Sign in to use this feature.

Years

Between: -

Subjects

remove_circle_outline
remove_circle_outline
remove_circle_outline
remove_circle_outline
remove_circle_outline
remove_circle_outline
remove_circle_outline

Journals

Article Types

Countries / Regions

Search Results (14)

Search Parameters:
Keywords = type IV hydrogen storage cylinders

Order results
Result details
Results per page
Select all
Export citation of selected articles as:
27 pages, 2712 KB  
Review
Type IV High-Pressure Composite Pressure Vessels for Fire Fighting Equipment: A Comprehensive Review and Market Assessment
by Krisztián Kun, Dávid István Kis and Caizhi Zhang
Fire 2025, 8(12), 465; https://doi.org/10.3390/fire8120465 - 29 Nov 2025
Viewed by 1487
Abstract
Type IV composite overwrapped pressure vessels—characterized by a polymer liner fully wrapped in fiber-reinforced polymer—are emerging as lightweight, corrosion-proof alternatives to traditional metal cylinders in fire safety applications. This paper presents a comprehensive review of Type IV high-pressure vessels used in portable fire [...] Read more.
Type IV composite overwrapped pressure vessels—characterized by a polymer liner fully wrapped in fiber-reinforced polymer—are emerging as lightweight, corrosion-proof alternatives to traditional metal cylinders in fire safety applications. This paper presents a comprehensive review of Type IV high-pressure vessels used in portable fire extinguishers and self-contained breathing apparatus (SCBA) systems. We outline recent material innovations for both the non-metallic liners and composite shells, including multilayer liner designs (e.g., high-barrier polymers and nanocomposites) and advanced fiber/resin systems. Key manufacturing developments such as automated filament winding, resin infusion, and in-line non-destructive testing are discussed. Technical performance in fire applications is critically examined: current standards and certification requirements (EU and international), typical design pressures (e.g., 300 bar in SCBA) and safety factors, common failure modes (liner collapse, fiber rupture, etc.), inspection protocols, and a comparison with Type IV hydrogen storage cylinders. Market trends are also reviewed, highlighting the major manufacturers and the growing adoption of composite extinguishers (e.g., 20-year service-life composite units) versus conventional steel. The review draws on 7–10 peer-reviewed studies to analyze the state of the art, finding that Type IV vessels offer significant weight reduction (>30%) and corrosion resistance at the cost of more complex design and certification. In firefighting use, these cylinders demonstrably improve firefighter mobility and reduce maintenance, while meeting rigorous safety standards. Remaining challenges include further improving liner permeability barriers to prevent gas leakage or collapse, understanding long-term composite aging under cyclic loads, and optimizing fire resistance. Overall, Type IV composite pressure vessels represent a major innovation in fire suppression technology, enabling safer and more efficient extinguishing equipment. Future research and standardization efforts are recommended to fully realize their benefits in fire protection. Full article
(This article belongs to the Special Issue Fire Extinguishing Agent and Application)
Show Figures

Figure 1

21 pages, 8838 KB  
Article
Multi-Physics Coupling Mechanism of the Dynamic Sealing Performance of the O-Ring at the Neck of a Type IV Hydrogen Storage Cylinder Under Linearly Decreasing Filling Conditions
by Enhui Zhang, Xiaolong Shi, Wenchao Wang and Zhiqiang Wang
Symmetry 2025, 17(11), 1921; https://doi.org/10.3390/sym17111921 - 10 Nov 2025
Viewed by 516
Abstract
To address the degradation of O-ring material properties and reduced dynamic seal reliability caused by excessive hydrogen temperature rise in a Type IV hydrogen cylinder due to constant-flow filling strategies, this study systematically investigates the coupled mechanism by which a linearly decreasing flow [...] Read more.
To address the degradation of O-ring material properties and reduced dynamic seal reliability caused by excessive hydrogen temperature rise in a Type IV hydrogen cylinder due to constant-flow filling strategies, this study systematically investigates the coupled mechanism by which a linearly decreasing flow filling strategy maintains sealing performance through temperature rise regulation. By establishing a fluid–thermal–solid coupled mathematical model that comprehensively considers the Joule–Thomson effect, compression heat, gas swelling, and material nonlinear behavior, combined with numerical simulation methods, the sealing performance of the linear decreasing and constant-flow filling strategies was systematically compared across three key dimensions: temperature field distribution, evolution of seal ring material properties, and contact stress at the sealing interface. Results demonstrate that the linear decrease filling strategy effectively suppresses hydrogen temperature rise, achieving a 4.6% lower temperature increase at completion compared to the constant-flow strategy. Concurrently, this strategy mitigates thermally induced degradation of seal material properties, reducing contact stress fluctuations by 5% and significantly enhancing dynamic seal reliability. This research provides theoretical foundations and design support for optimizing filling protocols in high-performance hydrogen storage vessels. Full article
Show Figures

