Experimental Investigation on the Performance of Full Tailings Cemented Backfill Material in a Lead–Zinc Mine Based on Mechanical Testing
Abstract
1. Introduction
1.1. Research Background
1.2. Research Status
1.3. Research Objective
2. Raw Materials and Experimental Methods
2.1. Backfill Test Materials
2.2. Basic Physical Parameters and Chemical Composition of Unclassified Tailings
2.2.1. Physical Parameters of Unclassified Tailings
2.2.2. Chemical Composition
2.2.3. Particle Size Distribution of Unclassified Tailings
2.3. Test Block Mix Ratio and Strength Optimization Test
2.3.1. Specimen Preparation
2.3.2. Uniaxial Compressive Strength Test: Methods and Equipment
2.3.3. Mix Proportion Test Design of Backfill Specimens
2.4. Determination of Slump of Backfill Slurry
3. Experimental Results and Analysis
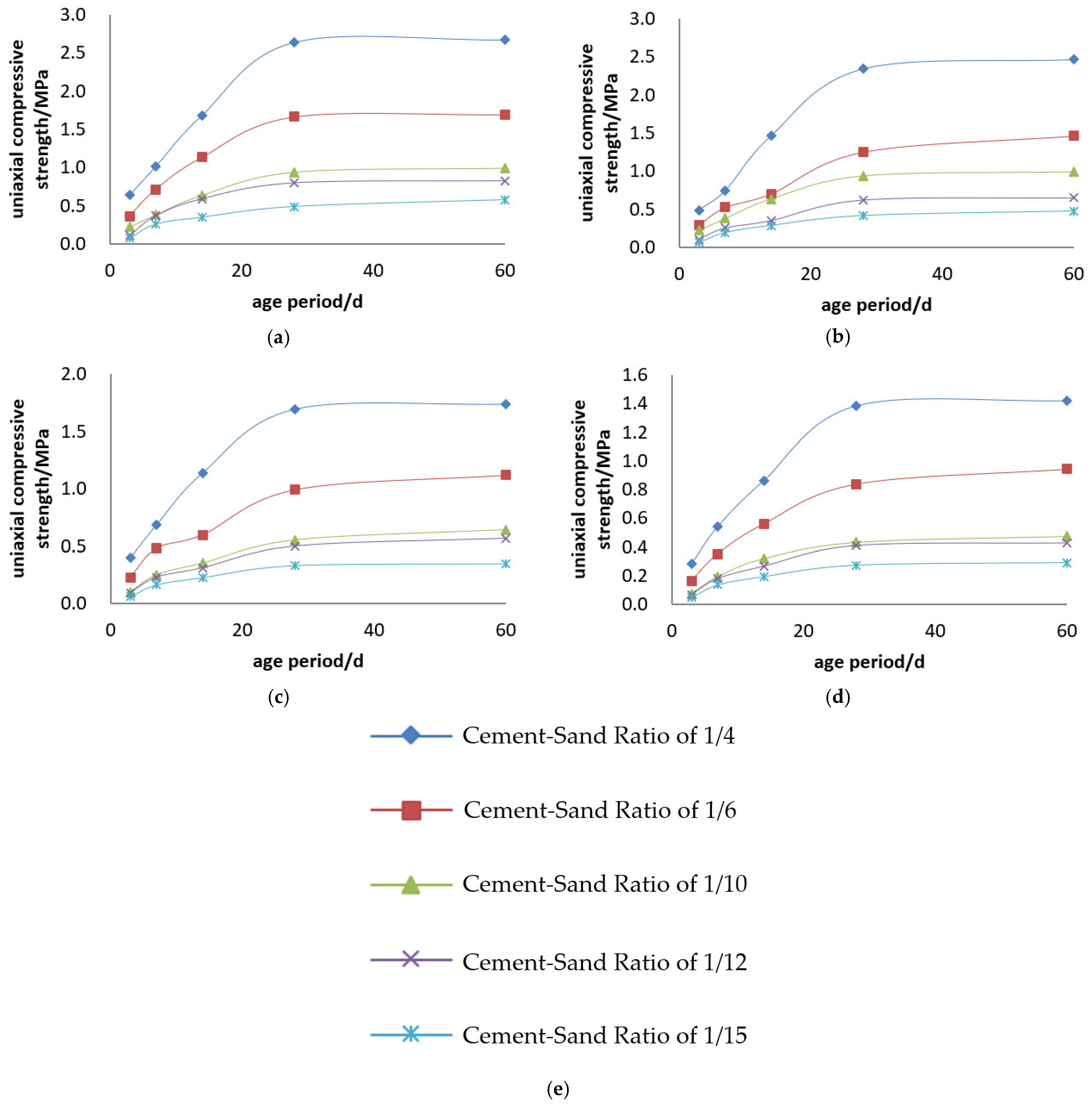
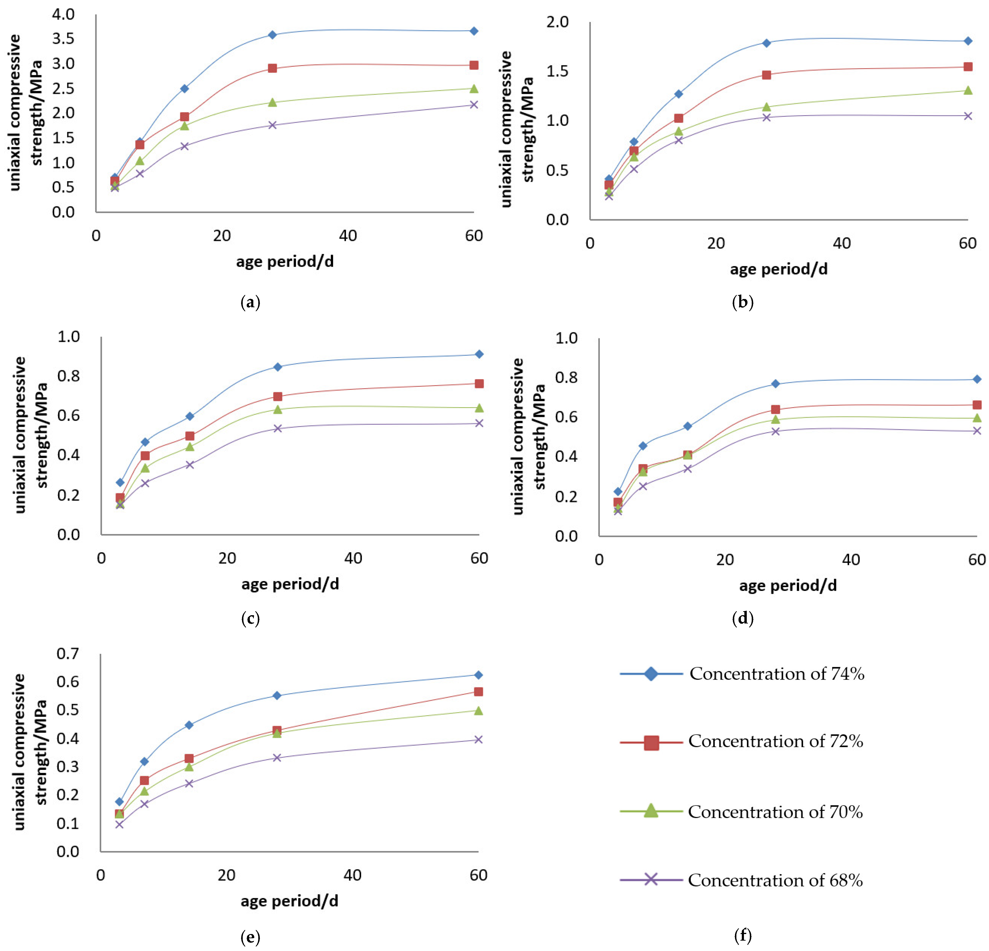
3.1. Compressive Strength of Filling Body Test Block
3.1.1. Jinyuan 32.5# Cement
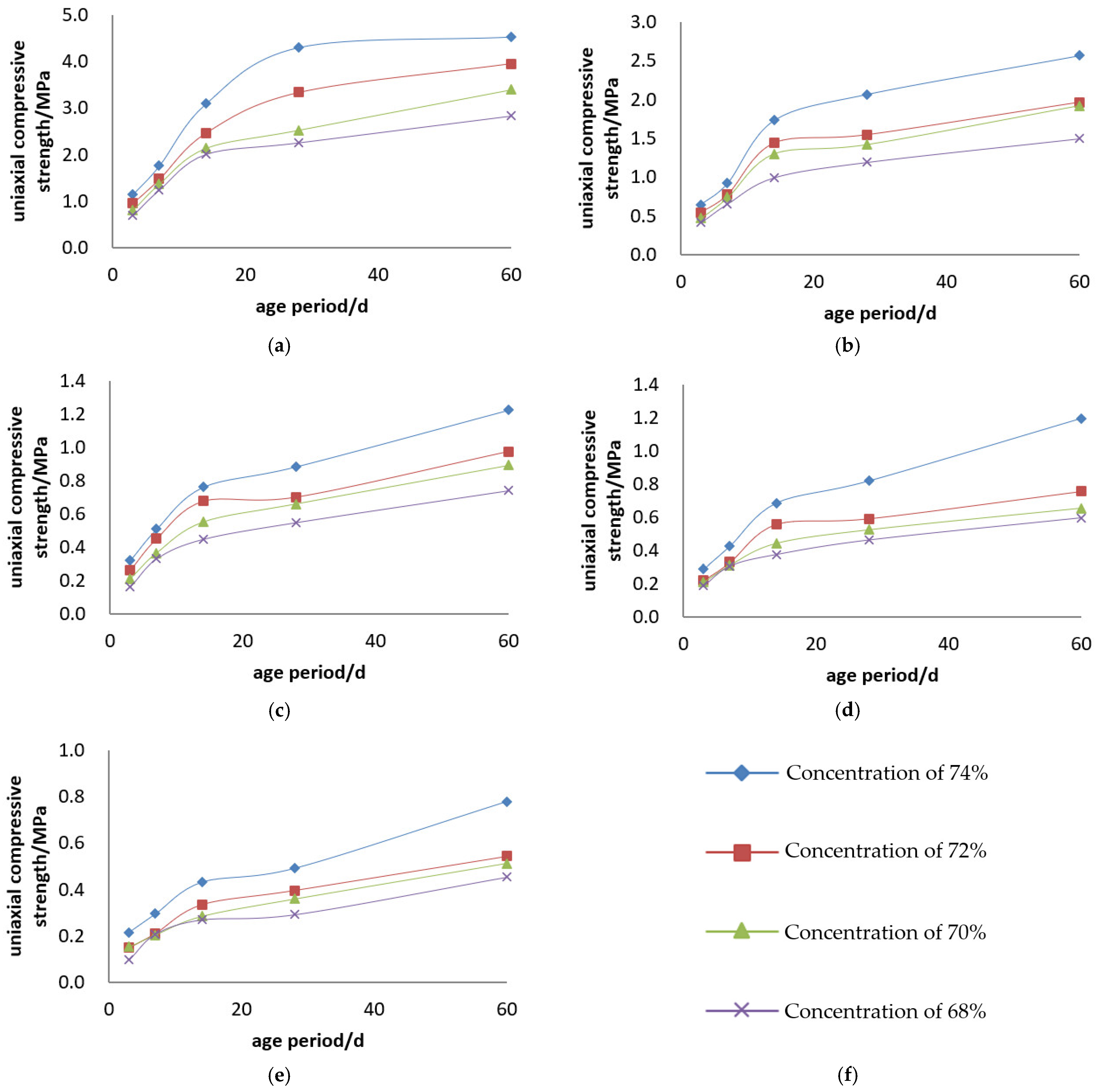
3.1.2. Kunlun Mountain 42.5# Cement
3.1.3. Boshushan 32.5# Cement
3.1.4. Boshushan 42.5# Cement
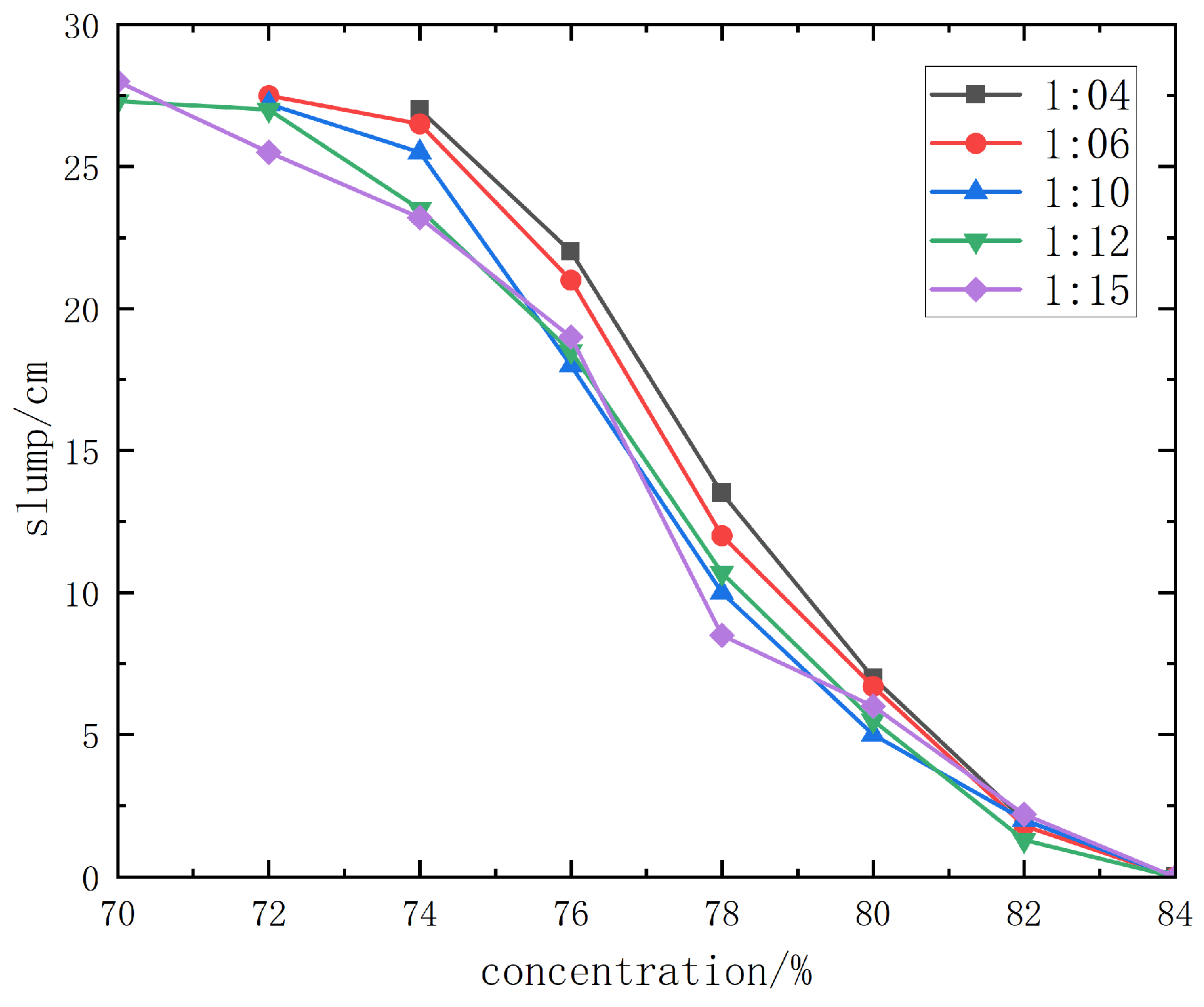
3.2. Slump Determination Test of Backfill Slurry
3.2.1. Slump Test Results of Unclassified Tailings Slurry
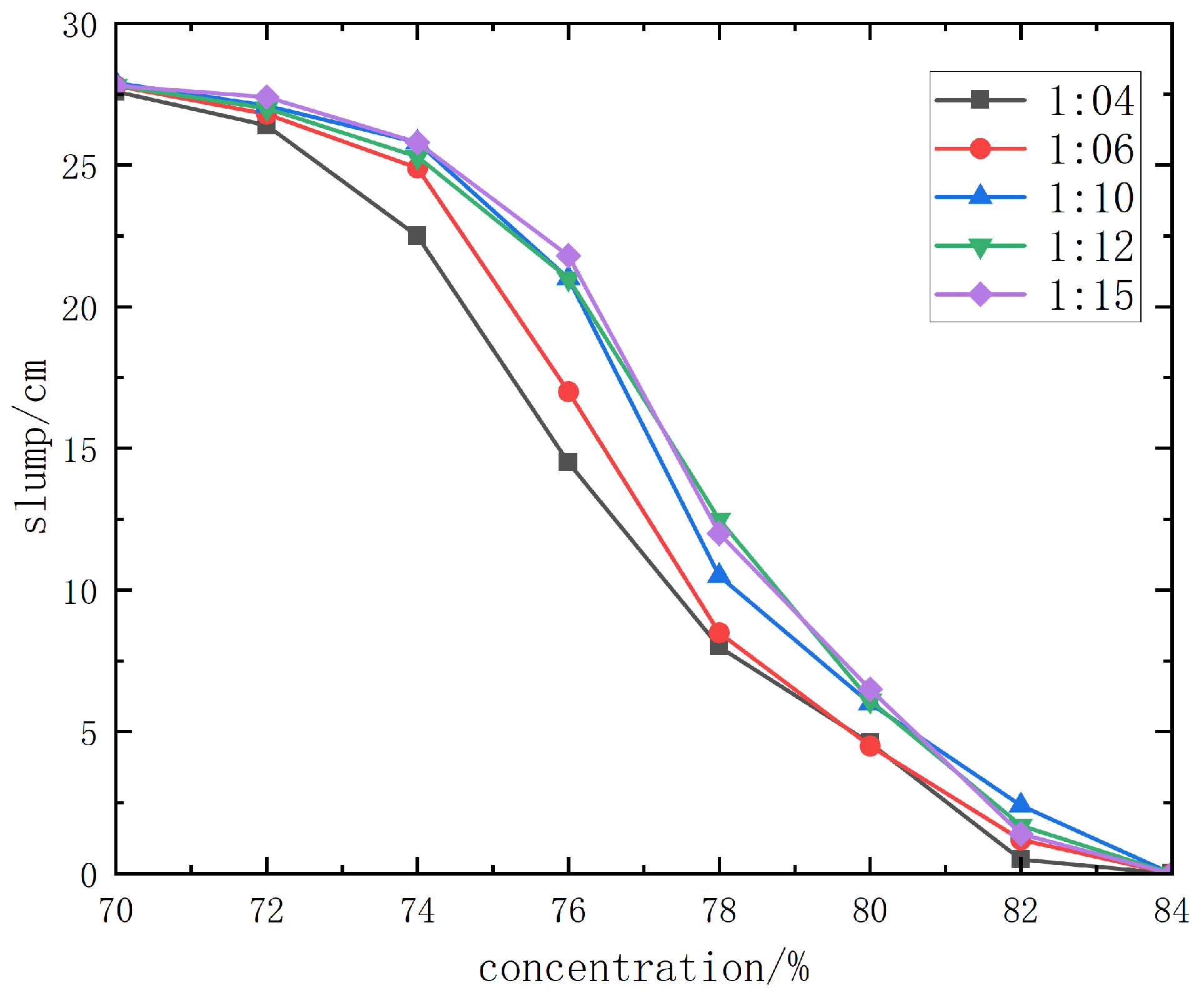
3.2.2. Slump Test Results of Jinyuan 32.5# Cement + Unclassified Tailings Slurry
