Tectonic Control on Mineralogical and Microfabric Modifications and Their Impact on Rock Strength: Evidence from the Fault Damage Zone, Tethyan Himalayas, Pakistan
Abstract
1. Introduction
2. Regional Geology and Tectonics

3. Study Area

4. Materials and Methods
4.1. Field Investigations and Sampling
4.2. Laboratory Investigations
| Rock Type | Abbreviation | Sample Distance from Fault Core (m) | Mean Joint Orientation | Mesoscopic Rock Mass Observations |
|---|---|---|---|---|
| Hanzel biotite granite | HBG | −500 | J1 142°/70°, J2 333°/66°, J3 034°/61° | This rock unit is greenish/grayish white, medium- to coarse-grained, hard, massive but blocky at places (Figure 6a). It is moderately to highly weathered, highly fractured, well-jointed, and sheared at places. Outcrops have quartz veins and lenses in places. |
| Hanzel leucogranite schist | HLS | 550 | J2 326°/71°, J3 052°/51°, J4 230°/67° | It has intrusive contact downstream granodiorite schist (Figure 6b). Mesoscopically, the HLS is white with almost no dark minerals. This rock is slightly to moderately weathered, medium-hard to hard, and fractured in places. |
| Hanzel granodiorite schist | HGS | 660 | J1 170°/69°, J2 289°/73°, J3 054°/58° | HGS has a sharp contact with HLS (Figure 6b). It is slightly weathered, jointed, and hard to very hard rock. The HGS indicates several shear zones (Figure 6b). Foliations/schistosity are also noted where HGS is in sharp contact with HLS. |
| Hanzel foliated amphibolite | HFA | 2975 | J1 115°/69°, J2 297°/83°, J3 039°/70°, J4 219°/30° | Mesoscopically, it is mostly uniform; however, foliated in some places (Figure 6c). Prominent alteration is also noted in the field, which forms the banded appearance of the rock on site (Figure 6c). The altered rocks are mostly chloritized, exhibiting a greenish to brown appearance in the field, and show low- to medium-grade metamorphism associated with the alteration process. |
| Hanzel amphibolite | HZA | 3845 | J1 138°/69°, J2 296°/64°, J3 039°/62°, J4 206°/51° | Amphibolite is brownish gray, fine- to coarse-grained, hard to very hard, slightly weathered, fractured at places, well-jointed, joints are interlocked with each other, and good exposures are present. |
| Hanzel plagioclase amphibolite | HPA | 3950 | ||
| Hanzel diorite | HZD | 4035 | J1 107°/52°, J3 042° 45°, J4 193°/70° | Mesoscopically, fresh to slightly weathered, medium-strong to strong, moderately spaced to widely spaced, jointed and fractured at places (Figure 6d). It displays half-dark and half white-grayish color. |
5. Results
5.1. Petrographic Examination
5.1.1. Hanzel Biotite Granite
5.1.2. Hanzel Leucogranite Schist
5.1.3. Hanzel Granodiorite Schist
5.1.4. Hanzel Diorite
5.1.5. Hanzel Foliated Amphibolite
5.1.6. Hanzel Amphibolite
5.1.7. Hanzel Plagioclase Amphibolite
5.2. Petrophysical Properties
5.3. Geomechanical Properties
6. Discussion
6.1. Impact of Mineralogical and Microfabric Modifications on Rock Strength
6.2. Failure Mechanism in Foliated Rocks and Implications
7. Conclusions
- Tectonic stress and fluid–rock interaction in the FDZ cause microfabric changes (grain size reduction and crack propagation) and mineral transformations (e.g., feldspar to sericite) that weaken the rock;
- Dynamic recrystallization, the growth of phyllosilicates (such as biotite and muscovite), and alteration products (like chlorite and sericite) increase porosity (up to 1.21%) and decrease cohesion and strength;
- Strength parameters correlate inversely with proximity to the fault core, with granitic rocks (e.g., HBG and HGS) most susceptible due to brittle fracturing and mica abundance.
