Abstract
The goal of this study was to determine the composition of olive oils from four North Moroccan provinces (Larache, Chefchaouen, Ouazzane and Tetouan), one of the main productive zones nationwide. For this purpose, we evaluate the quality parameters, phenolic compounds, oxidative stability, fatty acids, sterols, uvaol + erytrodiol, carotenoids and chlorophylls of three varieties (‘Picholine marocaine’, ‘Haouzia’ and ‘Menara’) in three campaigns (2019/2020 to 2021/2022) and in three harvesting periods. Another aim was to research the effect of natural microtalc (NMT) on the compounds of olive oils, and to evaluate whether the addition of microtalc to olive pastes during the malaxation stage influences in the quality of olive oils. From the results, it was observed that industrial yields increase when natural microtalcs were used during the oil production. Considering the quality parameters, the olive oils produced with NMT showed lower values when compared with those obtained without any addition. Also, oils produced with NMT showed a higher content in phenolic compounds as well as a greater oxidative stability. It is worth highlighting that the maximum content in phenolic compounds, adding NMT during the extraction process, was determined in oils obtained from the ‘Picholine marocaine’ variety from Chefchaouen, harvested in the 2019/2020 campaign, with 848.71 mg/kg oil, with a value of oxidative stability of 78.68 h.
1. Introduction
In Morocco, 68% of the wooded area is devoted to olive cultivation, thus representing an important strategic sector in the agricultural fabric [1]. During the 2022/2023 harvesting period, around 1.6 × 105 tons of olive oil were produced and 2.8 × 104 tons of olive oil were exported. Olive cultivation in the country has also increased significantly, with the possibility of reaching 1.4 million ha in 2030, compared to the current 1.2 million ha, with rehabilitation of up to 105 ha of production areas [2].
These days, in Morocco, super-intensive olive groves have increased their surface area by 60% compared to the 2007/2008 campaign [2]. In fact, the current total area is approximately 1.2 × 106 ha compared to 7.5 × 105 ha in the 2007/2008 campaign. Morocco’s olive production has increased by 21% in 2022, compared to 2021. The area under irrigation covers 384,500 ha, or 37% of the total area, compared to 660,700 in non-irrigated hectares. It should be noted that approximately 176,000 ha are under localised irrigation. The national production of olives was expected to reach 1.07 × 106 t by the Autumn in 2023 [2].
Tangier-Tetouan-Al Hoceima’s olive production has increased by 25% in 2022/2023, compared to 2016/2017, by 125 modern oil mills. Olive production in the region represents almost 10% of the national production and this sub-sector plays an important socio-economic role, and contributes to the promotion of employment. The total area planted with olive trees in the northern region has reached 182,848.6 ha in 2021/2022 against 175,587 ha in 2020/2021 [3]. Currently, about 10% of olive groves do receive some irrigation. The area covered by irrigation in Tanger-Tetouan-Al Hoceima region is around 4260 ha, and Chefchaouen, with about 544.14 ha more than other provinces in this region. In the northern region, the age of olive trees is mostly young. In fact, approximately 40% are less than 7 years old and 24% are between 8 and 15 years old [4]. The olive-growing landscape of the northern region is dominated by a single population variety, the ‘Picholine marocaine’ (68%). As part of the Green Morocco Plan, the State encourages the diversification of the variety profile by using the ‘Haouzia’ and ‘Menara’ varieties. ‘Haouzia’ variety represents 16% and ‘Menara’ variety represents 14% in this region.
The three varieties, included in this work, are in traditional or intensive olive groves, and have adapted to extreme growing conditions, water shortages and soils depleted in organic matter. On the other hand, the type of olive oil production in this area is conventional, with hardly any organic production. This means that cultures are not very sustainable from an environmental point of view.
‘Picholine marocaine’ is the characteristic variety of Morocco; it is highly resistant and very adaptive, and is able to anchor strongly on sloping land and can stand drought, among other qualities. Its oil yield is 18% to 22%, and this oil is good quality, with a high content of phenolic compounds, low acidity and high oxidative stability as key characteristics. ‘Haouzia’ and ‘Menara’, local varieties of Larache and Tetuan provinces, have the same advantages as ‘Picholine marocaine’, with better performance and homogeneity [5]. However, this quality is influenced by several factors, such as the geographical provenance, cultivation techniques, water supply, harvest period, extraction techniques and storage conditions [6]. This could have negative repercussions for the commercialisation of Moroccan olive oils due to non-compliance with the requirements of the International Olive Oil Council.
On the other hand, in order to improve the management of the difficult pastes in the production of olive oils without increasing the temperature and to comply with the definition of virgin olive oil, one of the widely accepted and permitted alternatives is the addition of a technological adjuvant to these pastes during the malaxation stage. In this sense, it is worth highlighting that the use of natural microtalcs (hydrated magnesium silicate) was authorised by the European regulation since 1986, solely for food purposes, provided no changes are produced in the physicochemical and organoleptic properties of olive oil [7].
Currently, in Morocco, the most widespread type of olive oil extraction process is continuous centrifugation using a three-outlet decanter, although in small oil mills the traditional discontinuous pressure process is used. On the other hand, it should be noted that natural microtalc, as a technological adjuvant, is mainly used in Spain and scarcely in Morocco, according to the bibliographic review carried out. In all cases, the natural microtalc used in the extraction process must be of food grade.
This work aims to determine the olive oil physicochemical composition from four North Moroccan regions as one of the main productive provinces nationwide: Ouazzane, Chefchaouen, Tetouan and Larache. For this purpose, we evaluate, in this study, the quality parameters, phenolic compounds, oxidative stability, fatty acids, sterols, uvaol + erytrodiol and pigments (carotenoids and chlorophylls) of olive oils of these varieties (‘Picholine marocaine’, ‘Haouzia’ and ‘Menara’) from these four provinces to acquire knowledge of the composition profiles of these compounds in samples obtained from three successive campaigns (2019/2020 to 2021/2022) in different harvesting periods (from November to March). Another aim was to research the effect of natural microtalc (NMT) on compounds of olive oils of these four provinces, and to evaluate whether the addition of microtalc to olive pastes during malaxation influenced the evolution of the quality of olive oils.
2. Materials and Methods
2.1. Chemicals
The chemicals used in this work were as follows: acetic acid glacial (CH3COOH, 99–100%) and n-hexane (C6H14, 95%), supplied by J.T. Baker (Center Valley, PA, USA); diethyl ether (C4H10O, 98%), potassium iodide (KI, 99%) and methanol (CH4O, 99.9%) of HPLC-grade were supplied by Sigma Aldrich (Darmstadt, Germany); cyclohexane (C6H12, 99.7%) was purchased from Honeywell (Offenbach, Germany); chloroform (CHCl3, 99%), ethanol (CH3CH2OH, 99.8%), sodium thiosulfate (Na2S2O3 5H2O, 0.1N), sodium hydroxide Lentils (NaOH, 98.0%), Folin–Ciocalteu’s reagent (UN3264, 1 kg~0.81 dm3), phenolphthalein indicator (C20H14O4, 99.0%), starch solution indicator (C6H10O5)n, 1%) and potassium hydroxide (KOH, 0.1 mol/dm3) in ethanol volumetric solution were supplied by PanReac (Barcelona, Spain) and magnesium silicate hydrate (Mg3SiO10(OH)2), with particle size 2.1 μm, was purchased from Mondo Minerals BV (Amsterdam, The Netherlands), Ref. FC 8 KN. All solutions were prepared in the laboratory by an ultrapure water purification system (Milli-Q ultrapure of resistivity not less than 18.2 MΩ-cm).
2.2. Origin and Location of Olive Samples
The assays and sample collections were performed during the 2019/2020, 2020/2021 and 2021/2022 campaigns at different times of the olive ripening process. Concretely, it was carried out during three harvesting periods between November and March.
Four different provinces of Morocco provided the olive samples that were analysed: Larache, Chefchaouen, Ouazzane and Tetouan with a production area of 17,095.5 ha, 52,418.0 ha, 59,050.0 ha and 22,528.0 ha, respectively (Figure 1) [4]. Samples originating from the provinces of Chefchaouen and Ouazzane, characterised by average altitudes of approximately 603 m and 339 m, respectively, are of the ‘Picholine marocaine’ variety. They are traditionally olive groves in provinces with dry climates. In contrast, samples from Tetouan (177 m, average altitude, intensive cultivation and irrigated olive grove) were associated with the ‘Picholine marocaine’, ‘Haouzia’ and ‘Menara’ varieties. Under the same growing conditions, samples of the ‘Haouzia’ variety were cultivated in the province of Larache (average altitude 46 m), Table 1.
Figure 1.
The political map of Northern Morocco, one of the main productive zones at the national level, showing correctly the provinces of Larache, Chefchaouen, Ouazzane and Tetouan.
Table 1.
Description of the provinces of Chefchaouen (1), Ouazzane (2), Larache (3) and Tetouan (4): olive variety, olive grove typology, climate, average altitude (m) and productive area (ha).
2.3. Characterisation of the Olive Fruit
For the characterisation of the fruit, samples of 2.5 kg of olive weight were collected from different provinces and evaluated throughout the harvest periods. In duplicate, 100 olives were randomly taken from each of the samples to determine their average weight, maturity index, following the method established [8], the percentage of moisture and volatile matter by means of the gravimetric method until reaching a constant weight, the total fat content by solid–liquid extraction in a Soxhlet system for 24 h and finally, the industrial yield and the extractability index. The extractability index is defined as the ratio between the industrial yield and the content of total fat matter on a wet basis, and is usually expressed as a percentage [9].
2.4. Extraction Process of Olive Oils
Olive oil extraction was performed, at the mini-plant level, using the Abencor® system (‘MC2 Ingeniería y Sistemas S.L.’, Seville, Spain). About 750 g olives from each sample were taken to the laboratory and ground in a MM-100 hammer mill for olive oil production, as described. Olive pastes were subsequently malaxed in a TB-100 thermo-mixer at 28 °C for 45 min The adjuvant used in this study is a natural microtalc (NMT), supplied by Mondo Minerals and characterised by its high purity (97 wt.%, calcium carbonate concentration less than 6 wt.%) and small particle size (with a D98% top cut of 8.6 µm, and an average particle size for D50% of 2.1 µm), which means that the amount of this adjuvant (FC8KN) added to the olive pastes in malaxation is lower compared to traditional adjuvants. The percentage of NMT necessary for the process can be in a range of 0.2–0.3% [10]. After the olive oil was separated by centrifugation at 3500 rpm for one minute in CF-100 vertical centrifuge, then the oils were stored at −24 °C.
