samples on cancer spheroid growth and viability was examined. This study allowed us to confirm that particular triterpenoid mixtures from lingonberry waxes may possess stronger cytotoxic activities than crude unpurified extracts. Fractions containing triterpenoid acids plus fernenol, complexes of oleanolic:ursolic acids, and erythrodiol:uvaol were found to be the most potent therapeutic candidates in the management of cancer diseases. The specificity of cuticular wax extracts of lingonberry leaves and fruits, leading to different purity and anticancer potential of obtained counterpart fractions, was also enclosed. These findings contribute to the profitable utilization of lingonberry cuticular waxes and provide considerable insights into the anticancer effects of particular triterpenoids and pharmacological interactions. Full article
Show Figures

Graphical abstract

24 pages, 2214 KB  
Article
Phytochemistry and Antioxidant Activities of the Rhizome and Radix of Millettia speciosa Based on UHPLC-Q-Exactive Orbitrap-MS
by Jianguang Zhang, Junjun Wang, Yue Wang, Ming Chen, Xuemin Shi, Xiaoping Zhou and Zhifeng Zhang
Molecules 2022, 27(21), 7398; https://doi.org/10.3390/molecules27217398 - 31 Oct 2022
Cited by 19 | Viewed by 3988
Abstract
The root of Millettia speciosa Champ. (MSCP) is used in folk medicine and is popular as a soup ingredient. The root is composed of the rhizome and radix, but only the radix has been used as a food. Thus, it is very important [...] Read more.
The root of Millettia speciosa Champ. (MSCP) is used in folk medicine and is popular as a soup ingredient. The root is composed of the rhizome and radix, but only the radix has been used as a food. Thus, it is very important to compare the chemical components and antioxidant activities between the rhizome and radix. The extracts were analyzed by UHPLC-Q-Exactive Orbitrap-MS and multivariate analysis, and the antioxidant activities were evaluated by 2,20-azinobis (3-ethylbenzothiazo-line-6-sulfonic acid) diammonium salt (ABTS) and 2,2-diphenyl-1-picrylhydrazyl (DPPH) radical scavenging assays. Ninety-one compounds were detected simultaneously and temporarily identified. Ten compounds were identified as chemical markers to distinguish the rhizome from the radix. The antioxidant activities of the radix were higher than the rhizome. Correlation analysis showed that uvaol-3-caffeate, 3-O-caffeoyloleanolic acid, and khrinone E were the main active markers for antioxidant activity, which allowed for the rapid differentiation of rhizomes and the radix. Therefore, it could be helpful for future exploration of its material base and bioactive mechanism. In addition, it would be considered to be used as a new method for the quality control of M. speciosa. Full article
Show Figures

Figure 1

18 pages, 1363 KB  
Article
Phytochemical Diversity and Antioxidant Potential of Wild Heather (Calluna vulgaris L.) Aboveground Parts
by Vytaute Kaunaite, Gabriele Vilkickyte and Lina Raudone
Plants 2022, 11(17), 2207; https://doi.org/10.3390/plants11172207 - 25 Aug 2022
Cited by 8 | Viewed by 3534
Abstract
Calluna vulgaris L. (heather) is a traditional medicinal plant with anti-inflammatory and calming activities that are determined by the notable amounts of phytochemicals. The evaluation of different populations of plants that accumulate great amounts of bioactive compounds are requisite for the quality determination [...] Read more.
Calluna vulgaris L. (heather) is a traditional medicinal plant with anti-inflammatory and calming activities that are determined by the notable amounts of phytochemicals. The evaluation of different populations of plants that accumulate great amounts of bioactive compounds are requisite for the quality determination of plant materials and medicinal and nutritional products. The assessment of natural resources from a phytogeographic point of view is relevant. Phytochemical analysis of heather samples was carried out using spectrophotometric methods and HPLC-PDA techniques, while antioxidant activity was determined using ABTS and FRAP assays. A significant diversification of phenolic and triterpenic compounds and antioxidant activity was determined in the heather samples collected in distinct habitats. Natural habitats, due to their characteristic chemical heterogeneity, lead to the diversity of indicators characterizing the quality of plant raw materials. Chlorogenic acid and hyperoside were found to be predominant among the phenolic compounds, while ursolic, oleanolic acids, and uvaol prevailed among the triterpenic compounds. Thus, these compounds can be suggested as phytochemical markers, characteristic of the heather raw material from central Europe. Full article
(This article belongs to the Special Issue Phenolic Composition and Antioxidant Activity of Plant Extracts Ⅱ)
Show Figures

