Sign in to use this feature.

Years

Between: -

Subjects

remove_circle_outline
remove_circle_outline
remove_circle_outline
remove_circle_outline
remove_circle_outline
remove_circle_outline
remove_circle_outline
remove_circle_outline
remove_circle_outline

Journals

Article Types

Countries / Regions

Search Results (228)

Search Parameters:
Keywords = uniaxial compressive strength (UCS)

Order results
Result details
Results per page
Select all
Export citation of selected articles as:
17 pages, 5014 KB  
Article
Mechanical Properties of Granite Residual Soil Reinforced by Permeable Water-Reactive Polyurethane
by Shuzhong Tan, Jinyong Li, Dingfeng Cao, Tao Xiao and Jiajia Zheng
Polymers 2026, 18(3), 381; https://doi.org/10.3390/polym18030381 - 30 Jan 2026
Abstract
Granite residual soil (GRS) is highly susceptible to water-induced softening, posing significant risks of slope instability and collapse. Conventional impermeable grouting often exacerbates these hazards by blocking groundwater drainage. This study investigates the efficacy of a permeable water-reactive polyurethane (PWPU) in stabilizing GRS, [...] Read more.
Granite residual soil (GRS) is highly susceptible to water-induced softening, posing significant risks of slope instability and collapse. Conventional impermeable grouting often exacerbates these hazards by blocking groundwater drainage. This study investigates the efficacy of a permeable water-reactive polyurethane (PWPU) in stabilizing GRS, aiming to resolve the conflict between mechanical reinforcement and hydraulic conductivity. Uniaxial compression tests were conducted on specimens with varying initial water contents (5%, 10%, and 15%) and PWPU contents (5%, 10%, and 15%). To reveal the multi-scale failure mechanism, synchronous acoustic emission (AE) monitoring and digital image correlation (DIC) were employed, complemented by scanning electron microscopy (SEM) for microstructural characterization. Results indicate that PWPU treatment significantly enhances soil ductility, shifting the failure mode from brittle fracturing to strain-hardening, particularly at higher moisture levels where failure strains exceeded 30%. This enhancement is attributed to the formation of a flexible polymer network that acts as a micro-reinforcement system to restrict particle sliding and dissipate strain energy. An optimal PWPU content of 10% yielded a maximum compressive strength of 4.5 MPa, while failure strain increased linearly with polymer dosage. SEM analysis confirmed the formation of a porous, reticulated polymer network that effectively bonds soil particles while preserving permeability. The synchronous monitoring quantitatively bridged the gap between internal micro-crack evolution and macroscopic strain localization, with AE analysis revealing that tensile cracking accounted for 79.17% to 96.35% of the total failure events. Full article
(This article belongs to the Section Polymer Processing and Engineering)
21 pages, 3328 KB  
Article
Estimation of Uniaxial Compressive Strength of the Limestones from Istria (Croatia) Based on Visual Sample Characterization
by Ana Maričić, Tin Berghaus, Davor Pollak and Uroš Barudžija
Minerals 2026, 16(2), 156; https://doi.org/10.3390/min16020156 - 29 Jan 2026
Abstract
As uniaxial compressive strength (UCS) of rock material is influenced by petrographic characteristics, special emphasis is given to the visual assessment and determination of rock properties. Visual determination of properties such as lithology, fabric, defects and porosity were conducted on six petrographically different [...] Read more.
As uniaxial compressive strength (UCS) of rock material is influenced by petrographic characteristics, special emphasis is given to the visual assessment and determination of rock properties. Visual determination of properties such as lithology, fabric, defects and porosity were conducted on six petrographically different limestone varieties from Istria, Croatia. In addition to the macroscopic and microscopical determination of petrographic characteristics, measurements of ultrasound propagation velocity through samples were also conducted. According to the gained results of visual macro and micro assessment and ultrasound propagation, velocity estimation of uniaxial compressive strength was performed. Using predicted values of UCS, classification of samples according to different classifications was conducted where four out of six varieties of limestone were classified correctly. Based on the achieved results, the method has proven successful for rocks, which have uniaxial compressive strength over 100 MPa. Full article
(This article belongs to the Special Issue Mineralogical and Mechanical Properties of Natural Building Stone)
29 pages, 3654 KB  
Article
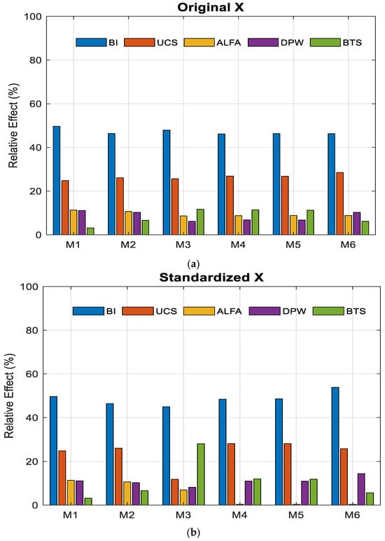
Input Variable Effects on TBM Penetration Rate: Parametric and Machine Learning Models
by Halil Karahan and Devrim Alkaya
Appl. Sci. 2026, 16(3), 1301; https://doi.org/10.3390/app16031301 - 27 Jan 2026
Viewed by 197
Abstract
In this study, linear and nonlinear parametric models (M1–M6) were jointly evaluated alongside machine learning (ML)-based approaches to achieve reliable and interpretable prediction of the penetration rate (ROP) of tunnel boring machines (TBMs). The analyses incorporate key geomechanical and structural variables, including the [...] Read more.
In this study, linear and nonlinear parametric models (M1–M6) were jointly evaluated alongside machine learning (ML)-based approaches to achieve reliable and interpretable prediction of the penetration rate (ROP) of tunnel boring machines (TBMs). The analyses incorporate key geomechanical and structural variables, including the brittleness index (BI), uniaxial compressive strength (UCS), mean spacing of weakness planes (DPW), the angle between the tunnel axis and weakness planes (α), and Brazilian tensile strength (BTS). The coefficients of the parametric models were optimized using the Differential Evolution (DE) algorithm. Variable effects were systematically examined through Jacobian-based elasticity analysis under both original and standardized data scenarios. The results indicate that the M6 model, which explicitly incorporates interaction terms, delivers superior predictive accuracy and a more balanced, physically meaningful representation of variable contributions compared to widely used parametric formulations reported in the literature. While the dominant influence of BI and UCS on ROP is consistently preserved across all models, the indirect contributions of variables such as DPW and BTS are more clearly revealed in M6 owing to its interaction-based structure. Model performance improves systematically with increasing complexity, with the coefficient of determination (R2) rising from 0.62 for M1 to 0.69 for M6. Relative to the linear model, M6 achieves a 9.07% reduction in RMSE and a 10.48% increase in R2, while providing additional improvements of 2.47% in RMSE and 2.37% in R2 compared with the closest competing model. ML-based variable importance analyses are largely consistent with the parametric findings, highlighting BI and α in tree-based models, and UCS and α in SVM and GAM frameworks. Notably, the GAM exhibits the highest predictive performance under both data scenarios. Overall, the integrated use of parametric and ML approaches establishes a robust hybrid modeling framework that enables highly accurate and engineering-interpretable prediction of TBM penetration rate. Full article
(This article belongs to the Special Issue Rock Mechanics in Geotechnical and Tunnel Engineering)
Show Figures