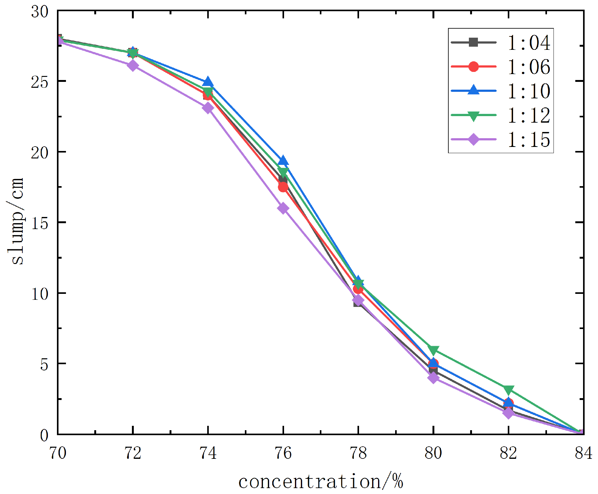
3.2.3. Slump Test Results of Kunlun 42.5# Cement + Unclassified Tailings Slurry
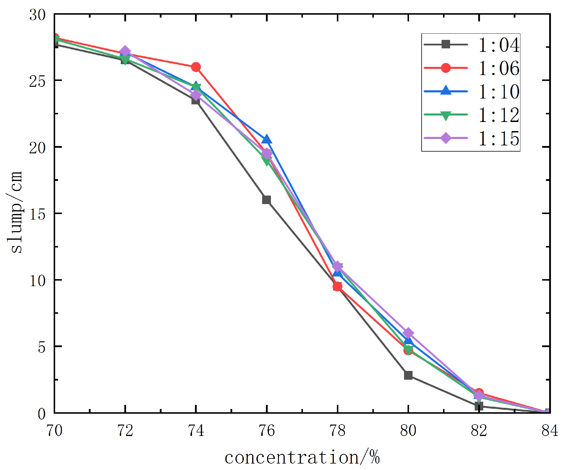
3.2.4. Slump Test Results of Boshushan 32.5# Cement + Unclassified Tailings Slurry
3.2.5. Slump Test Results of Boshushan 42.5# Cement + Unclassified Tailings Slurry
4. Discussion
4.1. In-Depth Analysis of Slump and Workability of Backfill Slurry
4.2. Strength Development Patterns and Microscopic Mechanism Analysis
4.3. Scientific Basis for Optimized Mix Proportion and Engineering Implications
- (1)
- Scanning Electron Microscopy (SEM): Could directly observe the morphology and distribution of hydration products and their interfacial bonding with tailings particles under different cement-to-tailings ratios, concentrations, and cement types, revealing the microstructural roots of strength differences.
- (2)
- X-ray Diffraction (XRD): Could quantitatively analyze the phase composition and content of hydration products in backfill with different mixes, particularly the proportion of cementitious C-S-H gel versus potentially harmful products (e.g., delayed ettringite), assessing long-term stability.
- (3)
- Mercury Intrusion Porosimetry (MIP) or Nitrogen Adsorption: Could accurately measure porosity, pore size distribution, and tortuosity, establishing quantitative relationships between microscopic pore structure and macroscopic properties like strength and permeability.