2.5. Physicochemical Characterisation of Olive Oils
- (i)
- Quality Parameters
The olive oils obtained were characterised, in duplicate, according to the following quality parameters: free acidity, peroxide value and ultraviolet absorption (K270, K232 and ΔK). These parameters were determined following the analytical methods described in the CEE/2568/91 and CEE/1429/92 regulations and subsequent modifications of the European Commission [11,12]. These procedures are also briefly described [13]. The free acidity, expressed as percentage of oleic acid, was determined by placing the olive oil in an ethanol/ethyl ether solution (1:1 v/v) along with a few drops of phenolphthalein and then neutralizing with 0.1 M KOH.
Regarding the peroxide value, expressed in mEq O2/kg oil, it was determined by letting a mixture of oil and acetic acid–chloroform react in the dark with a solution of potassium iodide; then, free iodine was titrated with a sodium thiosulfate solution.
The ultraviolet absorption parameters, K270, K232 and ΔK (absorption of a 1% solution of oil in cyclohexane at 232 and 270 nm), were measured in a UV-VIS spectrophotometer Spectronic Helios γ (Thermo Fisher Scientific, Waltham, MA, USA).
- (ii)
- Determination of bioactive compounds’ contents
The composition of fatty acids, contents of sterols and erytrodiol + uvaol were determined by NIR methodology, using an equipment DS2500L (FOSS Analytical A/S, Hillerød, Denmark).
On the other hand, the content of total phenolic compounds was determined by extraction with a methanol/water (60:40 v/v) solution and measurement of the absorbance of the complex formed between phenolic compounds and the Folin–Ciocalteu reagent at λ = 725 nm in a UV-VIS spectrophotometer Spectronic Helios γ (Thermo Fisher Scientific, Waltham, MA, USA), as described elsewhere [14].
The global determination of pigments content (carotenoids and chlorophylls) was based on the dissolution of an olive oil sample in cyclohexane and its spectrophotometric reading at 472 nm for carotenoids and 670 nm for chlorophylls [15]. The carotenoid fraction is obtained from the absorbance at λ = 470 nm, which corresponds to lutein (70% of the total carotenoid pigments) and the chlorophyll fraction by absorbance at λ = 670 nm, which corresponds to pheophytin (major component of that fraction). The concentration of chlorophyll pigments and carotenoids is obtained as described elsewhere [16].
- (iii)
- Oxidative stability
Regarding the evaluation of oxidative stability, the oxidation induction time was measured by Rancimat equipment, Mod. 743 (Metrohm Hispania, Madrid, Spain). Briefly, 3 g of olive oil were weighed and, after heating to 98 °C, an airflow was bubbled through it with a volumetric flow rate of 10 dm3 h−1. The results obtained referring to the oxidative stability were expressed as induction time in hours [17].
2.6. Statistical Analysis
The statistical analysis was performed using the statistical software IBM SPSS for Windows (SPSS Inc., Elgin, IL, USA) 29.0.2.0 Version. Descriptive statistics were performed before and after the addition of NMT in the extraction process of olive oils. Data are presented as mean ± standard deviation (SD) or percentages for categorical variables and p-value for statistical significance. Also, we used the same statistical software for the analysis of parameters for the characterisation of olive fruit during 3 harvest seasons in non-irrigated and irrigated olive groves. The analysis included the Maturity Index (MI), Average Weight (AW, g/olive), Pulp/Stone Ratio (P/S, g/g) and Total Fatty Matter Content in dry basis (TFMC *, %).
3. Results and Discussion
3.1. Characterisation of the Olive Fruit
In general, the maturity index of the fruits from the four provinces evaluated during 2019/2020 harvesting was between 2.18 and 6.06 (Table A1). If these values are compared with the following campaigns, 2020/2021 and 2021/2022, higher maturity index values were obtained in the samples from the first period of harvesting, being in the ranges of 4.09–6.22 and 2.71–4.12, respectively (Table A1).
In fact, if the three campaigns were compared, it can be observed that, in general, higher values were reached during the 2019/2020 campaign. Specifically, the average weight of ‘Haouzia’ variety (Larache) was 4.16 g/olive in January in the 2019/2020 harvest, against 3.40 g/olive determined at the same time of harvest in the 2020/2021, and 3.29 g/olive was determined at the first time of harvest in the 2021/2022 campaign, in the same sample (Table A1). The average weight, in general, was higher in ‘Picholine marocaine’ from Ouazzane and Chefchaouen compared to olive fruits from Larache and Tetouan for all three varieties, ‘Picholine marocaine’, ‘Haouzia’ and ‘Menara’ (Table A1). Considering the three campaigns, it is worth highlighting that the average weight of ‘P. marocaine’, in provinces 1 and 2 is in the range of 1.48–3.81 g/olive. These values are lower than those indicated by Farssi et al. [18] in the Beni-Mellal region who found an average value of 4.35 g/fruit. With respect to the ‘Haouzia’ variety in province 3, our results are in the range of 1.74–4.16 g/fruit while Farssi et al. [18] found a lower value of 3.35 g/fruit. With respect to humidity and volatile matters, higher values were obtained in the 2020/2021 harvesting period. During the 2019/2020 campaign, this was determined in ‘Picholine marocaine’ from Chefchaouen at percentages of 57.19%, 40.18% and 36.44% in HVM, while in the 2020/2021 campaign, it was 57.42%, 52.55% and 53.82%, respectively (Table A1). It is also important to take into account that, in general, the moisture content is higher in irrigated olive groves. In fact, 57.19%, 40.18% and 36.44% was obtained in HVM in samples from Chefchaouen (dry land) during 2019/2010 harvesting, while the samples from the Tetouan province (irrigated land) were higher: 60.02%, 47.31% and 45.57%, respectively (Table A1). The same samples were also higher: 56.01%, 45.32% and 51.54%, respectively (Table A1) during the 2021/2022 campaign. Nevertheless, no differences in this parameter were observed in the 2020/2021 harvesting period (Table A1).
In general, total fatty matter content (TFMC) was slightly higher during the 2019/2020 harvesting period (Table A1). Indeed, it was determined that the percentage of TFMC (dry matter) in olive fruits from Tetouan were 59.36%, 47.34% and 46.84% during the three times of harvesting in the 2019/2020 campaign which are higher than the percentage determined during the 2020/2021 harvesting period (44.08%, 29.48% and 33.84%, respectively), and during the 2021/2022 harvesting period (44.41%, 37.65% and 43.20%, respectively) (Table A1). In general, the fruits from irrigated olive groves are richer in total fatty matter content. In fruits from Tetouan (province 4) it was determined a percentage (59.36%, 47.34% and 46.84%) were higher than the obtained in fruits from dry lands of Chefchaouen (province 1, corresponding only to ‘P. marocaine’) during the 2019/2020 harvesting period with TFMC* of 52.28%, 35.98% and 46.80% (Table A1).
In general, the maximum values obtained in TFMC, referring to samples of each province during the 2019/2020 campaign, were in the first period of harvesting, being the higher determined value, 59.36%, in olives from Tetouan in November 2019 (Table A1).
Finally, no significant differences were found between the mean values of MI, AW and P/S in non-irrigated and irrigated olive groves; however, the maximum value of TFMC* (in dry basis) was 59.36% in irrigated olive groves (Figure 2).
Figure 2.
Average value of parameters for characterisation of olive fruit during 3 harvest seasons, 2019 to 2022, in rainfed and irrigated olive groves: Maturity Index
(MI), Average Weight
(AW, g/olive), Pulp/Stone Ratio
(P/S, g/g) and Total Fatty Matter Content in dry basis
(TFMC*, %).
(MI), Average Weight
(AW, g/olive), Pulp/Stone Ratio
(P/S, g/g) and Total Fatty Matter Content in dry basis
(TFMC*, %).
In general, for ‘Picholine marocaine’, the TFMC* values determined in this work are higher than those indicated by Gagoura et al. [19], 33.8%. On the other hand, at large, the P/S parameter in ‘P. marocaine’ present higher values in the provinces of higher average altitude.
3.2. Extraction Process of Virgin Olive Oils
3.2.1. Industrial Oil Yield
Based on the experimental results, the industrial oil yield (IY) reached higher values during the 2019/2020 campaign compared to the 2020/2021 and 2021/2022 campaigns (Table 2). In general, the three campaigns showed an increase in industrial oil yield in oil when NMT was added during the malaxation stage, in agreement with [20]. Paste and microtalc have lipophilic properties. NMT increase oil yields by adsorbing the oil droplets retained in the cell walls, forming larger droplets and facilitating oil extraction [21,22,23,24]. In the 2019/2020 season, NMT addition to Chefchaouen fruits led to higher industrial oil yield values (Table 2), averaging around 20.47 wt.% over three sampling periods. The highest industrial oil yield value was achieved using NMT, 21.36 wt.%, during the third sampling period (Table 2); this yield corresponds to the ‘P. marocaine’ variety with a maturity index of 6.06, 36.44% in HVM, and 46.80% (dry basis) in TFMC (Table A1). A far as the 2020/2021 campaign is concerned, the higher industrial oil yield was reached using NMT in the extraction process, with 18.68 wt.%, in samples from Tetouan province during the second sampling, (Table 2); this value corresponds to the ‘Picholine marocaine’, ‘Haouzia’ and ‘Menara’ varieties with 4.65 in MI, 55.47% in HVM and 29.48% (dry basis) in TFMC (Table A1). In the 2021/2022 season, the higher industrial oil yield was reached using NMT in the extraction process, with 21.19 wt.% in samples from the Larache province during the first sampling (Table 2); this value corresponds to the ‘Haouzia’ variety with 4.06 in MI, 41.00% in HVM and 29.36% (dry basis) in TFMC (Table A1). Also, in this season, Chefchaouen fruits with NMT addition led to higher industrial oil yield values averaging around 17.01 and 19.85 wt.% over the second and the last sampling periods (Table A1). From the experimental results, it can be observed that, in general, industrial oil yield increases when natural microtalc is added in the malaxation stage during different times of the extraction process (Table A1).