Figure 1

18 pages, 3659 KB  
Article
Grey Wolf Optimization-Optimized Ensemble Models for Predicting the Uniaxial Compressive Strength of Rocks
by Xigui Zheng, Arzoo Batool, Santosh Kumar and Niaz Muhammad Shahani
Appl. Sci. 2026, 16(2), 1130; https://doi.org/10.3390/app16021130 - 22 Jan 2026
Viewed by 42
Abstract
Reliable models for predicting the uniaxial compressive strength (UCS) of rocks are crucial for mining operations and rock engineering design. Empirical methods, including statistical methods, are often faced with many limitations when generalizing in a wide range of lithological types. To address this [...] Read more.
Reliable models for predicting the uniaxial compressive strength (UCS) of rocks are crucial for mining operations and rock engineering design. Empirical methods, including statistical methods, are often faced with many limitations when generalizing in a wide range of lithological types. To address this limitation, this study investigates the capability of grey wolf optimization (GWO)-optimized ensemble machine learning models, including decision tree (DT), extreme gradient boosting (XGBoost), and adaptive boosting (AdaBoost) for predicting UCS using a small dataset of easily measurable and non-destructive rock index properties. The study’s objective is to evaluate whether metaheuristic-based hyperparameter optimization can enhance model robustness and generalization performance under small-sample conditions. A unified experimental framework incorporating GWO-based optimization, three-fold cross-validation, sensitivity analysis, and multiple statistical performance indicators was implemented. The findings of this study confirm that although the GWO-XGBoost model achieves the highest training accuracy, it exhibits signs of mild overfitting. In contrast, the GWO-AdaBoost model outpaced with significant improvement in terms of coefficient of determination (R2) = 0.993, root mean square error (RMSE) = 2.2830, mean absolute error (MAE) = 1.6853, and mean absolute percentage error (MAPE) = 4.6974. Therefore, the GWO-AdaBoost has proven to be the most effective in terms of its prediction potential of UCS, with significant potential for adaptation due to its effectively learned parameters. From a theoretical perspective, this study highlights the non-equivalence between training accuracy and predictive reliability in UCS modeling. Practically, the findings support the use of GWO-AdaBoost as a reliable decision-support tool for preliminary rock strength assessment in mining and geotechnical engineering, particularly when comprehensive laboratory testing is not feasible. Full article
Show Figures

