Sign in to use this feature.

Years

Between: -

Subjects

remove_circle_outline
remove_circle_outline
remove_circle_outline
remove_circle_outline
remove_circle_outline
remove_circle_outline
remove_circle_outline
remove_circle_outline

Journals

Article Types

Countries / Regions

Search Results (89)

Search Parameters:
Keywords = true triaxial tests

Order results
Result details
Results per page
Select all
Export citation of selected articles as:
17 pages, 7345 KB  
Article
The Crack Initiation Stress, Crack Damage Stress, and Failure Characteristics of Mudstone Under Seepage Conditions in Different Principal Stress Directions
by Wei Yao, Peng Zhang, Xianqi Zhou, Jin Yu and Yonggang Gou
Water 2025, 17(24), 3519; https://doi.org/10.3390/w17243519 - 12 Dec 2025
Viewed by 299
Abstract
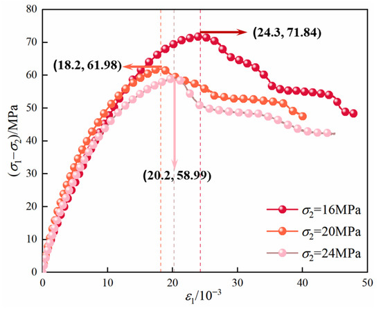
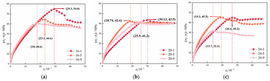
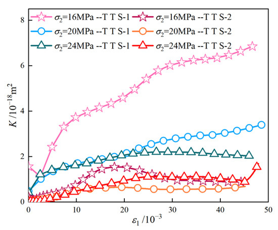
In deep underground engineering projects, the rock mass is frequently subjected to extreme environments characterized by high geostress and high permeation pressure. This makes the rock mass highly prone to disasters such as collapses, significant deformations, and water seepage. Among these factors, the [...] Read more.
In deep underground engineering projects, the rock mass is frequently subjected to extreme environments characterized by high geostress and high permeation pressure. This makes the rock mass highly prone to disasters such as collapses, significant deformations, and water seepage. Among these factors, the direction of seepage plays a critical role. In this study, true triaxial tests were performed to investigate the characteristic stress and failure behaviors of mudstone under seepage conditions in different principal stress directions. The test results indicate that, under permeation pressure (σp), the characteristic stresses are significantly reduced. After TTS-1 shifts to TTS-2, the permeability of the mudstone decreases significantly. A volumetric dilation hysteresis effect of mudstone was discovered. Furthermore, the increase in β1 and decrease in β2 indicate that, after the transition from TTS-1 to TTS-2, the stable crack propagation stage in the mudstone is prolonged, while the unstable crack propagation stage is shortened. In the σ1σ3 plane, after TTS-1 shifts to TTS-2, the change in the included angle between the mudstone fracture surface and the σ1 direction shows a reverse trend with the increase in σp. Full article
(This article belongs to the Section Hydrogeology)
Show Figures

Graphical abstract

21 pages, 12355 KB  
Article
Comparative Study of Supporting Methods for a Deep Mine Shaft Using Similar Physical Model Tests Under True Triaxial Stresses
by Diyuan Li, Yisong Yu, Jingtai Jiang and Jinyin Ma
Appl. Sci. 2025, 15(24), 12997; https://doi.org/10.3390/app152412997 - 10 Dec 2025
Viewed by 127
Abstract
The stability and safety of the vertical shaft during construction is an important problem for deep mining engineering because of the high in situ stresses. This paper conducts experimental studies on the difficulty of shaft support during the construction of No. 6 deep [...] Read more.
The stability and safety of the vertical shaft during construction is an important problem for deep mining engineering because of the high in situ stresses. This paper conducts experimental studies on the difficulty of shaft support during the construction of No. 6 deep shaft at the Huize Mine, Yunnan Province, China. Based on the rule of similarity test, a similar material formula was developed, and standard model samples of the vertical shaft were prepared. Three different support methods were set up, including steel fiber-reinforced concrete support, drilling pressure relief support, and slot filling support. The experiments were conducted by using a true triaxial test system, and the testing process was monitored by a static stress–strain gauge and an acoustic emission system. The experimental results show that the integrity of the borehole pressure relief support shaft is optimal under the in situ stress. As the maximum principal stress increases to the instability and failure of the shaft, the peak load, cumulative number, and energy of acoustic emission events were the highest using the steel fiber concrete support method, and the peak load was the lowest using the borehole pressure relief. The borehole pressure relief transfers the stress around the shaft to the deep part. Although it ensures the integrity of the shaft, it causes internal damage to the shaft, reduces the energy storage of the shaft, and results in the lowest cumulative number and energy of acoustic emission events. After the instability and failure of the shaft, the average block size of the shaft debris is the highest under the borehole pressure relief support along the direction of the maximum principal stress. On the other hand, the mechanical properties of samples with different support methods under dynamic load conditions are studied by applying external low-frequency disturbances, and the test conclusions have been verified through numerical simulation. Field tests have verified that the steel fiber-reinforced concrete lining support can maintain the integrity of the deep shaft wall and ensure safety during mining production. Full article
(This article belongs to the Section Earth Sciences)
Show Figures

