Sign in to use this feature.

Years

Between: -

Subjects

remove_circle_outline
remove_circle_outline
remove_circle_outline
remove_circle_outline
remove_circle_outline
remove_circle_outline
remove_circle_outline
remove_circle_outline
remove_circle_outline

Journals

remove_circle_outline
remove_circle_outline
remove_circle_outline
remove_circle_outline
remove_circle_outline
remove_circle_outline
remove_circle_outline
remove_circle_outline
remove_circle_outline
remove_circle_outline
remove_circle_outline
remove_circle_outline
remove_circle_outline
remove_circle_outline
remove_circle_outline
remove_circle_outline
remove_circle_outline
remove_circle_outline
remove_circle_outline

Article Types

Countries / Regions

remove_circle_outline
remove_circle_outline
remove_circle_outline
remove_circle_outline
remove_circle_outline

Search Results (3,067)

Search Parameters:
Keywords = two - phase liquid

Order results
Result details
Results per page
Select all
Export citation of selected articles as:
24 pages, 2886 KB  
Article
CFD Investigation of Gas–Liquid Two-Phase Flow Dynamics and Pressure Loss at Fracture Junctions for Coalbed Methane Extraction Optimization
by Xiaohu Zhang, Mi Li, Aizhong Luo and Jiong Wang
Processes 2026, 14(1), 69; https://doi.org/10.3390/pr14010069 (registering DOI) - 24 Dec 2025
Abstract
The dynamics of gas–liquid two-phase flow at fracture junctions are crucial for optimizing fluid transport in the complex fracture networks of coal seams, particularly for coalbed methane (CBM) extraction and gas hazard management. This study presents a comprehensive numerical investigation of transient air–water [...] Read more.
The dynamics of gas–liquid two-phase flow at fracture junctions are crucial for optimizing fluid transport in the complex fracture networks of coal seams, particularly for coalbed methane (CBM) extraction and gas hazard management. This study presents a comprehensive numerical investigation of transient air–water flow in a two-dimensional, symmetric, cross-shaped fracture junction. Using the Volume of Fluid (VOF) model coupled with the SST k-ω turbulence model, the simulations accurately capture phase interface evolution, accounting for surface tension and a 50° contact angle. The effects of inlet velocity (0.2 to 5.0 m/s) on flow patterns, pressure distribution, and energy dissipation are systematically analyzed. Three distinct phenomenological flow regimes are identified based on interface morphology and force balance: an inertia-dominated high-speed impinging flow (Re > 4000), a moderate-speed transitional flow characterized by a dynamic balance between inertial and viscous forces (∼1000 < Re < ∼4000), and a viscous-gravity dominated low-speed creeping filling flow (Re < ∼1000). Flow partitioning at the junction—defined as the quantitative split of the total inflow between the main (straight-through) flow path and the deflected (lateral) paths—exhibits a strong dependence on the Reynolds number. The main flow ratio increases dramatically from approximately 30% at Re ∼ 500 to over 95% at Re ∼ 12,000, while the deflected flow ratio correspondingly decreases. Furthermore, the pressure loss (head loss, ΔH) across the junction increases non-linearly, following a quadratic scaling relationship with the inlet velocity (ΔH ∝ V0¹.⁹⁵), indicating that energy dissipation is predominantly governed by inertial effects. These findings provide fundamental, quantitative insights into two-phase flow behavior at fracture intersections and offer data-driven guidance for optimizing injection strategies in CBM engineering. Full article
(This article belongs to the Topic Green Mining, 3rd Edition)
13 pages, 1649 KB  
Article
Vibrational Spectra of R and S Methyl Para Tolyl Sulfoxide and Their Racemic Mixture in the Solid–Liquid State and in Water Solution
by Flaminia Rondino, Mauro Falconieri, Serena Gagliardi, Mauro Satta, Susanna Piccirillo and Enrico Bodo
Symmetry 2026, 18(1), 17; https://doi.org/10.3390/sym18010017 - 21 Dec 2025
Viewed by 99
Abstract
The vibrational properties of the chiral sulfoxide methyl-p-tolyl-sulfoxide (Metoso) were investigated by infrared and Raman spectroscopy in the solid, liquid and aqueous solution phases, for both the enantiopure compounds and their racemic mixture. Experimental data were complemented by DFT calculations on the isolated [...] Read more.
The vibrational properties of the chiral sulfoxide methyl-p-tolyl-sulfoxide (Metoso) were investigated by infrared and Raman spectroscopy in the solid, liquid and aqueous solution phases, for both the enantiopure compounds and their racemic mixture. Experimental data were complemented by DFT calculations on the isolated enantiomer and on the two RR and RS dimeric conformers to support spectral interpretation and mode assignment. The IR and Raman spectra of the crystalline enantiomer and racemic mixture are similar, indicating comparable molecular organization and intermolecular interactions in the solid state. Upon melting, band broadening and frequency shifts are observed, consistent with molecular disorder and the breaking of weak intramolecular interactions, accompanied by changes in the S-O, S-CH3 and C-H stretching frequencies. In aqueous solution, further broadening and opposite shifts in these bands reflect the formation of Metoso-H2O complexes through hydrogen bonds. Theoretical spectra reproduce the observed trends and confirm that either solvent or phase transitions control the balance between intra- and intermolecular interactions thus influencing the vibrational degrees of freedom of the model chiral sulfoxide. Full article
(This article belongs to the Section Chemistry: Symmetry/Asymmetry)
Show Figures

