Studies on Modification of Polyamide 6 Plastics for Hydrogen Storage
Abstract
1. Introduction
2. Experiments
2.1. Preparation of PA6/Gr. Nanocomposites
2.2. Testing and Characterization
2.2.1. Thermogravimetric Analysis (TGA)
2.2.2. Differential Scanning Calorimetry (DSC)
2.2.3. Scanning Electron Microscopy (SEM)
2.2.4. Transmission Electron Microscopy (TEM)
2.2.5. X-Ray Diffraction (XRD)
2.2.6. Small-Angle X-Ray Scattering (SAXS)
2.2.7. Mechanical Properties
2.2.8. Helium Gas Permeability Test
3. Results and Discussion
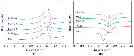
3.1. Thermal Properties of PA6/Gr. Nanocomposites
3.2. Mechanical Properties of PA6/Gr. Nanocomposites
3.3. Microscopic Morphology of PA6/Gr. Nanocomposites
3.4. Microstructure of PA6/Gr. Nanocomposites
3.5. Gas Permeability of PA6/Gr. Nanocomposites
4. Conclusions
Author Contributions
Funding
Institutional Review Board Statement
Data Availability Statement
Conflicts of Interest
References
- Abe, J.O.; Popoola, A.P.I.; Ajenifuja, E.; Popoola, O.M. Hydrogen Energy, Economy and Storage: Review and Recommendation. Int. J. Hydrogen Energy 2019, 44, 15072–15086. [Google Scholar] [CrossRef]
- Rivard, E.; Trudeau, M.; Zaghib, K. Hydrogen Storage for Mobility: A Review. Materials 2019, 12, 1973. [Google Scholar] [CrossRef]
- Li, M.; Bai, Y.; Zhang, C.; Song, Y.; Jiang, S.; Grouset, D.; Zhang, M. Review on the Research of Hydrogen Storage System Fast Refueling in Fuel Cell Vehicle. Int. J. Hydrogen Energy 2019, 44, 10677–10693. [Google Scholar] [CrossRef]
- Zheng, J.; Liu, X.; Xu, P.; Liu, P.; Zhao, Y.; Yang, J. Development of High Pressure Gaseous Hydrogen Storage Technologies. Int. J. Hydrogen Energy 2012, 37, 1048–1057. [Google Scholar] [CrossRef]
- Mori, D.; Hirose, K. Recent Challenges of Hydrogen Storage Technologies for Fuel Cell Vehicles. Int. J. Hydrogen Energy 2009, 34, 4569–4574. [Google Scholar] [CrossRef]
- Wang, X.; Tian, M.; Chen, X.; Xie, P.; Yang, J.; Chen, J.; Yang, W. Advances on Materials Design and Manufacture Technology of Plastic Liner of Type IV Hydrogen Storage Vessel. Int. J. Hydrogen Energy 2022, 47, 8382–8408. [Google Scholar] [CrossRef]
- Dong, C.; Liu, Y.; Li, J.; Bin, G.; Zhou, C.; Han, W.; Li, X. Hydrogen Permeability of Polyamide 6 Used as Liner Material for Type IV On-Board Hydrogen Storage Cylinders. Polymers 2023, 15, 3715. [Google Scholar] [CrossRef]
- Klopffer, M.H.; Berne, P.; Weber, M.; Castagnet, S.; Hochstetter, G.; Espuche, E. New Materials for Hydrogen Distribution Networks: Materials Development & Technico-Economic Benchmark. Defect Diffus. Forum 2012, 323–325, 407–412. [Google Scholar]
- Quang Dao, D.; Luche, J.; Rogaume, T.; Richard, F.; Bustamante-Valencia, L.; Ruban, S. Polyamide 6 and Polyurethane Used as Liner for Hydrogen Composite Cylinder: An Estimation of Fire Behaviours. Fire Technol 2016, 52, 397–420. [Google Scholar] [CrossRef]
- Chernev, B.S.; Eder, G.C. Side Effects in the Application of Polyamide 6 Barrier Materials for Fuel Tanks. J. Appl. Polym. Sci. 2013, 127, 230–236. [Google Scholar] [CrossRef]
- Sathees Kumar, S.; Kanagaraj, G. Investigation on Mechanical and Tribological Behaviors of PA6 and Graphite-Reinforced PA6 Polymer Composites. Arab. J. Sci. Eng. 2016, 41, 4347–4357. [Google Scholar] [CrossRef]
