Sign in to use this feature.

Years

Between: -

Subjects

remove_circle_outline
remove_circle_outline
remove_circle_outline
remove_circle_outline
remove_circle_outline
remove_circle_outline
remove_circle_outline
remove_circle_outline

Journals

Article Types

Countries / Regions

Search Results (94)

Search Parameters:
Keywords = thousand flower

Order results
Result details
Results per page
Select all
Export citation of selected articles as:
14 pages, 841 KB  
Article
Genetic Origin of AHAS2 Genes in Brassica Allotetraploids and Association of Its Orthologs with Agronomic Traits in B. napus
by Yani Zhang, Yaxing Yang, Qiaofeng Xie, Tao Chen, Ziyue Hong, Zhaoxin Hu and Shengwu Hu
Plants 2026, 15(7), 1126; https://doi.org/10.3390/plants15071126 - 7 Apr 2026
Viewed by 281
Abstract
Acetohydroxy acid synthase (AHAS) are key targets for herbicide resistance breeding in Brassica crops, yet the evolutionary origin and functional role of AHAS2 genes in Brassica napus (AACC) and B. carinata (BBCC) remain poorly understood. Here, we investigated the distribution, ancestry, and agronomic [...] Read more.
Acetohydroxy acid synthase (AHAS) are key targets for herbicide resistance breeding in Brassica crops, yet the evolutionary origin and functional role of AHAS2 genes in Brassica napus (AACC) and B. carinata (BBCC) remain poorly understood. Here, we investigated the distribution, ancestry, and agronomic trait associations of AHAS2 across 227 accessions representing six Brassica species. Bra.AHAS2 was amplified in 21 of 42 B. rapa (AA) accessions, and Bol.AHAS2 in 10 of 15 B. oleracea (CC) accessions. In B. napus, BnaA.AHAS2 and BnaC.AHAS2 were amplified in 73/131 and 30/131 accessions, respectively, with 19 accessions showing amplification of both homologs. All seven B. carinata accessions amplified BcaC.AHAS2. No AHAS2 homologs were amplified in three B. nigra (BB) or 29 B. juncea (AABB) accessions. Phylogenetic and gene structure analyses revealed that BnaA.AHAS2 (in B. napus) originated from Bra.AHAS2 of B. rapa, whereas BnaC.AHAS2 (in B. napus) and BcaC.AHAS2 (in B. carinata) derived from Bol.AHAS2 of B. oleracea. Association analysis showed the amplification of BnaA.AHAS2 or BnaC.AHAS2 was not associated with tribenuron-methyl resistance. However, amplification of BnaA.AHAS2 was significantly associated with reduced plant height, branching height, silique number on the terminal raceme, seed yield per plant, and thousand-seed weight in B. napus. Furthermore, haplotypes of BnaA.AHAS2 (BnaA05g03070D) were significantly associated with eicosenoic acid content, oleic acid content, flowering time, and cadmium translocation. Collectively, these findings resolve the diploid progenitor origins of AHAS2 in Brassica allotetraploids and reveal previously unrecognized associations of AHAS2 with agronomic and stress-related traits, offering valuable insights for molecular breeding in oilseed Brassica crops. Full article
(This article belongs to the Section Plant Genetics, Genomics and Biotechnology)
Show Figures