Figure 1

20 pages, 2412 KB  
Article
Synergistic Temperature–Pressure Optimization in PEM Water Electrolysis: A 3D CFD Analysis for Efficient Green Ammonia Production
by Dexue Yang, Xiaomeng Zhang, Jianpeng Li, Fengwei Rong, Jiang Zhu, Guidong Li, Xu Ji and Ge He
Energies 2026, 19(1), 2; https://doi.org/10.3390/en19010002 - 19 Dec 2025
Viewed by 164
Abstract
To address the fluctuation and instability of renewable power generation and the steady-state demands of chemical processes, a single-channel, non-isothermal computational fluid dynamics 3D model was developed. This model explicitly incorporates the coupling effects of electrochemical reactions, two-phase flow, and heat transfer. Subsequently, [...] Read more.
To address the fluctuation and instability of renewable power generation and the steady-state demands of chemical processes, a single-channel, non-isothermal computational fluid dynamics 3D model was developed. This model explicitly incorporates the coupling effects of electrochemical reactions, two-phase flow, and heat transfer. Subsequently, the influence of key operating parameters on proton exchange membrane water electrolyzer (PEMWE) system performance was investigated. The model accurately predicts the current–voltage polarization curve and has been validated against experimental data. Furthermore, the CFD model was employed to investigate the coupled effects of several key parameters—including operating temperature, cathode pressure, membrane thickness, porosity of the porous transport layer, and water inlet rate—on the overall electrolysis performance. Based on the numerical simulation results, the evolution of the ohmic polarization curve under temperature gradient, the block effect of bubble transport under high pressure, and the influence mechanism of the microstructure of the multi-space transport layer on gas–liquid, two-phase flow distribution are mainly discussed. Operational strategy analysis indicates that the high-efficiency mode (4.3–4.5 kWh/Nm3) is suitable for renewable energy consumption scenarios, while the economy mode (4.7 kWh/Nm3) reduces compression energy consumption by 23% through pressure–temperature synergistic optimization, achieving energy consumption alignment with green ammonia synthesis processes. This provides theoretical support for the optimization design and dynamic regulation of proton exchange membrane water electrolyzers. Full article
(This article belongs to the Special Issue Advances in Green Hydrogen Production Technologies)
Show Figures

Figure 1

12 pages, 2485 KB  
Article
Electrical Modification of Self-Assembled Polymer-Stabilized Periodic Microstructures in a Liquid Crystal Composite
by Miłosz S. Chychłowski, Marta Kajkowska, Jan Bolek, Oleksandra Gridyakina, Bartosz Bartosewicz, Bartłomiej Jankiewicz and Piotr Lesiak
Polymers 2025, 17(24), 3342; https://doi.org/10.3390/polym17243342 - 18 Dec 2025
Viewed by 268
Abstract
Utilization of natural processes can reduce the complexity and production cost of any device by limiting the necessary steps in the production scheme, especially when it comes to fibers with periodic changes in refractive index. One such process is the nematic–isotropic phase separation [...] Read more.
Utilization of natural processes can reduce the complexity and production cost of any device by limiting the necessary steps in the production scheme, especially when it comes to fibers with periodic changes in refractive index. One such process is the nematic–isotropic phase separation of liquid crystal-based composite confined in 1D space. In this paper, we analyze the behavior of polymer-stabilized liquid crystal-based self-assembled periodic structures in an external electric field. We performed a detailed analysis regarding the reorientation of liquid crystal molecules under two orthogonal directions of the external electric field applied to the examined sample. It was demonstrated that the period of the polymerized structure remains constant until full reorientation, as the electric field induces the formation of new periodic defects in LC orientation. Consequently, the structure’s effective birefringence changes quite drastically, and this observed change depends on the direction of the electric field vector. The obtained results seem promising when it comes to application of the proposed periodic structures as voltage or electric field sensors operating as long-period fiber gratings or fiber Bragg gratings for the visible or near-infrared spectral regions. Full article
Show Figures