Figure 1

23 pages, 4471 KB  
Article
Experimental Investigation on the Performance of Full Tailings Cemented Backfill Material in a Lead–Zinc Mine Based on Mechanical Testing
by Ning Yang, Renze Ou, Ruosong Bu, Daoyuan Sun, Fang Yan, Hongwei Wang, Qi Liu, Mingdong Tang and Xiaohui Li
Materials 2026, 19(2), 351; https://doi.org/10.3390/ma19020351 - 15 Jan 2026
Viewed by 262
Abstract
With the increasing requirements for “Green Mine” construction, Cemented Tailings Backfill (CTB) has emerged as the preferred strategy for solid waste management and ground pressure control in underground metal mines. However, full tailings, characterized by wide particle size distribution and high fine-grained content, [...] Read more.
With the increasing requirements for “Green Mine” construction, Cemented Tailings Backfill (CTB) has emerged as the preferred strategy for solid waste management and ground pressure control in underground metal mines. However, full tailings, characterized by wide particle size distribution and high fine-grained content, exhibit complex physicochemical properties that lead to significant non-linear behavior in slurry rheology and strength evolution, posing challenges for accurate prediction using traditional empirical formulas. Addressing the issues of significant strength fluctuations and difficulties in mix proportion optimization in a specific lead–zinc mine, this study systematically conducted physicochemical characterizations, slurry sedimentation and transport performance evaluations, and mechanical strength tests. Through multi-factor coupling experiments, the synergistic effects of cement type, cement-to-tailings (c/t) ratio, slurry concentration, and curing age on backfill performance were elucidated. Quantitative results indicate that solids mass concentration is the critical factor determining transportability. Concentrations exceeding 68% effectively mitigate segregation and stratification during the filling process while maintaining optimal fluidity. Regarding mechanical properties, the c/t ratio and concentration show a significant positive correlation with Uniaxial Compressive Strength (UCS). For instance, with a 74% concentration and 1:4 c/t ratio, the 3-day strength increased by 1.4 times compared to the 68% concentration, with this increment expanding to 2.0 times by 28 days. Furthermore, a comparative analysis of four cement types revealed that 42.5# cement offers superior techno-economic indicators in terms of reducing binder consumption and enhancing early-age strength. This research not only establishes an optimized mix proportion scheme tailored to the operational requirements of the lead–zinc mine but also provides a quantitative scientific basis and theoretical framework for the material design and safe production of CTB systems incorporating high fine-grained full tailings. Full article
(This article belongs to the Special Issue Advances in Sustainable Construction Materials, Third Edition)
Show Figures

Figure 1

18 pages, 2593 KB  
Article
Data-Driven Estimation of Cerchar Abrasivity Index Using Rock Geomechanical and Mineralogical Characteristics
by Soon-Wook Choi and Tae Young Ko
Appl. Sci. 2026, 16(1), 552; https://doi.org/10.3390/app16010552 - 5 Jan 2026
Viewed by 221
Abstract
The Cerchar Abrasivity Index (CAI) is essential for predicting tool wear in mechanized tunneling and mining, but direct measurement requires time-consuming laboratory procedures. We developed a data-driven framework to estimate CAI from standard geomechanical and mineralogical properties using 193 rock samples covering igneous, [...] Read more.
The Cerchar Abrasivity Index (CAI) is essential for predicting tool wear in mechanized tunneling and mining, but direct measurement requires time-consuming laboratory procedures. We developed a data-driven framework to estimate CAI from standard geomechanical and mineralogical properties using 193 rock samples covering igneous, metamorphic, and sedimentary lithologies. After evaluating 278 feature combinations with multicollinearity constraints (VIF < 10.0), we identified an optimal four-variable subset: brittleness index B1, density, Equivalent Quartz Content (EQC), and Uniaxial Compressive Strength (UCS), with rock type indicators. CatBoost achieved the best performance (Test R2 = 0.907, RMSE = 0.420), and SHAP analysis confirmed that density and EQC are primary drivers of abrasivity. Additionally, symbolic regression derived an explicit formula using only three variables (density, EQC, B1) without rock type classification (Test R2 = 0.720). The proposed framework offers a practical approach for assessing rock abrasivity at early project stages. Full article
(This article belongs to the Section Civil Engineering)
Show Figures

