Abstract
Microwave irradiation of rocks can reduce the strength of rocks and ease their subsequent excavation. Exploring the combination of microwave and cutting tools for rock breaking under different conditions is important to the practical engineering application of microwaves. Based on a true triaxial microwave-assisted dual-mode mechanical rock-breaking test system, high-power microwave irradiation of rocks was investigated under different true triaxial stresses, durations of microwave irradiation, and cutting tool conditions such as mechanical drilling tools and tunnel boring machine (TBM) hobs. This research provides important data support for improving the rock-breaking efficiency of mine mining and tunneling as well as mechanical cutting tools and TBM hobs. In this experiment, Chifeng basalt with a relatively high strength was adopted as the research object. A 15 kW (2.45-GHz) open high-power microwave device was used to irradiate 200 mm × 200 mm × 200 mm cubic Chifeng basalt samples under conditions of different burial depths, and a cone drill bit was used for staged excavation. After microwave irradiation of Chifeng basalt measuring 400 mm × 400 mm × 400 mm, a 4-inch (102 mm) rotary cutter was employed to conduct round-by-circle cutting and rock-breaking tests in the microwave irradiation area. The results show that under true triaxial stress, the law of rock breaking by microwave irradiation combined with cone drill bits is as follows: the cutting force shows a trend of increasing–decreasing–increasing again–decreasing again. After microwave irradiation combined with hob cutting, the effective range of the influence of the hob is within the third cutting circle, with a range of diameters of approximately 200 mm. The results also indicate that the open microwave device can pre-crack rocks under deep stress, and there is obvious crack propagation. This research has good applicability to microwave-combined cantilever road-headers and TBM as well as in the mining field, and has a promising development prospect.
1. Introduction
According to current research, microwave-assisted mechanical rock breaking is an auxiliary tunneling method that is pollution-free, highly efficient, and has low specific energy consumption []. The microwave-assisted mechanical cutting rock-breaking method involves using microwave energy to irradiate the surface of rocks, causing damage up to a certain distance from the surface to the interior of the rocks and reducing their strength. Pretreatment of rocks with microwaves can reduce the fracture toughness, point-load strength, uniaxial compressive strength and tensile strength of rocks, and weaken the mechanical properties thereof [,,]. Then, mechanical tools were employed for further crushing and separation. This method can be applied in the process of tunnel excavation. Studies show that after microwave irradiation on hard rock, its mechanical cutting rate (m3/h) can achieve a performance improvement of 120% [].
Satish et al. [] used an optimized combination of mechanical means and microwave energy to crush rock materials. Before adopting the mechanical crushing method, low-power microwave pulses were used to induce thermal cracks in rock samples. Kingman et al. [,,] evaluated the effects of microwave irradiation on rocks and minerals through experimental and numerical simulation studies. The greater the microwave power and the longer the irradiation time, the greater the effect on the reduction in material strength. Shepel et al. [] developed a regression analysis model using a numerical control machine tool type rock-breaking device, and established the relationship between the force acting on the conical tool (average value and maximum value) and the irradiation time ranging between 0 and 45 s, the cutting spacing (8 and 12 mm), and the distance from the initial irradiation surface (4 and 40 mm depth). The correlation coefficient ranged between 0.90 and 0.98. Hartlieb et al. [] discussed the influence of microwave irradiation pretreatment on the formation of granite cracks and subsequent mechanical cutting. The energy required for the cutting process was reduced from 50 kWh/m to 35 kWh/m. Lu et al. [,] found that different mineral components in rocks show different absorption characteristics for microwave energy, explained that the intrusion amount of tunnel boring machine (TBM) tools depends on various parameters of the equipment and the mechanical properties of the rock mass, and conducted a series of scale-reduction tests. Zheng et al. [] explored the construction of TBM tunnels from the perspective of problems, solutions and auxiliary rock-breaking methods. Feng et al. [] developed relevant experimental system equipment for microwave-combined mechanical rock breaking and mining.
Previous researchers conducted in-depth studies on TBM [], TBM tools, related testing machines, and microwave principles [,,,]. There are also cases of combining microwave with mechanical rock breaking, such as using conical drill bits to break and scrape off the rock surface after microwave irradiation, as well as cases of using TBM rotary cutters for wire cutting of basalt after microwave. The theories it employs are usually those related to rock fragmentation [,,,]. Most of the research into the former is based on the fact that microwaves are helpful for tool cutting, but no specific schemes for the adaptation and synergy between microwaves and tools have been proposed. Moreover, most of the previous studies conducted strength tests or some cutting tests on rocks after microwave irradiation without confining pressure; however, true triaxial stress affects both microwave pre-cracking and mechanical cutting. Moreover, there are relatively few studies on rock breaking by microwave irradiation combined with multiple tools under true triaxial stress. Therefore, the present work was designed to investigate the effect, law and mechanisms underpinning rock breaking by microwave irradiation combined with multiple tools under true triaxial stress.
2. Introduction to Experimental Instruments, Samples, and Testing Principles
2.1. Sample Preparation
Cubic samples measuring 200 mm × 200 mm × 200 mm and 400 mm × 400 mm × 400 mm were selected to verify the microwave irradiation of basalt under true triaxial stress and the different cutting effects of related cutting tools, and to eliminate the different effects of different rock-breaking mechanisms of various cutting tools on cutting. Table 1 lists the specific mechanical parameters of the samples. The preparation of the rock samples involved oven-drying for 48 h, then allowing them to stand at room temperature before testing.
Table 1.
Mechanical parameters of basalt.