Figure 1

23 pages, 3297 KB  
Article
Numerical Study on Thermal Performance of Radiant Panels Coupled with V-Shaped Grooves and Phase Change Materials
by Haoze Wang and Zhitao Han
Appl. Sci. 2025, 15(24), 13260; https://doi.org/10.3390/app152413260 - 18 Dec 2025
Viewed by 96
Abstract
This study focuses on a proposed aluminum alloy radiant panel with 60° V-shaped grooves and integrated copper tubes. A numerical model of this novel grooved phase change material (PCM)-integrated radiant panel was established via Fluent 2022 R1 software. Through numerical simulations, the complete [...] Read more.
This study focuses on a proposed aluminum alloy radiant panel with 60° V-shaped grooves and integrated copper tubes. A numerical model of this novel grooved phase change material (PCM)-integrated radiant panel was established via Fluent 2022 R1 software. Through numerical simulations, the complete melting and solidification processes of two PCMs (n-hexadecane and LTXC-PCM-A-18) were analyzed, and differences in their phase change heat transfer performance were compared—revealing the role of the groove structure in enhancing PCM heat transfer and the material-structure compatibility. Results indicate that the groove structure effectively enhances convective heat transfer in the PCM liquid phase. During the melting stage, LTXC-PCM-A-18 exhibited a preheating rate of 0.00125 K/s, which is 67% higher than that of n-hexadecane (0.00075 K/s); its liquid fraction growth rate (0.0002 s−1) was 2.67 times that of n-hexadecane, and the melting completion time was accelerated by 20% (2000 s). During solidification, LTXC-PCM-A-18’s initial cooling rate (0.0006 K/s) was 50% higher than that of n-hexadecane (0.0004 K/s), with a liquid fraction decay rate twice that of n-hexadecane. Additionally, its solidification temperature plateau was 1 K higher, providing superior thermal output stability. These findings reflect two distinct technical strategies: “steady-state temperature control” and “dynamic regulation.” n-Hexadecane exhibits smoother melting and solidification processes, making it suitable for continuous heating applications. In contrast, LTXC-PCM-A-18 demonstrates superior thermal responsiveness and phase change efficiency, aligning with intermittent heating requirements. This study provides quantitative guidance for PCM selection in grooved radiant panels. Full article
Show Figures

Figure 1

17 pages, 2967 KB  
Article
Identification, Molecular Docking Mechanism and Cellular Activity of Selenium-Enriched ACE Inhibitory Peptides from Oysters
by Zhuangzhuang Yue, Zhen Xia, Fei Xu, Bingbing Chen, Shufei Jiao, Xingtang Liang, Yanzhen Yin and Jianyin Miao
Molecules 2025, 30(24), 4818; https://doi.org/10.3390/molecules30244818 - 18 Dec 2025
Viewed by 187
Abstract
Selenium-enriched oyster proteins were hydrolyzed using trypsin to obtain peptides with angiotensin-I-converting enzyme (ACE) inhibitory activity. The hydrolysate was purified by ultrafiltration and two-step reversed-phase high-performance liquid chromatography (RP-HPLC), yielding the most active fraction M4-2 (selenium content: 37.00 ± 0.56 mg/kg; IC50 [...] Read more.
Selenium-enriched oyster proteins were hydrolyzed using trypsin to obtain peptides with angiotensin-I-converting enzyme (ACE) inhibitory activity. The hydrolysate was purified by ultrafiltration and two-step reversed-phase high-performance liquid chromatography (RP-HPLC), yielding the most active fraction M4-2 (selenium content: 37.00 ± 0.56 mg/kg; IC50: 0.774 mg/mL, significantly lower than the IC50 of the crude hydrolysate, 2.801 mg/mL). This fraction was further analyzed by LC-MS/MS and molecular docking, leading to the identification of 91 selenium-containing peptide sequences. Two novel peptides, SeMFRTSSK and QASeMNEATGGK, showing strong binding affinities (−9.8 and −9.0 kcal/mol, respectively), were selected. Molecular docking revealed that SeMFRTSSK bound to key residues in the ACE active pocket via hydrogen bonds, whereas QASeMNEATGGK interacted with the Zn2+ active center. Cellular assays using EA.hy926 cells demonstrated that both peptides were non-cytotoxic at concentrations up to 0.25 mg/mL. At 0.025 mg/mL, SeMFRTSSK and QASeMNEATGGK enhanced cellular NO release by 202.65% and 273.45%, respectively, while suppressing Endothelin-1 (ET-1) secretion by 18.03% and 27.86%, compared to the blank control group. Notably, these peptides induced higher levels of NO release and greater suppression of ET-1 secretion than those in the captopril-treated positive control group. These findings support selenium-enriched oyster-derived peptides as potential natural antihypertensive ingredients. Full article
(This article belongs to the Section Food Chemistry)
Show Figures

