Sign in to use this feature.

Years

Between: -

Subjects

remove_circle_outline
remove_circle_outline
remove_circle_outline
remove_circle_outline
remove_circle_outline
remove_circle_outline
remove_circle_outline
remove_circle_outline
remove_circle_outline

Journals

remove_circle_outline
remove_circle_outline
remove_circle_outline
remove_circle_outline
remove_circle_outline
remove_circle_outline

Article Types

Countries / Regions

remove_circle_outline
remove_circle_outline

Search Results (469)

Search Parameters:
Keywords = twinning boundary

Order results
Result details
Results per page
Select all
Export citation of selected articles as:
30 pages, 15035 KB  
Article
Adaptive Non-Singular Fast Terminal Sliding Mode Trajectory Tracking Control for Robotic Manipulator with Novel Configuration Based on TD3 Deep Reinforcement Learning and Nonlinear Disturbance Observer
by Huaqiang You, Yanjun Liu, Zhenjie Shi, Zekai Wang, Lin Wang and Gang Xue
Sensors 2026, 26(1), 297; https://doi.org/10.3390/s26010297 - 2 Jan 2026
Viewed by 263
Abstract
This work proposes a non-singular fast terminal sliding mode control (NFTSMC) strategy based on the Twin Delayed Deep Deterministic Policy Gradient (TD3) algorithm and a nonlinear disturbance observer (NDO) to address the issues of modeling errors, motion disturbances, and transmission friction in robotic [...] Read more.
This work proposes a non-singular fast terminal sliding mode control (NFTSMC) strategy based on the Twin Delayed Deep Deterministic Policy Gradient (TD3) algorithm and a nonlinear disturbance observer (NDO) to address the issues of modeling errors, motion disturbances, and transmission friction in robotic manipulators. Firstly, a novel modular serial 5-DOF robotic manipulator configuration is designed, and its kinematic and dynamic models are established. Secondly, a nonlinear disturbance observer is employed to estimate the total disturbance of the system and apply feedforward compensation. Based on boundary layer technology, an improved NFTSMC method is proposed to accelerate the convergence of tracking errors, reduce chattering, and avoid singularity issues inherent in traditional terminal sliding mode control. The stability of the designed control system is proved using Lyapunov stability theory. Subsequently, a deep reinforcement learning (DRL) agent based on the TD3 algorithm is trained to adaptively adjust the control gains of the non-singular fast terminal sliding mode controller. The dynamic information of the robotic manipulator is used as the input to the TD3 agent, which searches for optimal controller parameters within a continuous action space. A composite reward function is designed to ensure the stable and efficient learning of the TD3 agent. Finally, the motion characteristics of three joints for the designed 5-DOF robotic manipulator are analyzed. The results show that compared to the non-singular fast terminal sliding mode control algorithm based on a nonlinear disturbance observer (NDONFT), the non-singular fast terminal sliding mode control algorithm integrating a nonlinear disturbance observer and the Twin Delayed Deep Deterministic Policy Gradient algorithm (TD3NDONFT) reduces the mean absolute error of position tracking for the three joints by 7.14%, 19.94%, and 6.14%, respectively, and reduces the mean absolute error of velocity tracking by 1.78%, 9.10%, and 2.11%, respectively. These results verify the effectiveness of the proposed algorithm in enhancing the trajectory tracking accuracy of the robotic manipulator under unknown time-varying disturbances and demonstrate its strong robustness against sudden disturbances. Full article
(This article belongs to the Section Sensors and Robotics)
Show Figures