5. Conclusions
Author Contributions
Funding
Institutional Review Board Statement
Informed Consent Statement
Data Availability Statement
Acknowledgments
Conflicts of Interest
References
- Li, L.; Jia, J.Q. Study on the mechanical properties of post-filling coarse aggregate concrete under multiaxial compression. Constr. Build. Mater. 2024, 417, 11. [Google Scholar] [CrossRef]
- Liu, H.; Fall, M. Testing the properties of cemented tailings backfill under multiaxial compressive loading. Constr. Build. Mater. 2024, 421, 135682. [Google Scholar] [CrossRef]
- Jiang, Y.; Li, B.; Liu, S.; He, J.; Hernandez, A.G. Role of recycled concrete powder as sand replacement in the properties of cement mortar. J. Clean. Prod. 2022, 371, 133424. [Google Scholar] [CrossRef]
- Garcia-Troncoso, N.; Baykara, H.; Cornejo, M.H.; Riofrio, A.; Tinoco-Hidalgo, M.; Flores-Rada, J. Comparative mechanical properties of conventional concrete mixture and concrete incorporating mining tailings sands. Case Stud. Constr. Mater. 2022, 16, e01031. [Google Scholar] [CrossRef]
- Zhang, L.; Guo, L.; Liu, S.; Wei, X.; Zhao, Y.; Li, M. A comparative study on the workability, mechanical properties and microstructure of cemented fine tailings backfill with different binder. Constr. Build. Mater. 2024, 455, 139189. [Google Scholar] [CrossRef]