- Li, X.; Dong, C.; Liu, Y.; Li, J.; Bin, G.; Zhou, C.; Han, W. Study on the Effect of Hydrogen Cycle Pressure Relief Time on the Hydrogen Permeability and Mechanical Properties of Polyamide Liner Materials for Type IV Hydrogen Storage Cylinders of HFCVs. Int. J. Hydrogen Energy 2024, 95, 993–1003. [Google Scholar] [CrossRef]
- Fang, Q.; Ji, D. Molecular Simulation of Hydrogen Permeation Behavior in Liner Polymer Materials of Type IV Hydrogen Storage Vessels. Mater. Today Commun. 2023, 35, 106302. [Google Scholar] [CrossRef]
- George, S.C.; Thomas, S. Transport Phenomena through Polymeric Systems. Prog. Polym. Sci. 2001, 26, 985–1017. [Google Scholar] [CrossRef]
- Su, Y.; Lv, H.; Zhou, W.; Zhang, C. Review of the Hydrogen Permeability of the Liner Material of Type IV On-Board Hydrogen Storage Tank. World Electr. Veh. J. 2021, 12, 130. [Google Scholar] [CrossRef]
- Naito, Y.; Mizoguchi, K.; Terada, K.; Kamiya, Y. The Effect of Pressure on Gas Permeation through Semicrystalline Polymers above the Glass Transition Temperature. J. Polym. Sci. B Polym. Phys. 1991, 29, 457–462. [Google Scholar] [CrossRef]
- Su, Y.; Lv, H.; Feng, C.; Zhang, C. Hydrogen Permeability of Polyamide 6 as the Liner Material of Type IV Hydrogen Storage Tanks: A Molecular Dynamics Investigation. Int. J. Hydrogen Energy 2024, 50, 1598–1606. [Google Scholar] [CrossRef]
- Barth, R.; Simmons, K.; San Marchi, C. Polymers for Hydrogen Infrastructure and Vehicle Fuel Systems; SAND2013-8904, 1104755; Pacific Northwest National Laboratory: Richland, WA, USA, 2013; p. 477341.
- Fujiwara, H.; Ono, H.; Onoue, K.; Nishimura, S. High-Pressure Gaseous Hydrogen Permeation Test Method -Property of Polymeric Materials for High-Pressure Hydrogen Devices (1)-. Int. J. Hydrogen Energy 2020, 45, 29082–29094. [Google Scholar] [CrossRef]
- Choudalakis, G.; Gotsis, A.D. Permeability of Polymer/Clay Nanocomposites: A Review. Eur. Polym. J. 2009, 45, 967–984. [Google Scholar] [CrossRef]
- Sun, Y.; Lv, H.; Zhou, W.; Zhang, C. Research on Hydrogen Permeability of Polyamide 6 as the Liner Material for Type IV Hydrogen Storage Tank. Int. J. Hydrogen Energy 2020, 45, 24980–24990. [Google Scholar] [CrossRef]
- Li, J.; Zhao, X.; Liang, J.; Zhao, C.; Feng, N.; Guo, G.; Zhou, Z. Molecular Dynamics Simulation of Hydrogen Barrier Performance of Modified Polyamide 6 Lining of IV Hydrogen Storage Tank with Graphene. Polymers 2024, 16, 2185. [Google Scholar] [CrossRef] [PubMed]
- Ebina, T.; Ishii, R.; Aizawa, T.; Yoshida, H. Development of Clay-Based Film and Its Application to Gas Barrier Layers of Composite Tanks. J. Jpn. Pet. Inst. 2017, 60, 121–126. [Google Scholar] [CrossRef]
- GB/T 1040.1-2018; Plastics—Determination of Tensile Properties. China Petroleum and Chemical Industry Federation: Beijing, China, 2018.
- GB/T 9341-2008; Plastics—Determination of Flexural Properties. China Petroleum and Chemical Industry Federation: Beijing, China, 2008.
- GB/T1038.1-2022; Plastics—Film and Sheeting—Determination of Gas-Transmission Rate. China National Light Industry Council: Beijing, China, 2022.