2.2. Equipment
This experiment used a self-developed true triaxial microwave-assisted dual-mode mechanical rock-breaking test device (Figure 1) for on-site cutting of rock and mineral deposits. The system mainly consisted of a dual-mode cutting test system a, a true triaxial loading test machine b, and a microwave pre-splitting device c. It was mainly adopted to study the state of microwave-assisted mechanical cutting of rock and mineral deposits under three-dimensional stresses. The cutting and rock-breaking test device was a dual-mode mechanical equipment, with a maximum axial displacement of 100 mm and a maximum horizontal displacement of 150 mm, respectively. The maximum thrust force delivered by the cutting device oil cylinder was 500 kN. The true triaxial microwave-assisted dual-mode cutting and rock-breaking test system mainly comprised an axial rotary propulsion system; a lateral linear reciprocating propulsion system; a large-scale three-dimensional force sensing monitoring system; a cutterhead cutting adjustment system; a servo-motor control and data acquisition system; a true triaxial sample loading system; and a high-power microwave irradiation system. It can achieve microwave-combined small-diameter TBM and mechanical rock breaking for mining, horizontal synchronous rotation of drilling tools for rock breaking, as well as experimental research and corresponding accurate data monitoring of microwave-assisted rock breaking under true triaxial stresses.
Figure 1.
The true triaxial microwave-assisted dual-mode mechanical rock-breaking test system.
The main process of microwave emission is powered by a microwave power source, which generates microwaves that pass through impedance-matching regulators, waveguides, and microwave radiators before finally impinging onto the rock. The relative positions of the microwave radiator and the rock are shown in Figure 2. The distance between the microwave radiator port and the rock surface is 40 mm. The tool-cutting test was conducted immediately after microwave radiation.
Figure 2.
Composition of the microwave-irradiation system.
The microwave frequency used in this experiment was 2.45 GHz, which met industry standards, with a wavelength of 123 mm and a maximum power of 15 kW. To simulate the characteristics of microwave-combined mechanical excavation at different burial depths, after microwave irradiation, a tri-cone drill bit was used to simulate a full-section TBM for rock drilling, and the cutting force at different drilling depths, under different conditions, was investigated. The working principle of a roller drill bit is that the drill bit revolves as a whole, and each tooth rotates on its own; under the applied thrust, it repeatedly rolls and breaks rocks. This roller adopts a tri-cone drill bit (Figure 3a), to simulate the form of full-section excavation. In some pipe jacking machines and small TBMs, the drill teeth of roller bits are often used as rolling cutters. Therefore, this experimental design used three roller bits instead of full-section TBMs to test the excavation function.
Figure 3.
The test tool. (a) Tri-cone drill bit form; (b) Scale single-blade rolling cutter.
To simulate the excavation of a circular tunnel under scaled conditions, the drill bit diameter was 100 mm. To simulate TBM excavation with a diameter of 5 m, the geometric dimensions were scaled to 1:50. To elucidate the comparison of cutting forces during the cutting process, a certain penetration needed to be set to reflect the feedback of force values. High-power microwaves (0.915 GHz, 50 kW) are commonly employed in full-size TBM excavation, while laboratory experiments often use medium- to high-power microwave equipment (2.45 GHz, 15 kW). According to laboratory testing experience, the effective depth of influence of high-power microwaves (0.915 GHz, 50 kW) used for one-time irradiation ranged from 30 to 100 mm, while the effective depth of influence of medium- to high-power microwave equipment (2.45 GHz, 15 kW) was about 10–20 mm. Based on experience, under high-power microwave conditions (0.915 GHz, 50 kW), the effective depth of influence of indoor basalt was about 50–60 mm. Therefore, after conversion, the single penetration depth was set to 1.2 mm.
When testing the effective range of microwave influence, a 4-inch (102 mm) single-blade rolling cutter (Figure 2) combined with microwave irradiation was used for rock-breaking cutting tests to analyze the diversity of the experiment.
3. Experimental Plan
3.1. Rock-Breaking Test Plan of the Drill Bit
A fixed penetration method was adopted in the experiment for advancing in sequence. Based on the characteristics of advancing in a fixed oil source, the effective depth of microwave influence was 10 mm. According to the numerical experience obtained from penetrating the basalt, the single penetration step distance was set to 1.2 mm. Each sample was advanced a total of 11 times, and the total advance distance exceeded 10 mm (Figure 4), which can be used to evaluate the microwave effect.
Figure 4.
Schematic diagrams for simulations of microwave-combined mechanical layer-by-layer excavation under true triaxial stress. (a) Microwave irradiation; (b) Tool cutting.
An infrared thermal imaging device was used to monitor the instantaneous temperature rise immediately after the end of microwave irradiation, as shown in Figure 5. After microwave irradiation, the highest temperature rise on the surface of basalt is 204.1 °C, and the rock surface undergoes a certain amount of spalling.
Figure 5.
Temperature rise and fracturing of rock surface after microwave irradiation (a) Cloud image showing the temperature rise as evinced by infrared thermal imaging data (b) Spalling on the rock surface and crack propagation.
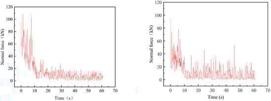
Firstly, the approximate effective range of microwave influence was verified, finely divided, and combined with complete rock penetration. As shown in Figure 4, the positive pressure of the cutting tool increased with the penetration, and the overall increase followed a power-function relationship. The sudden decrease in positive pressure near 1.3 mm was due to the impact caused by the breaking of rock particles during the tool-pressing process. Due to the effective cutting depth of 10 mm under one irradiation of 15 kW microwave energy, the number of subsequent series of experiments was set to 11. Firstly, mechanical performance tests were conducted on the tri-cone drill bit at different penetration depths before the experiment. Figure 6 depicts the normal force of the drill bit at different penetration depths.
Figure 6.
Variations in normal force on the tri-cone drill bit with the penetration depth.
According to the variations in normal force, the relationship between positive pressure F and penetration h can be fitted, thus:
Equation (1) serves as the law of the variation in normal force of a roller drill bit when facing basalt with different depths of penetration, providing a basis for setting the cutting thrust or penetration degree of the subsequent drill bit.