Figure 1

32 pages, 7640 KB  
Article
Phenotypic and Agronomic Evaluation of a Winter Barley Genotype Panel for Breeding Programs
by Liliana Vasilescu, Eugen-Iulian Petcu, Vasile Silviu Vasilescu, Alexandrina Sîrbu, Leon Muntean and Andreea D. Ona
Agronomy 2026, 16(6), 667; https://doi.org/10.3390/agronomy16060667 - 21 Mar 2026
Viewed by 432
Abstract
Barley remains the fourth most cultivated cereal crop worldwide and is valued for its versatility in malting and brewing, animal feed, human nutrition, and dietary supplements. The identification of genotypes suitable for breeding or specific end-use applications requires multi-environment testing to evaluate agronomic [...] Read more.
Barley remains the fourth most cultivated cereal crop worldwide and is valued for its versatility in malting and brewing, animal feed, human nutrition, and dietary supplements. The identification of genotypes suitable for breeding or specific end-use applications requires multi-environment testing to evaluate agronomic performance, grain quality, and trait stability. In this study, a panel of 50 winter barley genotypes (two-row and six-row) originating from diverse genetic backgrounds was evaluated over three growing seasons (2021–2023) under the environmental conditions of southeastern Romania. Seven traits were analyzed, including three phenological traits (heading time, flowering time and plant height), grain yield, and three quality parameters (thousand-grain weight, protein content, and starch content). Environmental conditions had a strong influence on phenological development and grain yield, whereas grain quality traits showed relatively greater stability, indicating a stronger genetic control. Multivariate analyses (Principal Component Analysis (PCA) and Genotype plus Genotype-by-Environment interaction biplot (GGE biplots)) revealed clear relationships among traits and highlighted contrasting adaptive strategies between the two barley types. In two-row barley, genotypes such as Idra and Sandra combined favorable yield performance with stable grain quality traits and therefore represent promising candidates for breeding programs and large-scale cultivation. In six-row barley, SU-Ellen and LG Zebra showed high productivity and strong starch accumulation, making them valuable genetic resources for yield-oriented breeding, although further improvement in nitrogen use efficiency may be beneficial. The 2022–2023 growing season represented the most restrictive environment, emphasizing the importance of stability under stress conditions. Genotypes located close to the Average Environment Coordination axis (AEC axis) during that season, such as Ametist (six-row) and Lardeya (two-row), may represent promising material for breeding programs targeting drought resilience. Overall, the results expand the phenotypic characterization of winter barley germplasm and identify valuable genetic resources that can support pre-breeding efforts and the development of climate-resilient barley cultivars. Full article
Show Figures

Figure 1

18 pages, 3602 KB  
Article
Foliar Application of TiO2 Alleviates the Adverse Effects of Late Sowing by Optimizing Photosynthetic Physiology, Yield, and Quality in Wheat
by Wenqiang Tian, Meilin Hu, Shan Yu, Jun Zhang, Xuehui Wang, Guangzhou Chen, Weijun Yang, Shubing Shi, Jianhua Wang and Jinshan Zhang
Plants 2026, 15(5), 840; https://doi.org/10.3390/plants15050840 - 9 Mar 2026
Viewed by 372
Abstract
Late-sown wheat, which misses the optimal photoperiod and temperature for growth, suffers irreversible losses in both grain number per spike and thousand-grain weight, resulting in severe yield reductions. To this end, a two-year field experiment was conducted to evaluate the effects of application [...] Read more.
Late-sown wheat, which misses the optimal photoperiod and temperature for growth, suffers irreversible losses in both grain number per spike and thousand-grain weight, resulting in severe yield reductions. To this end, a two-year field experiment was conducted to evaluate the effects of application timing (S1 at the booting stage and S2 at the flowering stage) and concentration (T0 = 0 μmol L–1, T1 = 376 μmol L–1, T2 = 501 μmol L–1, T3 = 626 μmol L–1) on the photosynthetic physiology, grain number per spike, thousand-grain weight, and quality of late-sown wheat, aiming to elucidate the mechanism by which TiO2 enhances the yield quality–efficiency relationship in wheat. The results showed that the foliar application of TiO2 significantly enhanced the accumulation of photosynthetic pigments (SPAD) and spectroscopic indices (CHI, PRI) in wheat flag leaves, markedly improved the net photosynthetic rate, and increased the activities of antioxidant enzymes (SOD, POD) while reducing the accumulation of membrane lipid peroxidation products (MDA), with the T2 treatment exhibiting the most pronounced effect. Foliar application of TiO2 at the S1 stage significantly increased the number of florets and spikelets, improved grain setting rates, and consequently boosted the grain number per spike. Application of TiO2 during the S2 stage significantly enhanced grain filling rates, thereby increasing thousand-grain weight and achieving yield improvement. T2 demonstrated optimal performance under both conditions, enhancing grain storage capacity and morphological traits. This approach not only increased late-sown wheat yields but also improved grain quality indicators such as protein content, wet gluten, and sedimentation value. Therefore, applying 501 μmol L–1 (T2) TiO2 during the booting stage (S1) appears to be effective for achieving high yields and superior quality in late-sown wheat. Full article
(This article belongs to the Section Crop Physiology and Crop Production)
Show Figures