Figure 1

22 pages, 8065 KB  
Article
Spatial Configuration and Structural Resilience in the Population Flow Network: An Analysis of the Yimeng Mountainous Region
by Jinlong Zhao, Chen Huang, Dawei Mei, Liang Wang and Haijiao Yu
Sustainability 2026, 18(1), 456; https://doi.org/10.3390/su18010456 - 2 Jan 2026
Viewed by 208
Abstract
A systematic spatial resilience analysis of population flow networks in underdeveloped mountain towns is essential for sustainable urban–rural integration. Using mobile signaling data from March 2023, this study constructs a population flow network across 69 towns in the Yimeng Mountainous Region. This study [...] Read more.
A systematic spatial resilience analysis of population flow networks in underdeveloped mountain towns is essential for sustainable urban–rural integration. Using mobile signaling data from March 2023, this study constructs a population flow network across 69 towns in the Yimeng Mountainous Region. This study proposes a novel targeted-attack framework based on centrality and assesses structural resilience along the three dimensions of efficiency, transitivity, and connectedness. Population flows exhibit a twin-core north–south structure, characterized by a hub-and-spoke system in the south and a self-stabilizing triangular configuration in the north. The network demonstrates strong spatial agglomeration and heterogeneity, with modular clustering revealing four functional modules shaped by administrative boundaries. It exhibits small-world properties, attributed to high transmission efficiency and strong local clustering. The network shows robust resilience to disruptions. Targeted attacks based on betweenness centrality significantly compromise structural resilience; efficiency, transmission, and connectivity change linearly at low attack intensities but decline sharply at higher levels. Full article
(This article belongs to the Section Sustainable Urban and Rural Development)
Show Figures

Figure 1

15 pages, 16047 KB  
Article
Deformation Behavior of Sintered Cu-10wt%Mo Composite in the Hot Extrusion Process
by Qing Li, Zengde Li, Zhanning Zhang and Songxiao Hui
Metals 2026, 16(1), 44; https://doi.org/10.3390/met16010044 - 29 Dec 2025
Viewed by 157
Abstract
A hot extrusion deformation test of sintered Cu-10wt%Mo composite was carried out under deformation conditions, with deformation temperatures ranging from 800 °C to 950 °C, and extrusion ratios ranging from 2.9 to 10.5. The hot extrusion process eliminated the original interfaces between copper [...] Read more.
A hot extrusion deformation test of sintered Cu-10wt%Mo composite was carried out under deformation conditions, with deformation temperatures ranging from 800 °C to 950 °C, and extrusion ratios ranging from 2.9 to 10.5. The hot extrusion process eliminated the original interfaces between copper powder particles in sintered Cu-10wt%Mo composite. While the copper phase experienced dynamic recrystallization, the molybdenum particles effectively pinned the boundaries and inhibited subsequent grain growth. As the extrusion ratio increased, the composite material’s tensile strength, elongation, and thermal conductivity first increased and then decreased. With the rise in hot extrusion deformation temperature, the composite material’s tensile strength, elongation, and thermal conductivity gradually increased, but stabilized after reaching 900 °C. Deformation during hot extrusion is confined to the copper phase, which undergoes dynamic recrystallization (DRX), with no significant deformation occurring in the molybdenum phase. The molybdenum phase promotes an increased local strain rate in the copper phase, resulting in the formation of a certain number of twin grains. Full article
Show Figures

Figure 1

20 pages, 1662 KB  
Article
Digital Twin Empowers Electric Vehicle Supply Chain Resilience
by Xiaoye Zhou, Xuan Wang and Meilin Zhu
World Electr. Veh. J. 2026, 17(1), 13; https://doi.org/10.3390/wevj17010013 - 25 Dec 2025
Viewed by 293
Abstract
To reveal how digital twin empowers electric vehicle supply chain resilience, this study first proposes a novel “Human–Machine–Material–Environment” system architecture. Then, it employs dynamic fsQCA on data from 27 electric vehicle companies to explore the underlying configurational mechanisms. The results reveal that digital [...] Read more.
To reveal how digital twin empowers electric vehicle supply chain resilience, this study first proposes a novel “Human–Machine–Material–Environment” system architecture. Then, it employs dynamic fsQCA on data from 27 electric vehicle companies to explore the underlying configurational mechanisms. The results reveal that digital twin empowers electric vehicle supply chain resilience not through singular factors, but through multiple, equally effective configurations of its core dimensions. This study identifies six types of high-resilience pathways, such as “dual-driven by twin and safety” and “comprehensive upgrade digital twin”. This demonstrates that no universal best pathway exists. This finding of equifinality is complemented by causal asymmetry, as the paths leading to non-high resilience are not mere opposites of the successful ones. Across time periods, data security management, human–machine collaboration, and digital twin applications consistently emerge as core prerequisites for improving supply chain resilience. By introducing digital twin, this study expands the theoretical boundaries of electric vehicle supply chain resilience research and provides new analytical perspectives and frameworks. Full article
(This article belongs to the Section Marketing, Promotion and Socio Economics)
Show Figures