Figure 1

16 pages, 2470 KB  
Article
Amorphous Nano Zero-Valent Iron (A-nZVI) Modified by Ethylenediamine for Efficient Dechlorination of Trichloroethylene: Structure, Kinetics, and Mechanism
by Zhidong Zhao, Yuqi Qiu, Baoliang Lei, Chenyang Zhang, Zhanhe Liu, Wei Wang, Haitao Wang and Tielong Li
Catalysts 2025, 15(12), 1173; https://doi.org/10.3390/catal15121173 - 18 Dec 2025
Viewed by 184
Abstract
Amorphous nano zero-valent iron (A-nZVI) was synthesized via liquid-phase reduction and ethylenediamine (EDA) modification to enhance trichloroethylene (TCE) dechlorination. A-nZVI showed a cauliflower-like morphology, where 20–50 nm primary particles formed 500–1000 nm secondary agglomerates with a high surface area. Compared with crystalline nZVI [...] Read more.
Amorphous nano zero-valent iron (A-nZVI) was synthesized via liquid-phase reduction and ethylenediamine (EDA) modification to enhance trichloroethylene (TCE) dechlorination. A-nZVI showed a cauliflower-like morphology, where 20–50 nm primary particles formed 500–1000 nm secondary agglomerates with a high surface area. Compared with crystalline nZVI (C-nZVI), A-nZVI exhibited higher electron transfer efficiency and stronger reducing capability (potentiodynamic polarization analysis). TCE removal followed a two-stage model: a rapid adsorption–reduction phase (pseudo-second-order; qe = 9.48 mg/g, R2 = 0.998) and a slower degradation phase (pseudo-first-order; k = 0.0125 h−1, R2 = 0.994). No toxic intermediates (e.g., dichloroethylene or vinyl chloride) were detected; products were mainly acetylene, ethylene, and ethane. The electron utilization efficiency increased from 8.47% (C-nZVI) to 15.32% (A-nZVI), while hydrogen evolution decreased by 32%. EDA formed Fe–N coordination bonds that facilitated electron transfer and stabilized the amorphous structure. A-nZVI retained 40% of its activity after four cycles under neutral to alkaline conditions. Full article
(This article belongs to the Section Environmental Catalysis)
Show Figures

Graphical abstract

17 pages, 2190 KB  
Article
The Mechanism of Calcium Leaching from Steel Slag Based on the “Water-Acetic Acid” Two-Step Leaching Route
by Kai Zhang, Qiong Cang, Lijie Peng, Yitong Wang, Shan Zhang, Hongyang Li, Shan Yu, Baojia Hu, Xin Yao, Peipei Du and Yajun Wang
Processes 2025, 13(12), 4077; https://doi.org/10.3390/pr13124077 - 17 Dec 2025
Viewed by 196
Abstract
Converter steel slag (BOFS) contains abundant reactive Ca-bearing minerals and represents a promising feedstock for indirect CO2 mineralization. However, conventional acid leaching suffers from excessive reagent consumption and low process sustainability. This study develops a “water–acetic acid” two-step leaching strategy aimed at [...] Read more.
Converter steel slag (BOFS) contains abundant reactive Ca-bearing minerals and represents a promising feedstock for indirect CO2 mineralization. However, conventional acid leaching suffers from excessive reagent consumption and low process sustainability. This study develops a “water–acetic acid” two-step leaching strategy aimed at reducing acid/alkali usage while enhancing calcium recovery. Thermodynamic calculations were performed to elucidate the hydrolysis behaviors of primary phases (f-CaO, C3S, and β-C2S) and the stability of secondary minerals in BOFS. The kinetic behavior and dissolution mechanisms of water-leached residues in acetic acid were further analyzed. Parametric experiments were conducted to evaluate the effects of the liquid-to-solid ratio (L/S), temperature, stirring rate, and acid concentration. Results show that the L/S is the dominant factor controlling Ca dissolution in both steps, while temperature exerts opposite effects: lower temperatures favor water leaching due to the exothermic nature of silicate hydrolysis, whereas higher temperatures enhance acid leaching. The proposed two-step route achieves a Ca recovery of 75.9%, representing a 7.6% improvement over direct acid leaching, while lowering acid consumption by ∼90%. This work provides mechanistic insight and process evidence supporting the efficient and sustainable utilization of BOFS for indirect CO2 mineralization. Full article
(This article belongs to the Special Issue Processes in 2025)
Show Figures