Author Contributions
Funding
Data Availability Statement
Acknowledgments
Conflicts of Interest
References
- Choi, J.H.; Edwards, P.; Ko, K.; Kim, Y.S. Definition and Classification of Fault Damage Zones: A Review and a New Methodological Approach. Earth Sci. Rev. 2016, 152, 70–87. [Google Scholar] [CrossRef]
- Fletcher, J.M.; Teran, O.J.; Rockwell, T.K.; Oskin, M.E.; Hudnut, K.W.; Spelz, R.M.; Lacan, P.; Dorsey, M.T.; Ostermeijer, G.; Mitchell, T.M.; et al. An Analysis of the Factors That Control Fault Zone Architecture and the Importance of Fault Orientation Relative to Regional Stress. Bull. Geol. Soc. Am. 2020, 132, 2084–2104. [Google Scholar] [CrossRef]
- Dias, F.C.; Quevedo, R.; Roehl, D.; Carvalho, B. Assessment of Geomechanical Properties of Fault Damage Zones Based on Numerical Modeling. In Proceedings of the 58th U.S. Rock Mechanics/Geomechanics Symposium, Golden, CO, USA, 23–26 June 2024. [Google Scholar] [CrossRef]
- Cao, Y.; Zhang, X.; Sun, L.; Zheng, Y.; Li, C. Mechanical Properties and Macro–Micro Failure Mechanisms of Granite under Thermal Treatment and Inclination. Geomech. Geophys. Geo-Energy Geo-Resour. 2025, 11, 8. [Google Scholar] [CrossRef]
- Lasheen, E.S.R.; Rashwan, M.A.; Azer, M.K. Effect of Mineralogical Variations on Physico-Mechanical and Thermal Properties of Granitic Rocks. Sci. Rep. 2023, 13, 10320. [Google Scholar] [CrossRef]
- Ali, A.; Hussain, S.; Khan, S.; Khan, A.S.; Mabood, S.; Ahmad, R. Effects of Tectonically Induced Fabrics on Geomechanical Properties of Rocks, NW Pakistan. Bull. Eng. Geol. Environ. 2020, 79, 4905–4916. [Google Scholar] [CrossRef]
- Ahmed, I.; Shang, Y.; Basharat, M.; Zada, K.; Khan, B.A. Influence of Stress-Induced Fabric Changes on the Strength of Granites: An Insight from the Kohistan and Ladakh Himalayas, Northern Pakistan. Bull. Eng. Geol. Environ. 2024, 83, 369. [Google Scholar] [CrossRef]
- Agliardi, F.; Dobbs, M.R.; Zanchetta, S.; Vinciguerra, S. Folded Fabric Tunes Rock Deformation and Failure Mode in the Upper Crust. Sci. Rep. 2017, 7, 15290. [Google Scholar] [CrossRef]
- Sajid, M.; Coggan, J.; Arif, M.; Andersen, J.; Rollinson, G. Petrographic Features as an Effective Indicator for the Variation in Strength of Granites. Eng. Geol. 2016, 202, 44–54. [Google Scholar] [CrossRef]
- Waqas, U.; Qureshi, M.U.; Saqib, S.; Rashid, H.M.A.; Rasool, A.M. Evaluation of Strength Anisotropy in Foliated Metamorphic Rocks: A Review Focused on Microscopic Mechanisms. Geosciences 2024, 14, 253. [Google Scholar] [CrossRef]
- Ridl, R.N.; Villenueve, M.C.; Bell, D.H.; Macfarlane, D.F. Mineralogical Control on the Intact Strength of Schist in Central Otago, New Zealand. IOP Conf. Ser. Earth Environ. Sci. 2021, 833, 012037. [Google Scholar] [CrossRef]
- Saeidi, M.; Mercier-Langevin, A.; Rouleau, P.; Askaripour, M.; Saeidi, A.; Mercier-Langevin, P.; Rouleau, A. A Review of Relationship between Texture Characteristic and Mechanical Properties of Rock. Geotechnics 2022, 2, 262–296. [Google Scholar] [CrossRef]