Figure 1

24 pages, 5201 KB  
Article
Three-Dimensional Reconstruction of Indoor Building Components Based on Multi-Dimensional Primitive Modeling Method
by Jaeyoung Lee, Soomin Kim and Sungchul Hong
ISPRS Int. J. Geo-Inf. 2026, 15(1), 10; https://doi.org/10.3390/ijgi15010010 - 23 Dec 2025
Viewed by 332
Abstract
The integration of Building Information Modeling (BIM) and Digital Twin (DT) has emerged as an innovative tool in the architecture, engineering, and construction (AEC) domain. To successfully utilize BIM and DT, it is crucial to update the 3D model in a timely and [...] Read more.
The integration of Building Information Modeling (BIM) and Digital Twin (DT) has emerged as an innovative tool in the architecture, engineering, and construction (AEC) domain. To successfully utilize BIM and DT, it is crucial to update the 3D model in a timely and accurate manner. However, limitations remain when handling massive point clouds to reconstruct complex indoor structures with varying ceiling and floor heights. This study proposes a semi-automatic 3D model reconstruction method. First, point clouds are aligned with 3D Cartesian axes and the spatial extent of the indoor space is measured. Subsequently, the point clouds are projected onto each coordinate plane to hierarchically extract structural elements of a building component, such as boundary lines, rectangles, and cuboids. Boolean operations are then applied to the cuboids to reconstruct a 3D wireframe model. Additionally, wall points are segmented to identify openings like doors and windows. For validation, the method was applied to three typical building components with Manhattan-world structures: an office, a hallway, and a stairway. The reconstructed models were evaluated using reference points, resulting in positional accuracies of 0.033 m, 0.034 m, and 0.030 m, respectively. Finally, the resulting wireframe model served as a reference to build an as-built BIM model. Full article
Show Figures

Figure 1

36 pages, 2717 KB  
Review
Fire Resistance of Steel-Reinforced Concrete Columns: A Review of Ordinary Concrete to Ultra-High Performance Concrete
by Chang Liu, Xiaochen Wu and Jinsheng Du
Buildings 2026, 16(1), 24; https://doi.org/10.3390/buildings16010024 - 20 Dec 2025
Viewed by 280
Abstract
This review surveys the recent literature on the fire resistance of reinforced concrete (RC) columns based on a bibliometric analysis of publications to reveal research trends and focus areas. The collected studies are synthesized from the perspectives of materials, structural behaviors, parameter influences, [...] Read more.
This review surveys the recent literature on the fire resistance of reinforced concrete (RC) columns based on a bibliometric analysis of publications to reveal research trends and focus areas. The collected studies are synthesized from the perspectives of materials, structural behaviors, parameter influences, and predictive modeling. From the material aspect, the review summarizes the degradation mechanisms of conventional concrete at elevated temperatures and highlights the improved performance of ultra-high-performance concrete (UHPC) and reactive powder concrete (RPC), where dense microstructures and fiber bridging effectively suppress spalling and help maintain residual capacity. In terms of structural behavior, experimental and numerical studies on RC columns under fire are reviewed to clarify the deformation, failure modes, and effects of axial load ratio, slenderness, cover thickness, reinforcement ratio, boundary restraint, and load eccentricity on fire endurance. Parametric analyses addressing the influence of these factors, as well as the heating–cooling history, on overall stability and post-fire performance is discussed. Recent advances in thermomechanical finite element analysis and the integration of data-driven approaches such as machine learning have been summarized for evaluating and predicting fire performance. Future directions are outlined, emphasizing the need for standardized parameters for fiber-reinforced systems, a combination of multi-scale numerical and machine-learning models, and further exploration of multi-hazard coupling, durability, and digital-twin-based monitoring to support next-generation performance-based fire design. Full article
Show Figures

