Phytochemistry and Antioxidant Activities of the Rhizome and Radix of Millettia speciosa Based on UHPLC-Q-Exactive Orbitrap-MS
Abstract
1. Introduction
2. Results and Discussion
2.1. Optimization of Chromatographic Conditions
2.2. Identification of Components in the Rhizome and Radix Based on UHPLC-Q-Exactive Orbitrap MS
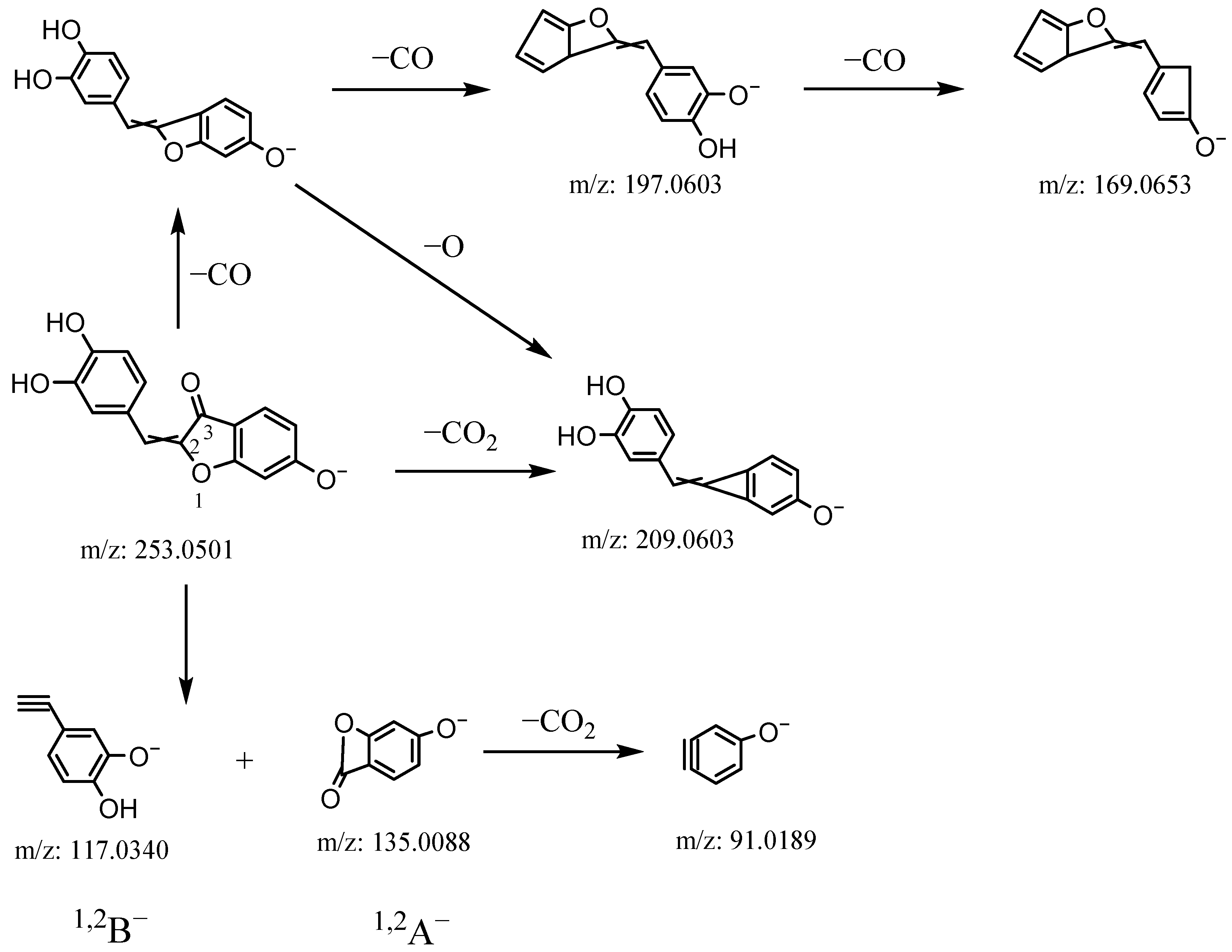
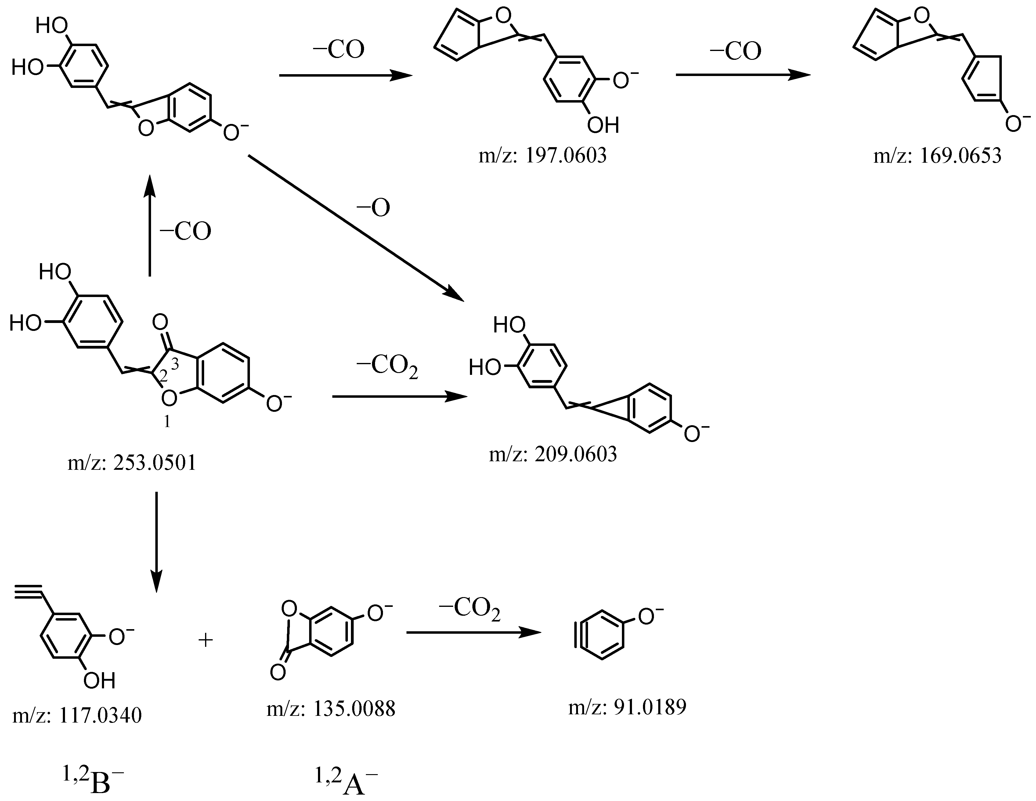
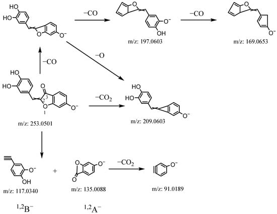
2.2.1. Identification of Flavones, Isoflavones, Flavone Glycosides, and Isoflavone Glycosides
2.2.2. Identification of Flavonone, Isoflavonone, and Flavonone Glycosides
2.2.3. Identification of Chalcone, Dihydrochalcone, and Flavanones
2.2.4. Identification of Pterocarpans and Other Flavonoids
2.2.5. Identification of Steroid Saponins
2.2.6. Identification of Alkaloids
2.2.7. Identification of Phenolic Acids and Their Derivatives
2.2.8. Identification of Phenols, Fatty Acid and Other Compounds
2.3. Discrimination of Chemical Profiles of Rhizome and Radix
2.4. Principal Components Analysis (PCA)
2.5. Chemical Markers to Distinguish the Rhizome from Radix with OPLS-DA
2.6. Antioxidant Activity Test Results
2.7. Correlations between the Characteristic Chemical Compounds and Antioxidant Activities
2.7.1. GRA
2.7.2. PLS Model Analysis
3. Materials and Methods
3.1. Reagents and Chemicals
3.2. Sample Collection
3.3. Preparation of Standard and Sample Solutions
3.4. Instrumentation and Chromatographic Conditions
3.5. Determination of Antioxidant Activity
3.5.1. ABTS Activity Assay
3.5.2. DPPH Activity Assay
3.6. Statistical Analysis
3.7. Correlation Analysis
3.7.1. Gray Relational Analysis
3.7.2. Partial Least Squares Analysis
4. Conclusions
Author Contributions
Funding
Institutional Review Board Statement
Informed Consent Statement
Data Availability Statement
Acknowledgments
Conflicts of Interest
References
- Wang, M.Y.; Zhang, M.; Yang, Q.; Wang, Q.L.; Ma, B.K.; Li, Z.Y.; Cheng, W.; Tang, H.; Fang, S.X.; Wang, Z.N. Metabolomic profiling of M. speciosa champ at different growth stages. Food Chem. 2021, 376, 131941. [Google Scholar] [CrossRef] [PubMed]
- Chen, D.L.; Yang, Y.; Xu, G.; Liang, N.; Wang, H.F.; Li, D.; Dong, X. Two new rotenoids from the roots of Millettia speciosa. Phytochem. Lett. 2015, 12, 196–199. [Google Scholar] [CrossRef]
- Shi, M.; Wu, G.N.; Lan, M.X. Optimization of Extraction Process, Quantitative Analysis and Study on Antioxidant Activity of Total Phenolic Acids in Root of Millettia speciosa Champ. J. Food Ind. 2022, 43, 82–87. [Google Scholar]
- Huang, Z.; Zeng, Y.J.; Chen, X.; Luo, S.Y.; Pu, L.; Li, F.Z.; Zong, M.H.; Lou, W.Y. A novel polysaccharide from the roots of Millettia speciosa Champ: Preparation, structural characterization and immunomodulatory activity. Int. J. Biol. Macromol. 2020, 145, 547–557. [Google Scholar] [CrossRef]
- Chen, X.G.; Sun, W.J.; Xu, B.C.; Wu, E.Y.; Cui, Y.; Hao, K.Y.; Zhang, G.Y.; Zhou, C.C.; Xu, Y.Y.; Li, J.; et al. Polysaccharides From the Roots of Millettia speciosa Champ Modulate Gut Health and Ameliorate Cyclophosphamide-Induced Intestinal Injury and Immunosuppression. Front. Immunol. 2021, 12, 766296. [Google Scholar] [CrossRef]
- Huang, Z.; Zong, M.H.; Lou, W.Y. Effect of acetylation modification on the emulsifying and antioxidant properties of polysaccharide from Millettia speciosa Champ. Food Hydrocoll. 2022, 124, 107217. [Google Scholar] [CrossRef]