Different durations of microwave irradiation of rocks are important factors for studying the characteristics and economic effects of microwave fracturing. To achieve effective microwave irradiation fracture and save microwave irradiation energy, it is necessary to optimize the duration of microwave irradiation. According to the results of extensive empirical experiments, spalling and splitting of Chifeng basalt generally begin to occur gradually after 30 s of microwave irradiation, and strong and large-scale rock spalling begins around 60 s. The period from 90 s to 180 s encompasses the weakening stage of spalling. Therefore, in this experiment, the rocks can be divided into three groups: no microwave, microwave irradiation for 60 s, and microwave irradiation for 120 s.
To assess the effect of true triaxial stress on different levels of microwave irradiation, and to simulate and compare the effects of deep and shallow geostress on microwave irradiation simultaneously, the true triaxial stress was set to (σ1, σ2, σ3) = (69.528 MPa, 56.275 MPa, 48.788 MPa) and (, , ) = (12.408 MPa, 6.355 MPa, 4.628 MPa), The specific experimental methods are summarized in Table 2.
Table 2.
Test schemes for comparing high/low true triaxial stress and different durations of microwave irradiation.
To refine and verify the differences in microwave irradiation and cutting under a stress-free state and true triaxial stress, different true triaxial stresses were set at intervals of 600 m between stress (σ1, σ2, σ3) = (69.528 MPa, 56.275 MPa, 48.788 MPa) and (, , ) = (12.408 MPa, 6.355 MPa, 4.628 MPa) for testing. The sample is a 200 mm × 200 mm × 200 mm cube. The experimental parameters are listed in Table 3.
Table 3.
Multi-level true triaxial stress and microwave and cutting parameters applied in the experiment.
3.2. Rock-Breaking Test Plan of Rolling Cutters
To weaken the influence of different blade spacing on rock breaking evaluation, a uniform spacing of 30 mm and four 4-inch (102 mm) single-blade rolling cutters were adopted for individual blade testing. The diameter of the innermost rolling cutter to the fourth outermost rolling cutter is 80 mm, 140 mm, 200 mm, and 260 mm, respectively. The specific distribution is shown in Figure 7.
Figure 7.
The layout of the 4-inch (102 mm) single-blade rolling cutter disk.
4. Analysis of Experimental Results
4.1. Cutting Tools Used Under Different Microwave Irradiation Times and Stresses
Due to the fact that the initial excavation force value of the drill bit is at its maximum when a fixed penetration degree is set. This value drops sharply in a short period of time; the maximum stable operating load of the drill bit is about 80 kN based on the characteristics of the excavation force of the drill bit, according to the above drill bit test. Under the condition of fixed penetration, the cutting force at the initial rotation is the highest for each penetration depth, and then gradually decreases to a certain value. According to the curve illustrating normal force pertaining to the drill bit at different depths of penetration into Chifeng basalt, the corresponding penetration around an applied force of 80 kN is 1.2 mm. Therefore, based on the aforementioned inference, setting the penetration depth of each cycle to 1.2 mm can meet the needs of rock breaking, normal operation of the tool, and other requirements, while also satisfying the need for evaluation of the effective depth of microwave actions.
The drilling method adopted a sequential penetration of 1.2 mm into the rock surface, and then the drill bit was started. After 1 min of rotation, the monitored cutting force dropped to a relatively flat and small value, which could be ignored. Therefore, the main rock-breaking interval occurred within the first minute, and only the average normal force within the first minute was counted. As shown in Figure 8, the normal cutting force of a single fixed penetration rotary cutting for rock breaking shows an initially high jump, and the subsequent cutting force gradually decreases, but still fluctuates to a certain extent. After the first minute, the cutting force amplitude decreases. Combined with the cutting state, the vibration and cutting sound of the machine body are reduced to a low level, and the contact between the tool and the rock shows slip. Therefore, the cutting force is compared by taking the average value within the first minute.
Figure 8.
Example: range of normal cutting forces.
Under the condition of true triaxial high force (burial depths), the cutting force without microwave irradiation is higher than that of the rock after microwave irradiation before the excavation depth of 9.6 mm is reached within the same time. Compared to low-stress conditions (Figure 9), the depth of influence of microwaves under high-stress conditions is shallower. Moreover, the cutting force during the initial cutting under high-stress conditions is smaller compared to that under low stresses, indicating that the range of influence of microwave-induced cracking shifts forward under high-stress conditions.
Figure 9.
Comparison of cutting forces after microwave irradiation for different times under low stresses.
Results of microwave irradiation at 60 s and 120 s under high stresses in the true three directions, indicate that the initial cutting forces are similar. This is because at the position of the rock surface, the degree of fracturing at 60 s and 120 s is similar, indicating that under this condition, the surface layer to a depth of 1.2 mm has reached fracturing saturation by microwave irradiation at 60 s. As the excavation depth increases, the advantage of microwave irradiation for 120 s becomes prominent. Specifically, the difference in cutting force between 120 s and 60 s increases. It is not until reaching an excavation depth of 11 mm that the two reach similar values again. This law also evinces the general characteristics of microwave fracturing. The degree of fracturing decreases from the rock surface to the interior of the rock, and the cutting force decreases within the effective influence depth. However, beyond the effective zone of influence, cutting force shows no significant change.
Figure 10 illustrates that under deep high-stress conditions, an irradiation duration of 120 s reduces the cutting efficiency of the tool in rock breaking within the effective influence range, indicating that increasing the duration of microwave irradiation is beneficial for the rock-breaking performance of the tool. Under these conditions, the duration of microwave irradiation exerts little effect on the effective depth of influence on rocks.
Figure 10.
Comparison of cutting forces under different durations of microwave irradiation under high stresses.