- Esmailzadeh, A.; Behnam, S.; Mikaeil, R.; Naghadehi, M.Z.; Saei, S. Relationship between Texture and Uniaxial Compressive Strength of Rocks. Civ. Eng. J. 2017, 3, 480–486. [Google Scholar] [CrossRef]
- Firdaus, G.; Prasad, M.; Behura, J. A Novel Anisotropy Template for an Improved Interpretation of Elastic Anisotropy Data. Sci. Rep. 2023, 13, 16160. [Google Scholar] [CrossRef]
- Strzałkowski, P.; Kaźmierczak, U. Wear and Fragmentation Resistance of Mineral Aggregates—A Review of Micro-Deval and Los Angeles Tests. Materials 2021, 14, 5456. [Google Scholar] [CrossRef]
- Alcock, T.; Bullen, D.; Benson, P.M.; Vinciguerra, S. Temperature-Driven Micro-Fracturing in Granite: The Interplay between Microstructure, Mineralogy and Tensile Strength. Heliyon 2023, 9, e13871. [Google Scholar] [CrossRef]
- Qi, F.; Ma, Z.; Yang, D.; Li, N.; Li, B.; Wang, Z.; Ma, W. Stability Control Mechanism of High-Stress Roadway Surrounding Rock by Roof Fracturing and Rock Mass Filling. Adv. Civ. Eng. 2021, 2021, 6658317. [Google Scholar] [CrossRef]
- Sakcali, A.; Yavuz, H.; Sahin, S. Quality Assessment of Natural Stone Blocks by an Ultrasonic Method. Bull. Eng. Geol. Environ. 2016, 75, 959–966. [Google Scholar] [CrossRef]
- Siegesmund, S.; Snethlage, R. Stone in Architecture: Properties, Durability, 5th ed.; Springer: Berlin/Heidelberg, Germany, 2014; pp. 1–550. [Google Scholar] [CrossRef]
- Ribeiro, R.P.; Paraguassú, A.B.; Rodrigues, J.E. Sawing of Blocks of Siliceous Dimension Stone: Influence of Texture and Mineralogy. Bull. Eng. Geol. Environ. 2007, 66, 101–107. [Google Scholar] [CrossRef]
- Petterson, M.G. A Review of the Geology and Tectonics of the Kohistan Island Arc, North Pakistan. Geol. Soc. Spec. Publ. 2010, 338, 287–327. [Google Scholar] [CrossRef]
- Li, H.; Duan, H.; Qin, Q.; Zhao, T.; Fan, C.; Luo, J. Characteristics and Distribution of Tectonic Fracture Networks in Low Permeability Conglomerate Reservoirs. Sci. Rep. 2025, 15, 5914. [Google Scholar] [CrossRef] [PubMed]
- Mitchell, T.M.; Faulkner, D.R. The Nature and Origin of Off-Fault Damage Surrounding Strike-Slip Fault Zones with a Wide Range of Displacements: A Field Study from the Atacama Fault System, Northern Chile. J. Struct. Geol. 2009, 31, 802–816. [Google Scholar] [CrossRef]
- Callahan, O.A.; Eichhubl, P.; Davatzes, N.C. Mineral Precipitation as a Mechanism of Fault Core Growth. J. Struct. Geol. 2020, 140, 104156. [Google Scholar] [CrossRef]
- Jin, K.; Kim, Y.S. The Importance of Surface Ruptures and Fault Damage Zones in Earthquake Hazard Assessment: A Review and New Suggestions. Geol. Soc. Spec. Publ. 2021, 501, 205–224. [Google Scholar] [CrossRef]
- Li, J.; Guo, S.; Qi, S.; Wei, Q.; Zheng, B.; Zou, Y.; Li, Y.; Zhang, Y.; Lu, X. Spatial Variations of Deformation along a Strike-Slip Fault: A Case Study of Xianshuihe Fault Zone, Southwest China. Appl. Sci. 2024, 14, 2439. [Google Scholar] [CrossRef]