Figure 1

24 pages, 2936 KB  
Article
Coordinated Antioxidant and Physiological Responses at Flowering Promote Yield Stability in Salinity-Stressed Barley Genotypes
by Faiza Boussora, Sihem Ben Ali, Tebra Triki, Amna Ghanmi, Mohamed Bagues, Ali Ferchichi and Ferdaous Guasmi
Int. J. Mol. Sci. 2026, 27(5), 2454; https://doi.org/10.3390/ijms27052454 - 7 Mar 2026
Viewed by 410
Abstract
Salinity stress severely limits barley production by disrupting physiological and biochemical processes critical for growth and yield. Although numerous studies have examined individual physiological or antioxidant responses to salinity, an integrated multivariate understanding of how these mechanisms collectively contribute to yield stability at [...] Read more.
Salinity stress severely limits barley production by disrupting physiological and biochemical processes critical for growth and yield. Although numerous studies have examined individual physiological or antioxidant responses to salinity, an integrated multivariate understanding of how these mechanisms collectively contribute to yield stability at the flowering stage remains limited. This study aimed to elucidate the integrated antioxidant and physiological mechanisms underlying salinity tolerance in barley genotypes during flowering. Barley plants were subjected to controlled salinity treatments, and a comprehensive set of phenolic compounds, antioxidant capacity indices, physiological traits, and yield components were measured. Multivariate analyses, including redundancy analysis (RDA) and partial least squares regression (PLSR), identified key traits contributing to yield stability under salinity. Multivariate analyses revealed also genotype-specific physiological strategies underlying contrasting salinity tolerance levels. Antioxidant defenses, such as total phenolics, DPPH and ABTS radical scavenging activities, and α-tocopherol, along with osmotic regulators like proline and soluble sugars, were closely associated with improved water status and reduced oxidative damage. These coordinated responses correlated strongly with yield components, including thousand-grain weight and main spike seed number. Notably, this study provides new insights into the predictive relevance of selected biochemical and physiological markers for yield performance under salt stress using PLSR at the flowering stage. PLSR further demonstrated the high predictive power of a limited subset of biochemical and physiological markers for yield traits under salt stress. Collectively, these findings reveal that the interplay between antioxidant machinery and osmotic adjustment at flowering is critical for barley resilience to salinity, providing valuable physiological markers to inform breeding strategies aimed at improving salt tolerance. Full article
(This article belongs to the Special Issue Abiotic Stress in Plants, 2nd Edition)
Show Figures

Figure 1

19 pages, 2912 KB  
Article
Response of Honeybees and Other Pollinators to Attractant Application in Carrot (Daucus carota L.)
by Stanisław Świtek and Dominik Gackowski
Agriculture 2026, 16(4), 400; https://doi.org/10.3390/agriculture16040400 - 9 Feb 2026
Viewed by 613
Abstract
Carrot (Daucus carota) is one of the most important vegetable crops, and as a cross-pollinated species, it relies on insect pollinators for successful seed set. However, carrot flowers are not highly attractive to honeybees (Apis mellifera), which are the [...] Read more.
Carrot (Daucus carota) is one of the most important vegetable crops, and as a cross-pollinated species, it relies on insect pollinators for successful seed set. However, carrot flowers are not highly attractive to honeybees (Apis mellifera), which are the main managed pollinators. During the 2023–2024 season, a field experiment was conducted on commercial carrot seed plantations to evaluate the effect of a pollinator attractant on pollinator abundance and its impact on seed yield. Pollinating insects were observed during the carrot flowering period, between 20 May and 22 July, and their response to spraying with the attractant Biopolin® (ICB Pharma) was assessed. A total of nine observations were conducted, and carrot seed yield was analyzed, including germination capacity. The application of the attractant increased the number of pollinating insects by 24 individuals/m2/10 min, from 57 to 81 individuals/m2/10 min. The dominant groups were honeybees and Rhagonycha fulva, with the latter becoming increasingly abundant as flowering progressed. Both honeybees and other pollinators (wild pollinators) showed higher visitation rates on attractant-treated plots. The treated plots also produced higher seed yield and greater thousand-seed weight. The results confirm the effectiveness of using attractants in commercial carrot seed production to enhance pollinator activity and improve yield parameters. Full article
(This article belongs to the Section Ecosystem, Environment and Climate Change in Agriculture)
Show Figures