Graphical abstract

12 pages, 1765 KB  
Article
Supercritical Fluid Chromatography—Tandem Mass Spectrometry for Rapid Quantification of Pentacyclic Triterpenoids in Plant Extracts
by Danil I. Falev, Denis V. Ovchinnikov, Ilya S. Voronov, Anna V. Faleva, Nikolay V. Ul’yanovskii and Dmitry S. Kosyakov
Pharmaceuticals 2022, 15(5), 629; https://doi.org/10.3390/ph15050629 - 20 May 2022
Cited by 15 | Viewed by 3445
Abstract
Pentacyclic triterpenoids (PCTs) are a widely distributed class of plant secondary metabolites. These compounds have high bioactive properties, primarily antitumor and antioxidant activity. In this study, a method was developed for the quantitative analysis of pentacyclic triterpenoids in plants using supercritical fluid chromatography–tandem [...] Read more.
Pentacyclic triterpenoids (PCTs) are a widely distributed class of plant secondary metabolites. These compounds have high bioactive properties, primarily antitumor and antioxidant activity. In this study, a method was developed for the quantitative analysis of pentacyclic triterpenoids in plants using supercritical fluid chromatography–tandem mass spectrometry (SFC-MS/MS). Separation of ten major PCTs (friedelin, lupeol, β-amyrin, α-amyrin, betulin, erythrodiol, uvaol, betulinic, oleanolic and ursolic acids) was studied on six silica-based reversed stationary phases. The best results (7 min analysis time in isocratic elution mode) were achieved on an HSS C18 SB stationary phase using carbon dioxide—isopropanol (8%) mobile phase providing decisive contribution of polar interactions to the retention of analytes. It was shown that the use of atmospheric pressure chemical ionization (APCI) is preferred over atmospheric pressure photoionization (APPI). The combination of SFC with APCI-MS/MS mass spectrometry made it possible to achieve the limits of quantification in plant extracts in the range of 2.3–20 μg·L−1. The developed method was validated and tested in the analyses of birch outer layer (Betula pendula) bark, and licorice (Glycyrrhiza glabra) root, as well as lingonberry (Vaccinium vitis-idaea), cranberry (Vaccinium oxycoccos), apple (Malus domesticaGolden Delicious” and Malus domesticaRed Delicious”) peels. Full article
Show Figures

Figure 1

12 pages, 4012 KB  
Article
Bioactive Evaluation of Ursane-Type Pentacyclic Triterpenoids: β-Boswellic Acid Interferes with the Glycosylation and Transport of Intercellular Adhesion Molecule-1 in Human Lung Adenocarcinoma A549 Cells
by Kaori Nakano, Saki Sasaki and Takao Kataoka
Molecules 2022, 27(10), 3073; https://doi.org/10.3390/molecules27103073 - 11 May 2022
Cited by 9 | Viewed by 2890 | Correction
Abstract
Ursane-type pentacyclic triterpenoids exert various biological effects, including anticancer and anti-inflammatory activities. We previously reported that ursolic acid, corosolic acid, and asiatic acid interfered with the intracellular trafficking and glycosylation of intercellular adhesion molecule-1 (ICAM-1) in human lung adenocarcinoma A549 cells stimulated with [...] Read more.
Ursane-type pentacyclic triterpenoids exert various biological effects, including anticancer and anti-inflammatory activities. We previously reported that ursolic acid, corosolic acid, and asiatic acid interfered with the intracellular trafficking and glycosylation of intercellular adhesion molecule-1 (ICAM-1) in human lung adenocarcinoma A549 cells stimulated with the pro-inflammatory cytokine interleukin-1α. However, the structure–activity relationship of ursane-type pentacyclic triterpenoids remains unclear. In the present study, the biological activities of seven ursane-type pentacyclic triterpenoids (β-boswellic acid, uvaol, madecassic acid, 3-O-acetyl-11-keto-β-boswellic acid, ursolic acid, corosolic acid, and asiatic acid) were investigated. We revealed that the inhibitory activities of ursane-type pentacyclic triterpenoids on the cell surface expression and glycosylation of ICAM-1 and α-glucosidase activity were influenced by the number of hydroxy groups and/or the presence and position of a carboxyl group. We also showed that β-boswellic acid interfered with ICAM-1 glycosylation in a different manner from other ursane-type pentacyclic triterpenoids. Full article
(This article belongs to the Special Issue Biological Properties of Hydroxy Pentacyclic Triterpene Acids (HPTAs))
Show Figures