Figure 1

16 pages, 5727 KB  
Article
Mechanical Properties of Dental Composites Modified with Liquid Rubber and Their Effect on Stress Distribution in Fillings
by Monika Sowa, Leszek Borkowski and Krzysztof Pałka
Materials 2025, 18(24), 5664; https://doi.org/10.3390/ma18245664 - 17 Dec 2025
Viewed by 137
Abstract
Dental composites are commonly used for the restoration of hard tooth tissues, but their low fracture toughness may limit their lifespan. In this study, the effect of liquid rubber modification on the mechanical properties and fracture mechanisms of two types of dental composites, [...] Read more.
Dental composites are commonly used for the restoration of hard tooth tissues, but their low fracture toughness may limit their lifespan. In this study, the effect of liquid rubber modification on the mechanical properties and fracture mechanisms of two types of dental composites, flow and classic, was evaluated. The study used experimental composites containing a mixture of dimethacrylate resins: BisGMA (20% by weight), BisEMA (30% by weight), UDMA (30% by weight), and TEGDMA (20% by weight). Composites were reinforced with Al-Ba-B-Si glass, Ba-Al-B-F-Si glass with particle sizes of 0.7 and 2 μm respectively, as well as pyrogenic silica (20 nm). The inorganic phase was introduced in an amount of 50% vol. for flow material and 80% vol. for classic composite. As a modifier, Hypro 2000X168LC VTB liquid rubber (Huntsman International LLC, USA) was used in an amount of 5% by weight relative to the matrix. The flexural strength, Young’s modulus, and fracture toughness were evaluated. Numerical FEM analysis allowed for the evaluation of stress distribution in the filling area. The results confirmed that the modification of composites with liquid rubber contributes to an increase in fracture toughness. For the flow-type material, the fracture toughness increased from 1.04 to 1.13 MPa·m1/2. At the same time, a decrease in flexural strength from 71.90 MPa to 61.48 MPa and in Young’s modulus from 2.98 GPa to 2.53 GPa. In the case of the classical composite, the modification with liquid rubber also improved the resistance to fracture, increasing it from 1.97 to 2.18 MPa·m1/2 while the flexural strength decreased from 102.30 MPa to 90.96 MPa, and the modulus dropped from 7.33 GPa to 6.16 GPa. FEA analysis confirmed that modified composites exhibit a more favorable stress distribution with lower tensile stress levels (approximately 20 MPa in contrast to 25 MPa for the classic composite). Mechanisms of fracture and strengthening were also identified. The main fracture mechanism was intermolecular cracking with crack deflections. Modification with liquid rubber resulted in the formation of elastic bridges and plastic shear zones at the front of the crack. Full article
(This article belongs to the Special Issue Advanced Dental Materials: From Design to Application, Third Edition)
Show Figures

Graphical abstract

30 pages, 1975 KB  
Review
Thermo-Fluid Dynamics Modelling of Liquid Hydrogen Storage and Transfer Processes
by Lucas M. Claussner, Giordano Emrys Scarponi and Federico Ustolin
Hydrogen 2025, 6(4), 122; https://doi.org/10.3390/hydrogen6040122 - 17 Dec 2025
Viewed by 241
Abstract
The use of liquid hydrogen (LH2) as an energy carrier is gaining traction across sectors such as aerospace, maritime, and large-scale energy storage due to its high gravimetric energy density and low environmental impact. However, the cryogenic nature of LH2 [...] Read more.
The use of liquid hydrogen (LH2) as an energy carrier is gaining traction across sectors such as aerospace, maritime, and large-scale energy storage due to its high gravimetric energy density and low environmental impact. However, the cryogenic nature of LH2, with storage temperatures near 20 K, poses significant thermodynamic and safety challenges. This review consolidates the current state of modelling approaches used to simulate LH2 behaviour during storage and transfer operations, with a focus on improving operational efficiency and safety. The review categorizes the literature into two primary domains: (1) thermodynamic behaviour within storage tanks and (2) multi-phase flow dynamics in storage and transfer systems. Within these domains, it covers a variety of phenomena. Particular attention is given to the role of heat ingress in driving self-pressurization and boil-off gas (BoG) formation, which significantly influence storage performance and safety mechanisms. Eighty-one studies published over six decades were analyzed, encompassing a diverse range of modelling approaches. The reviewed literature revealed significant methodological variety, including general analytical models, lumped-parameter models (0D/1D), empirical and semi-empirical models, computational fluid dynamics (CFD) models (2D/3D), machine learning (ML) and artificial neural network (ANN) models, and numerical multidisciplinary simulation models. The review evaluates the validation status of each model and identifies persistent research gaps. By mapping current modelling efforts and their limitations, this review highlights opportunities for enhancing the accuracy and applicability of LH2 simulations. Improved modelling tools are essential to support the design of inherently safe, reliable, and efficient hydrogen infrastructure in a decarbonized energy landscape. Full article
(This article belongs to the Special Issue Advances in Hydrogen Production, Storage, and Utilization)
Show Figures