Figure 1

31 pages, 4719 KB  
Review
Exploring the Gas Permeability of Type IV Hydrogen Storage Cylinder Liners: Research and Applications
by Xinshu Li, Qing Wang, Shuang Wu, Dongyang Wu, Chunlei Wu, Da Cui and Jingru Bai
Materials 2025, 18(13), 3127; https://doi.org/10.3390/ma18133127 - 1 Jul 2025
Cited by 2 | Viewed by 3401
Abstract
As hydrogen fuel cell vehicles gain momentum as crucial zero-emission transportation solutions, the urgency to address hydrogen permeability through the polymer liner becomes paramount for ensuring the safety, efficiency, and longevity of Type IV hydrogen storage tanks. This paper synthesizes existing research findings, [...] Read more.
As hydrogen fuel cell vehicles gain momentum as crucial zero-emission transportation solutions, the urgency to address hydrogen permeability through the polymer liner becomes paramount for ensuring the safety, efficiency, and longevity of Type IV hydrogen storage tanks. This paper synthesizes existing research findings, analyzes the influence of different materials and structures on gas permeability, elucidates the dissolution and diffusion mechanisms of hydrogen in plastic liners, and discusses their engineering applications. We focus on measurement methods, influencing factors, and improvement strategies for liner gas permeability. Additionally, we explore the prospects of Type IV hydrogen storage tanks in fields such as automotive, aerospace, and energy storage industries. Through this comprehensive review of liner gas permeability, critical insights are provided to guide the development of efficient and safe hydrogen storage and transportation systems. These insights are vital for advancing the widespread application of hydrogen energy technology and fostering sustainable energy development, significantly contributing to efforts aimed at enhancing the performance and safety of Type IV hydrogen storage tanks. Full article
Show Figures

Figure 1

17 pages, 3907 KB  
Review
Polyamide 6 as a Liner Material for Type IV Hydrogen Storage Cylinders: Performance Challenges and Modification Strategies
by Wenyan Wang, Guanxi Zhao, Xiao Ma, Dengxun Ren, Min Nie and Rui Han
Polymers 2025, 17(13), 1848; https://doi.org/10.3390/polym17131848 - 1 Jul 2025
Cited by 4 | Viewed by 1711
Abstract
Type IV hydrogen storage cylinders are pivotal for high-pressure hydrogen storage and transportation, offering advantages such as lightweight design, high hydrogen storage density, and cost efficiency. Polyamide 6 (PA6) has emerged as a promising liner material due to its excellent mechanical strength, chemical [...] Read more.
Type IV hydrogen storage cylinders are pivotal for high-pressure hydrogen storage and transportation, offering advantages such as lightweight design, high hydrogen storage density, and cost efficiency. Polyamide 6 (PA6) has emerged as a promising liner material due to its excellent mechanical strength, chemical resistance, and gas barrier properties. However, challenges remain, including high hydrogen permeability and insufficient mechanical performance under extreme temperature and pressure conditions. This review systematically summarizes recent advances in modification strategies to enhance PA6’s suitability for Type IV hydrogen storage cylinders. Incorporating nanofillers (e.g., graphene, montmorillonite, and carbon nanotubes) significantly reduces hydrogen permeability. In situ polymerization and polymer blending techniques improve toughness and interfacial adhesion (e.g., ternary blends achieve a special increase in impact strength). Multiscale structural design (e.g., biaxial stretching) and process optimization further enhance PA6’s overall performance. Future research should focus on interdisciplinary innovation, standardized testing protocols, and industry–academia collaboration to accelerate the commercialization of PA6-based composites for hydrogen storage applications. This review provides theoretical insights and engineering guidelines for developing high-performance liner materials. Full article
Show Figures