Figure 1

17 pages, 924 KB  
Article
Stability of Bioactive Compounds in Olive-Pomace Oil at Frying Temperature and Incorporation into Fried Foods
by María-Victoria Ruiz-Méndez, Gloria Márquez-Ruiz, Francisca Holgado and Joaquín Velasco
Foods 2021, 10(12), 2906; https://doi.org/10.3390/foods10122906 - 24 Nov 2021
Cited by 21 | Viewed by 4399
Abstract
The stability of minor bioactive compounds in olive-pomace oils (OPOs) was evaluated at frying temperature under the conditions of a thermoxidation test. Bioactive compounds analyzed included squalene, tocopherols, sterols, triterpenic acids and alcohols, and aliphatic alcohols. In order to determine the amount of [...] Read more.
The stability of minor bioactive compounds in olive-pomace oils (OPOs) was evaluated at frying temperature under the conditions of a thermoxidation test. Bioactive compounds analyzed included squalene, tocopherols, sterols, triterpenic acids and alcohols, and aliphatic alcohols. In order to determine the amount of OPO bioactive compounds incorporated into foods after frying, three different kinds of frozen products were selected, i.e., pre-fried potatoes (French fries), pre-fried battered chicken nuggets, and chicken croquettes (breaded patties), and were used in discontinuous frying experiments. Results obtained in both the thermoxidation and frying studies showed high stability of triterpenic alcohols (erythrodiol and uvaol), oleanolic acid, and aliphatic alcohols, naturally present in OPOs. In all fried foods, the content of lipids increased after frying, as expected, although the extent of absorption of OPOs into fried foods and the exchange with food lipids depended on the food characteristics. Overall, frying with OPOs improved the nutritional properties of all products tested by increasing the level of oleic acid and by the incorporation of squalene, triterpenic acids and alcohols, and aliphatic alcohols, in significant quantities. Full article
Show Figures

Graphical abstract

16 pages, 3301 KB  
Article
Uvaol Improves the Functioning of Fibroblasts and Endothelial Cells and Accelerates the Healing of Cutaneous Wounds in Mice
by Julianderson Carmo, Polliane Cavalcante-Araújo, Juliane Silva, Jamylle Ferro, Ana Carolina Correia, Vincent Lagente and Emiliano Barreto
Molecules 2020, 25(21), 4982; https://doi.org/10.3390/molecules25214982 - 28 Oct 2020
Cited by 17 | Viewed by 3957
Abstract
Uvaol is a natural pentacyclic triterpene that is widely found in olives and virgin olive oil, exerting various pharmacological properties. However, information remains limited about how it affects fibroblasts and endothelial cells in events associated with wound healing. Here, we report the effect [...] Read more.
Uvaol is a natural pentacyclic triterpene that is widely found in olives and virgin olive oil, exerting various pharmacological properties. However, information remains limited about how it affects fibroblasts and endothelial cells in events associated with wound healing. Here, we report the effect of uvaol in the in vitro and in vivo healing process. We show the positive effects of uvaol on migration of fibroblasts and endothelial cells in the scratch assay. Protein synthesis of fibronectin and laminin (but not collagen type I) was improved in uvaol-treated fibroblasts. In comparison, tube formation by endothelial cells was enhanced after uvaol treatment. Mechanistically, the effects of uvaol on cell migration involved the PKA and p38-MAPK signaling pathway in endothelial cells but not in fibroblasts. Thus, the uvaol-induced migratory response was dependent on the PKA pathway. Finally, topical treatment with uvaol caused wounds to close faster than in the control treatment using experimental cutaneous wounds model in mice. In conclusion, uvaol positively affects the behavior of fibroblasts and endothelial cells, potentially promoting cutaneous healing. Full article
(This article belongs to the Special Issue Terpenes and Terpene Derivatives)
Show Figures

Graphical abstract

18 pages, 3780 KB  
Article
Antiproliferative and Pro-Apoptotic Effect of Uvaol in Human Hepatocarcinoma HepG2 Cells by Affecting G0/G1 Cell Cycle Arrest, ROS Production and AKT/PI3K Signaling Pathway
by Gloria C. Bonel-Pérez, Amalia Pérez-Jiménez, Isabel Gris-Cárdenas, Alberto M. Parra-Pérez, José Antonio Lupiáñez, Fernando J. Reyes-Zurita, Eva Siles, René Csuk, Juan Peragón and Eva E. Rufino-Palomares
Molecules 2020, 25(18), 4254; https://doi.org/10.3390/molecules25184254 - 16 Sep 2020
Cited by 27 | Viewed by 5385
Abstract
Natural products have a significant role in the development of new drugs, being relevant the pentacyclic triterpenes extracted from Olea europaea L. Anticancer effect of uvaol, a natural triterpene, has been scarcely studied. The aim of this study was to understand the [...] Read more.
Natural products have a significant role in the development of new drugs, being relevant the pentacyclic triterpenes extracted from Olea europaea L. Anticancer effect of uvaol, a natural triterpene, has been scarcely studied. The aim of this study was to understand the anticancer mechanism of uvaol in the HepG2 cell line. Cytotoxicity results showed a selectivity effect of uvaol with higher influence in HepG2 than WRL68 cells used as control. Our results show that uvaol has a clear and selective anticancer activity in HepG2 cells supported by a significant anti-migratory capacity and a significant increase in the expression of HSP-60. Furthermore, the administration of this triterpene induces cell arrest in the G0/G1 phase, as well as an increase in the rate of cell apoptosis. These results are supported by a decrease in the expression of the anti-apoptotic protein Bcl2, an increase in the expression of the pro-apoptotic protein Bax, together with a down-regulation of the AKT/PI3K signaling pathway. A reduction in reactive oxygen species (ROS) levels in HepG2 cells was also observed. Altogether, results showed anti-proliferative and pro-apoptotic effect of uvaol on hepatocellular carcinoma, constituting an interesting challenge in the development of new treatments against this type of cancer. Full article
(This article belongs to the Special Issue Anticancer Properties of Natural and Derivative Products)
Show Figures