Figure 1

24 pages, 2233 KB  
Article
Development of a Digital Twin of a DC Motor Using NARX Artificial Neural Networks
by Victor Busher, Valeriy Kuznetsov, Zbigniew Ciekanowski, Artur Rojek, Tomasz Grudniewski, Natalya Druzhinina, Vitalii Kuznetsov, Mykola Tryputen, Petro Hubskyi and Alibek Batyrbek
Energies 2025, 18(24), 6502; https://doi.org/10.3390/en18246502 - 11 Dec 2025
Viewed by 335
Abstract
This study presents the development process of a digital twin for a complex dynamic object using Artificial Neural Networks. A separately excited DC motor is considered as an example, which, despite its well-known electromechanical properties, remains a non-trivial object for neural network modeling. [...] Read more.
This study presents the development process of a digital twin for a complex dynamic object using Artificial Neural Networks. A separately excited DC motor is considered as an example, which, despite its well-known electromechanical properties, remains a non-trivial object for neural network modeling. It is shown that describing the motor using a generalized neural network with various configurations does not yield satisfactory results. The optimal solution was based on a separation into two distinct nonlinear autoregressive with exogenous inputs (NARX) artificial neural networks with cross-connections for the two main machine variables: one for modeling the armature current with exogenous inputs of voltage and armature speed, and another for modeling the angular speed with inputs of voltage and armature current. Both neural networks are characterized by a relatively small number of neurons in the hidden layer and a time delay of no more than 3 time steps. This solution, consistent with the physical understanding of the motor as an object where electromagnetic energy is converted into thermal and mechanical energy (and vice versa), allows the model to be calibrated for the ideal no-load mode and subsequently account for the influence of torque loads of various natures and changes in the control object parameters over a wide range. The study demonstrates that even for modeling an object such as a DC electric drive with cascaded control, reducing errors at the boundaries of the known operating range requires generating test signals covering approximately 120% of the nominal speed range and 250–400% of the nominal current. Analysis of various test signals revealed that training with a sequence of step changes and linear variations across the entire operating range of armature current and speed provides higher accuracy compared to training with random or uniform signals. Furthermore, to ensure the neural network model’s functionality under varying load torque, a mechanical load observer was developed, and a model architecture incorporating an additional input for disturbance was proposed. The SEDCM_NARX_LOAD neural network model demonstrates a theoretically justified response to load application, although dynamic and static errors arise. In the experiment, the current error was 7.4%, and the speed error was 0.5%. The practical significance of the research lies in the potential use of the proposed model for simulating dynamic and static operational modes of electromechanical systems, tuning controllers, and testing control strategies without employing a physical motor. Full article
(This article belongs to the Section F5: Artificial Intelligence and Smart Energy)
Show Figures