As shown in Figure 11, after 60 s of microwave irradiation, the initial torque under deep high-stress conditions is relatively large at 2176.5 N·m. When excavating to a depth of 2.4 mm, the torque drops significantly to 446 N·m. In the subsequent continuous excavation, the torque changes relatively steadily, with a threshold fluctuating in a small range between 204.85 N·m and 413.17 N·m. Under low stresses, the initial torque is slightly higher than that in the subsequent excavation process, but the trend is not obvious. The overall trend in the torque indicates a relatively gentle change, and the torque threshold fluctuates between 195.12 N·m and 312.52 N·m, so the overall torque under high-stress conditions is higher than that under geostress conditions. Under deep high-stress conditions, the normal cutting pressure is relatively small and the torque is large, which proves that the high stress is helpful for breaking of the microwave-assisted rock surface, but not conducive to cutting of the TBM edge rolling cutter and overall support of the shield.
Figure 11.
Comparison of cutting torques under two stress conditions after 60 s of microwave irradiation.
As shown in Figure 12, after 120 s of microwave irradiation, there is no significant difference in torque between deep high-stress conditions and shallow low-stress conditions. Under high-stress conditions, the cutting torque slowly decreases from 541.95 N·m, and drops to 427.76 N·m when excavated to 2.4 mm. The subsequent torque fluctuation threshold ranges from 392.66 N·m to 415.12 N·m. Under low-stress conditions, the initial excavation torque is 337.09 N·m, which first increases to 468.52 N·m, then decreases to 426.12 N·m. The subsequent changes are also relatively gentle, with a threshold ranging between 378.46 N·m and 395.61 N·m.
Figure 12.
Comparison of cutting torques under two stresses after 120 s of microwave irradiation.
The influences of different durations of microwave irradiation were expounded thus: when the microwave was irradiated for 120 s, the cutting normal pressure under deep high stress was small, and the difference between the torque values was small. Combined with the microwave of this rock, the collapse stopped between 90 s and 120 s. Therefore, subsequent experiments used irradiation for 120 s to prove the relationship between different burial depths, cutting forces, and microwave energy.
4.2. Analysis of Microwave-Combined Mechanical Rock-Breaking Test Results at Different Burial Depths
After microwave irradiation, rock fragments were peeled off from the surface of each rock (Figure 13). When the true triaxial stress is small, the overall span of rock fracture is small. When the burial depth is shallow (i.e., the true triaxial stress is small), the irradiation surface is mainly concentrated near the center of microwave irradiation for fracture. As the burial depth increases, the peeling area of the irradiation surface gradually enlarges. Especially when the burial depth exceeds 1400 m, the peeling area expands significantly. From the microwave-induced fracturing effect, it can be seen that the true triaxial stress grows with the increase in the burial depth, promoting the rock-breaking effect on the surface. It can also be considered that as the stress difference (σ1 − σ3, σ1 − σ2) increases, microwaves promote the peeling of the rock surface.
Figure 13.
Microwave irradiation-induced cracking effects at different burial depths. (a) 2600 m; (b) 2000 m; (c) 1400 m; (d) 800 m; (e) 200 m.
As shown in Figure 14, each rock is drilled at the center, with a temperature rise of about 200 °C. During the initial excavation of the drill bit, the front section of the drill bit is uniformly pressed against the blasting pit, and the position of the blasting pit subject to this pressure at this time is considered as the rock surface during the initial excavation stage. Through the monitoring of drill-bit excavation, in the initial excavation stage, the normal force acting on the drill bit fluctuates greatly, gradually stabilizes, and finally decreases albeit while undergoing slight fluctuations around zero. After microwave irradiation in each group of rocks, the drill bit is drilled and cut, and the initial cutting position is based on the tool contacting and pressing against the free face of the sample. Due to the characteristic of microwave-assisted mechanical rock breaking, which is the initial condition of rock surface breaking caused by microwaves, the initial cutting position of subsequent experiments, including single rolling cutters and integral cutter heads, is taken as the initial position when the tool comes into contact with the rock. The tool-cutting process was then conducted on all rocks after microwave irradiation.
Figure 14.
Cutting effect at different burial depths.
According to Figure 15, as the burial depth increases, the overall normal force of rock breaking tends to increase, and the cutting force on each group of rocks also increases with increasing excavation depth. At a burial depth of 200 m, the average cutting force on each section without microwave cutting is higher than that under corresponding microwave irradiation conditions. Moreover, when the cutting depth is 12 mm to 13.2 mm, the cutting force without microwave overlaps that needed at 2600 m and 2000 m. Therefore, it can also be proved that, beyond the cutting depth of 13.2 mm, it represents, or may be classified as, the original rock zone, and the influence of microwave irradiation is relatively small.
Figure 15.
Comparison of average cutting force values for different segmented excavation depths.
The distribution pattern of microwave-combined mechanical rock breaking under overall conditions was analyzed, as shown in Figure 16. Simulation experiments from a burial depth of 200 m to a burial depth of 2600 m showed that the cutting force was 10.76 kN at 200 m, followed by an increase in the average normal force cutting force to 13.59 kN at 800 m, and then a decrease in cutting force compared to 800 m, reaching 12.84 kN at 1400 m, and then an increment of cutting force again, reaching 16.98 kN at 2000 m. According to the fitted curve, the cutting force peaked at about 17.50 kN at 2150 m and then decreased again, reaching 16.37 kN at 2600 m. Therefore, in the experiment, the overall cutting force showed an increasing trend. There is a fluctuating trend between different stages: in particular, between a burial depth of 800 m and 2600 m, there are frequent fluctuations, during which the driving force of the tunneling machine can be adjusted accordingly with the burial depth. In the absence of microwave irradiation, the changes in cutting force tend to be similar to those under microwave irradiation.
Figure 16.
Comparison of average cutting forces at different burial depths.
4.3. Experimental Investigation of Microwave-Combined Single Roller Rotary Cutting
Research involving microwave irradiation combined with TBM rolling cutter rotation is another important link used when analyzing the mechanism and law of rock breaking under the combination of microwave irradiation and rolling cutters. Using rolling cutters to cut with different rotation diameters near the center of microwave irradiation helps to analyze the effective range of circumferential influence of such irradiation and plays an important role in influencing the cutting force or cutting efficiency of rolling cutters.