Table 2.
Industrial oil yield (IY, %) and extractability index (EI, %) in oils obtained without and with the addition of natural microtalc to the olive pastes during malaxation stage spanning three harvest seasons, 2019/20220 to 2021/2022, in the provinces of Chefchaouen (1), Ouazzane (2), Larache (3) and Tetouan (4).
The use of NMT determined a significant increase in the oil extraction yield from three campaigns, 2019/2020, 2020/2021 and 2021/2022. The results of the analyses of yields for three harvesting times, with the addition of natural microtalc and without NMT, indicates statistically significance, p < 0.001 (Figure 3).
Figure 3.
Analysis of variance in the industrial oil yields (IY).
3.2.2. Extractability Index
The extractability index (EI) is related to the resistance offered by the olive paste to oil extraction. Overall, higher extractability index values were obtained during the 2019/2020 campaign (Table 2). In particular, the addition of NMT to Chefchaouen olive fruits obtained in the third sampling of 2019/2020 season allowed it to reach a higher extractability index of 71.80% compared to the same period of 2020/2021 harvesting, where the EI was 36.01% (Table 2) for ‘P. marocaine’ with a maturity index of 6.06 and 6.15 in the 2019/2020 and 2020/2021 campaigns, respectively (Table A1). The experimental results show that NMT increased the extractability index in both campaigns, as was observed in previous studies [7]. In this study, the greatest increase was observed in olive oils extracted from Tetouan fruits (‘P. marocaine’, ‘Haouzia’ and ‘Menara’ varieties) harvested in the last period of the 2020/2021 campaign, with an increase of 66.13% over the average value, from 20.39% without NMT to 40.54% with NMT (Table 2). During the 2021/2022 campaign, higher extractability index values of 86.58% were obtained with the addition of NMT to Ouazzane ‘P. marocaine’, with a maturity index of 4.24 obtained in the third sampling (Table 2).
3.3. Quality Parameters
The results of the determination of acidity, peroxide value and absorption UV from the oils of the 2019/2020, 2020/2021 and 2020/2021 campaigns (Table A2) indicate that the values of the parameters are within the normal ranges for extra virgin olive oils and virgin olive oils since they comply with the European Commission standards (CEE/656/95 and subsequent modifications), [11,12]. Initially, it should be noted that the values obtained from the quality parameters in last two campaigns (2020/2021 and 2021/2022) were higher due to a longer transport time in shipping the samples from Morocco.
In general, it can be observed that acidity values decrease slightly in oils from processes with NMT added, although the differences are not significant. In particular, in oils obtained from olives from Ouazzane province (second sampling in 2020/2021 season), they was determined to have an acidity of 3.86% without adding NMT and 3.67% using natural microtalc (Table A2). In relation to peroxide values, the evolution of the results does follow a decrease with the addition of NMT (Table A2), mainly in the 2021/2022 season. In particular, in olive oils obtained from olives from the Tetouan province (first sampling in 2021/2022 season), it was calculated to have a peroxide value of 11.97 mEq O2/kg oil without adding microtalc and 9.91 mEq O2/kg using NMT. Regarding the values of the parameters K232 and K270, variable values were reached in the three campaigns, although in general, a tendency to decrease slightly with the addition of NMT was detected (Table A2). These results are in agreement with those detected by other authors using different olive varieties, who reported that the addition of microtalc protects the oil from oxidation [25].
This decrease in the quality parameter when the microtalc is added in olive pastes (during the malaxation stage) means that there is an improvement in the olive oils produced, and with that, its commercial valorisation.
3.4. Total Concentrations of the Pigments
Chlorophylls and carotenoids are natural pigments in our daily diet, especially with the trend towards natural, healthy eating [26]. Pigments present in the olive oils are minor components and, as phenolic compounds, have antioxidant properties. In general, experimental results showed that the addition of NMT in the olive oil extraction process increased the pigment concentration in olive oils from the 2019/2020, 2020/2021 and 2021/2022 campaigns compared to those obtained without adjuvant (Table A3). It is worth noting the increase in total carotenoids content achieved in the ‘Haouzia’ variety from the Larache province (first sampling of the 2019/2020 harvest); with microtalc, it was achieved a higher value in total carotenoids content, 10.63 mg/kg oil, compared to that without the use of adjuvants, 6.53 mg/kg oil (Table A3 ).Logically, a significant increase was observed in the same oil, referring to the total chlorophyll content: 20.62 mg/kg oil and 12.86 mg/kg oil, with and without NMT added, respectively (Table A3).
It should be noted that in both campaigns and all of the evaluated provinces, the content of pigments in olive oil decreased as the sampling period progressed. In fact, during the 2020/2021 harvest, using the ‘Picholine marocaine’ variety from Ouazzane and adding NMT in the process, the total carotenoid content decreased with the harvest time: 9.91 mg/kg oil, 7.93 mg/kg oil and 5.65 mg/kg oil (Table A3). It is the same in total chlorophyll content: 27.49 mg/kg oil, 15.06 mg/kg oil and 8.36 mg/kg oil (Table A3). During the 2019/2020 harvesting period, it was determined that a higher value in total pigments content in oils was obtained from Larache fruits with the addition of NMT, reaching a maximum value during the first period of harvesting: 10.63 mg/kg oil was achieved in total carotenoids content and 20.62 mg/kg oil in total chlorophyll content (Table A3). However, during the 2020/2021 campaign, total pigments contents were higher in ‘P. marocaine’ from dry land provinces: Chefchaouen and Ouazzane. Samples from Chefchaouen during the first time of harvesting reached a maximum in total carotenoids content, 11.17 mg/kg oil, when adding NMT during extraction process (Table A3). Regarding total chlorophyll content, a maximum was achieved, 27.49 mg/kg oil, when oil was obtained adding NMT with ‘P. marocaine’ from Ouazzane during November 2020 (Table A3). During the 2021/2022 campaign, it was determined a higher value in total pigments content in oils obtained from Chefchaouen fruits adding NMT was obtained, reaching a maximum value during the first time of harvesting (Table A3).
3.5. Profile in Fatty Acids
The profile of fatty acids composition in the olive oils studied was performed on the three varieties and four provinces. The predominant fatty acids are as follows: oleic acid (18:1), linoleic acid (18:2), palmitic acid (16:0) and stearic acid (18:0), Table 3. Their values correspond to those required by the European Commission [12]. However, fatty acids such as palmitoleic acid (16:1) and linolenic acid (18:3) were detected in small quantities. Margaric acid (17:0) was also determined in low concentration. This fatty acid with an odd carbon number does not come from natural food products; it normally originates from bacterial contamination. Myristic acid (14:0), myristoleic acid (14:1), arachidic acid (20:0), eicosenoic acid (20:1), behenic acid (22:0) and lignoceric acid (24:0) were detected in trace amounts. The highest percentage of oleic acid (76.44%) was determined in the samples from the Larache province and therefore associated with the variety ‘Haouzia’. The fatty acid composition determined in the provinces of Chefchaouen and Ouazzane, associated with the ‘Picholine marocaine’ variety, are very close to those obtained by Bouymajane et al. [27] in the same province of Chefchaouen; the results are practically coincident in palmitic, palmitoleic, oleic and linolenic acids, presenting some differences in stearic acids (2.41% vs. 4.21% in this work) and linoleic acids (7.41% vs. 11.02% in this study).
Table 3.
Composition in fatty acids, percentages of saturated fatty acids (SFA), monounsaturated (MUFA), polyunsaturated (PUFA), ratio of oleic acid to linoleic acid (18:1/18:2) and contents of total sterols and uvaol + erythrodiol in oils obtained, without addition of natural microtalc to the olive pastes during malaxation stage, from olives of the provinces of Chefchaouen (1), Ouazzane (2), Larache (3) and Tetouan (4), corresponding to sampling carried out in campaign 2019/2020.
From a nutritional perspective, the high percentages of oleic acid are noteworthy, especially in the ‘Haouzia’ variety (Larache province), despite the low altitude of this olive-growing area. Also, nutritionally, in the four provinces, the low contents of palmitic acid and the high contents of linolenic acid are noteworthy; the latter being an essential fatty acid.
The contents of saturated fatty acids (SFA), monounsaturated (MUFA), polyunsaturated (PUFA) and the ratio of oleic acid to linoleic acid (18:1/18:2) were also determined. The highest polyunsaturated fatty acid content corresponds to the lowest 18:1/18:2 ratio.
On the other hand, and as expected, it is deduced that altitude and variety influence the fatty acid composition of the oils obtained. Thus, ‘P. marocaine’ in the province with the highest average altitude (Chefchaouen, 603 m) has a high monounsaturated content and a 18:1/18:2 ratio higher, when was compared to oils produced in the Ouazzane province at lower altitudes (339 m) and also in rainfed olive oil. Regarding the varietal aspect, ‘Haouzia’ has the highest percentage of monounsaturated and the highest 18:1/18:2 ratio despite being cultivated in the Larache province (46 m) at a considerably lower altitude and under irrigation, as indicated in Table 1.
3.6. Contents in Total Sterols and Uvaol + Erythrodiol
Certain differences were observed in the total sterols content and percentages of uvaol + erythrodiol in the olive oils produced in the four provinces, Table 3. The highest percentages (2170.0 mg/kg oil) of total sterol content are found in the Tetouan province, while the lowest content (1951.0 mg/kg oil) are found in the Larache province, in the latter case, associated with the ‘Haouzia’ variety. In general, total sterol contents are very high in the four provinces when compared with other provinces and varieties cultivated in Spain. Thus, Alvarruiz et al. [28] found that in the varieties ‘Picual’ and ‘Cornicabra’ cultivated in the province of ‘Castilla La Mancha’, the total sterol contents were 1105 and 1489 mg/kg oils, respectively.
It is worth highlighting that the highest 18:1/18:2 relation corresponds to the lowest contents of total sterols and percentages of uvaol + erythrodiol.