Figure 1

42 pages, 1598 KB  
Review
Nanoscale Characterization of Nanomaterial-Based Systems: Mechanisms, Experimental Methods, and Challenges in Probing Corrosion, Mechanical, and Tribological Properties
by Md Ashraful Hoque and Chun-Wei Yao
Nanomaterials 2025, 15(23), 1824; https://doi.org/10.3390/nano15231824 - 2 Dec 2025
Viewed by 1119
Abstract
Nanomaterial-based systems (NBS) have emerged as transformative elements in advanced surface engineering, offering superior corrosion resistance, mechanical strength, and tribological resilience governed by unique phenomena inherent to the nanoscale. However, bridging the knowledge gap between these enhanced physicochemical properties and the metrological tools [...] Read more.
Nanomaterial-based systems (NBS) have emerged as transformative elements in advanced surface engineering, offering superior corrosion resistance, mechanical strength, and tribological resilience governed by unique phenomena inherent to the nanoscale. However, bridging the knowledge gap between these enhanced physicochemical properties and the metrological tools required to quantify them remains a critical challenge. This review provides a comprehensive examination of the fundamental mechanisms, state-of-the-art experimental techniques, and computational strategies employed to probe NBS behavior. The article first elucidates the core mechanisms driving performance, including passive barrier formation, stimuli-responsive active corrosion inhibition, grain boundary strengthening, and the formation of protective tribo-films by 2D nanomaterial-based systems. Subsequently, the article evaluates the transition from conventional macroscopic testing to high-resolution in situ characterization, highlighting the capabilities of High-Speed Atomic Force Microscopy (HS-AFM), Liquid Cell Transmission Electron Microscopy (LC-TEM), and nanoindentation in visualizing dynamic defect evolution and measuring localized mechanical responses. Furthermore, the indispensable role of computational materials science—specifically Molecular Dynamics (MD) and Machine Learning (ML)—in predictive modeling and elucidating atomic-scale interactions is discussed. Finally, persistent challenges regarding substrate interference, sample heterogeneity, and instrumentation limits are addressed, concluding with a perspective on future research directions focused on standardization, operando testing, and the development of AI-driven “Digital Twins” for accelerated testing and material optimization. Full article
(This article belongs to the Section Nanocomposite Materials)
Show Figures

Figure 1

10 pages, 4194 KB  
Article
Strength–Ductility Balance of HIP+HT-Treated LPBF GH3536 Alloy via In Situ EBSD: The Role of Annealing Twins
by Changshuo Zhang, Xiaopeng Cheng, Junxia Lu, Shuai Huang and Bingqing Chen
Materials 2025, 18(23), 5306; https://doi.org/10.3390/ma18235306 - 25 Nov 2025
Viewed by 393
Abstract
Nickel-based GH3536 alloys prepared by laser powder bed fusion (LPBF) exhibit a mismatch between strength and ductility during the tensile process, which severely restricts their engineering applications in the aerospace field. In order to optimize their performance, this study adopted hot isostatic pressing [...] Read more.
Nickel-based GH3536 alloys prepared by laser powder bed fusion (LPBF) exhibit a mismatch between strength and ductility during the tensile process, which severely restricts their engineering applications in the aerospace field. In order to optimize their performance, this study adopted hot isostatic pressing (HIP) and subsequent heat treatment (HT) to modify the material. The microstructural evolution of the HIP+HT-treated GH3536 alloy during deformation, including grain rotation, grain boundary migration, and dislocation slip transfer behaviors, was systematically investigated at room temperature using in situ tensile experiments. The relationship between the microstructure and mechanical properties was elucidated in greater depth by combining theoretical calculations. The experimental results show that after HIP+HT treatment, the elongation of the alloy increased significantly from 36.5% in the as-built LPBF condition to 45.3 ± 1.6% without a significant reduction in ultimate tensile strength. The plasticity enhancement is mainly attributed to the elimination of defects and the formation of annealing twins. In addition, the formation of substructures inside the grains also delays the fracture of the specimen to some extent. This study is expected to provide a reference for the subsequent optimization of the mechanical properties of alloys via heat treatment processes. Full article
Show Figures