Figure 1

14 pages, 4804 KB  
Article
Enhancement of Fracture Toughness of Inner Liner Material for Type IV Hydrogen Storage Cylinders Based on Molecular Dynamics Method
by Bingyu Yang, Jinqi Luo, Yuan Wu, Zhenhan Yang and Jianping Zhao
Materials 2025, 18(6), 1363; https://doi.org/10.3390/ma18061363 - 19 Mar 2025
Cited by 2 | Viewed by 862
Abstract
To develop liner materials with improved toughness, this study combines molecular dynamics simulations and experimental testing to investigate the effect of different mass ratios (10/0, 7/3, 6/4, 4/6, 3/7, and 0/10) of high-density polyethylene (HDPE)/polyamide 6 (PA6) on their fracture toughness of the [...] Read more.
To develop liner materials with improved toughness, this study combines molecular dynamics simulations and experimental testing to investigate the effect of different mass ratios (10/0, 7/3, 6/4, 4/6, 3/7, and 0/10) of high-density polyethylene (HDPE)/polyamide 6 (PA6) on their fracture toughness of the composites. The fracture toughness was quantitatively assessed using the J-integral method, while the material’s behavior in terms of crack propagation during tensile deformation was examined at the molecular level. The results reveal that as the HDPE mass ratio increases, the fracture toughness of the composites also gradually improves. Furthermore, the fracture toughness of four materials (PA6, 4HDPE/6PA6, 7HDPE/3PA6, and HDPE) was tested using the essential work of the fracture method. The trend observed in the simulation results was in agreement with the experimental results, validating the reliability of the molecular dynamics simulation. Full article
Show Figures

Graphical abstract

13 pages, 3692 KB  
Article
Studies on Modification of Polyamide 6 Plastics for Hydrogen Storage
by Li Li, Jiawei Zhao, Xingguo Wang, Qingquan Yang, Xiang Wang and Hua Yin
Polymers 2025, 17(4), 523; https://doi.org/10.3390/polym17040523 - 18 Feb 2025
Cited by 3 | Viewed by 1861
Abstract
Polyamide 6 (PA6) can be used as the liner material of a type IV hydrogen storage tank, but its high hydrogen permeability and poor low-temperature toughness limit its application in related fields. In this work, PA6 composites were prepared by introducing graphene with [...] Read more.
Polyamide 6 (PA6) can be used as the liner material of a type IV hydrogen storage tank, but its high hydrogen permeability and poor low-temperature toughness limit its application in related fields. In this work, PA6 composites were prepared by introducing graphene with different contents and a nano two-dimensional lamellar filler via the melt blending method, and the effects of the graphene content on the crystallization properties, mechanical properties, and hydrogen barrier properties of the composites were investigated. The results showed that composites containing 2.0 wt% graphene exhibited the best overall performance, and compared with PA6, the crystallization properties, normal-temperature impact strength and low-temperature impact strength of the composites were increased by 16.0%, 130.6% and 111.7%, respectively, and the helium permeability coefficient was decreased by 33.2%. Graphene enhances the crystallinity and lamellar thickness of the composites. Additionally, its two-dimensional lamellar structure can also increase the diffusion path of gas molecules, thereby improving the barrier properties of the composites. Full article
(This article belongs to the Section Polymer Composites and Nanocomposites)
Show Figures