- Li, J.; Guo, S.; Yang, G.; Qi, S. The Influence of Faults on Adjacent Rock Mechanical Behavior and Acoustic Emission Characteristics: A Case Study of the Xianshuihe Fault Zone. Rock Mech. Bull. 2025, 4, 100210. [Google Scholar] [CrossRef]
- Cappa, F.; Rutqvist, J. Impact of CO2 Geological Sequestration on the Nucleation of Earthquakes. Geophys. Res. Lett. 2011, 38. [Google Scholar] [CrossRef]
- ur Rehman, Q.; Ahmed, W.; Waseem, M.; Khan, S.; Farid, A.; Shah, S.H.A. Geophysical Investigations of a Potential Landslide Area in Mayoon, Hunza District, Gilgit-Baltistan, Pakistan. Rud.-Geološko-Naft. Zb. 2021, 36, 127–141. [Google Scholar] [CrossRef]
- Ur Rehman, M.; Zhang, Y.; Meng, X.; Su, X.; Catani, F.; Rehman, G.; Yue, D.; Khalid, Z.; Ahmad, S.; Ahmad, I. Analysis of Landslide Movements Using Interferometric Synthetic Aperture Radar: A Case Study in Hunza-Nagar Valley, Pakistan. Remote Sens. 2020, 12, 2054. [Google Scholar] [CrossRef]
- Khan, S.D.; Walker, D.J.; Hall, S.A.; Burke, K.C.; Shah, M.T.; Stockli, L. Did the Kohistan-Ladakh Island Arc Collide First with India? Bull. Geol. Soc. Am. 2009, 121, 366–384. [Google Scholar] [CrossRef]
- Petterson, M.G.; Treloar, P.J. Volcanostratigraphy of Arc Volcanic Sequences in the Kohistan Arc, North Pakistan: Volcanism within Island Arc, Back-Arc-Basin, and Intra-Continental Tectonic Settings. J. Volcanol. Geotherm. Res. 2004, 130, 147–178. [Google Scholar] [CrossRef]
- Ullah, M.; Klötzli, U.; Rentenberger, C.; Sláma, J.; Younas, M.; Khubab, M.; Goudarzi, M.; Ahmad, T. Unravelling the Geochemical and Geochronological Diversities of the Pre-Collisional Magmatism: Implications for the Subduction Dynamics in the Kohistan Island Arc and Karakorum Block, Pakistan. Geosci. Front. 2025, 16, 102003. [Google Scholar] [CrossRef]
- Ahmed, I.; Shang, Y.; Sousa, L.; Meng, Q.; Tanoli, J.I.; Waqar, M.F. Geomechanical Evaluation of Fault Damage Zone in the Active Himalayas of Northern Pakistan. Environ. Earth Sci. 2025, 84, 644. [Google Scholar] [CrossRef]
- Petterson, M.G.; Windley, B.F. RbSr Dating of the Kohistan Arc-Batholith in the Trans-Himalaya of North Pakistan, and Tectonic Implications. Earth Planet. Sci. Lett. 1985, 74, 45–57. [Google Scholar] [CrossRef]
- Heuberger, S.; Schaltegger, U.; Burg, J.P.; Villa, I.M.; Frank, M.; Dawood, H.; Hussain, S.; Zanchi, A. Age and Isotopic Constraints on Magmatism along the Karakoram-Kohistan Suture Zone, NW Pakistan: Evidence for Subduction and Continued Convergence after India-Asia Collision. Swiss J. Geosci. 2007, 100, 85–107. [Google Scholar] [CrossRef]
- Searle, M.P.; Khan, M.A.; Fraser, J.E.; Gough, S.J.; Jan, M.Q. The Tectonic Evolution of the Kohistan-Karakoram Collision Belt along the Karakoram Highway Transect, North Pakistan. Tectonics 1999, 18, 929–949. [Google Scholar] [CrossRef]
- ASTM D5873-14; Standard Test Method for Determination of Rock Hardness by Rebound Hammer Method. ASTM International: West Conshohocken, PA, USA, 2014.