Figure 1

15 pages, 1567 KB  
Article
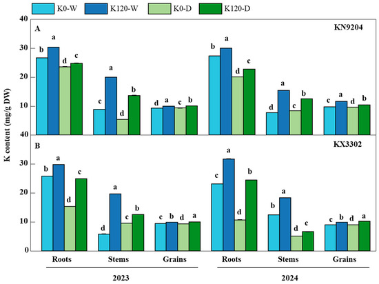
Application of Potassium Improves Yield and Quality Under Drought Stress by Regulating Nutrient Use Efficiency in Wheat
by Jin Liu, Shuai-Bo Chen, Meng-Chuan Zhang, Yue Xiao, Bin Wang, Hai-Tao Liu, Peng-Fei Wang, Tian-Cai Guo, Guo-Zhang Kang and Ge-Zi Li
Plants 2026, 15(4), 539; https://doi.org/10.3390/plants15040539 - 9 Feb 2026
Cited by 2 | Viewed by 872
Abstract
Drought stress is a major abiotic constraint that severely limits growth, yield formation, and grain quality in wheat. Potassium (K) application is known to alleviate drought stress in crops. However, the integrated effects of K fertilization on yield, grain nutritional and quality, and [...] Read more.
Drought stress is a major abiotic constraint that severely limits growth, yield formation, and grain quality in wheat. Potassium (K) application is known to alleviate drought stress in crops. However, the integrated effects of K fertilization on yield, grain nutritional and quality, and nutrient use efficiency under post-flowering drought stress remains poorly understood. In this study, two-year pot experiments were conducted with two wheat cultivars under well-watered (75% field capacity) or post-flowering drought (~40% field capacity) conditions, combined with K fertilization (120 kg K2O ha−1) or no K (0 kg K2O ha−1), using a randomized complete block design. The results showed that K application significantly improved wheat performance under post-flowering drought stress. Specifically, it increased plant biomass, thousand-grain weight, grain yield, K accumulation, and K uptake efficiency, while also elevating grain contents of calcium, magnesium, zinc, total starch, and wet gluten. In conclusion, K fertilization not only mitigates the adverse effects of post-flowering drought stress in wheat, but also improves yield, grain quality, and nutrient use efficiency. These findings offer valuable insights for high-efficiency nutrient management and wheat production under drought regions. Full article
(This article belongs to the Special Issue Plant Nutrition in Alleviating Abiotic Stress)
Show Figures