Figure 1

14 pages, 5907 KB  
Article
Numerical Analysis of Hydrogen Behavior Inside Hydrogen Storage Cylinders under Rapid Refueling Conditions Based on Different Shapes of Hydrogen Inlet Ports
by Enhui Zhang, Yangchun Zhao, Jiahui Zhang, Wenchao Wang and Wenhao Yu
Energies 2024, 17(20), 5116; https://doi.org/10.3390/en17205116 - 15 Oct 2024
Cited by 3 | Viewed by 1882
Abstract
In order to investigate the effects of different shapes of hydrogen inlet ports on the behavioral characteristics of hydrogen in Type IV hydrogen storage cylinders under rapid refueling conditions, a mathematical model of hydrogen temperature rise and a three-dimensional numerical analysis model were [...] Read more.
In order to investigate the effects of different shapes of hydrogen inlet ports on the behavioral characteristics of hydrogen in Type IV hydrogen storage cylinders under rapid refueling conditions, a mathematical model of hydrogen temperature rise and a three-dimensional numerical analysis model were developed. The rectangular, hexagonal, triangular, Reuleaux triangular, circular, elliptical and conical inlet ports were researched by using computational fluid dynamics methods. The results showed that, for the same refueling flow rate and cross-sectional area, the hydrogen temperature inside a cylinder with a rectangular inlet port is higher and the jet tilt angle is larger than for a hexagonal port, while the thermal stratification phenomenon is not obvious. The hydrogen temperature inside a cylinder with a triangular inlet port is lower than that with a Reuleaux triangle port and the jet tilt angle is larger, and neither has significant thermal stratification. The hydrogen temperature inside a cylinder with a circular inlet port is higher than that with an ellipse port, the jets are not tilted on either one, and the phenomenon of thermal stratification is prominent. Further analysis indicated that enlarging the cross-sectional area and increasing the refueling flow rate results in a higher hydrogen temperature and intensified thermal stratification and an upward-angled jet can effectively reduce or eliminate thermal stratification. Full article
(This article belongs to the Section A5: Hydrogen Energy)
Show Figures

Figure 1

17 pages, 7393 KB  
Article
Molecular Dynamics Simulation of Hydrogen Barrier Performance of Modified Polyamide 6 Lining of IV Hydrogen Storage Tank with Graphene
by Jin Li, Xiaokou Zhao, Jianguo Liang, Chunjiang Zhao, Ning Feng, Guanyu Guo and Zhengze Zhou
Polymers 2024, 16(15), 2185; https://doi.org/10.3390/polym16152185 - 31 Jul 2024
Cited by 10 | Viewed by 3358
Abstract
The polymer liner of the hydrogen storage cylinder was studied to investigate better hydrogen storage capacity in Type-IV cylinders. Molecular dynamics methods were used to simulate the adsorption and diffusion processes of hydrogen in a graphene-filled polyamide 6 (PA6) system. The solubility and [...] Read more.
The polymer liner of the hydrogen storage cylinder was studied to investigate better hydrogen storage capacity in Type-IV cylinders. Molecular dynamics methods were used to simulate the adsorption and diffusion processes of hydrogen in a graphene-filled polyamide 6 (PA6) system. The solubility and diffusion characteristics of hydrogen in PA6 systems filled with different filler ratios (3 wt%, 4 wt%, 5 wt%, 6 wt%, and 7 wt%) were studied under working pressures (0.1 MPa, 35 MPa, 52 MPa, and 70 MPa). The effects of filler ratio, temperature, and pressure on hydrogen diffusion were analyzed. The results show that at atmospheric pressure when the graphene content reaches 5 wt%, its permeability coefficient is as low as 2.44 × 10−13 cm3·cm/(cm2·s·Pa), which is a 54.6% reduction compared to PA6. At 358 K and 70 MPa, the diffusion coefficient of the 5 wt% graphene/PA6 composite system is 138% higher than that at 298 K and 70 MPa. With increasing pressure, the diffusion coefficients of all materials generally decrease linearly. Among them, pure PA6 has the largest diffusion coefficient, while the 4 wt% graphene/PA6 composite system has the smallest diffusion coefficient. Additionally, the impact of FFV (free volume fraction) on the barrier properties of the material was studied, and the movement trajectory of H2 in the composite system was analyzed. Full article
(This article belongs to the Special Issue Application and Characterization of Polymer Composites)
Show Figures