Figure 1

17 pages, 8139 KB  
Article
Flow-Induced Groove Corrosion in Gas Well Deliquification Tubing: Synergistic Effects of Multiphase Flow and Electrochemistry
by Wenwen Song, Junfeng Xie, Jun Yi, Lei Wen, Pan Dai, Yongxu Li, Yanming Liu and Xianghong Lv
Coatings 2025, 15(12), 1490; https://doi.org/10.3390/coatings15121490 - 17 Dec 2025
Viewed by 152
Abstract
Gas well deliquification is a key technology for mitigating liquid loading and restoring or enhancing production capacity in ultra-deep, high-temperature, and high-pressure gas wells. The abnormal corrosion behavior observed in the gas lift tubing of the Well X-1 oilfield in western China, within [...] Read more.
Gas well deliquification is a key technology for mitigating liquid loading and restoring or enhancing production capacity in ultra-deep, high-temperature, and high-pressure gas wells. The abnormal corrosion behavior observed in the gas lift tubing of the Well X-1 oilfield in western China, within the 50–70 °C interval (1000–1500 m), was investigated. By analyzing the asymmetric wall thinning and axial groove morphology on the inner surface of tubing and then establishing a two-dimensional model of the vertical wellbore, the gas–liquid flow behavior and associated corrosion mechanisms were also elucidated. Results indicate that the flow pattern evolves from slug flow at the bottomhole, through a transitional pattern below the gas lift valve, to annular-mist flow at and above the valve. The wall shear stress peaks at the gas lift valve coupled with the significantly higher fluid velocity above the valve, which markedly elevates the corrosion rate. In this regime, the resultant annular-mist flow features a high-velocity gas core carrying entrained droplets, whose impingement synergistically enhances electrochemical corrosion, forming severe groove-like morphology along the inner tubing wall. Therefore, the corrosion in this well is attributed to the synergistic effect of the mechano-electrochemical coupling between multiphase flow and electrochemical processes on the inner surface of the tubing. Full article
(This article belongs to the Special Issue Tribological and Corrosion Properties of the Surfaces)
Show Figures

Figure 1

17 pages, 2646 KB  
Article
Establishment of an Isolation System for Extracellular Vesicles of Fusarium oxysporum and Its Proteomic Analysis
by Jiayi Lou, Guangjin Hu, Xuan Wang, Qiang Liu, Yuwei Chen and Weichun Zhao
J. Fungi 2025, 11(12), 884; https://doi.org/10.3390/jof11120884 - 15 Dec 2025
Viewed by 319
Abstract
Extracellular vesicles (EVs) secreted by Fusarium oxysporum play an important role in the process of its infestation of the host, but the in vitro research system for EVs of F. oxysporum (Fo-EVs) has not yet been improved, and the mechanism of [...] Read more.
Extracellular vesicles (EVs) secreted by Fusarium oxysporum play an important role in the process of its infestation of the host, but the in vitro research system for EVs of F. oxysporum (Fo-EVs) has not yet been improved, and the mechanism of its action remains unclear. In this study, particle size distribution, particle concentration, number of particles per unit of protein, number of particles per unit of mycelial biomass, and concentration of contaminated proteins were used as indicators to evaluate the yield and purity of Fo-EVs. The optimal method for Fo-EV preparation and extraction was screened by comparing liquid culture, solid culture, and solid culture with enzymatic cell wall hydrolysis. The optimal system for Fo-EVs separation and purification was screened by a pairwise combination of three primary methods (Ultracentrifugation (UC), Ultrafiltration (UF), and Polyethylene glycol precipitation method (PEG)) and two secondary methods (Size-exclusion chromatography (SEC) and Aqueous two-phase system (ATPS)), respectively. The protein composition was identified via mass spectrometry technology, followed by GO annotation and GO enrichment analysis using whole-genome proteins as the background. Based on these steps, a Fo-EV protein library was constructed to reveal Fo-EV’s most active biological functions. The results showed that solid culture combined with the UC-SEC method could effectively enrich Fo-EVs with a typical cup-shaped membrane structure. The obtained Fo-EVs had an average particle size of 253.50 nm, a main peak value of 200.60 nm, a particle concentration of 2.04 × 1010 particles/mL, and a particle number per unit protein of 1.09 × 108 particles/μg, which were significantly superior to those of other combined methods. Through proteomic analysis, 1931 proteins enriched in Fo-EVs were identified, among which 350 contained signal peptides and 375 had transmembrane domains. GO enrichment analysis revealed that these proteins were mainly involved in cell wall synthesis, vesicle transport, and pathogenicity-related metabolic pathways. Additionally, 9 potential fungal EV markers, including Hsp70, Rho GTPase family, and SNARE proteins, were screened. This study constructed an isolation system and a marker database for Fo-EVs, providing a methodological and theoretical basis for in-depth analysis of the biological functions of Fo-EVs. Full article
(This article belongs to the Special Issue Fungal-Related Proteomics in Biotechnology and Health)
Show Figures