- Zhang, M.; Cui, C.H.; Lin, Y.D.; Cai, J.Y. Ameliorating effect on glycolipid metabolism and chemical profile of Millettia speciosa champ. extract. J. Ethnopharmacol. 2021, 279, 114360. [Google Scholar] [CrossRef]
- Dai, M.; Pan, C.M.; Peng, Z.T.; Cheng, C.; Su, J.S. The pharmacognosy study on two roots of Millettia speciosa Champ. Lishizhen Med. Mater. Med. Res. 2021, 31, 100–102. [Google Scholar]
- Yu, D.; Liang, X. Characterization and Identification of Isoflavonoids in the Roots of Millettia speciosa Champ. by UPLC-Q-TOF-MS/MS. Curr. Pharm. Anal. 2019, 15, 580–591. [Google Scholar] [CrossRef]
- Li, W. Comparative Analysis of Alcohol Soluble Components from Roots, Stems and Tubers of Millettia speciosa Champ. Modern Food 2018, 13, 156–160. [Google Scholar]
- Wang, L.K.; Chen, H.G.; Huang, Z.L.; Huang, J.J.; Xia, Z.Y.; Zhao, S.Q.; Huang, H.R.; Zheng, H.X. Antioxidant Activities and Contents of Total Flavonoids and Polyphenols from Different Parts of Millettia speciose Champ. Chin. Arch. Tradit. Chin. Med. 2021, 40, 139–142. [Google Scholar]
- Wang, S.R.; Wei, S.J.; Zhu, Y.M.; Zhang, M.M.; Cao, X.N.; Chang, Y.X.; Ouyang, H.Z.; He, J. Comparative Investigation of the Differences in Chemical Compounds between Raw and Processed Mume Fructus Using Plant Metabolomics Combined with Chemometrics Methods. Molecules 2022, 27, 6344. [Google Scholar] [CrossRef] [PubMed]
- Zhang, X.F.; Chen, J.; Yang, J.L.; Shi, Y.P. UPLC-MS/MS analysis for antioxidant components of Lycii Fructus based on spectrum-effect relationship. Talanta 2018, 180, 389–395. [Google Scholar] [CrossRef]
- He, L.L.; Zhang, Z.F.; Liu, Y.; Chen, D.Q.; Yuan, M.H.; Dong, G.T.; Luo, P.; Yan, Z.G. Rapid discrimination of raw and sulfur-fumigated Smilax glabra based on chemical profiles by UHPLC-QTOF-MS/MS coupled with multivariate statistical analysis. Food Res. Int. 2018, 108, 226–236. [Google Scholar] [CrossRef]
- Ma, X.B.; Wu, Y.J.; Li, Y.; Huang, Y.F.; Liu, Y.; Luo, P.; Zhang, Z.F. Rapid discrimination of Notopterygium incisum and Notopterygium franchetii based on characteristic compound profiles detected by UHPLC-QTOF-MS/MS coupled with multivariate analysis. Phytochem. Anal. 2020, 31, 355–365. [Google Scholar] [CrossRef] [PubMed]
- Chen, Q.P.; He, L.L.; Mo, C.M.; Zhang, Z.F.; Long, H.R.; Gu, X.Y.; Wei, Y. Rapid Evaluation of Chemical Consistency of Artificially Induced and Natural Resina Draconis Using Ultra-Performance Liquid Chromatography Quadrupole-Time-of-Flight Mass Spectrometry-Based Chemical Profiling. Molecules 2018, 23, 1850. [Google Scholar] [CrossRef] [PubMed]
- Kaiser, A.; Carle, R.; Kammerer, D. Effects of blanching on polyphenol stability of innovative paste-like parsley (Petroselinum crispum (Mill.) Nym ex A. W. Hill) and marjoram (Origanum majorana L.) products. Food Chem. 2013, 138, 1648–1656. [Google Scholar] [CrossRef]
- Li, P.; Jia, J.; Zhang, D.H.; Xie, J.L.; Xu, X.S.; Wei, D.Z. In vitro and in vivo antioxidant activities of a flavonoid isolated from celery (Apium graveolens L. var. dulce). Food Funct. 2014, 5, 50–56. [Google Scholar] [CrossRef]
- Zhang, W.; Jiang, S.; Qian, D.W.; Shang, E.X.; Duan, J.A. Analysis of interaction property of calycosin-7-O-β-D-glucoside with human gut microbiota. J. Chromatogr. B Analyt. Technol. Biomed. Life Sci. 2014, 963, 16–23. [Google Scholar] [CrossRef]