- Hou, Y.; Yang, K.; Yin, S.; Yu, X.; Kou, P.; Wang, Y. Enhancing workability, strength, and microstructure of cemented tailings backfill through mineral admixtures and fibers. J. Build. Eng. 2024, 84, 108590. [Google Scholar] [CrossRef]
- Zhang, C.; Guo, J.; Song, W.; Tan, Y.; Taheri, A.; Wang, X. Stability analysis and strength optimization of cemented tailings backfill in high-temperature mining. Green Smart Min. Eng. 2025, 2, 84–96. [Google Scholar] [CrossRef]
- Samiratou Yaya, N.; Cao, S.; Yilmaz, E. Effect of 3D printed skeleton shapes on strength behavior, stress evolution and microstructural response of cement-based tailings backfills. Constr. Build. Mater. 2024, 432, 136699. [Google Scholar] [CrossRef]
- Gao, X.C.; Zhang, X.C.; Zhao, C.; Xia, H.; Liu, S.; Ma, T.F.; Yin, J.H.; Fan, K. Ultrasonic Time-Frequency Response Characteristics for Damage Evolution of Back-Filling Concrete under Staged Loading Conditions. Adv. Mater. Sci. Eng. 2022, 2022, 4458608. [Google Scholar] [CrossRef]
- Bai, J.; Ma, J.; Feng, G.; Cui, B.; Wu, Y. Mechanical characteristic and microstructural properties of tailing cemented paste backfill under uniaxial compression. Structures 2025, 82, 110651. [Google Scholar] [CrossRef]
- Wu, J.; Li, C.; Hu, C. Relationship between crack initiation stress and uniaxial compressive strength of cemented waste rock-tailings backfill. Constr. Build. Mater. 2025, 499, 144097. [Google Scholar] [CrossRef]