Figure 1

20 pages, 3642 KB  
Article
Effects of Hydrogen, Methane, and Their Blends on Rapid-Filling Process of High-Pressure Composite Tank
by Adam Saferna, Piotr Saferna, Szymon Kuczyński, Mariusz Łaciak, Adam Szurlej and Tomasz Włodek
Energies 2024, 17(5), 1130; https://doi.org/10.3390/en17051130 - 27 Feb 2024
Cited by 4 | Viewed by 2600
Abstract
Alternative fuels such as hydrogen, compressed natural gas, and liquefied natural gas are considered as feasible energy carriers. Selected positive factors from the EU climate and energy policy on achieving climate neutrality by 2050 highlighted the need for the gradual expansion of the [...] Read more.
Alternative fuels such as hydrogen, compressed natural gas, and liquefied natural gas are considered as feasible energy carriers. Selected positive factors from the EU climate and energy policy on achieving climate neutrality by 2050 highlighted the need for the gradual expansion of the infrastructure for alternative fuel. In this research, continuity equations and the first and second laws of thermodynamics were used to develop a theoretical model to explore the impact of hydrogen and natural gas on both the filling process and the ultimate in-cylinder conditions of a type IV composite cylinder (20 MPa for CNG, 35 MPa and 70 MPa for hydrogen). A composite tank was considered an adiabatic system. Within this study, based on the GERG-2008 equation of state, a thermodynamic model was developed to compare and determine the influence of (i) hydrogen and (ii) natural gas on the selected thermodynamic parameters during the fast-filling process. The obtained results show that the cylinder-filling time, depending on the cylinder capacity, is approximately 36–37% shorter for pure hydrogen compared to pure methane, and the maximum energy stored in the storage tank for pure hydrogen is approximately 28% lower compared to methane, whereas the total entropy generation for pure hydrogen is approximately 52% higher compared to pure methane. Full article
Show Figures

Figure 1

19 pages, 6778 KB  
Article
Fracture Performance Study of Carbon-Fiber-Reinforced Resin Matrix Composite Winding Layers under UV Aging Effect
by Zhen Liu, Feiyu Zhou, Chao Zou and Jianping Zhao
Materials 2024, 17(4), 846; https://doi.org/10.3390/ma17040846 - 9 Feb 2024
Cited by 1 | Viewed by 2668
Abstract
There is limited research on the fracture toughness of carbon-fiber-reinforced polymer (CFRP) materials under accelerated UV aging conditions. In this study, the primary focus was on investigating the influence of varying durations of ultraviolet (UV) irradiation at different temperatures on the Mode I, [...] Read more.
There is limited research on the fracture toughness of carbon-fiber-reinforced polymer (CFRP) materials under accelerated UV aging conditions. In this study, the primary focus was on investigating the influence of varying durations of ultraviolet (UV) irradiation at different temperatures on the Mode I, Mode II, and mixed-mode fracture toughness of CFRP laminates. The results indicate that with increasing UV aging duration, the material’s Mode I fracture toughness increases, while Mode II fracture toughness significantly decreases. The mixed-mode fracture toughness exhibits an initial increase followed by a subsequent decrease. Furthermore, as the aging temperature increases, the change in the fracture toughness of the material is more obvious and the rate of change is faster. In addition, the crack expansion of the composite layer of crack-containing Type IV hydrogen storage cylinders was analyzed based on the extended finite element method in conjunction with the performance data after UV aging. The results reveal that cracks in the aged composite material winding layers become more sensitive, with lower initiation loads and longer crack propagation lengths under the same load. UV aging diminishes the overall load-bearing capacity and crack resistance of the hydrogen storage cylinder, posing increased safety risks during its operational service. Full article
Show Figures