3.7. Total Phenolic Compounds Concentration and Oxidative Stability in Virgin Olive Oils
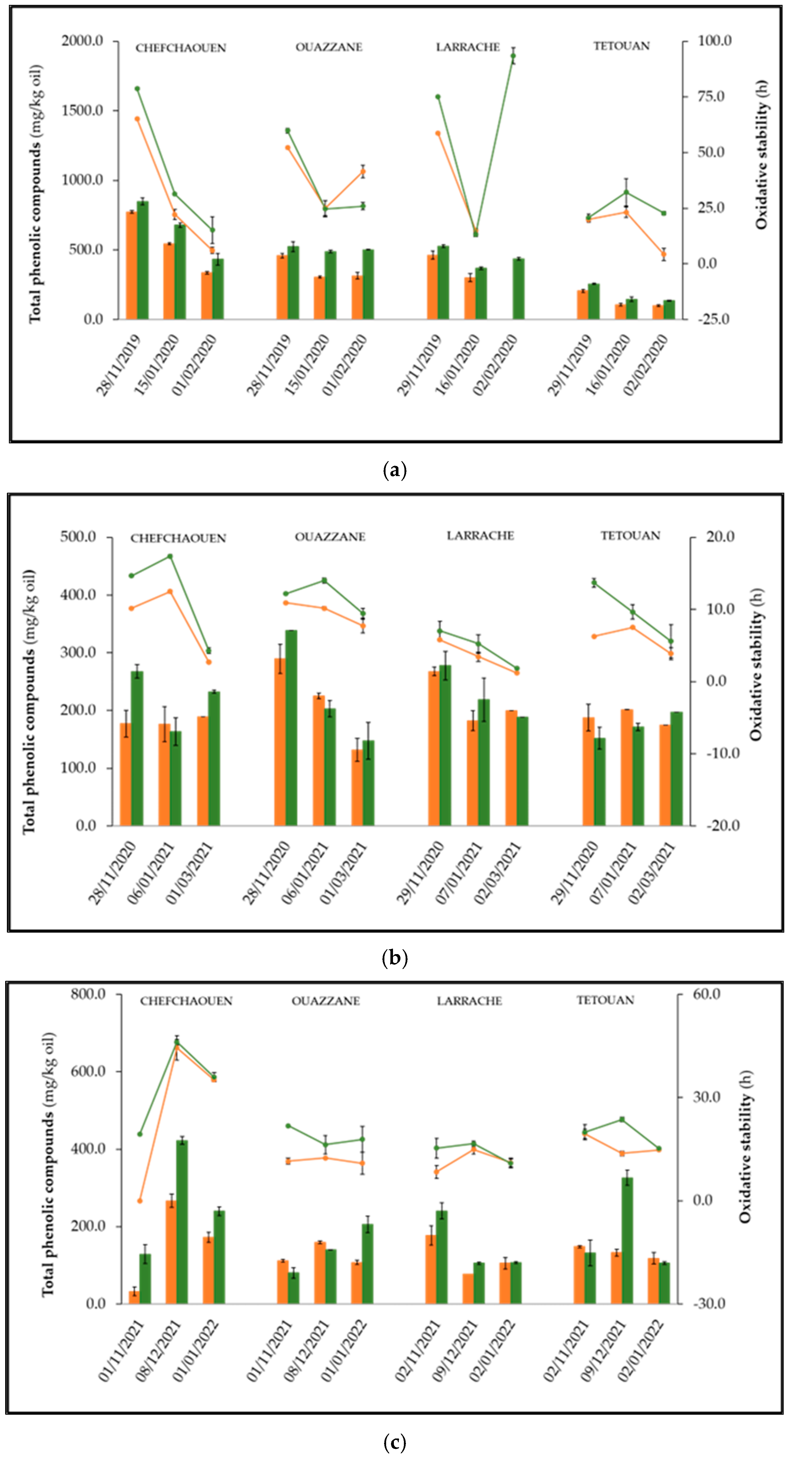
The Rancimat method is an accelerated stability test that provides very useful information about the resistance of oil to the oxidation process. In general, according to the results obtained during these three harvest seasons, from 2019/2020 to 2021/2022, it can be observed that the olive oils obtained by adding natural microtalc offer higher oxidative stability (Figure 4). In fact, a higher value of 93.44 ± 3.6 h was reached in oils extracted during the last harvesting period of 2019/2020 in the Larache province (Figure 4a). In relation to total phenolic compounds content, in general, it can be observed that a higher concentration is determined in the production processes carried out with the addition of NMT, (Figure 4a,b). On the other hand, a higher content of total phenolic compounds has been determined in olive oils produced during the 2019/2020 campaign compared to those from the next two harvesting periods (Figure 4). The oxidative stability of olive oils is related to its composition in minor components, such as phenolic compounds, among others, which have antioxidant properties. Furthermore, the content of total phenolic compounds extracted during production is fundamental for the nutritional quality of the oils. These compounds interrupt the oxidation reaction by donating a hydrogen to the alkyl peroxide radicals, which are formed by lipid oxidation [29,30].
Figure 4.
Concentration of total phenolic compounds (column) and oxidative stability (line) in oils from Morocco provinces at different times of three campaigns: 2019/2020 (a), 2020/2021 (b) and 2021/2022 (c), produced without (
) and with addition (
) of natural microtalc in the production process.
) and with addition (
) of natural microtalc in the production process.
With regards to the content of total phenolic compounds (TFC), it should be noted that, in general, a higher concentration was determined in oils obtained in the processes with the addition of NMT. In fact, in olive oil produced with ‘Chefchaouen’ fruits with NMT added during the first period of the 2020/2021 campaign, it was determined the total phenolic compounds content, 259.35 mg/kg oil, was higher than that achieved without addition, 193.73 mg/kg oil, (Figure 4b). This increase was already highlighted in another research which compared the addition of traditional microtalc and high-purity microtalc (FC8KN) [7]. From the results obtained, comparing the three campaigns, in general, in all the provinces evaluated, the TFC content was higher during 2019/2020 harvesting (Figure 4). In fact, by adding NMT during the extraction process, the maximum content in phenolic compounds was determined in oils obtained from the ‘Picholine marocaine’ variety from Chefchaouen harvested during the first period of the 2019/2020 campaign, resulting in 848.71 mg/kg oil (Figure 4a); however, during 2020/2021 campaign, TFC concentration did not exceed 340 mg/kg in any of the provinces using NMT (Figure 4b).
As a general trend, for all of the seasons, a decrease in phenolic compound content was observed as campaign progressed each of the provinces (Figure 4). During 2019/2020, a higher concentration in total phenolic compounds in oils from ‘Picholine marocaine’ variety from Chefchaouen and Ouazzane, on dry land (Figure 4a), was achieved. This influence of irrigation was similarly observed in other research [31]. However, during the 2020/2021 harvest, no differences in total phenolic compounds content between the provinces assessed were similar. In 2021/2022, the maximum content in phenolic compounds, adding NMT during the extraction process, was determined in oils obtained from the ‘Picholine marocaine’ variety from Chefchaouen, harvested during the second period of the 2021/2022 campaign, resulting in 422.58 mg/kg oil (Figure 4c).
Regarding oxidative stability, throughout the three campaigns, it has been observed that the oils produced by adding NMT showed higher oxidative stability. In fact, as in TFC, olive oils produced during the 2019/2020 campaign showed higher oxidative stability (Figure 4a) compared to those from the 2020/2021 season (Figure 4b). In the case of ‘Picholine marocaine’ variety oils from Chefchaouen produced with the addition of NMT during the first period of harvesting, a higher oxidative stability was achieved in the 2019/2020 campaign, 78.68 h (Figure 4a), compared to the 2020/21 campaign, 14.67 h (Figure 4b), and the 2021/2022 campaign, 46.11 h (Figure 4c).
As is the case for the phenolic content, in general, the oxidative stability of the oils decreases as the sampling period progresses during the harvest, (Figure 4). It can be observed that oxidative stability values decrease in the last two campaigns, 2020/2021 and 2021/2022, in part due to a longer transport time in shipping the samples from Morocco. In this sense, it is worth highlighting that early harvesting of olives is necessary to obtain oils with a higher concentration of phenolic compounds and greater oxidative stability, as indicated by the results obtained; the first samplings of the campaigns yielded superior results for both parameters.
It is worth noting that the increased concentration of total phenolic compounds and oxidative stability are achieved using a very low dose of talc (0.3% relative to the amount of olive paste) in the malaxer. Other authors have found this increase in phenolic compounds and oxidative stability with the use of talc; however, they use a higher dose of microtalc (1.0–2.0%) [32].
This result is similar to that obtained in a previous study for ‘P. marocaine’ using a commercial oil from this same province (Chefchaouen), whose total phenolic compound value was 456.4 mg/kg oil [33]. This concentration is high and consistent with the characteristics of the geographical areas, since this province is located at an average altitude of 603 m and the olive groves are predominantly rainfed (Table 1).
On the other hand, no differences in oxidative stability were observed between the provinces evaluated (Figure 4). It is important to note that the content of phenolic compounds provides oxidative stability in the oil, i.e., the higher the content of phenolic compounds, the higher the stability of the oil [34].
The results were evaluated through a simple lineal regression showing significant determination coefficients (r2 = 0.906) for the regression between total phenolic compounds and chlorophyll contents, TFC + CHL, versus oxidation stability, OS (Figure 5). The expression was as follows:
(TFC + CHL) = 7.927 OS + 59.792
Figure 5.
Lineal regression of total phenolic compounds (TFC) and chlorophyll contents (CHL) versus oxidation stability (OS).
4. Conclusions
From the results obtained, the following conclusions can be deduced:
- In oil olive production, the industrial yields and extractability indexes increased when the natural microtalc was used.
- Taking into account the criteria of the quality parameters, in general, the olive oils produced with microtalc showed lower values if they are compared with those obtained without any addition of natural microtalc.
- An improvement in pigment concentration (total carotenoids and chlorophyll contents) was observed in the olive oils produced by adding natural microtalc compared to those obtained without the addition of adjuvant.