Figure 1

23 pages, 4426 KB  
Article
Symmetry and Coupled Effects of Intermediate Principal Stress and Unloading Kinetics on Energy Dissipation and Fracture Behavior of Sandstone
by Xianqi Zhou, Zhuotao You, Wei Yao, Jinbi Ye and Erchao Fu
Symmetry 2025, 17(12), 2100; https://doi.org/10.3390/sym17122100 - 7 Dec 2025
Viewed by 182
Abstract
Excavation unloading in deep rock masses involves a transition from symmetric states of energy storage to asymmetric energy dissipation, in which variations in intermediate principal stress (σ2) play a critical role. To investigate these symmetry-breaking mechanisms, controlled-rate true triaxial unloading [...] Read more.
Excavation unloading in deep rock masses involves a transition from symmetric states of energy storage to asymmetric energy dissipation, in which variations in intermediate principal stress (σ2) play a critical role. To investigate these symmetry-breaking mechanisms, controlled-rate true triaxial unloading experiments were performed on sandstone using a miniature creep-coupled testing system. During unloading of σ3 at 0.1–0.3 MPa/s, the evolution of elastic, dissipated, and plastic energies was quantitatively evaluated. The results reveal pronounced asymmetric energy responses governed by both σ2 and the unloading rate. Dissipated energy dominates the entire unloading process, while elastic energy exhibits a non-monotonic trend with increasing σ2—first rising due to enhanced confinement and then decreasing as premature failure occurs. Higher unloading rates significantly accelerate total, elastic, and dissipated energy conversion and intensify post-peak brittleness. A new metric, plastically released energy, is proposed to quantify the asymmetric energy release from peak to residual state after failure. Its dependence on σ2 is strongly non-monotonic, increasing under moderate σ2 but decreasing when σ2 is sufficiently high to trigger failure during unloading. This behavior captures the essential symmetry-breaking transition between elastic energy accumulation and irreversible plastic dissipation. These findings demonstrate that true triaxial unloading induces energy evolution patterns far from symmetry, controlled jointly by σ2 and unloading kinetics. The established correlations between σ2, unloading rate, and plastically released energy enrich the theoretical framework of energy-based symmetry in rock mechanics and offer insights for evaluating excavation-induced instability in deep underground engineering. Full article
Show Figures