- Chen, S.; Jin, A.; Zhao, Y.; Wang, Z.; Zheng, Y. Strength deterioration mechanism of horizontal stratified cemented tailings backfill under uniaxial compression. Case Stud. Constr. Mater. 2025, 22, e04154. [Google Scholar] [CrossRef]
- Al-Bakri, A.Y.; Ahmed, H.M.; Hefni, M.A. Experimental Investigation of Recycling Cement Kiln Dust (CKD) as a Co-Binder Material in Cemented Paste Backfill (CPB) Made with Copper Tailings. Minerals 2024, 14, 750. [Google Scholar] [CrossRef]
- Sheraz, M.; Yuan, Q.; Alam, M.; Javed, M.F. Wooden ash based nylon fiber reinforced concrete: Experimental study on concrete strength properties. Innov. Infrastruct. Solut. 2025, 10, 512. [Google Scholar] [CrossRef]
- Guner, N.U.; Yilmaz, E.; Sari, M.; Kasap, T. Cementitious Backfill with Partial Replacement of Cu-Rich Mine Tailings by Sand: Rheological, Mechanical and Microstructural Properties. Minerals 2023, 13, 437. [Google Scholar] [CrossRef]
- Yin, Q.; Wen, F.; Tao, Z.; Pu, H.; Deng, T.; Meng, Y.; Meng, Q.; Jing, H.; Meng, B.; Wu, J. Effects of aggregate size distribution and carbon nanotubes on the mechanical properties of cemented gangue backfill samples under true triaxial compression. Int. J. Miner. Metall. Mater. 2025, 32, 311–324. [Google Scholar] [CrossRef]