Figure 1

13 pages, 5664 KB  
Article
Hydrogen Permeability of Polyamide 6 Used as Liner Material for Type IV On-Board Hydrogen Storage Cylinders
by Chufeng Dong, Yitao Liu, Jiepu Li, Guangfu Bin, Chilou Zhou, Wulin Han and Xiang Li
Polymers 2023, 15(18), 3715; https://doi.org/10.3390/polym15183715 - 10 Sep 2023
Cited by 32 | Viewed by 8921
Abstract
As a commonly used liner material for fully reinforced, carbon-fiber-composite hydrogen storage cylinders, polyamide 6 (PA6) needs to meet the required hydrogen permeation index during use; otherwise, it may adversely affect the safe use of hydrogen storage cylinders. The hydrogen permeability of PA6 [...] Read more.
As a commonly used liner material for fully reinforced, carbon-fiber-composite hydrogen storage cylinders, polyamide 6 (PA6) needs to meet the required hydrogen permeation index during use; otherwise, it may adversely affect the safe use of hydrogen storage cylinders. The hydrogen permeability of PA6 under different temperatures and pressures was tested, and the variations in its hydrogen permeability were investigated. Additionally, the hydrogen permeability of PA6, polyamide 11 (PA11), and high-density polyethylene (HDPE) at a temperature of 288 K and a pressure of 70 MPa was tested, and the differences in hydrogen permeability among these commonly used liner materials for type IV on-board hydrogen storage cylinders were studied. The results reported herein indicate that both the hydrogen permeability and diffusion coefficient of PA6 increase with rising test temperature but decrease with increasing pressure. The solubility coefficient of PA6 shows no significant change with varying test temperatures and pressures. At a test temperature of 288 K and a pressure of 70 MPa, among the three materials, PA6 has slightly stronger hydrogen permeation resistance than PA11, while HDPE has the least resistance. These research findings can serve as valuable reference data for evaluating the hydrogen permeability of liner materials. Full article
Show Figures

Figure 1

22 pages, 3935 KB  
Review
Review of the Hydrogen Permeation Test of the Polymer Liner Material of Type IV On-Board Hydrogen Storage Cylinders
by Xiang Li, Qianghua Huang, Yitao Liu, Baodi Zhao and Jiepu Li
Materials 2023, 16(15), 5366; https://doi.org/10.3390/ma16155366 - 31 Jul 2023
Cited by 45 | Viewed by 9363
Abstract
Type IV hydrogen storage cylinders comprise a polymer liner and offer advantages such as lightweight construction, high hydrogen storage density, and good fatigue performance. However, they are also characterized by higher hydrogen permeability. Consequently, it is crucial for the polymer liner material to [...] Read more.
Type IV hydrogen storage cylinders comprise a polymer liner and offer advantages such as lightweight construction, high hydrogen storage density, and good fatigue performance. However, they are also characterized by higher hydrogen permeability. Consequently, it is crucial for the polymer liner material to exhibit excellent resistance to hydrogen permeation. International organizations have established relevant standards mandating hydrogen permeation tests for the liner material of type IV on-board hydrogen storage cylinders. This paper provides a comprehensive review of existing research on hydrogen permeability and the hydrogen permeation test methods for the polymer liner material of type IV on-board hydrogen storage cylinders. By delving into the hydrogen permeation mechanism, a better understanding can be gained, offering valuable references for subsequent researchers in this field. This paper starts by thoroughly discussing the hydrogen permeation mechanism of the liner material. It then proceeds to compare and analyze the hydrogen permeation test methods specified by various standards. These comparisons encompass sample preparation, sample pretreatment, test device, test temperature and pressure, and qualification indicators. Then, this study offers recommendations aimed at enhancing the hydrogen permeation test method for the liner material. Additionally, the influence of test temperature, test pressure, and polymer material properties on the hydrogen permeability of the liner material is discussed. Finally, the influences of the test temperature, test pressure, and polymer material properties on the hydrogen permeability of the liner material are discussed. Future research direction on the hydrogen permeability and hydrogen permeation test method of the liner material of the type IV hydrogen storage cylinder has been prospected. Full article
Show Figures