Figure 1

20 pages, 8298 KB  
Article
Fractal and CT Analysis of Water-Bearing Coal–Rock Composites Under True Triaxial Loading–Unloading
by Qiang Xu, Ze Xia, Shuyu Du, Yukuan Fan, Gang Huang, Shengyan Chen, Zhisen Zhang and Yang Liu
Fractal Fract. 2025, 9(12), 782; https://doi.org/10.3390/fractalfract9120782 - 1 Dec 2025
Viewed by 273
Abstract
To reveal the deformation and failure mechanisms as well as the fracture evolution patterns of water-bearing coal–rock composites under complex stress conditions, this study established a true triaxial stress model for the key load-bearing structure of mined coal pillar dams and developed a [...] Read more.
To reveal the deformation and failure mechanisms as well as the fracture evolution patterns of water-bearing coal–rock composites under complex stress conditions, this study established a true triaxial stress model for the key load-bearing structure of mined coal pillar dams and developed a true triaxial loading apparatus capable of implementing localized unloading paths. True triaxial loading–unloading tests were conducted on coal–rock composites under different water content conditions, and the internal fracture structures were quantitatively characterized using CT scanning combined with fractal analysis. The results indicate that: (1) under a constant axial stress-unloading confining stress path, failure primarily occurs in the coal component, and the extent of failure significantly increases with the water content of the roof rock. For instance, the total fracture volume in the coal body increased by approximately 66% from the dry to the saturated state, while the lateral strain at peak stress decreased by about 65% over the same range, indicating a transition towards more brittle behavior. (2) CT scanning and three-dimensional reconstruction results reveal that the fracture system exhibits pronounced multi-scale polarization, with significant differences in volume, surface area, and morphological parameters between the main fractures and micropores, reflecting strong heterogeneity and anisotropy; (3) fractal dimension analysis of two-dimensional slices indicates that the fracture structures exhibit fractal characteristics in all directions, with the spatial distribution of fractal dimensions closely related to the loading direction. Overall, the XY-direction fractures exhibit the highest complexity, whereas the XZ and YZ directions show pronounced directional anisotropy. As water content increases, the amplitude of fractal dimension fluctuations rises, reflecting an enhancement in the geometric complexity of the fracture system. Full article
Show Figures

Figure 1

17 pages, 4310 KB  
Article
Strength Characteristics of Unsaturated Compacted Loess Under Complex Stress Paths
by Fang Zheng, Zhanping Song, Yuwei Zhang and Zhilang You
Buildings 2025, 15(23), 4287; https://doi.org/10.3390/buildings15234287 - 26 Nov 2025
Viewed by 147
Abstract
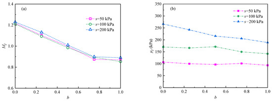
A series of (45 sets) true triaxial shear tests with controlled suction and under conditions of equal-b and equal-p are performed on unsaturated compacted loess. By incorporating the effects of matric suction in unsaturated loess and the influence of middle principal [...] Read more.
A series of (45 sets) true triaxial shear tests with controlled suction and under conditions of equal-b and equal-p are performed on unsaturated compacted loess. By incorporating the effects of matric suction in unsaturated loess and the influence of middle principal stress conditions, the characteristics of the stress–strain curve evolution, strength failure line and related strength parameters of the unsaturated compacted loess under complex stress paths are analyzed, and the applicability of different strength criteria is analyzed. The results indicated that both the matric suction and the middle principal stress condition have significant effects on the magnitude of shear stress. While matric suction exerts minimal effect on the configuration of the stress–strain curve, the middle principal stress condition markedly affects its shape. A function is established to approximately describe the correlation between the strength-related parameters and the middle principal stress coefficient. A comparison of the failure lines predicted with several strength criteria and the experimental data indicates that the experimental results of unsaturated compacted loess under a controlled suction state are consistent with the results of the predicted failure lines of the Lade–Duncan strength criterion. The findings can provide crucial theoretical support for engineering design and disaster prevention in loess regions. Full article
(This article belongs to the Section Building Structures)
Show Figures

Figure 1

20 pages, 4248 KB  
Article
Experimental Study on the True Triaxial Unloading Mechanical Properties of Cement Tailings Backfill Under Different Intermediate Principal Stresses
by Qiang Li, Jiajian Li, Yunpeng Kou and Weidong Song
Minerals 2025, 15(11), 1227; https://doi.org/10.3390/min15111227 - 20 Nov 2025
Viewed by 382
Abstract
Engineering unloading activities during deep mineral resource extraction subject the backfill materials to complex true triaxial stress conditions, where their mechanical behavior and damage mechanisms are critical to stope stability. In this article, a true triaxial testing system was employed to conduct unloading [...] Read more.
Engineering unloading activities during deep mineral resource extraction subject the backfill materials to complex true triaxial stress conditions, where their mechanical behavior and damage mechanisms are critical to stope stability. In this article, a true triaxial testing system was employed to conduct unloading tests under different initial intermediate principal stress (σ2) conditions, aiming to elucidate the influence mechanism of σ2 on strength, deformation, failure modes, and acoustic emission (AE) characteristics of the backfill, and to establish a corresponding damage constitutive model. The results demonstrate that the σ2 governs the mechanical response and failure mode of the filling material. Within the tested range, σ2 nonlinearly enhances both the peak stress, indicating improved load-bearing. As σ2 increases, acoustic emission activity changes from intermittent to continuous high-intensity ringing counts. The transition from brittle to ductile fracture. Model predictions showed high agreement with experimental data, validating its applicability. This study provides a critical theoretical foundation and modeling framework for assessing the stability of backfill structures under deep well mining conditions and guiding engineering design. Full article
(This article belongs to the Special Issue Advances in Mine Backfilling Technology and Materials, 2nd Edition)
Show Figures