- Deng, S.R.; Xia, L.B.; Dong, Q.; Guo, Y.H.; Jia, T.Z. HPLC Fingerprint of Flos Genkwa and Its ESI-MS Analysis. Chin. J. Exp. Tradit. Med. Formula 2011, 17, 32–35. [Google Scholar]
- Wang, C.W.; Chen, G.Y.; Song, X.P.; Chen, W.H.; Han, C.R.; Ji, M.H. Flavonoids from the roots of Millettia speciosa Champ. Chin. Tradit. Pat. Med. 2014, 36, 2111–2114. [Google Scholar]
- Wang, Z.N.; Lai, F.L.; Wang, M.R.; Wang, J.R. Chemical constituents of the root of Millettia speciosa. Chin. J. Trop. Crops 2011, 32, 2378–2380. [Google Scholar]
- Crecelius Anna, C.; Beate, M.; Karin, P.; Stefanie, M.; Schubert Ulrich, S. Tracing the fate and transport of secondary plant metabolites in a laboratory mesocosm experiment by employing mass spectrometric imaging. Anal. Bioanal. Chem. 2017, 409, 3807–3820. [Google Scholar] [CrossRef] [PubMed]
- Sonmezdag, A.; Kelebek, H.; Selli, S. Pistachio oil (Pistacia vera L. cv. Uzun): Characterization of key odorants in a representative aromatic extract by GC-MS-olfactometry and phenolic profile by LC-ESI-MS/MS. Food Chem. 2018, 240, 24–31. [Google Scholar] [CrossRef] [PubMed]
- Shen, M.J.; Ye, C.X.; Zhong, X.J.; Li, L.B.; Zhang, P.G.; Huang, R.Z. Chemical constituents from Millettia speciosa. West China J. Pharm. Sci. 2017, 32, 456–458. [Google Scholar]
- Magi, E.; Bono, L.; Di Carro, M. Characterization of cocoa liquors by GC-MS and LC-MS/MS: Focus on alkylpyrazines and flavanols. J. Mass Spectrom. 2012, 47, 1191–1197. [Google Scholar] [CrossRef]
- Yin, T.; Tu, G.Z.; Zhang, Q.Y.; Wang, B.; Zhao, Y.Y. Three new phenolic glycosides from the caulis of Millettia speciosa. Magn. Reson. Chem. 2008, 46, 387–391. [Google Scholar] [CrossRef]
- Zhao, Z.Y.; Liu, P.H.; Wang, S.L.; Ma, S.S. Optimization of ultrasound, microwave and Soxhlet extraction of flavonoids from Millettia speciosa Champ. and evaluation of antioxidant activities in vitro. J. Food Meas. Charact. 2017, 11, 1947–1958. [Google Scholar] [CrossRef]
- Chen, S.C.; Yang, C.S.; Chen, J.J. Main Bioactive Components and Their Biological Activities from Natural and Processed Rhizomes of Polygonum sibiricum. Antioxidants 2022, 11, 1383. [Google Scholar] [CrossRef]
- Chen, Y.R.; Pan, G.J.; Xu, W.F.; Sun, W.F.; Wang, B.; Zhang, Y.; Yang, T.J. Spectrum-effect relationship study between HPLC fingerprints and antioxidant activity of Sabia parviflora. J. Chromatogr. B 2020, 1140, 121970. [Google Scholar] [CrossRef]
- Wu, Y.Y.; Zhang, Z.F.; Chen, T. Comparison of two Polygonum chinense varieties used in Chinese cool tea in terms of chemical profiles and antioxidant/anti-inflammatory activities. Food Chem. 2020, 310, 125840. [Google Scholar] [CrossRef] [PubMed]
- Kong, Y.L.; Zhang, J.G.; Su, H.N.; Lan, J.L.; Yang, Z.M.; Ma, Q.; Huang, Y.F.; Liu, Y. Study on chemical constituents of Meconopsis quintupinenia and network pharmacology of its anti-liver fibrosis mechanism. China J. Chin. Mater. Med. 2022, 17, 1–5. [Google Scholar]






| NO. | Retention Time (min) | ESI-MS (m/z) | Error (ppm) | MS/MS Fragments Ions | Formula | Identification |
|---|---|---|---|---|---|---|
| 1 | 3.31 | 315.0715 [M-H]− | −0.24 | 152.0101, 109.0202 | C13H16O9 | Protocatechuic acid-4-glucoside |
| 2 | 3.57 | 315.0714 [M-H]− | −0.53 | 152.0101, 109.0201 | C13H16O9 | Protocatechuic acid-3-glucoside |
| 3 | 4.44 | 421.1330 [M+H]− | 0.16 | 289.0921, 128.0442, 127.0387, 97.0285, 85.0287 | C17H24O12 | NCGC00380493-01 |