- Hefni, M.A. Experimental Development of an Innovative Approach to Enhance the Strength of Early Age Cemented Paste Backfill: A Preliminary Investigation of Microwave-Assisted Curing. Minerals 2023, 13, 1392. [Google Scholar] [CrossRef]
- Cavusoglu, I.; Fall, M. Engineering Properties of Cemented Paste Backfill with Full-Range Water-Reducing Admixture. Int. J. Civ. Eng. 2023, 21, 1567–1582. [Google Scholar] [CrossRef]
- Safari, A.; Taheri, A.; Karakus, M. Mechanical and Microstructural Behavior of Cemented Paste Backfill Under Cyclic Loading. Minerals 2025, 15, 123. [Google Scholar] [CrossRef]
- Behera, S.K.; Mishra, D.P.; Singh, P.; Godugu, A.; Mishra, K.; Mandal, P.K.; Mandal, S.K.; Mishra, A.K. Tensile strength of cemented paste backfill for lead–zinc mill tailings: Lab and in situ scenarios. Arab. J. Geosci. 2023, 16, 451. [Google Scholar] [CrossRef]
- Chiloane, N.M.; Sengani, F.; Mulenga, F. An experimental and numerical study of the strength development of layered cemented tailings backfill. Sci. Rep. 2024, 14, 734. [Google Scholar] [CrossRef]
- Jafari, M.; Song, X.; Grabinsky, M. Development of a Method to Predict the Nonlinear Mechanical Response of Cemented Paste Backfill to Mining Induced Closure Strains. Rock Mech. Rock Eng. 2025, 58, 9435–9457. [Google Scholar] [CrossRef]
- Mishra, K.; Behera, S.K.; Patel, S.K.; Singh, P.; Buragohain, J.; Hazra, B.; Mandal, S.K.; Kumar, R. Experimental Investigation on the Mechanical and Microstructural Properties of Cemented Coal Ash Based Paste Backfill Reinforced with Polypropylene Fibre. Indian Geotech. J. 2025, 55, 2822–2836. [Google Scholar] [CrossRef]