Graphical abstract

19 pages, 4553 KB  
Article
Waterlogging Priming at Tillering Stage Confers Stronger Tolerance to Wheat Plants Waterlogged During Anthesis
by Wataru Tsuji and Motoki Kawase
Agronomy 2026, 16(3), 362; https://doi.org/10.3390/agronomy16030362 - 2 Feb 2026
Viewed by 515
Abstract
Waterlogging stress, particularly during flowering, severely constrains wheat production, yet the optimal timing and frequency of waterlogging priming and its linkage to post-stress nitrogen acquisition remain unclear. We conducted pot experiments under a glasshouse over two consecutive growing seasons (2022/23 and 2023/24) using [...] Read more.
Waterlogging stress, particularly during flowering, severely constrains wheat production, yet the optimal timing and frequency of waterlogging priming and its linkage to post-stress nitrogen acquisition remain unclear. We conducted pot experiments under a glasshouse over two consecutive growing seasons (2022/23 and 2023/24) using the Japanese bread wheat cultivar Norin 61. Eight treatment combinations were established with or without waterlogging priming applied at the tillering, stem elongation, and booting stages, followed by waterlogging for 5 days (2022/23) and 4 days (2023/24) during the flowering stage. To quantify post-stress nitrogen dynamics, 15N-labeled ammonium sulfate was applied immediately after waterlogging termination at flowering, and 15N uptake and its allocation to plant organs and grains were determined during grain filling and at harvest. Compared to the non-primed treatment, treatments that included tillering-stage priming consistently maintained higher leaf SPAD values, photosynthetic performance, and increased thousand-grain weight across both seasons, and grain yield increased by 54.8–80.6% in 2022/23 and 125.8–159.7% in 2023/24. These treatments also showed higher post-stress 15N content and greater 15N allocation to grains. Overall, tillering-stage waterlogging priming was associated with improved tolerance to flowering-stage waterlogging in wheat through the maintenance of post-stress nitrogen uptake capacity and nitrogen allocation to grains. Full article
(This article belongs to the Section Water Use and Irrigation)
Show Figures

Figure 1

17 pages, 5665 KB  
Article
Insights into Variations in Chemical Profiles and Antioxidant Properties Among Different Parts of Dalbergia odorifera
by Yujie Xiao, Yakui Zhou, Jianhe Wei and Xiangsheng Zhao
Plants 2025, 14(21), 3279; https://doi.org/10.3390/plants14213279 - 27 Oct 2025
Viewed by 842
Abstract
Dalbergia odorifera, a rare and precious medicinal plant, has been used to treat cardio- and cerebrovascular diseases in China for thousands of years. D. odorifera heartwood (DOH) is usually considered to be the main part used for medicine, and other parts (leaf, [...] Read more.
Dalbergia odorifera, a rare and precious medicinal plant, has been used to treat cardio- and cerebrovascular diseases in China for thousands of years. D. odorifera heartwood (DOH) is usually considered to be the main part used for medicine, and other parts (leaf, DOL; flower, DOF; pod, DOP) of D. odorifera are neglected. In this paper, a systematic comparative study was conducted on phytochemicals and antioxidant properties of four parts of D. odorifera. A total of 72 volatile organic compounds (VOCs) and 820 nonvolatile organic compounds (NVOCs) were identified in four D. odorifera parts by GC-MS and UPLC-ESI-Q/TRAP-MS/MS, respectively. Differences in phytochemical profiles among the different parts were observed. DOH exhibited a significantly different level of trans-nerolidol and flavonoids compared to the other parts. Taking into account all the parameters measured, methanolic extracts of DOH, DOL, and DOF had good antioxidant activity, with the highest value in DOH, followed by DOL and DOF. Moreover, the strong antioxidant activity of the methanolic extract may be related to the flavonoid components. The results indicated that DOL and DOF also have potential for further development and utilization. Full article
(This article belongs to the Section Phytochemistry)
Show Figures