- ASTM C170-90; Standard Test Method for Compressive Strength of Dimension Stone. ASTM International: West Conshohocken, PA, USA, 1999.
- ASTM D2938-95; Standard Test Method for Unconfined Compressive Strength of Intact Rock Core Specimens. ASTM International: West Conshohocken, PA, USA, 2002.
- ASTM D3976; Standard Test Method for Splitting Tensile Strength of Intact Rock Core Specimens. ASTM International: West Conshohocken, PA, USA, 2001.
- Harrison, D.J.; Bloddworth, A.J. Industrial Minerals Laboratory Manual: Technical Report; British Geological Survey: Nottingham, UK, 1994. [Google Scholar]
- ASTM D2845-08; Standard Test Method for Laboratory Determination of Pulse Velocities and Ultrasonic Elastic Constants of Rocks. ASTM International: West Conshohocken, PA, USA, 2001.
- ASTM C1721-09; Standard Guide for Petrographic Examination of Dimension Stone. ASTM International: West Conshohocken, PA, USA, 2015.
- Irfan, T.Y.; Dearman, W.R. Engineering Classification and Index Properties of a Weathered Granite. Bull. Int. Assoc. Eng. Geol. 1978, 17, 79–90. [Google Scholar] [CrossRef]
- Borrelli, L.; Greco, R.; Gullà, G. Weathering Grade of Rock Masses as a Predisposing Factor to Slope Instabilities: Reconnaissance and Control Procedures. Geomorphology 2007, 87, 158–175. [Google Scholar] [CrossRef]
- Wahab, G.M.A.; Gouda, M.; Ibrahim, G. Study of Physical and Mechanical Properties for Some of Eastern Desert Dimension Marble and Granite Utilized in Building Decoration. Ain Shams Eng. J. 2019, 10, 907–915. [Google Scholar] [CrossRef]
- Aladejare, A.E. Characterization of the Petrographic and Physicomechanical Properties of Rocks from Otanmäki, Finland. Geotech. Geol. Eng. 2021, 39, 2609–2621. [Google Scholar] [CrossRef]
- Singh, H.O.; Ansari, T.A.; Singh, T.N.; Singh, K.H. Development of Statistical Models to Predict the Mechanical Properties of Some Metamorphic Rocks from P-Wave Velocity and Certain Physical Properties. Geotech. Geol. Eng. 2022, 40, 4247–4268. [Google Scholar] [CrossRef]
- Eroğlu, G.; Çalik, A. Relationship of Petrographic and Mineralogical Characteristics with Mechanical Strength Properties of Granitic Rocks: A Case Study from the Biga Peninsula, NW Turkey. Turk. J. Earth Sci. 2023, 32, 126–143. [Google Scholar] [CrossRef]
- Wang, Z.; Li, W.; Wang, Q.; Liu, S.; Hu, Y.; Fan, K. Relationships between the Petrographic, Physical and Mechanical Characteristics of Sedimentary Rocks in Jurassic Weakly Cemented Strata. Environ. Earth Sci. 2019, 78, 131. [Google Scholar] [CrossRef]
- Arzúa, J.; Alejano, L.R. Dilation in Granite during Servo-Controlled Triaxial Strength Tests. Int. J. Rock Mech. Min. Sci. 2013, 61, 43–56. [Google Scholar] [CrossRef]