Figure 1

21 pages, 5970 KB  
Article
Evaluation of Multiple Influences on the Unconfined Compressive Strength of Fibre-Reinforced Backfill Using a GWO–LGBM Model
by Xin Chen, Yunmin Wang, Shengjun Miao, Shian Zhang, Zhi Yu and Linfeng Du
Materials 2026, 19(1), 200; https://doi.org/10.3390/ma19010200 - 5 Jan 2026
Viewed by 254
Abstract
Fibres can markedly enhance the uniaxial compressive strength (UCS) of cemented paste backfill (CPB). However, previous studies have mainly verified the effectiveness of polypropylene and straw fibres in improving the UCS of CPB experimentally, while systematic multi-factor evaluation remains limited. In this study, [...] Read more.
Fibres can markedly enhance the uniaxial compressive strength (UCS) of cemented paste backfill (CPB). However, previous studies have mainly verified the effectiveness of polypropylene and straw fibres in improving the UCS of CPB experimentally, while systematic multi-factor evaluation remains limited. In this study, laboratory experiments were conducted on polypropylene- and straw fibre-reinforced CPB to construct a reliable dataset. The factors influencing the intensity of uniaxial compressive strength were divided into four aspects (mixture proportions, physical properties of the cement–tailings mixture, chemical characteristics of tailings, and fibre properties), and four intelligent models were developed for effectiveness analysis and UCS prediction. SHapley Additive exPlanations (SHAP) were employed to quantify the contributions of individual features, and the findings were experimentally validated. The GWO–LGBM model outperformed the SVR, ANN, and LGBM models, achieving R2 = 0.907, RMSE = 0.78, MAE = 0.515, and MAPE = 0.157 for the training set, and R2 = 0.949, RMSE = 0.627, MAE = 0.38, and MAPE = 0.115 for the testing set, respectively. Feature analysis reveals that mixture proportions contribute the most to UCS, followed by the tailings’ physical properties, the fibre properties, and the tailings’ chemical characteristics. This study found that cement content and tailings gradation control CPB structural compactness and fibres enhance bonding between hydration products and tailings aggregates, while the chemical composition of the tailings plays an inert role, functioning mainly as an aggregate. Full article
(This article belongs to the Section Construction and Building Materials)
Show Figures

Figure 1

15 pages, 5318 KB  
Article
Mechanical, Physical, and Microstructural Performance of Road Base Materials Prepared with Magnesite Tailings Mixed with Cement
by Buren Yang, Tengteng Zheng, Caiqi Zhao and Lihao Chen
Buildings 2026, 16(1), 90; https://doi.org/10.3390/buildings16010090 - 25 Dec 2025
Viewed by 314
Abstract
Magnesite tailings are by-products of magnesite mining, yet their utilization rate remains extremely low. Although previous studies have explored their basic physical properties and potential use in cementitious or geotechnical materials, research on cement-stabilized magnesite tailings-particularly regarding their mechanical behavior, engineering applicability, and [...] Read more.
Magnesite tailings are by-products of magnesite mining, yet their utilization rate remains extremely low. Although previous studies have explored their basic physical properties and potential use in cementitious or geotechnical materials, research on cement-stabilized magnesite tailings-particularly regarding their mechanical behavior, engineering applicability, and microstructural evolution-remains limited. Key scientific gaps include the lack of systematic evaluation of their compaction characteristics, strength development, stiffness evolution, and bearing capacity, as well as insufficient understanding of the stabilization mechanisms governing their performance. Addressing these gaps is essential for assessing their feasibility as road construction materials. In this study, magnesite tailings were selected as the primary raw material and mixed with ordinary Portland cement to prepare mixtures for evaluating their suitability as highway subgrade fillers. The compaction characteristics, unconfined compressive strength (UCS), ultrasonic pulse velocity (UPV), and California Bearing Ratio (CBR) of the mixtures were systematically examined. Furthermore, the evolution of composition and stabilization mechanisms of the mixtures was analyzed using X-ray diffraction, scanning electron microscopy, and thermogravimetric analysis. The results show that cement incorporation effectively improves the poor particle gradation of magnesite tailings, leading to a denser and more homogeneous structure. Adding 7% cement increases the maximum dry density and optimum moisture content by 3.7% and 5.1%, respectively. The unconfined compressive strength rises by 100.9–126.3% within 3–28 days, and the maximum uniaxial stress is 119.6% higher than that of the 1% cement mixture. These improvements demonstrate the potential of cement-stabilized magnesite tailings as a sustainable subgrade material and provide insight into their microstructural and mechanical behavior. Full article
Show Figures