As shown in Figure 17, a 4-inch (102 mm) single-blade rolling cutter was used to gradually cut and roll the microwave irradiation area after microwave irradiation. Considering that the rolling cutter has already cut the microwave irradiation center point during linear cutting, and the high-temperature zone in the center area of microwave irradiation has a certain area, the cutting ring during rotary cutting cannot pass through the center of microwave irradiation. Therefore, the cutting radius of the rolling cutter was set to 40 mm, 70 mm, 100 mm, and 130 mm, respectively. By using a single rolling cutter to roll in the center of microwave irradiation, the cutting force near the center of microwave irradiation could be analyzed to ascertain whether the cutting force and shape are consistent, and the degree of microwave-induced damage to rocks in different ranges (widths) before and after microwave irradiation can be judged by the pushing efficiency. The setting of the cutting path and radius refers to the high-temperature area on the rock surface. To eliminate the difference in total cutting distance caused by different cutting paths of the rolling cutter, it is necessary to convert the total cutting path of the rolling cutter into a corresponding cutting time according to different cutting radii. The cutting time of the inner ring must be greater than that of the outer ring to equalize the total cutting distance both inside and outside. Under the equidistant conditions, the cutting force and cutting depth at different distances from the center of microwave irradiation should be compared. To verify the issue of increased energy required during the cutting process of microwave-irradiated tools under stress-free conditions, a 4-inch (102 mm) single-blade rolling cutter was adopted to cut the area around the microwave-irradiated high-temperature ring from the inside out in a step-by-step manner.
Figure 17.
Radial cutting from inside to outside with and without microwave irradiation.
The basalt samples were cut without, and after, microwave treatment from the inside to the outside, with an initial pressure of the cutting oil source set to 20 kN and a cutting spacing of 30 mm. The diameters from the innermost to the outermost circle are 80 mm, 140 mm, 200 mm, and 260 mm, respectively. The captured infrared cloud map indicates that the diameter of the temperature zone above 104.7 °C is about 140 mm, meaning the diameter of the basalt rock flakes peeling off is about 140 mm. From the perspective of cutting depth, the rock without microwave has the deepest inner ring depth and the shallowest outer ring depth. This is due to the different rolling and lateral forces experienced by the rolling cutters of the inner and outer rings. The cutting depth of the rock after microwave irradiation is higher from the inner to the outer ring than that without microwave irradiation. Comparing the cutting effect and monitoring parameters with and without microwave irradiation, microwave energy is found to have a more obvious auxiliary effect on cutting, and the auxiliary function is stronger with increasing proximity to the center of the cut.
The single-blade cutting test can not only verify the effect of microwaves on rock pre-cracking, but also validate the range of microwave action. If the axial force applied in each rolling cutter cutting (hereinafter referred to as the first to fourth cutters from the inside out) is analyzed, it can be found that the vibration amplitude of the cutting force of the first cutter is small due to the small radius of rotation. The rolling cutter repeatedly crushes the rock surface, forming shallow grooves, but at this time, it is not in a rock-breaking state. When the rolling cutter ring rolls forward to break the rock, it will encounter rock particles or mineral particles, which together form a rock-breaking point. That is, the rolling cutter cuts off these points with a relatively high strength and hardness, and then completes a rock-breaking action. The corresponding force value will also fluctuate. At the same time, when the rock pieces or small particles in the direction of rolling force and lateral force are cut off, rolling occurs. The force will also reduce accordingly, so the upper and lower threshold values of the axial force monitored are set as the rock-breaking force threshold for the rock surface; that is, forces greater or less than this threshold range are all in a rock-breaking state. The first cutting threshold is [13.09, 33.42], with critical values of 13.09 kN and 33.42 kN, respectively. Therefore, force values below 13.09 kN and above 33.42 kN are both rock-breaking forces, while forces outside this range are in a rock-breaking state. Applying this threshold to the analysis of rock-cutting values without and with microwave irradiation, it can be found that there are more rock-cutting points after microwave treatment, and the rock breaking is more intense in the initial stage of cutting. The rock-breaking force then gradually decreases, indicating that the cutting effect gradually decreases as it advances into the rock. At about 140 s, the cutting force drops below the threshold, and after about 150 s, the cutting gradually increases again, reaching the value of the initial rock-breaking force. After 250 s, the amplitude of the rock-breaking force value is not large and tends to stabilize.
- (1)
- The first circle cutting (Figure 18)
Figure 18. Comparison of true triaxial stress cutting forces of cutting ring with and without microwave hobs. (a) Normal force after microwave irradiation; (b) Normal force with no microwave irradiation; (c) Rolling force after microwave irradiation; (d) Normal force with no microwave irradiation; (e) Side force after microwave irradiation; (f) Side force without microwave irradiation.
The amplitude of three-dimensional force fluctuations before microwave irradiation is larger, forming a more apparent contrast with that after microwave irradiation. From the frequency of force fluctuation, the vibration is more concentrated after microwave irradiation, and the vibration is more dispersed when no microwave irradiation occurs, which is unfavorable for the performance of the rolling cutter. Therefore, the effect of microwaves is more apparent near the center of microwave irradiation.
- (2)
- Second cutting ring (Figure 19)
Figure 19. Comparison of three-way cutting forces of second cutting ring with and without microwave hobs (a) Normal force after microwave irradiation (b) Normal force without microwave irradiation (c) Rolling force after microwave irradiation (d) Normal force without microwave irradiation (e) Lateral force after microwave irradiation (f) Lateral force without microwave irradiation.