Figure 1

15 pages, 12859 KB  
Article
Effect of Nitrogen Content on the Cavitation Erosion Resistance of 316LN Stainless Steel
by Yong Wang, Wei Wang, Qingrui Xiao, Jinxu Yu, Yingping Ji and Kewei Deng
Metals 2025, 15(11), 1270; https://doi.org/10.3390/met15111270 - 20 Nov 2025
Cited by 1 | Viewed by 430
Abstract
Cavitation erosion is a predominant failure mode of austenitic stainless steels in corrosive fluid environments, severely limiting their durability in nuclear piping and hydraulic components. In this study, five 316LN steels with 0.008–0.34 wt.% nitrogen content were fabricated, and both short-term (2 h) [...] Read more.
Cavitation erosion is a predominant failure mode of austenitic stainless steels in corrosive fluid environments, severely limiting their durability in nuclear piping and hydraulic components. In this study, five 316LN steels with 0.008–0.34 wt.% nitrogen content were fabricated, and both short-term (2 h) and long-term (24 h) cavitation tests were performed to elucidate the effect and mechanism of nitrogen. Increasing nitrogen markedly enhanced cavitation resistance: after 24 h, the cumulative mass loss decreased by 36%, 52%, 60%, and 71% for 09N, 17N, 22N, and 34N relative to 00N, accompanied by lower surface roughness, shallower pit depth, and a prolonged incubation stage. SEM revealed a progressive damage process from twin/high-angle grain boundaries to intragranular deformation bands and finally to spalling at slip intersections, whereas high-N steels exhibited only slight local detachment. TEM demonstrated that nitrogen transformed dislocations from random networks into dense slip bands and planar arrays with stacking faults, raising hardness from ~140 HV to ~260 HV. EBSD further confirmed strain-induced martensite transformation under severe deformation, providing additional strengthening. These results reveal that nitrogen improves cavitation resistance by tailoring dislocation structures and enhancing strength–plasticity compatibility, offering guidance for the design of high-performance austenitic stainless steels in cavitation environments. Full article
(This article belongs to the Special Issue Erosion–Corrosion Behaviour and Mechanisms of Metallic Materials)
Show Figures

Figure 1

31 pages, 14983 KB  
Article
Novel Method to Improve the Convergence of Physics-Informed Neural Networks for Complex Thermal Simulations
by Amèvi Tongne and Lionel Arnaud
Appl. Sci. 2025, 15(22), 12234; https://doi.org/10.3390/app152212234 - 18 Nov 2025
Viewed by 554
Abstract
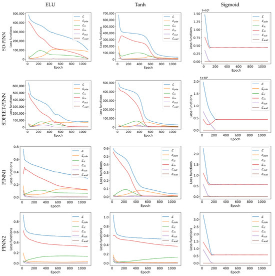
In the context of developing PINN methods for real-time digital twins in manufacturing processes, we propose a new approach that combines two complementary weighting strategies to significantly improve their convergence. The first method, called SD-PINN, balances the loss terms associated with the governing [...] Read more.
In the context of developing PINN methods for real-time digital twins in manufacturing processes, we propose a new approach that combines two complementary weighting strategies to significantly improve their convergence. The first method, called SD-PINN, balances the loss terms associated with the governing equations, boundary conditions, and initial conditions, ensuring that their contributions are dimensionally consistent and therefore comparable in magnitude. The second method, called SDFEET-PINN, rescales the terms of the governing equations during the early stages of training. This facilitates learning by temporarily modifying the equations to make terms comparable in amplitude, and then progressively restoring the original formulation, thereby preserving the influence of lower-magnitude terms that are often neglected in standard PINN approaches. We apply these methods to transient thermal problems, which are critical for predicting defects in Powder Bed Fusion (PBF). A range of 2D configurations with complex boundary conditions is used to test robustness, and a practical case study is carried out on heat transfer in a complex 3D geometry previously investigated both numerically and experimentally in PBF. Results show that the combined SD-PINN and SDFEET-PINN approach achieves higher predictive accuracy and stability compared to classical PINNs. Furthermore, we introduce an Adaptive Learning Rate strategy that reduces the step size after initial stabilization, further enhancing predictive performance and enabling efficient convergence across all test cases. Full article
Show Figures