Graphical abstract

20 pages, 2194 KB  
Article
Lipid Profiling and Stable Isotopic Data Analysis for Differentiation of Extra Virgin Olive Oils Based on Their Origin
by Igor Lukić, Alessio Da Ros, Graziano Guella, Federica Camin, Domenico Masuero, Nadia Mulinacci, Urska Vrhovsek and Fulvio Mattivi
Molecules 2020, 25(1), 4; https://doi.org/10.3390/molecules25010004 - 18 Dec 2019
Cited by 32 | Viewed by 5636
Abstract
To differentiate extra virgin olive oils (EVOO) according to the origin of purchase, such as monocultivar Italian EVOO with protected denomination of origin (PDO) and commercially-blended EVOO purchased in supermarkets, a number of samples was subjected to the analysis of various lipid species [...] Read more.
To differentiate extra virgin olive oils (EVOO) according to the origin of purchase, such as monocultivar Italian EVOO with protected denomination of origin (PDO) and commercially-blended EVOO purchased in supermarkets, a number of samples was subjected to the analysis of various lipid species by liquid chromatography/mass spectrometry (LC-ESI-MS/MS, LC-ESI-IT-MS) and proton nuclear magnetic resonance analysis (1H-NMR). Many putative chemical markers were extracted as differentiators by uni- and multivariate statistical analysis. Commercially-blended EVOO contained higher concentrations of the majority of minor lipids, including free fatty acids, their alkyl (methyl and ethyl) esters, monoglycerides, and diglycerides, which may be indicative of a higher degree of triglyceride lipolysis in these than in monocultivar PDO EVOO. Triterpenoids and particular TAG species were also found in higher proportions in the samples from the commercially-blended EVOO class, suggesting a possible influence of factors such as the cultivar and geographical origin. The largest differences between the classes were determined for the concentrations of uvaol and oleanolic acid. The results of the analysis by isotopic ratio mass spectrometry (IRMS) were reasonably consistent with the information about the geographical origin declared on the labels of the investigated EVOOs, showing considerable variability, which possibly also contributed to the differences in lipid composition observed between the two investigated classes of EVOO. Full article
(This article belongs to the Special Issue Olive Bioactives: From Molecules to Human Health)
Show Figures

Figure 1

11 pages, 1656 KB  
Article
Chemical Composition of the Cuticle Membrane of Pitaya Fruits (Hylocereus Polyrhizus)
by Hua Huang and Yueming Jiang
Agriculture 2019, 9(12), 250; https://doi.org/10.3390/agriculture9120250 - 27 Nov 2019
Cited by 24 | Viewed by 7213
Abstract
This study comprehensively analysed the chemical composition of the cuticle in pitaya fruits. The total coverage amount of the waxes versus cutin monomers accumulated at a ratio of 0.6, corresponding to masses per unit of 30.3 μg·cm−2 and 50.8 μg·cm−2, [...] Read more.
This study comprehensively analysed the chemical composition of the cuticle in pitaya fruits. The total coverage amount of the waxes versus cutin monomers accumulated at a ratio of 0.6, corresponding to masses per unit of 30.3 μg·cm−2 and 50.8 μg·cm−2, respectively. The predominant wax mixtures were n-alkanes in homologous series of C20–C35, dominated by C31 and C33; as well as triterpenoids with an abundant amount of uvaol, lupenon, β-amyrinon, and β-amyrin. The most prominent cutin compounds were C16- and C18-type monomers, in which 9(10),16-diOH-hexadecanoic acid and 9,10-epoxy-ω-OH-octadecanoic acid predominated, respectively. The average chain length (ACL) of aliphates in pitaya fruit cuticle (30.5) was similar to that estimated in leaf waxes, and higher than that in most of the fruit and petal waxes that have been reported. We propose that the relatively high ACL and wax/cutin ratio might enhance the cuticular barrier properties in pitaya fruit cuticle to withstand drought. Full article
(This article belongs to the Special Issue Postharvest Physiology and Technology of Fruits and Vegetables)
Show Figures

Figure 1

Back to TopTop