- Shaaban, M.; Amin, M.; Selim, S.; Riad, I.M. Machine learning approaches for forecasting compressive strength of high-strength concrete. Sci. Rep. 2025, 15, 25567. [Google Scholar] [CrossRef]
- GB/T 50080-2016; Standard for Test Method of Performance on Ordinary Fresh Concrete. China Standards Press: Beijing, China, 2016.


















| Test Item | Specific Gravity | Loose Dry Bulk Density/(t/m3) | Dense Dry Bulk Density/(t/m3) | Loose Porosity/% | Dense Porosity/% |
|---|---|---|---|---|---|
| Data | 2.73 | 1.367 | 1.908 | 51.52 | 32.34 |
| Serial Number | Cement Type | Concentration (%) | Cement–Sand Ratio | Curing Age (Days) |
|---|---|---|---|---|
| 1 | Jinyuan 32.5# Cement | 68 | 1:4 | 3 |
| 2 | Kunlun Mountain 42.5# Cement | 70 | 1:6 | 7 |
| 3 | Baishu Mountain 32.5# Cement | 72 | 1:10 | 14 |
| 4 | Baishu Mountain 42.5# Cement | 74 | 1:12 | 28 |
| 5 | 1:15 | 60 |
Disclaimer/Publisher’s Note: The statements, opinions and data contained in all publications are solely those of the individual author(s) and contributor(s) and not of MDPI and/or the editor(s). MDPI and/or the editor(s) disclaim responsibility for any injury to people or property resulting from any ideas, methods, instructions or products referred to in the content. |