| 4 | 4.54 | 461.1290 [M-H]− | 0.39 | 329.0862, 167.0336, 152.0101, 108.0202 | C19H26O13 | Saccharumoside C |
| 5 | 4.74 | 461.1292 [M-H]− | 0.39 | 329.0858, 167.0336, 152.0101, 108.0202 | C19H26O13 | Saccharumoside D |
| 6 | 4.86 | 315.0716 [M-H]− | −0.05 | 153.0179, 109.0280 | C13H16O9 | Protocatechuic acid-2-glucoside |
| 7 | 5.13 | 447.1136 [M-H]− | 0.56 | 315.0716, 152.0101, 108.0201 | C18H24O13 | 5-{[2-O-(beta-d-apiofuranosyl)-beta-d-glucopyranosyl]ox y}-2-hydroxybenzoic acid |
| 8 | 5.17 | 447.1137 [M-H]− | 0.54 | 315.0715, 152.0102, 108.0202 | C18H24O13 | 4-Hydroxy-5-(3′,4′,5′-Trihydroxyphenyl)-Valeric Acid-O-Methyl-O-Glucuronide |
| 9 | 5.23 | 477.1603 [M-H]− | 0.09 | 345.1177, 183.0651, 168.0414, 153.0179 | C20H30O13 | Shamiminol |
| 10 | 6.00 | 188.0703 [M+H]− | −1.40 | 170.0594, 143.0728, 118.0652, 115.0542, 91.0545 | C11H9O2N | trans-3-Indoleacrylic acid |
| 11 | 6.06 | 247.1434 [M+H]− | −3.8 | 188.0701, 146.0598, 118.0650 60.0873, | C14H18O2N2 | Hypaphorine |
| 12 | 6.07 | 188.0704 [M+H]− | −1.4 | 170.0595, 143.0720, 118.0651, 115.0514, 91.0544 | C11H9O2N | Indole-3-crylic acid |
| 13 | 6.69 | 577.1352 [M-H]− | 1.96 | 407.0760, 289.0711, 245.0816, 161.0233, 125.0299 | C30H26O12 | Procyanidin B2 |
| 14 | 6.88 | 477.1602 [M-H]− | 0.09 | 345.1178, 183.0650, 168.0415, 153.0179 | C20H30O13 | Kelampayoside A |
| 15 | 7.07 | 289.0708 [M-H]− | 0.47 | 245.0809, 137.0229, 125.0229, 109.0280 | C15H14O6 | Epicatechin |
| 16 | 7.18 | 581.1500 [M-H]− | −0.13 | 287.0554, 269.0449, 259.0605, 151.0023 | C26H30O15 | 5,7,3′,4′-Tetrahydroxyflavanone-7-alpha-L-arabinofuranosyl-(1->6)-glucoside |
| 17 | 7.32 | 449.1078 [M-H]− | 0.29 | 287.0553, 269.0446, 259.0602, 174.4993, 151.0020 | C21H22O11 | Eriodictyol-7-O-glucoside |
| 18 | 7.58 | 505.1703 [M-H]− | −0.35 | 343.1176, 325.1073, 310.0838, | C25H30O11 | Diosbulbinoside D |
| 19 | 7.70 | 563.1396 [M-H]− | 0.10 | 431.0963, 269.0448 | C26H28O14 | Apiin |
| 20 | 7.93 | 583.1662 [M-H]− | 0.77 | 167.0361, 152.0103, 123.0432 | C26H32O15 | Seguinoside K |
| 21 | 7.95 | 613.1751 [M-H]− | 0.29 | 338.5223, 197.0443, 182.0204, 161.0439, 153.0543, 139.0382, 115.9812, | C27H34O16 | Albibrissinoside B |
| 22 | 8.02 | 431.1182 [M-H]− | −0.49 | 299.0775, 137.0320, 93.0330 | C18H24O12 | Apiosylglucosyl-4-hydroxybenzoate |
| 23 | 9.09 | 271.0604 [M-H]− | 1.81 | 243.0654, 227.0702, 225.0548, 163.0025, 135.0074, 109.0280, 91.0174 | C15H12O5 | 3′,4′,7-Trihydroxyflavanone |
| 24 | 9.12 | 445.1127 [M-H]− | −0.50 | 283.0605, 268.0370, 240.0420, 224.0464, 212.0472, 135.0073 | C22H22O10 | Calycosin-7-O-beta-D-glucoside |
| 25 | 9.49 | 271.0611 [M-H]− | 0.97 | 243.0654, 227.0731, 225.0540, 163.0028, 135.0075, 109.0280, 91.0173 | C15H12O5 | 3′,4′,7-trihydroxyisoflavanone |
| 26 | 9.97 | 627.1902 [M-H]− | −1.7 | 556.2740, 459.1497, 183.0654, 167.0336, 152.0102, 123.0437 | C28H36O16 | Khaephuoside B |
| 27 | 10.26 | 271.0597 [M+H]− | −3.6 | 253.0482, 225.0542, 215.0690, 197.0593, 137.0230 | C15H10O5 | 5,3′,4′-Trihydroxyflavone |
| 28 | 10.37 | 137.0229 [M-H]− | −2.31 | 93.0329 | C7H6O3 | Salicylic acid |
| 29 | 10.49 | 271.0606 [M-H]− | 0.97 | 253.0505, 135.0437, 134.0358, 91.0173 | C15H12O5 | butein |
| 30 | 10.64 | 187.0963 [M-H]− | −1.2 | 169.0850, 143.1064, 125.0956, 97.0643 | C9H16O4 | Azelaic acid |
| 31 | 10.71 | 577.1554 [M-H]− | 0.37 | 445.1126, 283.0606 | C27H30O14 | Yuankanin |
| 32 | 10.74 | 271.0601 [M-H]− | −0.31 | 243.0654, 227.0715, 163.0028, 135.0073, 109.0280, 91.0173 | C15H12O5 | 2′,4′,7-trihydroxyisoflavanone |