Figure 1

29 pages, 2138 KB  
Review
A Review of Theoretical, Experimental and Numerical Advances on Strain Localization in Geotechnical Materials
by Yonghui Li, Anyuan Sun and Feng Zhu
Appl. Sci. 2025, 15(22), 12154; https://doi.org/10.3390/app152212154 - 16 Nov 2025
Viewed by 432
Abstract
Strain localization is a critical phenomenon in geotechnical materials, serving as a precursor to the failure of engineering structures such as slopes, foundations, and tunnels. This paper presents a comprehensive review of the theoretical, experimental, and numerical advances in the study of strain [...] Read more.
Strain localization is a critical phenomenon in geotechnical materials, serving as a precursor to the failure of engineering structures such as slopes, foundations, and tunnels. This paper presents a comprehensive review of the theoretical, experimental, and numerical advances in the study of strain localization. Theoretically, the review spans from classical empirical criteria for shear band inclination to the more rigorous bifurcation theory, which mathematically defines the onset of localization as a loss of uniqueness in the governing equations. Experimentally, various laboratory techniques including direct shear, triaxial, plane strain, and true triaxial tests are discussed, highlighting how they have revealed the influences of microstructure, stress path, and boundary conditions on shear band development. The core of the review focuses on numerical simulations, critically analyzing the limitations of the classical Finite Element Method (FEM) due to mesh dependency. It then elaborates on advanced regularization strategies, encompassing weak discontinuity methods (e.g., Cosserat continuum theory) that introduce an internal length scale to model finite-width shear bands, and strong discontinuity methods (e.g., the Strong Discontinuity Approach, SDA) for simulating discrete cracks. Significant emphasis is placed on innovative coupled approaches, particularly the Cos-SDA model, which integrates the advantages of both weak and strong discontinuity methods to seamlessly simulate the entire progressive failure process from diffuse localization to discrete slip. Furthermore, the application of spectral analysis for evaluating the regularization performance of these numerical methods is examined. Finally, the review concludes by identifying persistent challenges and outlining promising future research directions, including 3D modeling, multi-field coupling, and the integration of data-driven techniques. This synthesis aims to provide a valuable reference for advancing the prediction and management of failure in geotechnical structures. Full article
Show Figures

Figure 1

14 pages, 4090 KB  
Article
Experimental Study on Water-Hammer-Effect Fracturing Based on High-Frequency Pressure Monitoring
by Yanchao Li, Hu Sun, Longqing Zou, Liang Yang, Hao Jiang, Zhiming Zhao, Ruchao Sun and Yushi Zou
Processes 2025, 13(9), 2900; https://doi.org/10.3390/pr13092900 - 11 Sep 2025
Viewed by 834
Abstract
Horizontal well multi-stage fracturing is the primary technology for deep shale gas development, but dense multi-cluster fractures are prone to non-uniform initiation and propagation, requiring real-time monitoring and interpretation techniques to adjust fracturing parameters. Although high-frequency water hammer pressure-monitoring technology shows diagnostic potential, [...] Read more.
Horizontal well multi-stage fracturing is the primary technology for deep shale gas development, but dense multi-cluster fractures are prone to non-uniform initiation and propagation, requiring real-time monitoring and interpretation techniques to adjust fracturing parameters. Although high-frequency water hammer pressure-monitoring technology shows diagnostic potential, the correlation mechanism between pressure response characteristics and multi-cluster fracture morphology remains unclear. This study utilized outcrop rock samples from the Longmaxi Formation shale to construct a long-injection-tube pipeline system and a 1 kHz high-frequency pressure acquisition system. Through a true triaxial fracturing simulation test system, it systematically investigated the effects of flow rate (50–180 mL/min) and fracturing fluid viscosity (3–15 mPa·s) on water hammer signal characteristics and fracture morphology. The results reveal that when the flow rate rose from 50 mL/min to 180 mL/min, the initiation efficiency of transverse fractures significantly improved, artificial fractures more easily broke through bedding plane limitations, and fracture height propagation became more complete. When the fracturing fluid viscosity increased from 3–5 mPa·s to 12–15 mPa·s, fracture height propagation and initiation efficiency significantly improved, but fewer bedding plane fractures were activated. The geometric complexity of fractures positively correlated with the water hammer decay rate. This research demonstrates a link between water hammer signal features and downhole fracture morphology, giving a theoretical basis for field fracturing diagnostics. Full article
(This article belongs to the Section Energy Systems)
Show Figures