Figure 1

22 pages, 9322 KB  
Article
Research on Wellbore Stability Prediction of Deep Coalbed Methane Under Multifactor Influences
by Xugang Liu, Binghua Dang, Lei Li, Shuo Bai, Qiang Tan and Qinghua Sun
Appl. Sci. 2026, 16(1), 221; https://doi.org/10.3390/app16010221 - 24 Dec 2025
Viewed by 304
Abstract
To address the problem of wellbore instability in the development of deep coalbed methane reservoirs in Daniudi gas field, this study takes the coal seam cores from Member 1 of the Taiyuan Formation at a depth of approximately 2880 m as the research [...] Read more.
To address the problem of wellbore instability in the development of deep coalbed methane reservoirs in Daniudi gas field, this study takes the coal seam cores from Member 1 of the Taiyuan Formation at a depth of approximately 2880 m as the research object. Through CT scanning, scanning electron microscopy (SEM), mineralogical analysis, laboratory mechanical tests, and drilling fluid interaction experiments, the study investigated the coal seam fabric characteristics, mechanical response, anisotropy, and the interaction between drilling fluids and the formation. Based on the double-weak-plane criterion, a wellbore collapse prediction model was established, and instability risk assessment under multi-factor coupling conditions was carried out. Experimental and computational results indicate that the deep coal seam exhibits significant heterogeneity in fabric structure, the clay minerals show low swelling potential, and the bright coal and semi-bright coal are prone to instability due to their dual pore structures. The average uniaxial compressive strength (UCS) of the coal cores is 16.3 MPa, which is weaker than that of the roof, floor, and dirt band. The coal also exhibits anisotropy, with the lowest strength occurring when the loading direction forms an angle of 30–60° with the weak planes, corresponding to 67.5% of the intrinsic compressive strength. Immersion in drilling fluid causes the coal rock strength to decay in a pattern of “rapid decline in the initial stage—gradual decrease in the middle stage—stabilization in the later stage.” After 24 h, the strength is only 55–65% of that in the dry state. Due to its excellent plugging and inhibition performance, HX-Coalmud drilling fluid delays strength loss more effectively than the strongly inhibitive composite salt drilling fluid. The wellbore instability risk assessment indicates that as the drilling time is extended, the collapse pressure rises significantly. After 7 and 20 days of contact between the wellbore and drilling fluid, the equivalent collapse pressure density increases by 0.08–0.15 g/cm3 and 0.13–0.20 g/cm3, respectively. Therefore, homogeneous isotropic models tend to underestimate the risk of wellbore collapse. The findings can provide theoretical and technical support for the safe drilling of deep coalbed methane in Daniudi gas field. Full article
(This article belongs to the Special Issue Advanced Drilling, Cementing, and Oil Recovery Technologies)
Show Figures