- Güneş Yilmaz, N.; Mete Goktan, R.; Kibici, Y. Relations between Some Quantitative Petrographic Characteristics and Mechanical Strength Properties of Granitic Building Stones. Int. J. Rock Mech. Min. Sci. 2011, 48, 506–513. [Google Scholar] [CrossRef]
- Shang, Y.J.; Zhao, B.; Jiang, D.T. Discussion on the Maximum Height of Vertical Scarp of Fresh and Intact Granite from Different Approaches. Xinjiang Geol. 2023, 41, 72–80. [Google Scholar]
- Takarli, M.; Prince, W.; Siddique, R. Damage in Granite under Heating/Cooling Cycles and Water Freeze–Thaw Condition. Int. J. Rock Mech. Min. Sci. 2008, 45, 1164–1175. [Google Scholar] [CrossRef]
- Sousa, L.M.O. The Influence of the Characteristics of Quartz and Mineral Deterioration on the Strength of Granitic Dimensional Stones. Environ. Earth Sci. 2013, 69, 1333–1346. [Google Scholar] [CrossRef]
- Morales Demarco, M.; Oyhantçabal, P.; Stein, K.J.; Siegesmund, S. Granitic Dimensional Stones in Uruguay: Evaluation and Assessment of Potential Resources. Environ. Earth Sci. 2013, 69, 1397–1438. [Google Scholar] [CrossRef]
- Savage, H.M.; Brodsky, E.E. Collateral Damage: Evolution with Displacement of Fracture Distribution and Secondary Fault Strands in Fault Damage Zones. J. Geophys. Res. Solid Earth 2011, 116, B03405. [Google Scholar] [CrossRef]
- Shipton, Z.K.; Soden, A.M.; Kirkpatrick, J.D.; Bright, A.M.; Lunn, R.J. How Thick Is a Fault? Fault Displacement-Thickness Scaling Revisited. In Earthquakes: Radiated Energy and the Physics of Faulting; American Geophysical Union: Washington, DC, USA, 2006; pp. 193–198. [Google Scholar]
- Everall, T.; Sanislav, I. The Influence of Pre-Existing Deformation and Alteration Textures on Rock Strength, Failure Modes and Shear Strength Parameters. Geosciences 2018, 8, 124. [Google Scholar] [CrossRef]
- Waqar, M.F.; Guo, S.; Qi, S.; Karim, M.A.M.; Zada, K.; Ahmed, I.; Shang, Y. Influence of Mineralogical and Petrographic Properties on the Mechanical Behavior of Granitic and Mafic Rocks. Minerals 2025, 15, 747. [Google Scholar] [CrossRef]
- Asif, A.R.; Sajid, M.; Ahmed, W.; Nawaz, A. Weathering Effects on Granitic Rocks in North Pakistan: Petrographic Insights, Strength Classifications, and Construction Suitability. Environ. Earth Sci. 2024, 83, 351. [Google Scholar] [CrossRef]
- Yasir, M.; Ahmed, W.; Islam, I.; Sajid, M.; Janjuhah, H.T.; Kontakiotis, G. Composition, Texture, and Weathering Controls on the Physical and Strength Properties of Selected Intrusive Igneous Rocks from Northern Pakistan. Geosciences 2022, 12, 273. [Google Scholar] [CrossRef]