| 33 | 10.91 | 269.0448 [M-H]− | 0.32 | 241.0495, 227.0430, 225.0524, 224.0544, 213.0547, 195.0441, 185.0593, 135.0073, 133.0280, 91.0173 | C15H10O5 | Sulfuretin |
| 34 | 10.95 | 273.0758 [M-H]− | 0.22 | 255.0658, 227.0699, 167.0336, 137.0299, 109.0280 | C15H14O5 | 2′,4,4′,a-tetrahydroxy-dihydrochalcone |
| 35 | 10.98 | 445.1131 [M-H]− | 0.33 | 283.0605, 268.0369, 239.0343, 224.0472, 212.0464, 151.0032, 132.0202 | C22H22O10 | Sissotrin |
| 36 | 11.68 | 285.0760 [M-H]− | 0.27 | 270.0511, 269.0411, 253.0500, 241.0487, 270.0511, 253.0500, 241.0487, 180.0051, 161.0230, 148.0148, 135.0444, 123.0436, 91.0173 | C16H14O5 | Vestiton |
| 37 | 11.82 | 285.0748 [M+H]− | 0.92 | 270.0515, 242.0564, 225.0535, 197.0583, 137.0230 | C16H12O5 | 5,4′-dihydroxy-3′-methoxy-isoflavone |
| 38 | 11.91 | 253.0497 [M-H]− | −3.5 | 223.0395, 208.0521, 195.0440, 180.0568, 135.0072, 91.0173 | C15H11O4 | Daidzein |
| 39 | 12.02 | 255.0659 [M-H]− | 2.72 | 135.0075, 119.0487, 91.0174 | C15H12O4 | dihydrodaidzein |
| 40 | 12.20 | 255.0652 [M-H]− | 0.25 | 135.0074, 119.0487, 91.0173 | C15H12O4 | Liquiritigenin |
| 41 | 12.31 | 283.0602 [M-H]− | 0.38 | 268.0371, 251.0337, 239.0342, 224.0495, 211.0388, 195.0441, 183.0441, 167.0484, 156.0567, 148.0153, 135.0073, 91.0173 | C16H12O5 | Isoprunetin |
| 42 | 12.40 | 285.0758 [M-H]− | −0.36 | 270.0520, 228.1277, 194.5045, 149.0230, 135.0073, 121.0283, 91.0173 | C16H14O5 | 3′,4′-Dihydroxy-7-methoxyflavanone |
| 43 | 12.62 | 315.0850 [M-H]− | 2.12 | 176.0103, 163.0020, 135.0071 | C17H16O6 | Violanone |
| 44 | 12.65 | 285.0758 [M-H]− | −0.38 | 270.0520, 269.0444, 228.1277, 194.5045, 149.0230, 135.0073, 121.0283, 91.0173 | C16H14O5 | 3′,7-Dihydroxy-4′-methoxyisoflavanone |
| 45 | 12.72 | 283.0603 [M-H]− | 1.2 | 268.0370, 251.0348, 239.0339, 224.0465, 211.0387, 195.0440, 183.0445, 167.0490, 156.0565, 148.0152, 135.0073, 91.0173 | C16H12O5 | 2′-Hydroxyformononetin |
| 46 | 12.79 | 297.0398 [M-H]− | 0.33 | 269.0488, 253.0501, 241.0490, 225.0548, 211.0396, 197.0596, 181.0643, 161.0228, 147.0069, 135.0075, 91.0173 | C16H10O6 | Griffonianone H |
| 47 | 12.88 | 285.0759 [M-H]− | 0.39 | 270.0520, 228.1277, 194.5045, 163.0365, 148.0190, 147.0433, 135.0073, 121.0283, 91.0173 | C16H14O5 | 3,8-Dihydroxy-9-methoxypterocarpan |
| 48 | 13.34 | 297.0762 [M-H]− | 1.41 | 282.0527, 267.0291, 254.0577, 239.0340, 223.0391, 221.0392, 195.0439, 183.0437, 167.0488, 132.0199 | C17H14O5 | 8-O-Methylretusin |
| 49 | 13.38 | 269.0799 [M-H]− | 1.2 | 254.0555, 226.0610, 151.0413, 118.0411 | C16H12O4 | 4′-hydroxy-7-methoxyisoflavone |
| 50 | 13.51 | 269.0812 [M-H]− | 0.38 | 253.0499, 237.0547, 225.0549, 211.0394, 161.0225, 145.0278, 133.0188, 117.0331, 108.0201 | C16H14O4 | medicarpin |
| 51 | 13.58 | 255.0655 [M-H]− | 1.2 | 135.0073, 119.0487 | C15H12O4 | 5,4′-dihydroxy-flavanone |
| 52 | 13.83 | 301.0699 [M+H]− | −2.40 | 286.0463, 269.0443, 241.0485, 229.0488, 153.0177, 134.0351 | C16H12O6 | 2′-Hydroxybiochanin A |
| 53 | 14.15 | 271.0598 [M-H]− | −1.81 | 253.0488, 135.0436, 134.0359, 91.0173 | C15H12O5 | Garbanzol |
| 54 | 14.18 | 297.0759 [M-H]− | 0.66 | 282.0526, 267.0292, 254.0577, 239.0341, 223.0390, 221.0389, 195.0438, 183.0439, 167.0488, 132.0202 | C17H14O5 | Afrormosin |
| 55 | 14.35 | 271.0606 [M-H]− | 0.36 | 187.0385, 165.0176, 151.0022, 119.0487, 107.0123 | C15H12O5 | Naringenin |