Figure 1

19 pages, 16857 KB  
Article
Mechanical Response Mechanism and Acoustic Emission Evolution Characteristics of Deep Porous Sandstone
by Zihao Li, Guangming Zhao, Xin Xu, Chongyan Liu, Wensong Xu and Shunjie Huang
Infrastructures 2025, 10(9), 236; https://doi.org/10.3390/infrastructures10090236 - 9 Sep 2025
Viewed by 527
Abstract
To investigate the failure mechanisms of surrounding rock in deep mine tunnels and its spatio-temporal evolution patterns, a true triaxial disturbance unloading rock testing system, the acoustic emission (AE) system, and the miniature camera monitoring system were employed to conduct true triaxial graded [...] Read more.
To investigate the failure mechanisms of surrounding rock in deep mine tunnels and its spatio-temporal evolution patterns, a true triaxial disturbance unloading rock testing system, the acoustic emission (AE) system, and the miniature camera monitoring system were employed to conduct true triaxial graded loading tests on sandstone containing circular holes at burial depths of 800 m, 1000 m, 1200 m, 1400 m, and 1600 m. The study investigated the patterns of mechanical properties and failure characteristics of porous sandstone at different burial depths. The results showed that the peak strength of the specimens increased quadratically with increasing burial depth; the failure process of porous sandstone could be divided into four stages: the calm period, the particle ejection period, the stable failure period, and the complete collapse period; as burial depth increases, the failure mode transitions from a composite tensile–shear crack type to a shear crack-dominated type, with the ratio of shear cracks to tensile cracks exhibiting quadratic growth and reduction, respectively; the particle ejection stage is characterised by low-frequency, low-amplitude signals, corresponding to the microcrack initiation stage, while the stable failure stage exhibits a sharp increase in low-frequency, high-amplitude signals, reflecting macrocrack propagation characteristics, with the spatial evolution of their locations ultimately forming a penetrating oblique shear failure zone; and peak stress analysis indicates that as burial depth increases, peak stress during the particle ejection phase first increases and then decreases, while peak stress during the stable failure phase first decreases and then stabilises. The duration of the pre-instability calm phase shows a significant negative correlation with burial depth. The research findings provide a theoretical basis for controlling tunnel rock mass stability and disaster warning. Full article
Show Figures