© 2026 by the authors. Licensee MDPI, Basel, Switzerland. This article is an open access article distributed under the terms and conditions of the Creative Commons Attribution (CC BY) license.
Share and Cite
Yang, N.; Ou, R.; Bu, R.; Sun, D.; Yan, F.; Wang, H.; Liu, Q.; Tang, M.; Li, X. Experimental Investigation on the Performance of Full Tailings Cemented Backfill Material in a Lead–Zinc Mine Based on Mechanical Testing. Materials 2026, 19, 351. https://doi.org/10.3390/ma19020351
Yang N, Ou R, Bu R, Sun D, Yan F, Wang H, Liu Q, Tang M, Li X. Experimental Investigation on the Performance of Full Tailings Cemented Backfill Material in a Lead–Zinc Mine Based on Mechanical Testing. Materials. 2026; 19(2):351. https://doi.org/10.3390/ma19020351
Chicago/Turabian StyleYang, Ning, Renze Ou, Ruosong Bu, Daoyuan Sun, Fang Yan, Hongwei Wang, Qi Liu, Mingdong Tang, and Xiaohui Li. 2026. "Experimental Investigation on the Performance of Full Tailings Cemented Backfill Material in a Lead–Zinc Mine Based on Mechanical Testing" Materials 19, no. 2: 351. https://doi.org/10.3390/ma19020351
APA StyleYang, N., Ou, R., Bu, R., Sun, D., Yan, F., Wang, H., Liu, Q., Tang, M., & Li, X. (2026). Experimental Investigation on the Performance of Full Tailings Cemented Backfill Material in a Lead–Zinc Mine Based on Mechanical Testing. Materials, 19(2), 351. https://doi.org/10.3390/ma19020351