- The highest percentage of oleic acid (76.44%), and with it, the fraction of monounsaturated fatty acids (77.25%), were determined in the samples from the Larache province and therefore associated with the variety ‘Haouzia’.
- In the provinces of majority cultivation of ‘Picholine marocaine’ and dry land (Chefchaouen and Ouazzane), the high values of the concentration of phenolic compounds and oxidative stability, characteristics of this variety, are clearly revealed. These olive oils, produced with natural microtalc, greatly and significantly increase the concentrations of phenolic compounds as well as oxidative stability.
5. Future Research
It would be interesting and advisable to further research the addition of high-purity food microtalcs during the malaxation stage of olive pastes in local Moroccan varieties, and therefore from its northern region. The addition of this technological adjuvant would increase the extraction yields and the quality of the olive oils produced.
Author Contributions
Conceptualization, S.S., M.E.T. and A.H.; methodology, I.O.-M. and N.I.; software, N.I.; validation, N.I., and I.O.-M.; formal analysis, N.I.; investigation, N.I., I.O.-M. and S.S.; resources, N.I.; writing—original draft preparation, N.I. and I.O.-M.; writing—review and editing, M.E.T., A.H.; visualization, N.I.; supervision, S.S. and I.O.-M.; project administration, S.S.; funding acquisition, S.S. and N.I. All authors have read and agreed to the published version of the manuscript.
Funding
This research received funding from ‘Bioprocesses’ Research Group (TEP-138, Andalusia Government, Spain).
Data Availability Statement
The original contributions presented in this study are included in the article. Further inquiries can be directed to the corresponding author.
Acknowledgments
The authors are grateful to the University Institute of Research in Olive Grove and Olive Oils, and to the ‘Central Research Support Service’ of the University of Jaen for their assistance in the use of the analysis equipments.
Conflicts of Interest
The authors declare no conflicts of interest.
Appendix A
Table A1.
Characterisation of olive fruit spanning three harvest seasons, 2019/2020 to 2021/2022, in the provinces of Chefchaouen (1), Ouazzane (2), Larache (3) and Tetouan (4): Maturity Index (MI), Average Weight (AW), Pulp/Stone Ratio (P/S), Humidity and Volatile Matter (HVM) and Total Fatty Matter Content (TFMC).
Table A1.
Characterisation of olive fruit spanning three harvest seasons, 2019/2020 to 2021/2022, in the provinces of Chefchaouen (1), Ouazzane (2), Larache (3) and Tetouan (4): Maturity Index (MI), Average Weight (AW), Pulp/Stone Ratio (P/S), Humidity and Volatile Matter (HVM) and Total Fatty Matter Content (TFMC).
| Province | Harvesting Date | MI | AW (g/olive) | P/S (g/g) | HVM (%) | TFMC * (%) | TFMC ** (%) |
|---|---|---|---|---|---|---|---|
| 1 | 28 November 2019 | 2.97 | 3.52 | 3.50 | 57.19 | 52.28 ± 1.91 | 23.42 ± 2.28 |
| 15 January 2020 | 5.75 | 1.79 | 3.79 | 40.18 | 35.98 ± 0.40 | 21.73 ± 0.53 | |
| 1 February 2020 | 6.06 | 2.36 | 3.21 | 36.44 | 46.80 ± 0.00 | 29.75 ± 0.00 | |
| 2 | 28 November 2019 | 2.84 | 3.55 | 4.88 | 54.99 | 55.46 ± 3.70 | 25.32 ± 1.16 |
| 15 January 2020 | 5.91 | 3.81 | 3.62 | 58.08 | 47.90 ± 0.00 | 20.08 ± 0.00 | |
| 1 February 2020 | 5.90 | 1.48 | 3.08 | 35.57 | 36.69 ± 0.00 | 23.64 ± 0.00 | |
| 3 | 29 November 2019 | 2.18 | 2.89 | 4.61 | 54.06 | --- | --- |
| 16 January 2020 | 5.33 | 4.16 | 3.95 | 48.20 | 56.77 ± 0.00 | 26.08 ± 0.00 | |
| 2 February 2020 | 3.58 | 2.57 | 2.98 | 25.83 | 47.97 ± 0.00 | 24.85 ± 0.00 | |
| 4 | 29 November 2019 | 2.76 | 2.39 | 3.05 | 60.02 | 59.36 ± 1.12 | 24.45 ± 1.46 |
| 16 January 2020 | 4.79 | 2.95 | 3.58 | 47.31 | 47.34 ± 1.44 | 24.04 ± 0.53 | |
| 2 February 2020 | 5.21 | 3.07 | 1.66 | 45.57 | 46.84 ± 0.00 | 25.49 ± 0.00 | |
| 1 | 28 November 2020 | 5.87 | 3.65 | 3.13 | 57.42 ± 1.19 | 28.32 ± 2.34 | 12.05 ± 0.66 |
| 6 January 2021 | 6.36 | 3.44 ± 0.03 | 2.37 | 52.55 ± 0.04 | 41.37 ± 0.22 | 19.63 ± 0.12 | |
| 1 March 2021 | 6.15 | 1.79 ± 0.06 | 1.92 | 53.82 ± 0.74 | 35.01 ± 1.68 | 16.16 ± 0.52 | |
| 2 | 28 November 2020 | 4.09 | 2.44 | 2.11 | 52.25 ± 0.73 | 39.22 ± 0.00 | 17.80 ± 0.00 |
| 6 January 2021 | 7.00 | 3.06 ± 0.04 | 2.34 | 52.58 ± 0.64 | 42.75 ± 0.57 | 23.37 ± 0.21 | |
| 1 March 2021 | 6.41 | 1.82 ± 0.33 | 1.95 | 54.61 ± 0.00 | 37.10 ± 2.04 | 17.46 ± 0.49 | |
| 3 | 29 November 2020 | 5.23 | 2.99 | 2.75 | 50.36 ± 0.00 | 29.08 ± 0.00 | 14.44 ± 0.00 |
| 7 January 2021 | 4.67 | 3.40 | 3.08 | 52.64 ± 0.16 | 33.27 ± 2.64 | 15.76 ± 1.30 | |
| 2 March 2021 | 6.07 | 1.74 ± 0.09 | 2.23 | 50.66 ± 2.03 | 31.32 ± 3.69 | 15.42 ± 1.19 | |
| 4 | 29 November 2020 | 6.22 | 3.55 | 2.91 | 50.81 ± 0.00 | 44.08 ± 0.00 | 21.68 ± 0.00 |
| 7 January 2021 | 4.65 | 2.98 | 3.00 | 55.47 ± 0.00 | 29.48 ± 0.97 | 13.12 ± 0.27 | |
| 2 March 2021 | 6.19 | 1.65 ± 0.06 | 1.77 | 51.86 ± 1.06 | 33.84 ± 1.16 | 16.28 ± 0.20 | |
| 1 | 1 November 2021 | 4.12 ± 0.02 | 2.23 ± 0.05 | 3.05 ± 0.14 | 45.38 ± 0.99 | 37.68 ± 2.22 | 20.56 ± 0.84 |
| 8 December 2021 | 2.99 ± 0.21 | 3.52 ± 0.04 | 3.60 ± 0.03 | 46.82 ± 0.53 | 38.49 ± 1.51 | 20.46 ± 0.60 | |
| 1 January 2022 | 4.25 ± 0.09 | 2.88 ± 0.24 | 3.18 ± 0.14 | 43.85 ± 0.28 | 42.03 ± 0.14 | 23.60 ± 0.04 | |
| 2 | 1 November 2021 | 3.50 ± 0.20 | 3.22 ± 0.06 | 3.83 ± 0.04 | 54.95 ± 0.30 | 43.53 ± 0.96 | 19.61 ± 0.30 |
| 8 December 2021 | 3.45 ± 0.05 | 3.19 ± 0.11 | 3.62 ± 0.14 | 52.91 ± 0.71 | 40.55 ± 1.81 | 19.08 ± 0.57 | |
| 1 January 2022 | 4.24 ± 0.08 | 2.65 ± 0.01 | 3.36 ± 0.02 | 47.57 ± 0.90 | 37.84 ± 0.40 | 19.83 ± 0.13 | |
| 3 | 2 November 2021 | 4.06 ± 0.24 | 3.29 ± 0.08 | 3.70 ± 0.01 | 41.00 ± 0.21 | 49.76 ± 0.30 | 29.36 ± 0.07 |
| 9 December 2021 | 4.26 ± 0.01 | 2.22 ± 0.03 | 2.91 ± 0.01 | 46.19 ± 0.67 | 28.11 ± 1.33 | 15.12 ± 0.53 | |
| 2 January 2022 | 4.89 ± 0.02 | 1.96 ± 0.04 | 2.94 ± 0.13 | 48.24 ± 1.42 | 29.88 ± 2.42 | 15.43 ± 0.83 | |
| 4 | 2 November 2021 | 2.71 ± 0.16 | 3.27 ± 0.07 | 3.52 ± 0.07 | 56.01 ± 0.26 | 44.41 ± 0.55 | 19.53 ± 0.13 |
| 9 December 2021 | 3.65 | 2.31 ± 0.05 | 2.92 ± 0.23 | 45.32 ± 0.28 | 37.65 ± 0.49 | 20.59 ± 0.16 | |
| 2 January 2022 | 3.97 ± 0.09 | 2.70 ± 0.03 | 3.26 ± 0.04 | 51.54 ± 0.14 | 43.20 ± 0.96 | 20.93 ± 0.40 |
* dry basis, ** wet basis.
Table A2.
Quality parameters in oils covering three harvest seasons, 2019/2020 to 2021/2022, in the provinces of Chefchaouen (1), Ouazzane (2), Larache (3) and Tetouan (4), produced without (NT) and with the addition (T) of natural microtalc during malaxation stage in the oil extraction process.
Table A2.