Figure 1

16 pages, 5825 KB  
Article
Crystal Plasticity Simulations of Dislocation Slip and Twinning in α-Ti Single and Polycrystals
by Evgeniya Emelianova, Maxim Pisarev, Ruslan Balokhonov and Varvara Romanova
Metals 2025, 15(11), 1243; https://doi.org/10.3390/met15111243 - 13 Nov 2025
Viewed by 622
Abstract
A crystal plasticity finite element model is developed and implemented to numerically study the deformation behavior of hexagonal close-packed metals using α-titanium as an example. The model takes into account micromechanical deformation mechanisms through dislocation slip along prismatic, basal, and first-order <c [...] Read more.
A crystal plasticity finite element model is developed and implemented to numerically study the deformation behavior of hexagonal close-packed metals using α-titanium as an example. The model takes into account micromechanical deformation mechanisms through dislocation slip along prismatic, basal, and first-order <c+a> pyramidal systems, as well as tensile twinning. Twin initiation follows a two-conditional criterion requiring that both the resolved shear stress in a twin system and the accumulated pyramidal slip simultaneously reach their critical values. Three-dimensional polycrystalline models are generated using the step-by-step packing method. The crystal plasticity constitutive model describing the deformation behavior of grains is integrated into the boundary-value problem of continuum mechanics, including dynamic governing equations. The three-dimensional problem is solved numerically using the finite element method. The micromechanical model is tested for an α-titanium single crystal along the [0001] direction and a polycrystal consisting of 50 grains. The numerical results reveal that twin propagation is controlled by the critical value of accumulated pyramidal slip, emphasizing the need for experimental calibration. The agreement between numerical and experimental results provides the model validation at the meso- and macroscales. Full article
(This article belongs to the Section Computation and Simulation on Metals)
Show Figures

Figure 1

25 pages, 11033 KB  
Article
MSDT-Net: A Multi-Scale Smoothing Attention and Differential Transformer Encoding Network for Building Change Detection in Coastal Areas
by Weitong Ma, Lebao Yang, Yuxun Chen, Yangyu Zhao, Zheng Wei, Xue Ji and Chengyao Zhang
Remote Sens. 2025, 17(21), 3645; https://doi.org/10.3390/rs17213645 - 5 Nov 2025
Viewed by 701
Abstract
Island building change detection is a critical technology for environmental monitoring, disaster early warning, and urban planning, playing a key role in dynamic resource management and sustainable development of islands. However, the imbalanced distribution of class pixels (changed vs. unchanged) undermines the detection [...] Read more.
Island building change detection is a critical technology for environmental monitoring, disaster early warning, and urban planning, playing a key role in dynamic resource management and sustainable development of islands. However, the imbalanced distribution of class pixels (changed vs. unchanged) undermines the detection capability of existing methods and severe boundary misdetection. To address issue, we propose the MSDT-Net model, which makes breakthroughs in architecture, modules, and loss functions; a dual-branch twin ConvNeXt architecture is adopted as the feature extraction backbone, and the designed Edge-Aware Smoothing Module (MSA) effectively enhances the continuity of the change region boundaries through a multi-scale feature fusion mechanism. The proposed Difference Feature Enhancement Module (DTEM) enables deep interaction and fusion between original semantic and change features, significantly improving the discriminative power of the features. Additionally, a Focal–Dice–IoU Boundary Joint Loss Function (FDUB-Loss) is constructed to suppress massive background interference using Focal Loss, enhance pixel-level segmentation accuracy with Dice Loss, and optimize object localization with IoU Loss. Experiments show that on a self-constructed island dataset, the model achieves an F1-score of 0.9248 and an IoU value of 0.8614. Compared to mainstream methods, MSDT-Net demonstrates significant improvements in key metrics across various aspects. Especially in scenarios with few changed pixels, the recall rate is 0.9178 and the precision is 0.9328, showing excellent detection performance and boundary integrity. The introduction of MSDT-Net provides a highly reliable technical pathway for island development monitoring. Full article
(This article belongs to the Section Urban Remote Sensing)
Show Figures