Figure 1

28 pages, 10229 KB  
Article
Mechanical Properties of Copper Tailings Cemented Paste Backfill Incorporating Thermally and Mechanically Treated Saudi Natural Pozzolan
by Ardhymanto Am Tanjung, Haitham M. Ahmed and Hussin A. M. Ahmed
Appl. Sci. 2025, 15(24), 13205; https://doi.org/10.3390/app152413205 - 17 Dec 2025
Viewed by 340
Abstract
Cemented Paste Backfill (CPB) is a technique that utilizes mine tailings, mining-process water, and a binder, typically Ordinary Portland Cement (OPC), to backfill the opening created in underground mining. However, the use of cement in CPB increases operational costs and has adverse environmental [...] Read more.
Cemented Paste Backfill (CPB) is a technique that utilizes mine tailings, mining-process water, and a binder, typically Ordinary Portland Cement (OPC), to backfill the opening created in underground mining. However, the use of cement in CPB increases operational costs and has adverse environmental effects. To mitigate these effects, eco-friendly natural pozzolan can be used as a partial replacement for OPC, thereby reducing its consumption and environmental impact. The volcanic region of western Saudi Arabia contains extensive deposits of Saudi natural pozzolan (SNP), which is a promising candidate for this purpose. This study evaluates the mechanical performance of CPB under four scenarios: a control mixture (CTRL), a mixture with untreated SNP (UT), and mixtures with activated SNP, specifically heat-treated (HT) and mechanically treated (MT). Each scenario was tested at replacement levels of 5%, 10%, 15%, and 20% of OPC. The performance was assessed using Uniaxial Compressive Strength (UCS) with Elastic Modulus (E), Ultrasonic Pulse Velocity (UPV), and Indirect Tensile Strength (ITS/Brazilian) tests. The results indicate that the HT scenario at a 5% replacement level delivered the highest performance, slightly outperforming the MT scenario. Both activated scenarios (HT and MT) significantly surpassed the untreated mixture (UT). Overall, the HT scenario proved to be the most effective among all CPB mixtures tested. XRD diffractogram analysis supported HT as the material with the highest strength performance due to the occurrence of more strength phases than other CPB materials, including Alite, Quartz, and Calcite. While UCS and UPV showed a positive correlation across all CPB materials, the relationship between UPV and the modulus of elasticity (E) demonstrated a low correlation. The findings suggest that using activated SNP materials can enhance CPB sustainability by lowering cement demand, stabilizing operating costs, and reducing environmental impacts. Full article
(This article belongs to the Special Issue Mining Engineering: Present and Future Prospectives)
Show Figures

Figure 1

16 pages, 4849 KB  
Article
Influence Mechanism of Rock Compressive Mechanical Properties Under Freeze-Thaw Cycles: Insights from Machine Learning
by Shuai Gao, Zhongyuan Gu, Xin Xiong and Chengnian Wang
Big Data Cogn. Comput. 2025, 9(12), 323; https://doi.org/10.3390/bdcc9120323 - 16 Dec 2025
Cited by 2 | Viewed by 375
Abstract
In plateau and high-altitude areas, freeze-thaw cycles often alter the uniaxial compressive strength (UCS) of rock, thereby impacting the stability of geotechnical engineering. Acquiring rock samples in these areas for UCS testing is often time-consuming and labor-intensive. This study developed a hybrid model [...] Read more.
In plateau and high-altitude areas, freeze-thaw cycles often alter the uniaxial compressive strength (UCS) of rock, thereby impacting the stability of geotechnical engineering. Acquiring rock samples in these areas for UCS testing is often time-consuming and labor-intensive. This study developed a hybrid model based on the XGBoost algorithm to predict the UCS of rock under freeze-thaw conditions. First, a database was created containing longitudinal wave velocity (Vp), rock porosity (P), rock density (D), freezing temperature (T), number of freeze-thaw cycles (FTCs), and UCS. Four swarm intelligence optimization algorithms—artificial bee colony, Newton–Raphson, particle swarm optimization, and dung beetle optimization—were used to optimize the maximum iterations, depth, and learning rate of the XGBoost model, thereby enhancing model accuracy and developing four hybrid models. The four hybrid models were compared to a single XGBoost model and a random forest (RF) model to evaluate overall performance, and the optimal model was selected. The results demonstrate that all hybrid models outperform the single models. The XGBoost model optimized by the sparrow algorithm (R2 = 0.94, RMSE = 10.10, MAPE = 0.095, MAE = 7.22) performed best in predicting UCS. SHapley Additive exPlanations (SHAP) were used to assess the marginal contribution of each input variable to the UCS prediction of freeze-thawed rock. This study is expected to provide a reference for predicting the UCS of freeze-thawed rock using machine learning. Full article
Show Figures