- Mustafa, S.; Khan, M.A.; Khan, M.R.; Sousa, L.M.O.; Hameed, F.; Mughal, M.S.; Niaz, A. Building Stone Evaluation-A Case Study of the Sub-Himalayas, Muzaffarabad Region, Azad Kashmir, Pakistan. Eng. Geol. 2016, 209, 56–69. [Google Scholar] [CrossRef]













| Rock Type | Age (Ma) | Author | Method |
|---|---|---|---|
| Hanzel biotite granite (HBG) | 40 ± 6 | Petterson and Windly, 1985 [35] | Rb-Sr whole rock |
| Hanzel leucogranite schist (HLS) | 29 ± 8 | Petterson and Windly, 1985 [35] | Rb-Sr whole rock |
| Hanzel granodiorite schist (HGS) | 102 ± 12 | Petterson and Windly, 1985 [35] | Rb-Sr whole rock |
| Hanzel foliated amphibolite (HFA) | 111.52 ± 0.40 | Heuberger et al., 2007 [36] | U-Pb |
| Hanzel amphibolite (HZA) | 111.52 ± 0.40 | Heuberger et al., 2007 [36] | U-Pb |
| Hanzel diorite (HZD) | 40 ± 6 | Petterson and Windly, 1985 [35] | Rb-Sr whole rock |
| Mineral | HBG | HLS | HGS | HFA | HZA | HPA | HZD | |
|---|---|---|---|---|---|---|---|---|
| Quartz (%) | 44 | 40 | 45.5 | 26 | 18 | 25 | 24 | |
| K-feldspar (%) | 25.5 | 27 | 0.5 | 11 | 7.5 | 0 | 12.5 | |
| Plagioclase (%) | 17.5 | 22 | 12 | 7 | 21.5 | 35 | 35.5 | |
| Amphibole (%) | 35 | 40.5 | 25 | 3.5 | ||||
| Mica | Biotite (%) | 7 | 1.5 | 11 | 6.5 | 1 | 6 | 16.5 |
| Muscovite (%) | 4.5 | 7.5 | 22 | 5 | 2 | 0.5 | ||
| Epidote (%) | 3 | 3.5 | 3.5 | 2 | 4.5 | |||
| Garnet (%) | 2 | |||||||
| Opaque (%) | 1.5 | 2.5 | 6 | 4.5 | 5 | |||
| Secondary minerals (%) | Sericite + clay | 3.5 | 1 | |||||
| Chlorite | 3.5 | 2 | ||||||
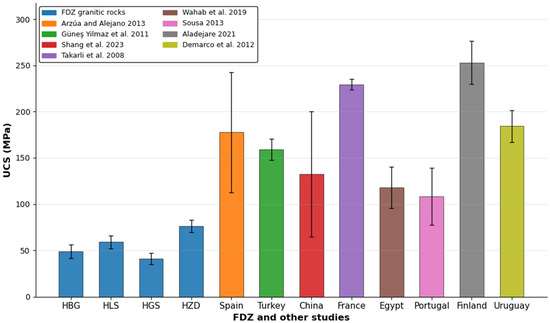
| Rock Type | UCS (MPa) | BTS (MPa) | SHR | Porosity (%) | UPV (m/s) | (Irfan and Dearman, [45]; Borrelli et al. [46]) |
|---|---|---|---|---|---|---|
| HBG | 49.31 | 5.60 | 50 | 1.12 | 2991 | Slight (Grade II) |
| HLS | 59.08 | 6.70 | 52 | 1.03 | 3042 | Slight (Grade II) |
| HGS | 41.00 | 4.80 | 48 | 1.21 | 2867 | Moderate (Grade III) |
| HFA | 55.00 | 6.00 | 52 | 0.26 | 5331 | Slight (Grade II) |
| HPA | 81.68 | 10.46 | 55 | 0.21 | 5506 | Slight (Grade II) |
| HZA | 106.77 | 13.67 | 59 | 0.26 | 5446 | Slight (Grade II) |
| HZD | 75.77 | 13.33 | 56 | 0.17 | 3315 | Slight (Grade II) |
| Rock Type | Direction | UCS (MPa) | BTS (MPa) | UPV (m/s) |
|---|---|---|---|---|
| HLS (Leucogranite schist) | Parallel | 66.79 ± 1.34 | 7.56 ± 0.15 | 3194 ± 64 |
| Perpendicular | 51.37 ± 1.03 | 5.84 ± 0.12 | 2890 ± 58 | |
| Overall mean | 59.08 ± 8.51 | 6.70 ± 0.95 | 3042 ± 175 | |
| HGS (Granodiorite schist) | Parallel | 47.20 ± 0.94 | 5.52 ± 0.11 | 3010 ± 60 |
| Perpendicular | 34.80 ± 0.70 | 4.08 ± 0.08 | 2724 ± 54 | |
| Overall mean | 41.00 ± 6.83 | 4.80 ± 0.79 | 2867 ± 164 | |
| HFA (Foliated amphibolite) | Parallel | 61.60 ± 1.23 | 6.72 ± 0.13 | 5598 ± 112 |