Figure 1

17 pages, 9490 KB  
Article
Drop Dispersion Through Arrayed Pores in the Combined Trapezoid Spray Tray (CTST)
by Honghai Wang, Kunlong Yi, Quancheng Li, Weiyi Su, Yuqi Hu, Chunli Li and Xiong Yu
Processes 2025, 13(12), 4050; https://doi.org/10.3390/pr13124050 - 15 Dec 2025
Viewed by 177
Abstract
Understanding drop dispersion behavior is significant to the optimization of liquid dispersion devices. In this work, the drop dispersion behavior in the combined trapezoid spray tray was directly observed and analyzed with a high-speed camera. It was found that the fracture of the [...] Read more.
Understanding drop dispersion behavior is significant to the optimization of liquid dispersion devices. In this work, the drop dispersion behavior in the combined trapezoid spray tray was directly observed and analyzed with a high-speed camera. It was found that the fracture of the liquid neck is the main mode for the liquid column to generate drops. The dispersion behavior of the drops was simulated by CFD, and it was found that the liquid neck is caused by the surrounding vortex field and the uneven pressure distribution inside the liquid column. At the same time, the dispersion time of the drops was counted, and it was found that the drop dispersion time ranges from 5 to 60 ms, depending on the drop diameter and the gas kinetic energy factor in plate hole F0. Full article
(This article belongs to the Section Chemical Processes and Systems)
Show Figures

Graphical abstract

22 pages, 1128 KB  
Article
Aqueous Biphasic Systems Based on Tetrabutylammonium Bromide for Extraction and Determination of Azorubine, Allura Red, Sunset Yellow, Tartrazine and Fast Green in Food Samples
by Svetlana V. Smirnova, Anastasia V. Gorbovskaia, Yulia S. Vershinina, Vladimir V. Apyari and Mikhail A. Proskurnin
Molecules 2025, 30(24), 4769; https://doi.org/10.3390/molecules30244769 - 13 Dec 2025
Viewed by 221
Abstract
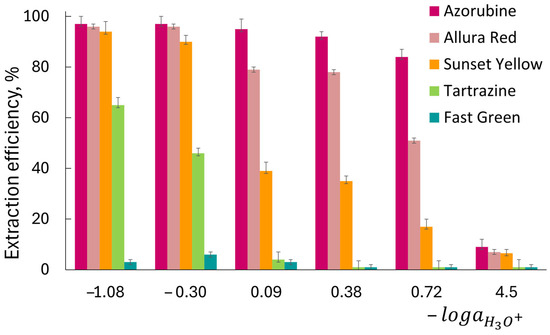
Aqueous biphasic systems (ABSs) based on tetrabutylammonium bromide (TBABr) and potassium thiocyanate or citrate (K3Cit) were proposed as “green” tools for liquid–liquid microextraction of Azorubine, Allura Red, Sunset Yellow, Tartrazine and Fast Green followed by spectrophotometric determination. The dye extraction into [...] Read more.
Aqueous biphasic systems (ABSs) based on tetrabutylammonium bromide (TBABr) and potassium thiocyanate or citrate (K3Cit) were proposed as “green” tools for liquid–liquid microextraction of Azorubine, Allura Red, Sunset Yellow, Tartrazine and Fast Green followed by spectrophotometric determination. The dye extraction into the water-saturated tetrabutylammonium thiocyanate phase, which separates from water when mixing aqueous solutions of TBABr and KSCN, depends on the hydrophobicity of dyes. Only Azorubine is extracted quantitatively at HCl concentration ≥ 0.05 mol L−1, with an equimolar TBABr/KSCN ratio and total concentration of 0.4 mol L−1 in less than 1 min. To estimate the hydrophobicity and identify factors affecting the distribution of dyes in ABSs, the experimental 1-octanol-water distribution coefficients of the dyes were determined. In contrast, all the dyes studied are quantitatively extracted into the TBABr–K3Cit–H2O ABS regardless of their hydrophobicity. The effects of pH, concentration of phase-forming components, extraction/centrifugation time and other factors were investigated for both ABSs. The linearity ranges and detection limits were 0.05–2.60 mg L−1 and 0.006–0.02 mg L−1, respectively. The proposed procedures were applied for the determination of dyes in food samples. Full article
(This article belongs to the Special Issue Advances in Food Analytical Methods)
Show Figures