Figure 1

21 pages, 7735 KB  
Article
Preliminary Results on Mechanical Degradation and Strain Evolution of Carrara Marble Under Freeze–Thaw Cycles and Acid Weathering
by Azemeraw Wubalem, Chiara Caselle, Anna Maria Ferrero and Gessica Umili
Geotechnics 2025, 5(4), 85; https://doi.org/10.3390/geotechnics5040085 - 11 Dec 2025
Viewed by 456
Abstract
Environmental stressors, such as freeze–thaw (F–T) cycling and acid rain, affect the durability of carbonate rocks used in engineering and cultural heritage structures. This study investigates the mechanical degradation and strain evolution of Carrara marble subjected to 10 F–T cycles and immersion in [...] Read more.
Environmental stressors, such as freeze–thaw (F–T) cycling and acid rain, affect the durability of carbonate rocks used in engineering and cultural heritage structures. This study investigates the mechanical degradation and strain evolution of Carrara marble subjected to 10 F–T cycles and immersion in a simulated sulfuric acid solution (pH 5) for 3, 7, and 28 days. The mechanical strength of the samples was tested under uniaxial compression using a displacement-controlled loading rate, while full-field deformation and fracture evolution were analyzed with Digital Image Correlation (DIC). Results show that F–T cycling led to a substantial reduction in uniaxial compressive strength (UCS) and a very large decrease in tangent Young’s modulus. Acid exposure also caused progressive degradation, with both UCS and stiffness continuing to decline as exposure time increased, reaching their greatest reduction at the longest treatment duration. Additionally, DIC strain maps revealed a change in deformation response as a function of the treatment. The findings provide the integrated assessment of Carrara marble mechanical response under both F–T and acid weathering, linking bulk strength loss with changes in strain localization behavior, highlighting the vulnerability of marble to environmental stressors, and providing mechanical insights relevant to infrastructure resilience and heritage conservation. Full article
Show Figures

Figure 1

25 pages, 14687 KB  
Article
Tectonic Control on Mineralogical and Microfabric Modifications and Their Impact on Rock Strength: Evidence from the Fault Damage Zone, Tethyan Himalayas, Pakistan
by Izhar Ahmed, Yanjun Shang, Luis Sousa, Xuetao Yi, Qingsen Meng, Hussain Rabbani and Rehan Ahmed
Minerals 2025, 15(12), 1272; https://doi.org/10.3390/min15121272 - 30 Nov 2025
Viewed by 431
Abstract
This study examines the influence of tectonically induced mineralogical and microfabric changes on the strength of different rocks within the Hanzel Fault Damage Zone (FDZ) in the Tethyan Himalayas, Pakistan. Integrating field observations, petrographic analysis, and laboratory experiments (uniaxial compressive strength (UCS), Brazilian [...] Read more.
This study examines the influence of tectonically induced mineralogical and microfabric changes on the strength of different rocks within the Hanzel Fault Damage Zone (FDZ) in the Tethyan Himalayas, Pakistan. Integrating field observations, petrographic analysis, and laboratory experiments (uniaxial compressive strength (UCS), Brazilian tensile strength (BTS), ultrasonic pulse-wave velocity (UPV), and porosity), this study systematically characterizes the spatial variations in intact rock strength across horizontal distance from the fault core to the outer limit of the FDZ. Seven rock units—granites (biotite granite, leucogranite schist, granodiorite schist, and diorite) and amphibolites (foliated amphibolite, amphibolite, and plagioclase amphibolite)—were sampled at varying distances (−500 to +4035 m) from the fault core. Results reveal that proximity to the fault core correlates with significant strength reductions (40%–70%): granitic rocks exhibit lower UCS (41–59 MPa) and BTS (4.8–6.7 MPa) compared to distal amphibolites and diorites UCS (75–107 MPa) and BTS (10–13.67 MPa). Petrographic analysis identifies key factors that reduce strength, including high mica content (up to 33%), pervasive micro-fracturing, S-C fabrics, and mineral alteration. These features increase porosity (up to 1.21%) and reduce UPV (2867–3315 m/s) in fault-proximal rocks. Moderate inverse relationships (R2 = 0.68–0.72) between mica percentage and UCS/UPV confirm phyllosilicates as primary strength controls. The spatial variation in rock strength is attributed to ductile–brittle deformation processes, with foliated or schistose textures increasing in proximity to the fault core. This study demonstrates that tectonic processes significantly influence the mineralogy and microfabric within FDZs, leading to variations in rock strength with direct implications for stability in tectonically active regions. Full article
(This article belongs to the Special Issue Characterization of Geological Material at Nano- and Micro-scales)
Show Figures