The normal force after microwave irradiation more significantly increases in amplitude compared to that without microwave irradiation, but the amplitude of the increase is smaller than that of the first cutting ring, indicating that microwave irradiation exerts a smaller influence on the second cutting ring than on the first cutting ring. However, the rolling force and lateral force still significantly fluctuate after microwave irradiation, and the amplitude of such changes is similar to those of the first cutting ring. In addition, the influence of microwave irradiation on the lateral force and rolling force of the second cutting ring is greater than that of the normal force, indicating that the range of influence of microwave energy in the width (areal) direction is larger than that in the longitudinal (depth) direction. This suggests that the failure induced by microwave irradiation entails surface cracking rather than deep cracking.
- (3)
- Third cutting ring (Figure 20)

Figure 20. Comparison of three-way cutting forces on the third cutting ring with and without microwave hobs (a) Normal force after microwave irradiation (b) Normal force without microwave irradiation (c) Rolling force after microwave irradiation (d) Normal force without microwave irradiation (e) Lateral force after microwave irradiation (f) Lateral force without microwave irradiation.
The cutting of rocks without microwave irradiation in the third cutting process showed rock breaking from beginning to end, and values below and above the threshold range exhibited a relatively uniform distribution. However, rocks irradiated with microwaves also had situations outside the threshold range from beginning to end. The cutting force of the two only fluctuated in an orderly manner around the average value and the maximum value above and below the threshold throughout the entire process. Combined with the cutting effect, it can be found that the change in force exerted on the rock with and without microwave irradiation in the third cutting circle of the third cutting is insignificant, as is the difference in the distribution of force around the threshold value between the two. In terms of cutting effect, neither of them has a good cutting effect. Therefore, the difference in the influence of microwave action on the third cutting circle is insignificant. The depth of cutting penetration varies, indicating that the influence of microwave irradiation has been greatly weakened within the range of the third cutting ring.
- (4)
- Fourth cutting ring (Figure 21)

Figure 21. Comparison of three-way cutting forces of the fourth cutting ring with and without microwave hobs. (a) Normal force after microwave irradiation; (b) Normal force without microwave irradiation; (c) Rolling force after microwave irradiation; (d) Normal force without microwave irradiation; (e) Lateral force after microwave irradiation; (f) Lateral force without microwave irradiation.
The situation of the fourth cutting ring is similar to that of the third cutting ring. At this time, the rolling cutter is located at the outermost ring, and under the same angular velocity, the outer ring has the highest linear velocity and the rolling distance of the rolling cutter is the largest. The two groups of rocks on this cutting path exhibit similar cutting effects, and the axial force fluctuates similarly around the upper and lower threshold values. This finding shows that the further from the center of microwave irradiation, the smaller the influence thereof.
Therefore, comprehensive cutting tests were conducted on the surrounding area of the high-temperature zone caused by microwave irradiation to demonstrate the properties of the microwave cracking zone in various directions, and to prove whether microwave irradiation in various directions has specificity and discreteness. Figure 22 shows the cloud map illustrating the high-temperature region of microwave waveguide irradiation.
Figure 22.
Comparison of excavation depths at different positions of rotary cutting before and after microwave irradiation. (a) Microwave irradiation; (b) No microwave irradiation.
According to the experimental results (Figure 23), the diametral range of the microwave-induced high-temperature area (≥150 °C) is about 150 mm, and the diametral range of the microwave-induced high-temperature area (≥100 °C) is about 200 mm under the respective prevailing conditions. There is significant rock peeling after cutting in the middle of the area under microwave irradiation. The cutting effect on the rock surface under microwave conditions is relatively complete, only forming a series of concentric rings. There is only a small amount of rock debris peeling on both sides of the cut, and the degree of rock debris peeling on both sides of the inner and outer rings is similar. The cutting and excavation depth of the rock surface after microwave irradiation is significantly increased on the first and second rings. At radii of 100 mm and 130 mm, the microwave irradiation effect is similar to the excavation depth without microwave irradiation. This means that the microwave irradiation effect is more significant within the radius of 100 mm, and insignificant beyond that.
Figure 23.
Comparison of the cutting depth of each cutting ring with and without microwave irradiation.
5. Discussion
Microwave irradiation over different durations while under high-low true triaxial stress was investigated by using tri-cone drill bits and 200 mm × 200 mm × 200 mm rock samples to enhance stability during the testing process. In future research, different sizes of cutting tools and numerical simulations will be combined more comprehensively to verify and optimize the results. The experiments showed that increasing the duration of microwave irradiation appropriately can help to reduce the rotation torque of the tool, but microwave irradiation reaches a certain saturation; that is, after a certain time, the ability of microwave fracturing weakens or even vanishes. Although the microwave-saturation duration varies for each type of rock, the overall trend is similar. The use of microwave irradiation combined with mechanical cutting experiments at different burial depths has demonstrated the trend in the distribution of rock-breaking force at different burial depths. After microwave irradiation, the strength of the rock decreases, and from an intensity perspective, the rock adopts a different structure despite its unchanged composition. After all rocks are exposed to microwave irradiation, their strength decreases under the same conditions. Therefore, the tests reflect both the patterns after microwave irradiation and the excavation trend at different depths without exposure thereto.
The cracks generated by microwave irradiation on rocks diffuse outward from the central irradiation site, resulting in a higher density of cracks at the central position. Therefore, when cutting with a roller drill bit, the initial excavation speed is very fast, and later, excavation becomes more difficult due to the increasing crack density.
The difference between the microwave irradiation results under true triaxial stress and no stress is that true triaxial stress causes cracks in rocks irradiated with the same microwave power to move forward towards the irradiated surface, leading to a relative increase in the crack density on the irradiated surface, which inevitably promotes the progress of cutting. The changes in the rock after microwave irradiation under true triaxial stress are more pronounced, resulting in significant changes in the cutting effect. The range of microwave irradiation should match the size of the chosen cutting tool. This can also be observed from the specific cutting rate. The influence of true triaxial stress on the collaborative or small-scale cutting of double rolling cutters is relatively small, and the changes in excavation progress or efficiency are insignificant. The difference can only be seen from the cutting-specific energy demand; however, a state of true triaxial stress exerts a significant influence on the results of microwave-assisted rock fragmentation, which directly affects the results thereof under stress-free and deep-stress conditions.