| Perpendicular | 48.40 ± 0.97 | 5.28 ± 0.11 | 5064 ± 101 | |
| Overall mean | 55.00 ± 7.30 | 6.00 ± 0.80 | 5331 ± 308 |
| Rock Type | Tectonically Induced Strength-Reducing Petrographic Features | ||||
|---|---|---|---|---|---|
| Micro-Fracture Density | Foliations/ Schistosity (S-C Fabric) | Mica Content (%) | Secondary Minerals: Sericite, Chlorite, and Clays (%) | Stained Minerals, Grain Boundary Recrystallization, and Alteration | |
| HBG | Frequent | Absent | 11.5% | <1% | Frequent |
| HLS | Frequent | Present | 9% | <1% | Frequent |
| HGS | Frequent | Present | 33% | 3.5% | Frequent |
| HFA | Moderate | Present | 11.5% | <1% | Frequent |
| HZA | Few | Absent | 1% | 3.5% | Absent |
| HPA | Very few | Absent | 8% | <1% | Absent |
| HZD | Few | Absent | 17% | 3% | Few |
Disclaimer/Publisher’s Note: The statements, opinions and data contained in all publications are solely those of the individual author(s) and contributor(s) and not of MDPI and/or the editor(s). MDPI and/or the editor(s) disclaim responsibility for any injury to people or property resulting from any ideas, methods, instructions or products referred to in the content. |
© 2025 by the authors. Licensee MDPI, Basel, Switzerland. This article is an open access article distributed under the terms and conditions of the Creative Commons Attribution (CC BY) license (https://creativecommons.org/licenses/by/4.0/).
Share and Cite
Ahmed, I.; Shang, Y.; Sousa, L.; Yi, X.; Meng, Q.; Rabbani, H.; Ahmed, R. Tectonic Control on Mineralogical and Microfabric Modifications and Their Impact on Rock Strength: Evidence from the Fault Damage Zone, Tethyan Himalayas, Pakistan. Minerals 2025, 15, 1272. https://doi.org/10.3390/min15121272
Ahmed I, Shang Y, Sousa L, Yi X, Meng Q, Rabbani H, Ahmed R. Tectonic Control on Mineralogical and Microfabric Modifications and Their Impact on Rock Strength: Evidence from the Fault Damage Zone, Tethyan Himalayas, Pakistan. Minerals. 2025; 15(12):1272. https://doi.org/10.3390/min15121272
Chicago/Turabian StyleAhmed, Izhar, Yanjun Shang, Luis Sousa, Xuetao Yi, Qingsen Meng, Hussain Rabbani, and Rehan Ahmed. 2025. "Tectonic Control on Mineralogical and Microfabric Modifications and Their Impact on Rock Strength: Evidence from the Fault Damage Zone, Tethyan Himalayas, Pakistan" Minerals 15, no. 12: 1272. https://doi.org/10.3390/min15121272
APA StyleAhmed, I., Shang, Y., Sousa, L., Yi, X., Meng, Q., Rabbani, H., & Ahmed, R. (2025). Tectonic Control on Mineralogical and Microfabric Modifications and Their Impact on Rock Strength: Evidence from the Fault Damage Zone, Tethyan Himalayas, Pakistan. Minerals, 15(12), 1272. https://doi.org/10.3390/min15121272