Quality parameters in oils covering three harvest seasons, 2019/2020 to 2021/2022, in the provinces of Chefchaouen (1), Ouazzane (2), Larache (3) and Tetouan (4), produced without (NT) and with the addition (T) of natural microtalc during malaxation stage in the oil extraction process.
| Province | Harvesting Date | NMT Addition | Acidity (%) | Peroxide Value (mEq O2/kg oil) | K232 | K270 | ΔK |
|---|---|---|---|---|---|---|---|
| 1 | 28 November 2019 | NT | 0.45 ± 0.00 | 7.28 ± 0.00 | 1.75 ± 0.02 | 0.16 ± 0.05 | 0.02 ± 0.00 |
| T | 0.43 ± 0.00 | 9.37 ± 0.22 | 1.69 ± 0.01 | 0.20 ± 0.02 | 0.01 ± 0.00 | ||
| 15 January 2020 | NT | 1.64 ± 0.00 | 8.46 ± 0.44 | 0.98 ± 0.05 | 0.15 ± 0.05 | 0.00 ± 0.00 | |
| T | 2.09 ± 0.21 | 10.76 ± 0.14 | 1.74 ± 0.01 | 0.24 ± 0.02 | 0.02 ± 0.00 | ||
| 1 February 2020 | NT | 1.71 ± 0.06 | 7.98 ± 0.30 | 1.48 ± 0.01 | 0.14 ± 0.03 | 0.07 ± 0.00 | |
| T | 2.06 ± 0.17 | 8.57 ± 0.26 | 1.33 ± 0.04 | 0.10 ± 0.01 | 0.00 ± 0.00 | ||
| 2 | 28 November 2019 | NT | 0.88 ± 0.02 | 7.55 ± 0.30 | 1.56 ± 0.02 | 0.18 ± 0.05 | 0.01 ± 0.00 |
| T | 0.78 ± 0.00 | 10.84 ± 0.04 | 1.51 ± 0.07 | 0.16 ± 0.05 | 0.01 ± 0.00 | ||
| 15 January 2020 | NT | 1.68 ± 0.09 | 8.28 ± 0.85 | 1.57 ± 0.02 | 0.19 ± 0.05 | 0.00 ± 0.00 | |
| T | 1.73 ± 0.03 | 9.16 ± 0.32 | 1.60 ± 0.02 | 0.19 ± 0.07 | 0.00 ± 0.00 | ||
| 1 February 2020 | NT | 1.88 ± 0.03 | 8.09 ± 0.55 | 2.04 ± 0.02 | 0.23 ± 0.04 | 0.00 ± 0.00 | |
| T | 1.84 ± 0.03 | 9.46 ± 0.42 | 1.59 ± 0.01 | 0.11 ± 0.02 | 0.00 ± 0.00 | ||
| 3 | 29 November 2019 | NT | 0.36 ± 0.00 | 10.10 ± 0.04 | 1.64 ± 0.01 | 0.20 ± 0.02 | 0.00 ± 0.00 |
| T | 0.38 ± 0.02 | 7.75 ± 0.22 | 1.61 ± 0.03 | 0.20 ± 0.02 | 0.00 ± 0.00 | ||
| 16 January 2020 | NT | 0.50 ± 0.00 | 12.43 ± 0.23 | 1.24 ± 0.08 | 0.10 ± 0.02 | 0.00 ± 0.00 | |
| T | 1.00 ± 0.08 | 11.47 ± 0.30 | 1.68 ± 0.07 | 0.14 ± 0.02 | 0.00 ± 0.00 | ||
| 2 February 2020 | NT | -- | -- | -- | -- | -- | |
| T | 0.97 ± 0.07 | 9.76 ± 0.32 | 1.85 ± 0.05 | 0.19 ± 0.06 | 0.00 ± 0.00 | ||
| 4 | 29 November 2019 | NT | 0.31 ± 0.04 | 6.25 ± 0.42 | 1.31 ± 0.03 | 0.17 ± 0.05 | 0.01 ± 0.00 |
| T | 0.32 ± 0.02 | 6.38 ± 0.24 | 1.30 ± 0.09 | 0.18 ± 0.03 | 0.01 ± 0.00 | ||
| 16 January 2020 | NT | 0.95 ± 0.01 | 9.87 ± 0.20 | 1.45 ± 0.02 | 0.10 ± 0.01 | 0.00 ± 0.00 | |
| T | 1.00 ± 0.02 | 9.34 ± 0.45 | 1.30 ± 0.08 | 0.10 ± 0.03 | 0.00 ± 0.00 | ||
| 2 February 2020 | NT | 0.30 ± 0.05 | 13.23 ± 0.16 | 1.34 ± 0.02 | 0.11 ± 0.03 | 0.00 ± 0.00 | |
| T | 0.38 ± 0.06 | 13.20 ± 0.34 | 1.53 ± 0.02 | 0.12 ± 0.01 | 0.00 ± 0.00 | ||
| 1 | 28 November 2020 | NT | 5.18 ± 0.01 | 13.97 ± 1.15 | 1.90 ± 0.26 | 0.27 ± 0.06 | 0.00 ± 0.00 |
| T | 5.27 ± 0.10 | 10.36 ± 0.51 | 1.65 ± 0.23 | 0.32 ± 0.08 | 0.00 ± 0.00 | ||
| 6 January 2021 | NT | 3.65 ± 0.06 | 11.23 ± 0.06 | 1.77 ± 0.03 | 0.24 ± 0.00 | 0.00 ± 0.00 | |
| T | 3.53 ± 0.06 | 11.76 ± 1.55 | 1.49 ± 0.18 | 0.19 ± 0.02 | 0.00 ± 0.00 | ||
| 1 March 2021 | NT | 9.43 ± 0.11 | 11.09 ± 0.84 | 2.40 ± 0.02 | 0.40 ± 0.01 | 0.01 ± 0.00 | |
| T | 9.38 ± 0.08 | 10.89 ± 0.59 | 2.45 ± 0.07 | 0.43 ± 0.00 | 0.02 ± 0.00 | ||
| 2 | 28 November 2020 | NT | 15.02 ± 0.30 | 10.09 ± 0.79 | 1.81 ± 0.17 | 0.53 ± 0.04 | 0.02 ± 0.00 |
| T | 14.24 ± 0.04 | 10.12 ± 1.62 | 1.77 ± 0.01 | 0.52 ± 0.03 | 0.02 ± 0.00 | ||
| 6 January 2021 | NT | 3.86 ± 0.09 | 12.51 ± 1.23 | 1.90 ± 0.20 | 0.31 ± 0.09 | 0.00 ± 0.01 | |
| T | 3.67 ± 0.03 | 13.85 ± 0.48 | 1.72 ± 0.10 | 0.20 ± 0.01 | 0.00 ± 0.01 | ||
| 1 March 2021 | NT | 8.58 ± 0.04 | 9.95 ± 0.07 | 2.33 ± 0.07 | 0.49 ± 0.04 | 0.01 ± 0.00 | |
| T | 8.25 ± 0.02 | 9.67 ± 1.48 | 2.58 ± 0.03 | 0.59 ± 0.01 | 0.01 ± 0.00 | ||
| 3 | 29 November 2020 | NT | 3.27 ± 0.08 | 15.78 ± 0.78 | 2.27 ± 0.00 | 0.20 ± 0.00 | 0.00 ± 0.00 |
| T | 3.27 ± 0.00 | 13.23 ± 0.17 | 2.28 ± 0.09 | 0.28 ± 0.05 | 0.00 ± 0.00 | ||
| 7 January 2021 | NT | 2.05 ± 0.07 | 8.09 ± 0.39 | 1.88 ± 0.05 | 0.26 ± 0.07 | 0.00 ± 0.00 | |
| T | 2.18 ± 0.02 | 8.83 ± 0.62 | 1.61 ± 0.12 | 0.18 ± 0.04 | 0.00 ± 0.00 | ||
| 2 March 2021 | NT | 8.89 ± 0.04 | 11.02 ± 0.44 | 2.50 ± 0.36 | 0.57 ± 0.01 | 0.01 ± 0.00 | |
| T | 8.50 ± 0.10 | 11.36 ± 1.22 | 2.87 ± 1.06 | 0.66 ± 0.06 | 0.01 ± 0.00 | ||
| 4 | 29 November 2020 | NT | 6.43 ± 0.06 | 9.22 ± 0.09 | 1.67 ± 0.01 | 0.25 ± 0.05 | 0.00 ± 0.00 |
| T | 6.41 ± 0.09 | 9.80 ± 1.09 | 1.75 ± 0.15 | 0.21 ± 0.02 | 0.00 ± 0.00 | ||
| 7 January 2021 | NT | 3.02 ± 0.01 | 11.44 ± 0.57 | 1.64 ± 0.03 | 0.15 ± 0.01 | 0.00 ± 0.00 | |
| T | 2.91 ± 0.09 | 9.53 ± 0.46 | 1.70 ± 0.01 | 0.14 ± 0.00 | 0.00 ± 0.00 | ||
| 2 March 2021 | NT | 8.99 ± 0.16 | 8.56 ± 0.21 | 2.38 ± 0.11 | 0.45 ± 0.01 | 0.01 ± 0.00 | |
| T | 8.94 ± 0.05 | 8.13 ± 0.57 | 2.36 ± 0.00 | 0.41 ± 0.00 | 0.01 ± 0.00 | ||
| 1 | 1 November 2021 | NT | 0.83 ± 0.00 | 13.44 ± 0.71 | 1.81 ± 0.07 | 0.16 ± 0.01 | 0.01 ± 0.00 |
| T | 0.76 ± 0.10 | 11.56 ± 0.45 | 2.57 ± 0.10 | 0.21 ± 0.00 | 0.01 ± 0.00 | ||
| 8 December 2021 | NT | 1.20 ± 0.01 | 7.31 ± 0.75 | 2.02 ± 0.19 | 0.12 ± 0.14 | 0.00 ± 0.00 | |
| T | 1.11 ± 0.00 | 6.49 ± 1.49 | 1.94 ± 0.11 | 0.20 ± 0.00 | 0.00 ± 0.00 | ||
| 1 January 2022 | NT | 1.14 ± 0.18 | 13.15 ± 0.89 | 2.08 ± 0.07 | 1.26 ± 0.30 | 0.02 ± 0.01 | |
| T | 0.71 ± 0.24 | 13.29 ± 0.95 | 2.14 ± 1.11 | 0.77 ± 0.06 | 0.01 ± 0.00 | ||
| 2 | 1 November 2021 | NT | 9.44 ± 0.88 | 8.80 ± 0.75 | 1.23 ± 0.07 | 0.17 ± 0.02 | 0.00 ± 0.01 |