Figure 1

17 pages, 9625 KB  
Article
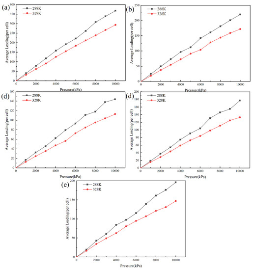
Molecular Dynamics Simulation of Helium Barrier Performance of Modified Polyamide 6 Lining of IV Hydrogen Storage Tank with Montmorillonite
by Ping Wu, Jiaming Zhang, Zhenhan Yang and Jianping Zhao
Molecules 2023, 28(8), 3333; https://doi.org/10.3390/molecules28083333 - 10 Apr 2023
Cited by 9 | Viewed by 3215
Abstract
In order to investigate the type IV hydrogen storage bottle with better hydrogen storage capacity, the polymer lining of the hydrogen storage bottle was further developed. In this paper, the molecular dynamics method was used to simulate the helium adsorption and diffusion processes [...] Read more.
In order to investigate the type IV hydrogen storage bottle with better hydrogen storage capacity, the polymer lining of the hydrogen storage bottle was further developed. In this paper, the molecular dynamics method was used to simulate the helium adsorption and diffusion processes within a modified montmorillonite (OMMT)-filled polyamide 6 (PA6) system. The effects of the barrier properties of the composites were investigated at different filler contents (3%, 4%, 5%, 6% and 7%), different temperatures (288 K and 328 K) and different pressures (0.1 MPa, 41.6 MPa, 52 MPa and 60 MPa) for certain contents. It was found that when the filler content was 5%, the permeability coefficient of the material was lower than 2 × 10−13 cm3∙cm/(cm2∙s∙Pa) and the barrier performance was the best. The modified filler with 5% OMMT/PA6 at 328 K still had the strongest barrier performance. When the pressure increased, the permeability coefficient of the modified material first decreased and then increased. In addition to this, the effect of the fractional free volume on the barrier properties of the materials was also investigated. This study provides a basis and reference for the selection and preparation of polymer linings for high-barrier hydrogen storage cylinders. Full article
Show Figures

Figure 1

21 pages, 9100 KB  
Article
Research on Temperature Rise of Type IV Composite Hydrogen Storage Cylinders in Hydrogen Fast-Filling Process
by Jiepu Li, Junhao Liu, Baodi Zhao, Dongyu Wang, Shufen Guo, Jitian Song and Xiang Li
Energies 2023, 16(6), 2918; https://doi.org/10.3390/en16062918 - 22 Mar 2023
Cited by 33 | Viewed by 5966
Abstract
The internal pressure and temperature of type IV on-board hydrogen storage cylinders constantly change during the hydrogen fast-filling process. In this work, a 2D axisymmetric computational fluid dynamics (CFD) model is established to study the temperature rise of hydrogen storage cylinders during the [...] Read more.
The internal pressure and temperature of type IV on-board hydrogen storage cylinders constantly change during the hydrogen fast-filling process. In this work, a 2D axisymmetric computational fluid dynamics (CFD) model is established to study the temperature rise of hydrogen storage cylinders during the fast-filling process. The hydrogen filling rate, ambient temperature, volume, and hydrogen inlet temperature were investigated to evaluate their effects on temperature rise inside the cylinders. The effects of the inlet pressure rise and pre-cooling patterns on the temperature rise of large-volume type IV hydrogen storage cylinders are analyzed, and the optimal filling strategy is determined. The research results show that a greater filling rate causes a higher hydrogen temperature rise at the end. The ambient temperature increases linearly with the maximum hydrogen temperature and decreases linearly with the state of charge (SOC). As the volume increases, the temperature rise of the cylinder increases. Reducing the inlet hydrogen temperature helps control the temperature rise, and the hydrogen inlet pre-cooling temperature required for large-volume cylinders is lower. If the filling time remains unchanged, a high pressure rise rate should be avoided, and a linear pressure rise pattern is optimal. Reducing the initial cooling energy is key to optimizing the filling strategy. Full article
(This article belongs to the Section A5: Hydrogen Energy)
Show Figures

Figure 1

Back to TopTop