| 56 | 14.40 | 287.0912 [M+H]− | −0.52 | 269.0803, 254.0559, 226.0622, 198.0659, 153.0544, 135.0437, 107.0492 | C16H14O5 | 6,7-Dihydroxy-4′-methoxyisoflavanone |
| 57 | 14.40 | 271.0957 [M+H]− | −2.54 | 151.0386, 119.0489 | C16H14O4 | 2′,4-dihydroxy-4′-methoxychalcone |
| 58 | 14.55 | 297.0761 [M-H]− | 0.65 | 282.0526, 267.0293, 254.0575, 239.0340, 223.0392, 221.0390, 195.0437, 183.0439, 167.0489, 132.0202 | C17H14O5 | Alfalone |
| 59 | 14.66 | 301.0701 [M+H]− | −0.59 | 286.0467, 285.0336, 269.0647, 241.0486, 229.0486, 213.0538, 184.0517, 139.0541, 93.0377 | C16H12O6 | Tectorigenin |
| 60 | 14.67 | 283.0604 [M-H]− | 1.02 | 268.0370, 239.0334, 224.0468, 211.0387, 195.0443, 183.0436, 167.0491, 135.0073, 91.0174 | C16H12O5 | Calycosin |
| 61 | 14.85 | 285.0747 [M+H]− | −3.75 | 267.0634, 239.0691, 211.0750, 196.0515, 151.0386 | C16H12O5 | 3′,4′-Dihydroxy-7-methoxyisoflavone |
| 62 | 14.88 | 301.0697 [M+H]− | 1.35 | 286.0456, 285.0329, 269.0433, 241.0488, 229.0487, 213.0532, 187.0383, 153.0177, 134.0359 | C16H12O6 | Pratensein |
| 63 | 15.01 | 315.0850 [M+H]− | −4.08 | 300.0615, 272.0644, 257.0429, 255.0637, 244.0714, 240.0440, 227.0696, 216.0788, 212.0449, 201.0551, 175.0338, 167.0335, 152.0096, 148.0514, 133.0228, | C17H14O6 | 5,4′-Dihydroxy-7,3′-dimethoxyisoflavone |
| 64 | 15.12 | 315.0504 [M-H]− | 2.4 | 300.0644, 284.0270, 256.0344, 148.0128, 125.0229 | C16H12O7 | 3′,5,6,7-Tetrahydroxy-4′-methoxyisoflavone |
| 65 | 15.15 | 283.0604 [M-H]− | 1.13 | 268.0369, 256.0370, 239.0344, 224.0467, 211.0388, 195.0444, 183.0441, 167.0489, 132.0201 | C16H12O5 | Glycitein |
| 66 | 15.25 | 285.0761 [M-H]− | 1.36 | 270.0526, 267.0656, 255.0288, 241.0493, 224.0466, 211.0395, 183.0438, 153.0699, 149.0230 | C16H14O5 | 3′,4′-Dihydroxy-7-methoxyisoflavanone |
| 67 | 15.32 | 313.0346 [M-H]− | 0.33 | 285.0393, 269.1279, 257.0460, 245.0443, 227.0341, 217.0496, 203.0340, 175.0387, 161.0231, 151.0022, 149.0231, 133.0282, 109.0277, 107.0123, | C16H10O7 | Luteolal |
| 68 | 15.51 | 301.0712 [M-H]− | 0.43 | 286.0425, 151, 0028, 125.0229 | C16H14O6 | Ferreirin |
| 69 | 15.55 | 281.0446 [M-H]− | 0.92 | 253.0496, 223.0398, 208.0524, 195.0441, 180.0564, 167.0487, 155.0476, 135.0070, 132.0200, 91.0173 | C16H10O5 | Pseudobaptigenin |
| 70 | 15.60 | 257.0802 [M+H]− | −3.5 | 137.0229, 119.0491, 93.0368 | C15H12O4 | Isoliquiritigenin |
| 71 | 15.68 | 329.2324 [M-H]− | 0.78 | 229.1436, 211.1329, 183.1377, 171.1014 | C18H34O5 | 9,12,13-Trihydroxy-10-octadecenoic acid |
| 72 | 15.75 | 267.0656 [M-H]− | 1.2 | 252.0418, 223.0390, 208.0522, 195.0439, 180.0563, 167.0487, 135.0071, 132.0202, 91.0174 | C16H12O4 | Formononetin |
| 73 | 15.88 | 297.0758 [M-H]− | −2.5 | 284.0671, 269.0441, 256.0725, 241.0491, 282.0527, 267.0291, 254.0576, 239.0342, 223.0391, 221.0389, 195.0438, 183.0440, 167.0496, 132.0202 | C17H14O5 | 7-O-Methylbiochanin A |
| 74 | 15.93 | 297.0757 [M-H]− | −0.34 | 282.0525, 267.0291, 254.0577, 239.0340, 223.0402, 221.0386, 195.0451, 183.0445, 167.0497, 135.0202 | C17H14O5 | Cladrin |
| 75 | 15.96 | 297.0396 [M-H]− | 2.3 | 269.0446, 241.0494, 225.0542, 213.0548, 197.0594, 183.0440, 161.0225, 147.0073, 133.0327 | C16H10O6 | 5,7-dihydroxy-3′,4′-methylenedioxyisoflavone |
| 76 | 16.15 | 313.0710 [M-H]− | 1.00 | 298.046, 297.0396, 283.0215, 269.0449, 254.0580, 225.0544, 161.0299, 149.0277, 135.0071, 121.0208, 91.0173 | C17H14O6 | Khrinone E |