Figure 1

22 pages, 6651 KB  
Article
Influence of Moisture on Mechanical Properties and Energy Dissipation Characteristics of Coal–Rock Combined Body
by Yukuan Fan, Qiang Xu, Ze Xia and Chuangkai Zheng
Appl. Sci. 2025, 15(23), 12672; https://doi.org/10.3390/app152312672 - 29 Nov 2025
Viewed by 268
Abstract
Focusing on underground reservoir coal pillar dams subjected to long-term water immersion, this study employed a self-developed non-destructive water saturation apparatus to prepare monolithic and composite coal–rock specimens with varying moisture conditions. Through uniaxial compression tests combined with acoustic emission (AE) monitoring technology, [...] Read more.
Focusing on underground reservoir coal pillar dams subjected to long-term water immersion, this study employed a self-developed non-destructive water saturation apparatus to prepare monolithic and composite coal–rock specimens with varying moisture conditions. Through uniaxial compression tests combined with acoustic emission (AE) monitoring technology, the mechanical failure characteristics and energy dissipation behavior of these specimens were systematically investigated. The results indicated that both the UCS and elastic modulus (E) of the single-rock specimens decreased with increasing water content. Conversely, the mechanical properties of the composite specimens were significantly influenced by the properties and water saturation state of the rock components within the composite. When the rocks within the composite specimens share identical moisture conditions, higher rock strength correlates with greater specimen strength and strain. Under identical lithological conditions, the peak stress (σc), peak strain (εc), and elastic modulus (E) of the composite specimens decreased with increasing rock moisture content, which exhibited reductions of 45%, 21.8%, and 13.5% in σc, εc, and E, respectively, under saturated conditions. Acoustic emission (AE) monitoring data revealed that AE events in coal–rock composite specimens under uniaxial loading exhibited distinct spatial distribution patterns. Furthermore, as the rock moisture content increased, the ultimate failure mode of the composite specimen progressively shifted from shear failure within the coal matrix toward tensile failure of the composite as a whole. An analysis of the energy characteristics of coal–rock composite specimens under uniaxial compression revealed that rock properties and moisture content significantly influence energy absorption and conversion during loading. With increasing rock moisture content, the total energy, elastic strain energy, and dissipated energy at the peak load exhibited decreasing trends, reflecting the weakening effect of water on energy dissipation in coal–rock composites. This study systematically investigated the instability mechanisms of coal–rock composites from three perspectives—mechanical properties, failure modes, and energy dissipation—thereby providing valuable insights for evaluating the long-term stability of underground reservoir coal pillar dams subjected to prolonged water immersion. Full article
Show Figures

Figure 1

17 pages, 5065 KB  
Article
Multi-Scale Investigation on Strength, Fracture Behavior, and Microstructure of Cemented Tailings Backfill Under Varying Mix Proportions
by Wenhai Liang, Haosen Wang, Jinsheng Xin, Liu Yang, Yunpeng Kou, Zaihai Wu and Baoshan Zhan
Symmetry 2025, 17(11), 1986; https://doi.org/10.3390/sym17111986 - 17 Nov 2025
Viewed by 453
Abstract
This study systematically investigates the mechanical behavior and failure mechanisms of cemented tailings backfill (CTB) prepared from classified and unclassified tailings across cement-to-tailings (C/T) ratios of 1:8, 1:6, and 1:4 and slurry concentrations of 60%, 65%, and 70%. Specimens were evaluated by uniaxial [...] Read more.
This study systematically investigates the mechanical behavior and failure mechanisms of cemented tailings backfill (CTB) prepared from classified and unclassified tailings across cement-to-tailings (C/T) ratios of 1:8, 1:6, and 1:4 and slurry concentrations of 60%, 65%, and 70%. Specimens were evaluated by uniaxial compression (UCS) tests, failure mode observation, and SEM. The results show that increasing C/T and concentration markedly enhances compressive strength: the maximum 28-day UCS reached 5.38 MPa under unclassified tailings, C/T = 1:4, 70%. Moreover, unclassified tailings exhibited a later-age strength gain of 244.9%, far exceeding the 58.5% observed for classified tailings. Failure modes evolve from brittle splitting to shear-dominated behavior as mixes densify, reflecting a transition from near-symmetric early-age stress/microstructural fields to asymmetric localized failure (symmetry breaking). SEM reveals that higher binder ratios and concentrations promote C-(A)-S-H-dominated gel formation, improved ITZ continuity, and reduced apparent porosity, thereby restraining microcrack initiation and coalescence. These findings elucidate the micro-to-macro mechanisms governing CTB strength and failure and provide field-relevant guidance for mix optimization and safe, efficient underground backfilling. Full article
(This article belongs to the Section Engineering and Materials)
Show Figures

Figure 1

Back to TopTop