Figure 1

24 pages, 7836 KB  
Article
Experimental Investigation into the Law of Rock Breaking Through the Combination of Microwave Irradiation and Cutting Tools Under Multiple Conditions
by Xiang-Xin Su, Zheng-Wei Li, Yang-Yi Zhou and Shi-Ping Li
Buildings 2025, 15(17), 3082; https://doi.org/10.3390/buildings15173082 - 28 Aug 2025
Viewed by 1017
Abstract
Microwave irradiation of rocks can reduce the strength of rocks and ease their subsequent excavation. Exploring the combination of microwave and cutting tools for rock breaking under different conditions is important to the practical engineering application of microwaves. Based on a true triaxial [...] Read more.
Microwave irradiation of rocks can reduce the strength of rocks and ease their subsequent excavation. Exploring the combination of microwave and cutting tools for rock breaking under different conditions is important to the practical engineering application of microwaves. Based on a true triaxial microwave-assisted dual-mode mechanical rock-breaking test system, high-power microwave irradiation of rocks was investigated under different true triaxial stresses, durations of microwave irradiation, and cutting tool conditions such as mechanical drilling tools and tunnel boring machine (TBM) hobs. This research provides important data support for improving the rock-breaking efficiency of mine mining and tunneling as well as mechanical cutting tools and TBM hobs. In this experiment, Chifeng basalt with a relatively high strength was adopted as the research object. A 15 kW (2.45-GHz) open high-power microwave device was used to irradiate 200 mm × 200 mm × 200 mm cubic Chifeng basalt samples under conditions of different burial depths, and a cone drill bit was used for staged excavation. After microwave irradiation of Chifeng basalt measuring 400 mm × 400 mm × 400 mm, a 4-inch (102 mm) rotary cutter was employed to conduct round-by-circle cutting and rock-breaking tests in the microwave irradiation area. The results show that under true triaxial stress, the law of rock breaking by microwave irradiation combined with cone drill bits is as follows: the cutting force shows a trend of increasing–decreasing–increasing again–decreasing again. After microwave irradiation combined with hob cutting, the effective range of the influence of the hob is within the third cutting circle, with a range of diameters of approximately 200 mm. The results also indicate that the open microwave device can pre-crack rocks under deep stress, and there is obvious crack propagation. This research has good applicability to microwave-combined cantilever road-headers and TBM as well as in the mining field, and has a promising development prospect. Full article
(This article belongs to the Section Building Materials, and Repair & Renovation)
Show Figures

Figure 1

21 pages, 8385 KB  
Article
Hydraulic Fracture Propagation Behavior in Tight Conglomerates and Field Applications
by Zhenyu Wang, Wei Xiao, Shiming Wei, Zheng Fang and Xianping Cao
Processes 2025, 13(8), 2494; https://doi.org/10.3390/pr13082494 - 7 Aug 2025
Viewed by 488
Abstract
The tight conglomerate oil reservoir in Xinjiang’s Mahu area is situated on the northwestern margin of the Junggar Basin. The reservoir comprises five stacked fan bodies, with the Triassic Baikouquan Formation serving as the primary pay zone. To delineate the study scope and [...] Read more.
The tight conglomerate oil reservoir in Xinjiang’s Mahu area is situated on the northwestern margin of the Junggar Basin. The reservoir comprises five stacked fan bodies, with the Triassic Baikouquan Formation serving as the primary pay zone. To delineate the study scope and conduct a field validation, the Ma-X well block was selected for investigation. Through triaxial compression tests and large-scale true triaxial hydraulic fracturing simulations, we analyzed the failure mechanisms of tight conglomerates and identified key factors governing hydraulic fracture propagation. The experimental results reveal several important points. (1) Gravel characteristics control failure modes: Larger gravel size and higher content increase inter-gravel stress concentration, promoting gravel crushing under confining pressure. At low-to-medium confining pressures, shear failure primarily occurs within the matrix, forming bypassing fractures around gravel particles. (2) Horizontal stress differential dominates fracture geometry: Fractures preferentially propagate as transverse fractures perpendicular to the wellbore, with stress anisotropy being the primary control factor. (3) Injection rate dictates fracture complexity: Weakly cemented interfaces in conglomerates lead to distinct fracture morphologies—low rates favor interface activation, while high rates enhance penetration through gravels. (4) Stimulation strategy impacts SRV: Multi-cluster perforations show limited effectiveness in enhancing fracture network complexity. In contrast, variable-rate fracturing significantly increases stimulated reservoir volume (SRV) compared to constant-rate methods, as evidenced by microseismic data demonstrating improved interface connectivity and broader fracture coverage. Full article
(This article belongs to the Special Issue Structure Optimization and Transport Characteristics of Porous Media)
Show Figures