Graphical abstract

19 pages, 10310 KB  
Article
Grokhovskyite, CuCrS2, a New Chromium Disulfide in Uakit Iron Meteorite (IIAB), Buryatia, Russia
by Victor V. Sharygin, Grigoriy A. Yakovlev, Yurii V. Seryotkin, Nikolai S. Karmanov, Konstantin A. Novoselov and Maxim S. Karabanalov
Minerals 2025, 15(12), 1295; https://doi.org/10.3390/min15121295 - 11 Dec 2025
Viewed by 274
Abstract
Grokhovskyite, CuCrS2, was observed in small sulfide inclusions (up to 50–80 µm) in Ni-rich iron (kamacite) of the Uakit iron meteorite (IIAB) in the Republic of Buryatia, Russia. The grain sizes of this mineral are usually less than 5 μm, and [...] Read more.
Grokhovskyite, CuCrS2, was observed in small sulfide inclusions (up to 50–80 µm) in Ni-rich iron (kamacite) of the Uakit iron meteorite (IIAB) in the Republic of Buryatia, Russia. The grain sizes of this mineral are usually less than 5 μm, and the biggest detected crystals are 10 × 5 μm in size. It is commonly associated with daubréelite, troilite, schreibersite, and, sometimes, with carlsbergite and uakitite. Within inclusions, the mineral forms elongated splintered crystals, or, rarely, needle-shaped grains in daubréelite. The grokhovskyite-containing associations in the Uakit meteorite seem to form due to high-temperature (>1000 °C) separation of Fe-Cr sulfide liquid, which is locally enriched in Cu, from Fe-Ni metal melt. Physical and optical properties of grokhovskyite are quite similar to those of synthetic CuCrS2: yellow–brown and non-transparent phase with metallic luster; Mohs hardness ≈ 4; gray to light gray color with yellow tint in reflected light; weak to medium bireflectance, anisotropy, and pleochroism; density (calc.) = 4.559 g/cm3. Grokhovskyite is structurally related to the Cr-containing disulfide minerals with general formula Me+CrS2 (where Me+ = Na, Cu, Ag), including caswellsilverite, NaCrS2; schöllhornite, Na0.3CrS2·H2O; and cronusite, Ca0.2CrS2·2H2O. Structural data were obtained for one grokhovskyite crystal using the EBSD technique. Fitting of the EBSD patterns for a synthetic α-CuCrS2 model (trigonal R3m; a = 3.4794(8) Å; c = 18.702(4) Å; V = 196.08(10) Å3; Z = 3) resulted in the parameter MAD = 0.57–1.16° (good fit). Analytical data for grokhovskyite (n = 36, in wt.%) are as follows: Cu—32.97; Cr—27.65; Fe—3.69; Ni—0.16; S—35.71; Na, Zn, V, Mn, and Co—below detection limit (<0.005 wt.%). The empirical formula is (Cu0.930Cr0.952Fe0.118Ni0.005)2.005S1.995; however, different concentrations of Fe are indicated in two individual grains of grokhovskyite (0.09–0.17 apfu). Such variations may be explained by Fe incorporation in the grokhovskyite structure according to the scheme IVCu+ + VICr3+IVFe2+ + VIFe2+. The three main bands (near 110, 250, and 310 cm−1), which are common of synthetic CuCrS2, were observed in the Raman spectra of grokhovskyite. Full article
(This article belongs to the Collection New Minerals)
Show Figures

Figure 1

Back to TopTop