The tri-cone drill bit is mainly utilized to simulate the cutting tools in small tunneling machines for rock breaking, and can simulate functions such as mining, tunnel excavation, and oil-well drilling. The main consideration for dividing rock samples into two specifications is to increase the gradient values at different burial depths to make the results more convincing. Small sized samples can be subjected to greater stresses, making the experimental results more comprehensive.
The cutting tests at different positions of a single rolling cutter were conducted to verify the efficacy of microwaves on the fracturing range, and to analyze the trend in fluctuation of the cutting force at different distances from the center of microwave irradiation. This finding provides a research basis for the implementation of microwave-combined mechanical rock breaking and the use of microwave energy mounted on coal mine boring machines, cantilever boring machines, and TBMs. The combination of drill bits and rolling cutters can evaluate the effective range of microwave-induced fracturing in terms of breadth and depth. Considering the spatial limitations of rolling cutter rotation, larger rock samples were selected for rolling cutter testing. In subsequent research, experiments and numerical simulations will be combined to demonstrate the law of rock breaking under the combination of microwave irradiation and rolling cutter under different stresses.
This article focuses on the specific degree of mechanical rock breaking promoted by microwave pre-splitting, and describes research into microwave-assisted mechanical tunneling machines such as cantilever tunneling machines, TBMs, and other mining equipment. The main focus is on the practical research direction of a new type of auxiliary rock-breaking method.
6. Conclusions
(1) Microwave radiation (inducing pre-splitting) can improve the efficiency of mechanical rock breaking, therefore, microwave-assisted mechanical rock breaking methods have a certain feasibility. Conclusion of testing under different durations of microwave irradiation and high and low stresses shows that: based on a duration of irradiation of 120 s, the microwave-induced cracking of this basalt has reached saturation. Preliminary conclusions can be drawn from the test results, indicating that under shallow low-stress conditions, high-power short-term irradiation rupture can be used; under deep burial and high stresses, increasing the duration of microwave irradiation can enhance the effect of such assistance; from the perspective of torque analysis, under microwave irradiation for 60 s, the cutting torque under high stresses is greater. Under microwave irradiation for 120 s, the cutting torque under the two stress regimes is similar, indicating that the effect of microwave-induced cracking is more significant under high stresses.
(2) Experimental verification of microwave-assisted mechanical rock breaking under different true triaxial stresses revealed the distribution of mechanical cutting force under different burial depths. The pattern of the cutting force increasing first, then decreasing, then increasing again, and then decreasing again was obtained.
(3) For Chifeng basalt, through testing with a single blade per circle, a temperature of 104 °C can be set as delineating the effective high-temperature range within the same duration of irradiation. Within this range, the physical properties of basalt significantly change. According to the changes in the cutting force values and excavation rate, the rock damage at the center of irradiation is the greatest, and the outward destructive power gradually decreases: the effective diametral range of influence of the microwave energy is therefore 150 mm to 200 mm. According to the results obtained from the drill bit, the effective depth of influence in Chifeng basalt under stress-free conditions is about 12 mm. The effective influence range of this microwave provides a basis for the practical application of microwave engineering.
Author Contributions
Conceptualization, Z.-W.L.; methodology, Y.-Y.Z.; validation, S.-P.L.; formal analysis, X.-X.S.; resources, Z.-W.L.; data curation, X.-X.S.; writing—original draft preparation, X.-X.S.; writing—review and editing, X.-X.S. All authors have read and agreed to the published version of the manuscript.
Funding
This research was funded by the National Key Research and Development Program of China (No.2023YFC2907202) and the National Natural Science Foundation of China (Grant No. 52404116).
Institutional Review Board Statement
Compliance with Ethical Standards.
Data Availability Statement
Data is contained within the article: The original contributions presented in this study are included in the article. Further inquiries can be directed to the corresponding author.
Acknowledgments
This research was funded by the National Key Research and Development Program of China (No.2023YFC2907202) and the National Natural Science Foundation of China (Grant No. 52404116). The authors are also grateful to Rui Kong, Jun Zhao, Xinyue Wang, for their valuable academic discussions and generous assistance with the laboratory tests. The authors would also like to thank the journal editor and anonymous reviewers for their valuable suggestions.
Conflicts of Interest
The authors declare that they have no conflicts of interest.
Correction Statement
This article has been republished with a minor correction to the Data Availability Statement. This change does not affect the scientific content of the article.