Figure 1

21 pages, 5966 KB  
Article
Study on Mechanism and Constitutive Modelling of Secondary Anisotropy of Surrounding Rock of Deep Tunnels
by Kang Yi, Peilin Gong, Zhiguo Lu, Chao Su and Kaijie Duan
Symmetry 2025, 17(8), 1234; https://doi.org/10.3390/sym17081234 - 4 Aug 2025
Viewed by 469
Abstract
Crack initiation, propagation, and slippage serve as the key mesoscopic mechanisms contributing to the deterioration of deep tunnel surrounding rocks. In this study, a secondary anisotropy of deep tunnels surrounding rocks was proposed: The axial-displacement constraint of deep tunnels forces cracks in the [...] Read more.
Crack initiation, propagation, and slippage serve as the key mesoscopic mechanisms contributing to the deterioration of deep tunnel surrounding rocks. In this study, a secondary anisotropy of deep tunnels surrounding rocks was proposed: The axial-displacement constraint of deep tunnels forces cracks in the surrounding rock to initiate, propagate, and slip in planes parallel to the tunnel axial direction. These cracks have no significant effect on the axial strength of the surrounding rock but significantly reduce the tangential strength, resulting in the secondary anisotropy. First, the secondary anisotropy was verified by a hybrid stress–strain controlled true triaxial test of sandstone specimens, a CT 3D (computed tomography three-dimensional) reconstruction of a fractured sandstone specimen, a numerical simulation of heterogeneous rock specimens, and field borehole TV (television) images. Subsequently, a novel SSA (strain-softening and secondary anisotropy) constitutive model was developed to characterise the secondary anisotropy of the surrounding rock and developed using C++ into a numerical form that can be called by FLAC3D (Fast Lagrangian Analysis of Continua in 3 Dimensions). Finally, effects of secondary anisotropy on a deep tunnel surrounding rock were analysed by comparing the results calculated by the SSA model and a uniform strain-softening model. The results show that considering the secondary anisotropy, the extent of strain-softening of the surrounding rock was mitigated, particularly the axial strain-softening. Moreover, it reduced the surface displacement, plastic zone, and dissipated plastic strain energy of the surrounding rock. The proposed SSA model can precisely characterise the objectively existent secondary anisotropy, enhancing the accuracy of numerical simulations for tunnels, particularly for deep tunnels. Full article
(This article belongs to the Section Engineering and Materials)
Show Figures

Figure 1

28 pages, 11302 KB  
Article
Mechanical Response and Failure Mechanisms of Block Caving Bottom Structures Under Dynamic Conditions Induced by Slope Rockfalls
by Xinglong Feng, Guangquan Li, Zeyue Wang, Xiongpeng Zhu, Zhenggao Huang and Hang Lin
Appl. Sci. 2025, 15(12), 6867; https://doi.org/10.3390/app15126867 - 18 Jun 2025
Cited by 1 | Viewed by 702
Abstract
The stability of bottom structures in block caving mines is significantly challenged by impact loads generated from large rockfalls and ore collapses on slopes. This study aims to investigate the mechanical response and failure characteristics of bottom structures under such dynamic and cyclic [...] Read more.
The stability of bottom structures in block caving mines is significantly challenged by impact loads generated from large rockfalls and ore collapses on slopes. This study aims to investigate the mechanical response and failure characteristics of bottom structures under such dynamic and cyclic loading conditions. Discrete element methods (DEMs) were employed to simulate the impact load amplitudes caused by large rockfalls on bottom structures. Specimens with identical mechanical properties to the bottom structure were fabricated at a 1:100 scale, based on the principle of similarity ratio tests. Three distinct types of impact loads were identified and analyzed: overall impact from large-scale slope collapses, localized impact from partial rock and soil mass collapses, and continuous multiple impacts from progressive slope failures. True triaxial tests were conducted to evaluate the mechanical response of the bottom structure under these loading scenarios. The results indicate that while overall and multiple impact loads from slope collapses do not lead to catastrophic failure of the bottom structure, severe damage occurs under a 100 m thickness of ore and large block impacts. Specifically, the inner walls of ore accumulation troughs peel off, and ore pillars between troughs fracture and fail. This study highlights the need for advanced experimental and numerical approaches to accurately predict the stability and failure modes of bottom structures under complex loading conditions. Full article
(This article belongs to the Special Issue Advances and Techniques in Rock Fracture Mechanics)
Show Figures