Figure 1

21 pages, 5085 KB  
Article
Finite Element Model Updating of a Steel Cantilever Beam: Experimental Validation and Digital Twin Integration
by Mohammad Amin Oyarhossein, Gabriel Sugiyama, Fernanda Rodrigues and Hugo Rodrigues
Buildings 2025, 15(21), 3890; https://doi.org/10.3390/buildings15213890 - 28 Oct 2025
Viewed by 838
Abstract
Accurate identification of modal properties in a steel cantilever beam is crucial for enhancing numerical models and supporting structural health monitoring, particularly when numerical and experimental data are combined. This study investigates the modal system identification of a steel cantilever beam using finite [...] Read more.
Accurate identification of modal properties in a steel cantilever beam is crucial for enhancing numerical models and supporting structural health monitoring, particularly when numerical and experimental data are combined. This study investigates the modal system identification of a steel cantilever beam using finite element method (FEM) simulations, which are validated by experimental testing. The beam was bolted to a reinforced concrete block and subjected to dynamic testing, where natural frequencies and mode shapes were extracted through Frequency Domain Decomposition (FDD). The experimental outcomes were compared with FEM predictions from SAP2000, and discrepancies were analysed using the Modal Assurance Criterion (MAC). A model updating procedure was applied, refining boundary conditions and considering sensor mass effects, which improved model accuracy. The updated FEM achieved closer agreement with frequency deviations reduced to less than 4% and MAC values above 0.9 for the first three modes. Beyond validation, the research links the updated FEM results with a Building Information Modelling (BIM) framework to enable the development of a digital twin of the beam. A workflow was designed to connect vibration monitoring data with BIM, providing visualisation of structural performance through colour-coded alerts. The findings confirm the effectiveness of FEM updating in generating reliable modal representations and demonstrate the potential of BIM-based digital twins for advancing structural condition assessment, maintenance planning and decision-making in civil engineering practice. Full article
(This article belongs to the Collection Innovation in Structural Analysis and Dynamics for Constructions)
Show Figures

Figure 1

15 pages, 9210 KB  
Article
Effects of Hot Compression on Grain Boundary Evolution and Twin Boundary Characteristics on the Material Properties of Inconel 617 Alloy
by Lidan Yu, Zhi Jia, Yiyou Tu, Junlin Huang, Jun Zhou and Lei Pan
Metals 2025, 15(11), 1186; https://doi.org/10.3390/met15111186 - 25 Oct 2025
Viewed by 483
Abstract
The evolution of grain size and special grain boundary in Inconel 617 alloy was analyzed by electron backscatter diffraction (EBSD). It was found that during hot compression, dynamic recrystallization (DRX) occurs, the grain size changes, and a twinning structure is generated, which then [...] Read more.
The evolution of grain size and special grain boundary in Inconel 617 alloy was analyzed by electron backscatter diffraction (EBSD). It was found that during hot compression, dynamic recrystallization (DRX) occurs, the grain size changes, and a twinning structure is generated, which then affects grain growth. In this paper, the high-angle grain boundaries (HAGBs) and low-angle grain boundaries (LAGBs) under different conditions were studied, and the formation mechanism of special twin boundaries and the proportion of these grain boundaries under different conditions were analyzed. In addition, it was found that the variation in twin boundaries is complex at different temperatures and strain rates, and the formation mechanism of special twin boundaries Σ3, Σ9, and Σ27 is also closely related to temperature and strain rate. Through electrochemical corrosion testing, it was further found that there is a positive relationship between the content of Σ3 and the corrosion resistance of the material. This paper provides theoretical guidance for the microstructural study of Inconel 617 alloy during plastic deformation. Full article
Show Figures

Figure 1

Back to TopTop