- Millot, C.; Fillot, L.-A.; Lame, O.; Sotta, P.; Seguela, R. Assessment of Polyamide-6 Crystallinity by DSC: Temperature Dependence of the Melting Enthalpy. J. Therm. Anal. Calorim. 2015, 122, 307–314. [Google Scholar] [CrossRef]
- Klug, H.P.; Alexander, L.E. X-ray Diffraction Procedures; John Wiley and Sons Inc.: New York, NY, USA, 1954; p. 633. [Google Scholar]
- Strobl, G.R.; Schneider, M. Direct Evaluation of the Electron Density Correlation Function of Partially Crystalline Pol ymers. J. Polym. Sci. Polym. Phys. Ed. 1980, 18, 1343–1359. [Google Scholar] [CrossRef]








| Sample | PA6/wt% | Gr./wt% | Antioxidants/wt% |
|---|---|---|---|
| PA6 | 99.7 | 0 | 0.3 |
| PA6/Gr.-1 | 98.7 | 1 | 0.3 |
| PA6/Gr.-2 | 97.7 | 2 | 0.3 |
| PA6/Gr.-3 | 96.7 | 3 | 0.3 |
| PA6/Gr.-4 | 95.7 | 4 | 0.3 |
| Sample | Residual Mass (%) | T5 (°C) | TMAX (°C) |
|---|---|---|---|
| PA6 | 0.66 | 395.37 | 455.08 |
| PA6/Gr.-1 | 1.60 | 405.71 | 463.87 |
| PA6/Gr.-2 | 2.60 | 408.91 | 466.38 |
| PA6/Gr.-3 | 3.67 | 411.25 | 468.74 |
| PA6/Gr.-4 | 4.86 | 413.92 | 471.96 |
| Sample | Tc/°C | Tm/°C | ∆Hc (J/g) | ∆Hm (J/g) | Xc/% | Tg (°C) |
|---|---|---|---|---|---|---|
| PA6 | 186.35 | 219.64 | 55.48 | 42.58 | 18.52 | 54.14 |
| PA6/Gr.-1 | 191.85 | 219.90 | 51.74 | 46.44 | 20.40 | 55.35 |
| PA6/Gr.-2 | 192.15 | 220.80 | 52.82 | 48.42 | 21.48 | 55.83 |
| PA6/Gr.-3 | 192.44 | 220.51 | 55.35 | 48.18 | 21.60 | 56.31 |
| PA6/Gr.-4 | 193.50 | 220.72 | 53.38 | 48.52 | 21.97 | 56.64 |
| Sample | D (nm) | dac (nm) | dc (nm) | (%) |
|---|---|---|---|---|
| PA6 | 7.67 | 3.01 | 18.52 | |
| PA6/Gr.-1 | 0.44 | 8.11 | 3.21 | 20.40 |
| PA6/Gr.-2 | 0.38 | 8.11 | 3.21 | 21.48 |
| PA6/Gr.-3 | 0.41 | 8.33 | 3.55 | 21.60 |
| PA6/Gr.-4 | 0.38 | 8.33 | 3.46 | 21.97 |
Disclaimer/Publisher’s Note: The statements, opinions and data contained in all publications are solely those of the individual author(s) and contributor(s) and not of MDPI and/or the editor(s). MDPI and/or the editor(s) disclaim responsibility for any injury to people or property resulting from any ideas, methods, instructions or products referred to in the content. |
© 2025 by the authors. Licensee MDPI, Basel, Switzerland. This article is an open access article distributed under the terms and conditions of the Creative Commons Attribution (CC BY) license (https://creativecommons.org/licenses/by/4.0/).
Share and Cite
Li, L.; Zhao, J.; Wang, X.; Yang, Q.; Wang, X.; Yin, H. Studies on Modification of Polyamide 6 Plastics for Hydrogen Storage. Polymers 2025, 17, 523. https://doi.org/10.3390/polym17040523
Li L, Zhao J, Wang X, Yang Q, Wang X, Yin H. Studies on Modification of Polyamide 6 Plastics for Hydrogen Storage. Polymers. 2025; 17(4):523. https://doi.org/10.3390/polym17040523
Chicago/Turabian StyleLi, Li, Jiawei Zhao, Xingguo Wang, Qingquan Yang, Xiang Wang, and Hua Yin. 2025. "Studies on Modification of Polyamide 6 Plastics for Hydrogen Storage" Polymers 17, no. 4: 523. https://doi.org/10.3390/polym17040523
APA StyleLi, L., Zhao, J., Wang, X., Yang, Q., Wang, X., & Yin, H. (2025). Studies on Modification of Polyamide 6 Plastics for Hydrogen Storage. Polymers, 17(4), 523. https://doi.org/10.3390/polym17040523