References
- Feng, X.T.; Li, S.P.; Yang, C.X. The Influence of the Rotary Speed of a Microwave Applicator on Hard-Rock Fracturing Effect. Rock Mech. Rock Eng. 2022, 55, 6963–6979. [Google Scholar] [CrossRef]
- Yuan, Y.; Zhao, S. Analysis of Microwave-Induced Damage in Granite Aggregates Influenced by Mineral Texture. Buildings 2024, 14, 26. [Google Scholar] [CrossRef]
- Nekoovaght, P.M. Physical and Mechanical Properties of Rocks Exposed to Microwave Irradiation: Potential Application to Tunnel Boring. Ph.D. Thesis, Department of Mining and Materials, McGill University, Montreal, QC, Canada, 2015. [Google Scholar]
- Zou, C.; Quan, X.; Ma, Z.; Zheng, Y.; Zhao, X.; Li, J.; Zhao, J. Dynamic Strength and Indentation Hardness of a Hard Rock Treated by Microwave and the Influence on Excavation Rate. Rock Mech. Rock Eng. 2023, 56, 4535–4555. [Google Scholar] [CrossRef]
- Hartlieb, P.; Bock, S. Theoretical Investigations on the Influence of Artificially Altered Rock Mass Properties on Mechanical Excavation. Rock Mech. Rock Eng. 2018, 51, 801–809. [Google Scholar] [CrossRef]
- Satish, H.; Ouellet, J.; Raghavan, V. Investigating microwave assisted rock breakage for possible space mining applications. Min. Technol. 2013, 115, 34–40. [Google Scholar] [CrossRef]
- Kingman, S.W.; Jackson, K.; Bradshaw, S.M.; Rowson, N.A.; Greenwood, R. An investigation into the influence of microwave treatment on mineral ore comminution. Powder Technol. 2004, 146, 176–184. [Google Scholar] [CrossRef]
- Kingman, S.W.; Rowson, N.A. Microwave treatment of minerals-a review. Miner. Eng. 1998, 11, 1081–1087. [Google Scholar] [CrossRef]
- Kingman, S.W.; Jackson, K.; Cumbane, A.; Bradshaw, S.; Rowson, N.; Greenwood, R. Recent developments in microwave-assisted comminution. Int. J. Miner. Process. 2004, 74, 71–83. [Google Scholar] [CrossRef]
- Shepel, T.; Grafe, B.; Hartlieb, P.; Drebenstedt, C.; Malovyk, A. Evaluation of cutting forces in granite treated with microwaves on the basis of multiple linear regression analysis. Int. J. Rock Mech. Min. 2018, 107, 69–74. [Google Scholar] [CrossRef]
- Hartlieb, P.; Grafe, B.; Shepel, T.; Malovyk, A.; Akbari, B. Experimental study on artificially induced crack patterns and their consequences on mechanical excavation processes. Int. J. Rock Mech. Min. 2017, 100, 160–169. [Google Scholar] [CrossRef]
- Lu, G.M.; Feng, X.T.; Li, Y.H.; Zhang, X.W. Influence of microwave treatment on mechanical behaviour of compact basalts under different confining pressures. J. Rock Mech. Geotech. 2020, 12, 213–222. [Google Scholar] [CrossRef]
- Lu, G.; Ding, C.; Zhou, J.; Liu, H.; Liu, C. Influences of Microwave Irradiation on Rock-breaking Efficiency of a Reduced-Scale TBM Cutter. Appl. Sci. 2023, 13, 4713. [Google Scholar] [CrossRef]
- Zheng, Y.L.; He, L. TBM tunneling in extremely hard and abrasive rocks: Problems, solutions and assisting methods. J. Central South Univ. 2021, 28, 454–480. [Google Scholar] [CrossRef]
- Feng, X.-T.; Su, X.-X.; Yang, C.-X.; Lin, F.; Li, S.-P.; Zhang, J.-Y.; Tong, T.-Y. A Test System for Microwave-Assisted Dual-Mode Mechanical Cutting of Hard Rock Under True Triaxial Compression. Rock Mech. Rock Eng. 2024, 57, 5763–5782. [Google Scholar] [CrossRef]
- Liu, J.; He, T.; Peng, X.; Pan, Y. Evaluation of TBM Cutter Wear in Granite and Developing a Cutter Life Prediction Model for Face Cutters Based on Field Data: A Case Study. Buildings 2024, 14, 2453. [Google Scholar] [CrossRef]
- Zhao, J.L.; Zhu, X.Y.; Jiang, S. Rock Adaptability of TBM Variable Cross-section Cutter Ring Based on Finite Element Simulation. Rock Mech. Rock Eng. 2023, 56, 3621–3639. [Google Scholar] [CrossRef]
- Shang, X.; Zhou, J.; Liu, F.; Shen, J.; Liao, X. A peridynamics study for the free-surface-assisted rock fragmentation caused by TBM disc cutters. Comput. Geotech. 2023, 158, 105380. [Google Scholar] [CrossRef]
- Liu, B.; Yang, H.; Wang, G.; Gao, H.; Ren, J. Prediction of Disc Cutter Wear Considering the Argillization Effect. Int. J. Geomech. 2023, 23, 13. [Google Scholar] [CrossRef]
- Zhang, H.; Xia, M.; Huang, F.; Zhang, Z. Research on Rock-Breaking Characteristics of Cutters and Matching of Cutter Spacing and Penetration for Tunnel Boring Machine. Buildings 2024, 14, 1757. [Google Scholar] [CrossRef]
- Li, X.; Wang, S.; Xu, Y.; Yao, W.; Xia, K.; Lu, G. Effect of microwave irradiation on dynamic mode-I fracture parameters of Barre granite. Eng. Fract. Mech. 2019, 224, 106748. [Google Scholar] [CrossRef]
- Rui, F.; Zhao, G.-F.; Zheng, Y.; Gong, Q.; Zhao, X. Electromagnetic-thermo-mechanical coupled modelling of microwave-assisted TBM disc cutting. Tunn. Undergr. Space Technol. 2023, 138, 105171. [Google Scholar] [CrossRef]
- Kargl, H. Technical development of hard rock cutting. In Proceedings of the International Symposium on Mechanical Hard Rock Excavation, Leoben, Austria, 13–14 September 2016; pp. 11–12. [Google Scholar]
- Li, X.; Tiryaki, B.; Cleary, P. Hard rock cutting with Smartcut Technology. In Proceedings of the 22nd World Mining Congress and Expo, Istanbul, Turkey, 11–16 September 2011; pp. 726–732. [Google Scholar]
Disclaimer/Publisher’s Note: The statements, opinions and data contained in all publications are solely those of the individual author(s) and contributor(s) and not of MDPI and/or the editor(s). MDPI and/or the editor(s) disclaim responsibility for any injury to people or property resulting from any ideas, methods, instructions or products referred to in the content. |
© 2025 by the authors. Licensee MDPI, Basel, Switzerland. This article is an open access article distributed under the terms and conditions of the Creative Commons Attribution (CC BY) license (https://creativecommons.org/licenses/by/4.0/).