Figure 1

14 pages, 4956 KB  
Article
Effect of Geostress Variation on Hydraulic Fracturing Behavior and Stress Redistribution in Coal Seam Roofs
by Kaikai Zhao, Peng Huang, Yufeng He, Liyin Cui, Peng Liu, Yanjun Feng, Xiaodong Sun and Shuhang Cao
Processes 2025, 13(6), 1732; https://doi.org/10.3390/pr13061732 - 1 Jun 2025
Cited by 1 | Viewed by 732
Abstract
A comprehensive understanding of hydraulic fracturing behavior and its impact on regional stress distribution under varying principal stress conditions is essential for preventing dynamic disasters. In this study, true triaxial hydraulic fracturing experiments were conducted using roof sandstone from the Mengcun coal mine. [...] Read more.
A comprehensive understanding of hydraulic fracturing behavior and its impact on regional stress distribution under varying principal stress conditions is essential for preventing dynamic disasters. In this study, true triaxial hydraulic fracturing experiments were conducted using roof sandstone from the Mengcun coal mine. The 3D structure of the hydraulic fractures was reconstructed using CT scanning and numerical simulation to elucidate the effect of intricate geostress conditions on hydraulic fracture propagation. The results indicate that the difference in maximum principal stress plays a crucial role in initiating and propagating hydraulic fractures. Specifically, a greater difference in maximum principal stress increases the likelihood of hydraulic fracture deflection. As this stress difference rises, the angle of hydraulic fracture deflection increases. Additionally, the presence of a hydraulic fracture alters the characteristics of the stress field, leading to stress concentration at the hydraulic fracture tip and stress unloading on both sides. Although the effects of injection rate and rock lithology were not considered in this study, this study remains valuable for optimizing hydraulic fracturing parameters in coal seam roofs. Full article
(This article belongs to the Topic Advances in Coal Mine Disaster Prevention Technology)
Show Figures

Figure 1

46 pages, 9978 KB  
Review
Experimental and Numerical Methods for Hydraulic Fracturing at Laboratory Scale: A Review
by Atif Ismail and Saman Azadbakht
Geosciences 2025, 15(4), 142; https://doi.org/10.3390/geosciences15040142 - 9 Apr 2025
Cited by 3 | Viewed by 2970
Abstract
Hydraulic fracturing experimentation is an essential tool for understanding the application of hydraulic fracturing in producing hydrocarbons from unconventional reservoirs. Laboratory testing methods such as uniaxial, biaxial, and true triaxial testing have limited accuracy due to the simplified consideration of in situ stresses, [...] Read more.
Hydraulic fracturing experimentation is an essential tool for understanding the application of hydraulic fracturing in producing hydrocarbons from unconventional reservoirs. Laboratory testing methods such as uniaxial, biaxial, and true triaxial testing have limited accuracy due to the simplified consideration of in situ stresses, geological conditions, and subsurface temperature variations. Despite these limitations, hydraulic fracturing experimentation provides valuable insights for the execution of hydraulic fracturing in field conditions. Key factors influencing the accuracy and generalization of experimental results include sample specifications, stress regime, saturation conditions, and fracturing fluid properties. However, extending laboratory-scale conclusions to the field scale requires appropriate scaling factors. This paper provides an overview of the main concepts in hydraulic fracture modeling, including design considerations, laboratory scaling, uniaxial, biaxial, and triaxial testing in hydraulic fracturing experimentation and major numerical simulation methodologies. Numerical methods, such as the discrete element method, discontinuous deformation analysis, rigid body spring network, and virtual internal bond, effectively simulate complex mechanisms like fracture initiation, propagation, fracture–fluid interactions, and the influence of rock microstructure, complementing the experimental findings. Advancements in these models, including the integration of nonlinear elasticity in virtual internal bonds and coupling with finite element analysis or fluid network models, continue to enhance the predictive accuracy and efficiency, particularly in complex geological settings, offering promising applications for optimizing shale gas production, acid fracturing, and geotechnical engineering. Furthermore, this review discusses the importance of in situ stresses, geological conditions, and temperature in both laboratory experiments and numerical simulations, highlighting future directions to consider in laboratory-scale analyses of hydraulic fracturing. Full article
(This article belongs to the Section Geomechanics)
Show Figures

Figure 1

Back to TopTop