| T | 7.90 ± 0.87 | 8.21 ± 0.93 | 1.80 ± 0.03 | 0.27 ± 0.01 | 0.01 ± 0.01 | ||
| 8 December 2021 | NT | 3.04 ± 0.01 | 6.28 ± 0.61 | 1.74 ± 0.56 | 0.17 ± 0.00 | 0.00 ± 0.00 | |
| T | 2.75 ± 0.11 | 5.84 ± 1.24 | 1.80 ± 0.01 | 0.16 ± 0.00 | 0.00 ± 0.00 | ||
| 1 January 2022 | NT | 1.02 ± 0.00 | 23.79 ± 2.27 | 2.57 ± 0.36 | 0.70 ± 0.03 | 0.01 ± 0.00 | |
| T | 1.03 ± 0.01 | 21.98 ± 0.18 | 2.32 ± 0.55 | 0.13 ± 0.02 | 0.00 ± 0.00 | ||
| 3 | 2 November 2021 | NT | 0.74 ± 0.00 | 13.08 ± 1.15 | 2.34 ± 0.68 | 0.15 ± 0.01 | 0.01 ± 0.00 |
| T | 0.56 ± 0.26 | 11.17 ± 0.02 | 2.27 ± 0.12 | 0.14 ± 0.01 | 0.00 ± 0.00 | ||
| 9 December 2021 | NT | 0.14 ± 0.06 | 8.96 ± 0.46 | 1.34 ± 0.03 | 0.15 ± 0.01 | 0.01 ± 0.01 | |
| T | 0.12 ± 0.03 | 6.14 ± 0.40 | 1.69 ± 0.01 | 0.16 ± 0.00 | 0.00 ± 0.00 | ||
| 2 January 2022 | NT | 1.07 ± 0.06 | 17.68 ± 1.28 | 1.94 ± 0.02 | 0.04 ± 0.01 | 0.00 ± 0.00 | |
| T | 1.16 ± 0.06 | 17.65 ± 0.37 | 1.26 ± 0.04 | 0.70 ± 0.13 | 0.01 ± 0.00 | ||
| 4 | 2 November 2021 | NT | 4.25 ± 0.25 | 11.97 ± 0.53 | 1.77 ± 0.38 | 0.18 ± 0.03 | 0.00 ± 0.00 |
| T | 4.10 ± 0.53 | 9.91 ± 0.76 | 1.63 ± 0.08 | 0.36 ± 0.01 | 0.01 ± 0.01 | ||
| 9 December 2021 | NT | 0.79 ± 0.07 | 11.90 ± 0.85 | 1.96 ± 0.05 | 0.19 ± 0.01 | 0.00 ± 0.00 | |
| T | 0.28 ± 0.13 | 10.24 ± 0.04 | 1.57 ± 0.18 | 0.15 ± 0.00 | 0.00 ± 0.00 | ||
| 2 January 2022 | NT | 1.13 ± 0.16 | 12.39 ± 0.06 | 2.47 ± 0.29 | 0.15 ± 0.08 | 0.04 ± 0.00 | |
| T | 1.14 ± 0.02 | 12.09 ± 0.59 | 2.37 ± 0.38 | 0.29 ± 0.05 | 0.04 ± 0.00 | ||
| [35] | ≤0.80 | ≤20.0 | ≤2.50 | ≤0.22 | ≤0.01 |
Table A3.
Total concentrations of carotenoids (CAR) and chlorophylls (CHL) in olive oils obtained without and with the addition of natural microtalc to the olive pastes during malaxation step spanning three harvest seasons, 2019/20220 to 2021/2022, in the provinces of Chefchaouen (1), Ouazzane (2), Larache (3) and Tetouan (4).
Table A3.
Total concentrations of carotenoids (CAR) and chlorophylls (CHL) in olive oils obtained without and with the addition of natural microtalc to the olive pastes during malaxation step spanning three harvest seasons, 2019/20220 to 2021/2022, in the provinces of Chefchaouen (1), Ouazzane (2), Larache (3) and Tetouan (4).
| Province | Harvesting Date | CAR * (%) | CAR ** (%) | CHL * (%) | CHL ** (%) |
|---|---|---|---|---|---|
| 1 | 28 November 2019 | 6.23 ± 0.87 | 6.40 ± 0.50 | 9.31 ± 1.07 | 10.79 ± 0.97 |
| 15 January 2020 | 4.57 ± 0.46 | 4.76 ± 0.13 | 9.69 ± 1.18 | 10.58 ± 0.49 | |
| 1 February 2020 | 2.94 ± 0.51 | 2.54 ± 0.46 | 5.44 ± 1.98 | 4.40 ± 1.50 | |
| 2 | 28 November 2019 | 3.99 ± 0.39 | 4.52 ± 0.28 | 8.02 ± 1.86 | 9.40 ± 0.58 |
| 15 January 2020 | 5.49 ± 0.36 | 4.52 ± 0.30 | 12.40 ± 1.59 | 9.52 ± 0.08 | |
| 1 February 2020 | 3.92 ± 0.13 | 3.68 ± 1.33 | 8.79 ± 0.83 | 7.96 ± 1.90 | |
| 3 | 29 November 2019 | 6.53 ± 0.51 | 10.63 ± 1.51 | 12.86 ± 2.24 | 20.62 ± 4.28 |
| 16 January 2020 | 4.36 ± 0.05 | 4.60 ± 0.05 | 8.82 ± 0.21 | 9.71 ± 0.49 | |
| 2 February 2020 | -- | 4.28 ± 0.51 | -- | 5.41 ± 1.72 | |
| 4 | 29 November 2019 | 5.53 ± 0.15 | 7.31 ± 0.07 | 8.22 ± 0.69 | 11.96 ± 0.48 |
| 16 January 2020 | 2.36 ± 0.15 | 3.27 ± 0.24 | 4.83 ± 0.05 | 6.81 ± 0.57 | |
| 2 February 2020 | 2.01 ± 0.36 | 2.12 ± 0.04 | 3.78 ± 0.77 | 4.06 ± 0.59 | |
| 1 | 28 November 2020 | 10.59 ± 0.10 | 11.17 ± 0.14 | 23.42 ± 0.34 | 25.06 ± 0.61 |
| 6 January 2021 | 7.04 ± 0.26 | 7.44 ± 0.15 | 12.53 ± 0.18 | 13.23 ± 0.32 | |
| 1 March 2021 | -- | 4.38 ± 0.04 | -- | 5.90 ± 0.02 | |
| 2 | 28 November 2020 | 9.64 ± 0.11 | 9.91 ± 0.01 | 26.39 ± 0.02 | 27.49 ± 0.07 |
| 6 January 2021 | 6.49 ± 0.23 | 7.93 ± 0.04 | 12.25 ± 1.42 | 15.06 ± 0.21 | |
| 1 March 2021 | 5.22 ± 0.14 | 5.65 ± 0.12 | 7.89 ± 0.18 | 8.36 ± 0.44 | |
| 3 | 29 November 2020 | 5.39 ± 0.03 | 3.64 ± 0.01 | 10.59 ± 0.15 | 7.45 ± 0.29 |
| 7 January 2021 | 6.61 ± 0.27 | 6.85 ± 0.007 | 11.06 ± 0.26 | 12.53 ± 0.23 | |
| 2 March 2021 | 8.24 ± 0.00 | 5.36 ± 0.03 | 13.89 ± 0.00 | 8.09 ± 0.10 | |
| 4 | 29 November 2020 | 3.90 ± 0.04 | 3.79 ± 0.04 | 6.99 ± 0.02 | 6.98 ± 0.05 |
| 7 January 2021 | 6.02 ± 0.15 | 6.44 ± 0.10 | 10.50 ± 0.52 | 11.58 ± 0.31 | |
| 2 March 2021 | 4.73 ± 0.00 | 4.87 ± 0.26 | 7.27 ± 0.00 | 7.04 ± 0.43 | |
| 1 | 1 November 2021 | 7.068 | 8.68 ± 0.20 | 10.40 ± 1.74 | 11.42 |
| 8 December 2021 | 4.73 ± 0.69 | 9.66 ± 1.47 | 20.20 ± 3.03 | 22.69 ± 2.79 | |
| 1 January 2022 | 5.89 ± 0.89 | 4.99 ± 0.58 | 9.03 ± 2.25 | 6.99 ± 1.54 | |
| 2 | 1 November 2021 | 5.67 ± 0.92 | 6.68 ± 0.82 | 11.57 ± 2.82 | 13.70 ± 1.41 |
| 8 December 2021 | 3.78 ± 0.63 | 4.97 ± 0.28 | 9.57 ± 1.11 | 7.58 ± 1.52 | |
| 1 January 2022 | 5.26 ± 0.28 | 5.21 ± 0.59 | 8.58 ± 0.86 | 9.13 ± 1.57 | |
| 3 | 2 November 2021 | 5.73 ± 0.12 | 7.08 ± 0.42 | 8.17 ± 0.54 | 9.79 ± 0.95 |
| 9 December 2021 | 3.90 ± 0.18 | 3.08 ± 0.09 | 6.55 ± 0.65 | 5.51 ± 0.01 | |
| 2 January 2022 | 3.37 ± 0.31 | 5.17 ± 0.41 | 5.30 ± 1.25 | 7.96 ± 1.04 | |
| 4 | 2 November 2021 | 5.65 ± 0.10 | 7.22 ± 0.99 | 7.28 ± 0.06 | 10.47 ± 1.31 |
| 9 December 2021 | 3.60 ± 0.97 | 5.28 ± 0.49 | 7.26 ± 1.23 | 9.94 ± 1.17 | |
| 2 January 2022 | 2.53 ± 0.05 | 3.03 ± 0.24 | 4.78 ± 0.58 | 5.40 ± 0.55 |
* No NMT added during malaxation stage, ** NMT added.
References
- International Olive Council. 2019. Available online: https://www.internationaloliveoil.org/wp-content/uploads/2019/11/OLIVAE-125-ENG.pdf (accessed on 15 November 2024).