| 77 | 16.28 | 285.0745 [M+H]− | −1.92 | 270.0910, 255.0642, 163.0388, 151.0385, 147.0432, 123.0438, 93.0336 | C16H12O5 | Homopterocarpin |
| 78 | 16.69 | 271.0968 [M+H]− | 0.34 | 147.0433, 137.0593, 123.0438 | C16H14O4 | Echinatin |
| 79 | 16.78 | 941.5099 | 1.02 | 923.4996, 879.5104, 795.4318, 633.4003, 615.3887, 597.3769, 553.3872, 457.3671, 437.3403, 409.3475, 247.0819, 205.0713, 163.0610, 157.0147, 143.0339, 139.0029 | C48H78O18 | Soyasaponin I |
| 80 | 16.95 | 329.0657 [M-H]− | 0.46 | 314.0406, 313.0349, 286.0451, 285.0392, 271.0222, 245.0480, 177.0179, 152.0100, 151.0025, 136.0102, 107.0122 | C17H14O7 | Tricin |
| 81 | 17.19 | 283.0604 [M-H]− | 0.81 | 269.0403, 268.0367, 239.0341, 223.0390, 195.0451, 183.0441, 167.0491, 135.0074, 132.0202, 91.0174 | C16H12O5 | maackiain |
| 82 | 17.22 | 315.0867 [M-H]− | 1.32 | 300.0629, 285.0401, 241.0492, 214.9861, 196.0004, 164.0103, 151.0023, 107.0122 | C17H16O6 | Homoferreirin |
| 83 | 19.72 | 295.2271 [M-H]− | 1.0 | 277.2159, 171.1024 | C18H32O3 | 9-hydroxyoctadeca-10,12-dienoic acid |
| 84 | 21.58 | 271.2273 [M+HCOO]− | 1.19 | 226.2241, 225.2216 | C15H30O | 2-Pentadecanone |
| 85 | 21.71 | 457.3676 [M+H]− | 0.36 | 439.3570, 381.3133, 248.1692, 191.1788 | C30H48O3 | betulinic acid |
| 86 | 22.04 | 617.3844 [M-H]− | 1.02 | 453.3359, 163.0392, 145.0273, 119.0495 | C39H54O6 | 27-p-Coumaroyloxyursolic acid |
| 87 | 22.06 | 617.3851 [M-H]− | 1.6 | 437.3422, 179.0339, 161.0243, 134.0365 | C39H54O6 | 3-β-O-trans-caffeoylbetulinic acid |
| 88 | 22.08 | 617.3853 [M-H]− | 2.3 | 437.3417, 179.0345, 161.02441, 134.0363 | C39H54O6 | 3-O-Caffeoyloleanolic acid |
| 89 | 22.38 | 339.2321 [M-H]− | 0.3 | 163.1115 | C23H32O2 | 2,2′-Methylenebis |
| 90 | 22.47 | 603.4050 [M-H]− | 1.5 | 179.0341, 161.0240, 134.0367 | C39H56O5 | Betulin-3-caffeate |
| 91 | 22.51 | 603.4051 [M-H]− | 0.6 | 179.0333, 161.0240, 134.0364 | C39H56O5 | uvaol-3-caffeate |
| No. | Collecting Location | GPS Data | Collection Year | Classification | ABTS | DPPH |
|---|---|---|---|---|---|---|
| IC50(μg/mL) | IC50(μg/mL) | |||||
| A1 | Pubei, Guangxi | N22°15′12″ E 109°34′25″ | June. 2019 | radix | 3.10 ± 0.13 | 5.16 ± 0.49 |
| A2 | Pubei, Guangxi | N22°0′33″ E 109°28′47″ | June. 2019 | radix | 3.94 ± 0.18 | 5.41 ± 0.32 |
| A3 | Hexian, Guangxi | N22°41′57″ E 109°19′38″ | June. 2019 | radix | 4.56 ± 0.28 | 5.25 ± 0.11 |
| A4 | Shangxi, Guangxi | N22°09′43.45″ E 108°08′35″ | Oct. 2019 | radix | 3.57 ± 0,16 | 4.83 ± 0.79 |
| A5 | Shangxi, Guangxi | N22°07′30″ E 108°06′54″ | Oct. 2019 | radix | 2.09 ± 0.13 | 2.76 ± 0.21 |
| A6 | Jiangmen, Guangdong | N22°34′30″ E 113°02′45″ | May. 2020 | radix | 3.64 ± 0.35 | 4.84 ± 0.73 |
| A7 | Jiangmen, Guangdong | N22°34′43″ E 113°02′41″ | May. 2020 | radix | 4.34 ± 0.32 | 5.77 ± 0.15 |
| A8 | Heshan, Guangdong | N22°42′35″ E 113°1′16″ | May. 2020 | radix | 3.73 ± 0.18 | 4.89 ± 0.98 |
| A9 | Heshan, Guangdong | N22°42′35″ E 113°0′16″ | May. 2020 | radix | 3.59 ± 0.26 | 4.11 ± 0.42 |
| A10 | Taizhou, Zhejiang | N28°38′17″ E 121°16′25″ | June. 2020 | radix | 3.51 ± 0.14 | 4.21 ± 0.88 |
| A11 | Taizhou, Zhejiang | N28°38′28″ E 121°16′20″ | June. 2020 | radix | 3.99 ± 0.20 | 4.48 ± 0.76 |
| A12 | Nanning, Guangxi | N22°30′7″ E 108°08′35 | June. 2020 | radix | 4.15 ± 0.65 | 4.85 ± 0.48 |
| A13 | Nanning, Guangxi | N22°23′54″ E 108°27′43″ | Aug. 2020 | radix | 3.10 ± 0.18 | 5.11 ± 0.67 |
| A14 | Nanning, Guangxi | N22°24′38″ E 108°29′23″ | Aug. 2020 | radix | 3.45 ± 0.51 | 4.20 ± 0.36 |