- Ministry of Agriculture, Maritime Fisheries, Rural Development and Water and Forests (MAPMDREF), Morocco. Filière oléicole|Ministère de l’agriculture. Available online: http://www.agriculture.gov.ma (accessed on 17 October 2024).
- Regional Directorate for Agriculture Tangier-Tetouan-Al Hoceima. 2022. Available online: https://www.agriculture.gov.ma/fr/region/tanger-tetouan-al-hoceima/Filièreoléicole (accessed on 4 November 2024).
- Office Régional de Mise en Valeur Agricole du Loukkos (ORMVAL), Larache, Morocco. 2022.
- National Institute for Agricultural Research of Morocco. 2002. Available online: https://www.inra.org.ma/sites/default/files/actesolivier.pdf (accessed on 22 October 2024).
- Pinatel, C.; Petit, C.; Ollivier, D.; Artaud, J. Outils pour l’amélioration organoleptique des huiles d’olive vierges. OCL-Oilseeds Fats Crops Lipids 2004, 11, 217–222. [Google Scholar] [CrossRef]
- Sánchez, S.; Olivares, I.; Puentes, J.G.; Órpez, R.; La Rubia, M.D.; Pacheco, R.; García-Martín, J.F. Use of natural microtalcs during the virgin olive oil production process to increase its content in antioxidant compounds. Processes 2022, 10, 950. [Google Scholar] [CrossRef]
- Uceda, M.; Frías, L. Épocas de recolección. Evolución del contenido graso, de la composición y la calidad del aceite. In Proceedings of the ‘II Seminario Oleícola International’, Córdoba, Spain, 6–17 October 1975; pp. 25–46. [Google Scholar]
- Beltrán, G.; Uceda, M.; Jiménez, A.; Aguilera, M.P. Olive oil extractability index as a parameter for olive cultivar characterisation. J. Sci. Food Agric. 2003, 83, 503–506. [Google Scholar] [CrossRef]
- Sánchez, S.; Landeta, J.M.; Sabalete, J.M.; Olivares, I.; Puentes, J.G.; Órpez, R.; La Rubia, M.D.; Pacheco, R. Aplicación de microtalco natural de tamaño de partícula pequeño en la elaboración de aceites de oliva vírgenes. In Proceedings of the XVIII Symposium Scientific Technical-Expoliva, Jaen, Spain, 12–13 May 2017. [Google Scholar]
- European Union Commission. Commission Regulation (EEC) No 2568/91 on the characteristics of olive oil and olive-residue oil and on the relevant methods of analysis. Off. J. Eur. Communities 1991, 248, 1991. Available online: https://leap.unep.org/countries/eu/national-legislation/commission-regulation-eec-no-256891-characteristics-olive-oil-and (accessed on 3 December 2024).
- Commission Implementing Regulation (EU) No 1348/2013 amending Regulation (EEC) No 2568/91. Off. J. Eur. Union 2013, L338, 31–67. Available online: https://www.fao.org/faolex/results/details/en/c/LEX-FAOC129253/ (accessed on 30 October 2024).
- García Martín, J.F. Potential of near-infrared spectroscopy for the determination of olive oil quality. Sensors 2022, 22, 2831. [Google Scholar] [CrossRef]
- Vázquez-Roncero, A.; Janer del Valle, C.; Janer del Valle, M.L. Determinación de los polifenoles totales del aceite de oliva. Grasas Aceites 1973, 24, 350–357. [Google Scholar]
- Mínguez, M.I.; Rejano, L.; Gandul, B.; Sánchez, A.; Garrido, J. Color-pigment correlation in virgin olive oil. J. Am. Oil Chem. Soc. 1991, 68, 332–336. [Google Scholar] [CrossRef]
- Papaseit, J. El color del aceite de oliva extra virgen, característica de calidad. Grasas Aceites 1986, 37, 204–206. [Google Scholar]
- Gutierrez Rosales, F. Determination of oxidative stability in virgin olive oils: Comparison between active oxygen method and Rancimat method. Grasas Aceites 1989, 40, 1–5. [Google Scholar]
- Farssi, O.; Touloun, O.; Ait Mansour, A.; Dayane, M.; Bouzida, B.; Erriqioui, N.; Farissi, M. Evaluation of the pomological characteristics of olive fruits (Olea europaea L.) of five varieties grown in the Beni-Mellal Region (Morocco). Int. J. Res. Agric. For. 2019, 6, 23–28. Available online: https://ijraf.org/papers/v6-i1/3.pdf (accessed on 26 September 2024).
- Gagoura, J.; Khaoula, E.G.; Ibourkia, M.; Sakar, E.H.; Gharbya, S. Physicochemical traits of olive fruit and oil from eight Moroccan wild olive (Olea europaea L. Subsp. Oleaster) populations. Biocatal. Agric. Biotechnol. 2024, 56, 103021. [Google Scholar] [CrossRef]
- Cert, A.; Alba, J.; León-Camacho, M.; Moreda, W.; Pérez-Camino, M.C. Effects of talc addition and operating mode on the quality and oxidative stability of virgin olive oils obtained by centrifugation. J. Agric. Food Chem. 1996, 44, 3930–3934. [Google Scholar] [CrossRef]
- Martínez Moreno, J.M. Fundamentos Físico-Químicos de la Técnica Oleícola; C.S.I.C.—Patronato Juan de la Cierva: Madrid, Spain, 1972. [Google Scholar]
- Sánchez, S.; Pacheco, R.; La Rubia, M.D.; Sánchez, A.; Pereira, G. Aplicación de distintos talcos naturales, como coadyuvantes tecnológicos, en los procesos de extracción de aceites de oliva. In Proceedings of the XII Symposium Scientific Technical-Expoliva, Jaen, Spain, 12–13 May 2005; p. TEC-65. [Google Scholar]
- Clodoveo, M.L.; Durante, V.; La Notte, D.; Punzi, R.; Gambacorta, G. Ultrasound-assisted extraction of virgin olive oil to improve the process efficiency. Eur. J. Lipid Sci. Technol. 2013, 115, 1062–1069. [Google Scholar] [CrossRef]
- Nushtaeva, A.V. Emulsion stabilization with talc microparticles. Colloid J. 2019, 81, 425–430. [Google Scholar] [CrossRef]
- Caponio, F.; Monteleone, J.I.; Marellini, G.; Summo, C.; Paradiso, V.M.; Pasqualone, A. Effect of talc addition on the extraction yield and quality of extra virgin olive oils from Coratina cultivar after production and during storage. J. Oleo Sci. 2014, 63, 1125–1132. [Google Scholar] [CrossRef]
- Pérez-Gálvez, A.; Viera, I.; Roca, M. Carotenoids and chlorophylls as antioxidants. Antioxidants 2020, 9, 505. [Google Scholar] [CrossRef]
- Bouymajane, A.; El Majdoub, Y.O.; Cacciola, F.; Russo, M.; Salafia, F.; Trozzi, A.; Filali, R.F.; Dugo, P.; Mondello, L. Characterization of phenolic compounds, vitamin E and fatty acids from monovarietal virgin olive oils of ‘Picholine marocaine’ cultivar. Molecules 2020, 25, 5428. [Google Scholar] [CrossRef]
- Alvarruiz, A.; Álvarez-Ortí, M.; Mateos, B.; Sena, E.; Pardo, J.E. Quality and composition of virgin olive oil from varieties grown in Castilla –La Mancha (Spain). J. Oleo Sci. 2015, 64, 1075–1082. [Google Scholar] [CrossRef]
- Servili, M.; Sordini, B.; Esposto, S.; Urbani, S.; Veneziani, G.; Di Maio, I.; Selvaggini, R.; Taticchi, A. Biological activities of phenolic compounds of extra virgin olive oil. Antioxidants 2014, 3, 1–23. [Google Scholar] [CrossRef]
- Fuentes, E.; Paucar, F.; Tapia, F.; Ortiz, J.; Jimenez, P.; Romero, N. Effect of the composition of extra virgin olive oils on the differentiation and antioxidant capacities of twelve monovariatals. Food. Chem. 2018, 243, 285–294. [Google Scholar] [CrossRef] [PubMed]
- Salas, J.; Pastor, M.; Castro, J.; Vega, V. Influencia del riego sobre la composición y características organolépticas del aceite de oliva. Grasas Aceites 1997, 48, 74–82. [Google Scholar] [CrossRef]
- Caponio, F.; Squeo, G.; Difonzo, G.; Pasqualone, A.; Summo, C.; Paradiso, V.M. Has the use of talc an effect on yield and extra virgin olive oil quality? J. Sci. Food Agric. 2016, 96, 3292–3299. [Google Scholar] [CrossRef] [PubMed]
- Issaoui, N.; Olivares, I.; Habsaoui, A.; Touhami, M.E.; Khtira, A.; Sakar, E.H.; Sánchez, S. New insights into the combined effects of geographical origin, cultivar and crop season on the physicochemical characteristics of Moroccan olive oils produced in northern Morocco. A comparative study. Oil Crop Sci. 2024, 9, 255–264. [Google Scholar] [CrossRef]
- Velasco, J.; Dobarganes, C. Oxidative stability of virgin olive oil. Eur. J. Lipid Sci. Technol. 2002, 104, 661–676. [Google Scholar] [CrossRef]
- IOC/T.15/NC No 3/Rev.17/2021; Trade Standard Applying to Olive Oils and Olive Pomace Oils. International Olive Council: Madrid, Spain, 2021; pp. 1–17. Available online: https://www.internationaloliveoil.org/what-we-do/chemistry-standardisation-unit/standards-and-methods/ (accessed on 16 December 2024).
Disclaimer/Publisher’s Note: The statements, opinions and data contained in all publications are solely those of the individual author(s) and contributor(s) and not of MDPI and/or the editor(s). MDPI and/or the editor(s) disclaim responsibility for any injury to people or property resulting from any ideas, methods, instructions or products referred to in the content. |
© 2025 by the authors. Licensee MDPI, Basel, Switzerland. This article is an open access article distributed under the terms and conditions of the Creative Commons Attribution (CC BY) license (https://creativecommons.org/licenses/by/4.0/).