| A15 | Qinzhou, Guangxi | N22°25′4.50″ E 109°35′18″ | Aug. 2020 | radix | 3.26 ± 0.14 | 5.47 ± 0.22 |
| A16 | Qinzhou, Guangxi | N22°26′35″ E 109°41′19″ | Aug. 2020 | radix | 3.61 ± 0.22 | 5.66 ± 0.55 |
| B1 | Pubei, Guangxi | N22°15′12″ E 109°34′25″ | June. 2019 | rhizome | 7.39 ± 0.54 | 7.81 ± 0.65 |
| B2 | Pubei, Guangxi | N22°0′33″ E 109°28′47″ | June. 2019 | rhizome | 6.15 ± 0.16 | 6.46 ± 0.74 |
| B3 | Hexian, Guangxi | N22°41′57″ E 109°19′38″ | June. 2019 | rhizome | 6.45 ± 0.29 | 7.72 ± 1.93 |
| B4 | Shangxi, Guangxi | N22°09′43″ E 108°08′35″ | Oct. 2019 | rhizome | 5.19 ± 0.34 | 6.3 ± 0.63 |
| B5 | Shangxi, Guangxi | N22°07′30″ E 108°06′54″ | Oct. 2019 | rhizome | 9.01 ± 1.24 | 10.14 ± 2.2 |
| B6 | Jiangmen, Guangdong | N22°34′30″ E 113°02′45″ | May. 2020 | rhizome | 5.78 ± 0.33 | 7.40 ± 0.79 |
| B7 | Jiangmen, Guangdong | N22°34′43″ E 113°02′41″ | May. 2020 | rhizome | 6.00 ± 0.21 | 8.12 ± 0.99 |
| B8 | Heshan, Guangdong | N22°42′35″ E 113°1′16″ | June. 2020 | rhizome | 7.91 ± 0.22 | 9.69 ± 0.44 |
| B9 | Heshan, Guangdong | N22°42′357″ E 113°0′16″ | June. 2020 | rhizome | 5.64 ± 0.33 | 7.06 ± 0.79 |
| B10 | Taizhou, Zhejiang | N28°38′17″ E 121°16′25″ | Aug. 2020 | rhizome | 5.05 ± 0.26 | 5.86 ± 0.48 |
| B11 | Taizhou, Zhejiang | N28°38′28″ E 121°16′20″ | Aug. 2020 | rhizome | 10.13 ± 1.20 | 11.92 ± 0.75 |
| B12 | Nanning, Guangxi | N22°30′7″ E 108°08′35″ | Aug. 2020 | rhizome | 5.33 ± 0.24 | 7.21 ± 0.18 |
| Peaks | ABTS | DPPH | ||
|---|---|---|---|---|
| Correlations | Rank | Correlations | Rank | |
| a | 0.7070 | 6 | 0.6778 | 7 |
| b | 0.6412 | 9 | 0.7087 | 4 |
| c | 0.7846 | 1 | 0.7811 | 1 |
| d | 0.7407 | 3 | 0.7016 | 5 |
| e | 0.7750 | 2 | 0.7770 | 2 |
| f | 0.7114 | 4 | 0.7433 | 3 |
| g | 0.6893 | 8 | 0.6344 | 8 |
| h | 0.6901 | 7 | 0.6841 | 6 |
| i | 0.7073 | 5 | 0.5975 | 10 |
| j | 0.5651 | 10 | 0.6098 | 9 |
Publisher’s Note: MDPI stays neutral with regard to jurisdictional claims in published maps and institutional affiliations. |
© 2022 by the authors. Licensee MDPI, Basel, Switzerland. This article is an open access article distributed under the terms and conditions of the Creative Commons Attribution (CC BY) license (https://creativecommons.org/licenses/by/4.0/).
Share and Cite
Zhang, J.; Wang, J.; Wang, Y.; Chen, M.; Shi, X.; Zhou, X.; Zhang, Z. Phytochemistry and Antioxidant Activities of the Rhizome and Radix of Millettia speciosa Based on UHPLC-Q-Exactive Orbitrap-MS. Molecules 2022, 27, 7398. https://doi.org/10.3390/molecules27217398
Zhang J, Wang J, Wang Y, Chen M, Shi X, Zhou X, Zhang Z. Phytochemistry and Antioxidant Activities of the Rhizome and Radix of Millettia speciosa Based on UHPLC-Q-Exactive Orbitrap-MS. Molecules. 2022; 27(21):7398. https://doi.org/10.3390/molecules27217398
Chicago/Turabian StyleZhang, Jianguang, Junjun Wang, Yue Wang, Ming Chen, Xuemin Shi, Xiaoping Zhou, and Zhifeng Zhang. 2022. "Phytochemistry and Antioxidant Activities of the Rhizome and Radix of Millettia speciosa Based on UHPLC-Q-Exactive Orbitrap-MS" Molecules 27, no. 21: 7398. https://doi.org/10.3390/molecules27217398
APA StyleZhang, J., Wang, J., Wang, Y., Chen, M., Shi, X., Zhou, X., & Zhang, Z. (2022). Phytochemistry and Antioxidant Activities of the Rhizome and Radix of Millettia speciosa Based on UHPLC-Q-Exactive Orbitrap-MS. Molecules, 27(21), 7398. https://doi.org/10.3390/molecules27217398