Figure 1

20 pages, 11901 KB  
Article
Expression and Functional Analysis of the ABORTED MICROSPORES (AMS) Gene in Marigold (Tagetes erecta L.)
by Xuejing Ma, Jinhua Tian, Daocheng Tang, Qiuyue Liang and Nan Tang
Agronomy 2025, 15(9), 2058; https://doi.org/10.3390/agronomy15092058 - 26 Aug 2025
Viewed by 1929
Abstract
Male sterility is an important trait in heterosis utilization and marigold (Tagetes erecta L.) breeding. Currently, most male-sterile lines used in production are derived from natural mutations. ABORTED MICROSPORES (AMS) is an important gene that regulates tapetum and microspore development. [...] Read more.
Male sterility is an important trait in heterosis utilization and marigold (Tagetes erecta L.) breeding. Currently, most male-sterile lines used in production are derived from natural mutations. ABORTED MICROSPORES (AMS) is an important gene that regulates tapetum and microspore development. Therefore, the effect of AMS on fertility was studied. TeAMS was located in the nucleus and exhibited self-activation activity. TeAMS was highly expressed in the flower buds of T. erecta. The expression of this gene in fertile plants was higher than that in sterile plants, and the expression level gradually increased with the development of flower buds. The expression level of TeAMS was highest in the flower buds with a diameter of 1.2 cm at the floret differentiation stage, while the expression level was extremely low in the flower buds with a diameter of 1.6 cm. The expression trend of TeAMS in sterile plants was opposite to that in fertile plants. At the inflorescence primordium differentiation stage, flower buds with a diameter of 0.2 cm had the highest expression level, and the stem tip had the lowest expression level. In tobacco (Nicotiana tabacum L.), overexpression of the TeAMS gene resulted in shortened floral tubes, increased thousand-seed weight, a reduced flowering period, and decreased flower numbers. The pollen viability of transgenic tobacco was significantly lower than that of the wild type, and the pollen grains were smaller and showed irregular shapes. The pollen wall was dry and shrunk. Some pollen germinal furrows were distorted, and a few were almost invisible. Silencing TeAMS resulted in a longer flowering period in tobacco, reduced thousand-seed weight, and high pollen viability. Pollen morphology in silenced lines showed no significant differences compared to the wild-type and empty vector controls. Only a few pollen grains were smaller, shriveled, and shrunken. Therefore, the TeAMS gene plays an important role in regulating the fertility of marigolds. This study provides a theoretical foundation for breeding marigold male-sterile lines. Full article
Show Figures

Figure 1

14 pages, 6659 KB  
Article
The Development of a Micropropagation System for a Rare Variety of an Agricultural and Medicinal Elderberry Plant Sambucus nigra ‘Albida’
by Jiří Sedlák, Martin Mészáros, Matěj Semerák and Pavel Pech
Agronomy 2025, 15(7), 1588; https://doi.org/10.3390/agronomy15071588 - 29 Jun 2025
Viewed by 1298
Abstract
Black elder (Sambucus nigra L.) is a temperate shrub with flowers and fruits that are edible after processing. This species is not yet widely known in the global agricultural sector, but its adaptability and drought tolerance may generate more interest in this [...] Read more.
Black elder (Sambucus nigra L.) is a temperate shrub with flowers and fruits that are edible after processing. This species is not yet widely known in the global agricultural sector, but its adaptability and drought tolerance may generate more interest in this crop. Our study aimed to find suitable micropropagation techniques for the black elder ‘Albida’ and compare suitable statistical methods for evaluating multiplication and rooting. For micropropagation, we tested the Murashige and Skoog (MS) growth medium with selected auxins and cytokinins. Five proliferation MS media containing 1, 2, and 4 mg/L BAP or 0.5 and 1 mg/L TDZ were tested. To induce root formation, three types of auxins were tested at a concentration of 1 mg/L in a 50% MS medium: IBA, IAA, and NAA. Data analysis was performed using different parametric and nonparametric tests to robustly capture the effects of treatments across varying distributional scenarios in developing explants subjected to the interactions of internal native and externally added plant growth regulators. The average multiplication rate ranged from 1.6 to 2.0 shoots per explant. High multiplication was recorded on the MS medium with 1 mg/L 6-benzylaminopurine. The root number per rooted explant was highly variable, ranging from 3.0 to 12.0 roots per explant. The highest average root number result was observed when 1 mg/L α-naphthalenacetic acid was used. All rooted plants were successfully acclimated to normal growing conditions. This in vitro propagation protocol allows for the production of hundreds to thousands of rooted plants from one initial explant within one year, enabling faster introduction to the agronomic sector. Full article
Show Figures

Figure 1

16 pages, 736 KB  
Article
Energy Potential of Greenhouse Plant Residue: The Cases of Turkey and Poland
by Atılgan Atılgan, Sedat Boyacı, Stanisław Famielec, Anna Krakowiak-Bal, Urszula Ziemiańczyk, Joanna Kocięcka, Sławomir Kurpaska, Roman Rolbiecki, Daniel Liberacki and Mateusz Malinowski
Energies 2025, 18(13), 3405; https://doi.org/10.3390/en18133405 - 28 Jun 2025
Viewed by 1827
Abstract
The search for waste management opportunities is crucial for achieving environmentally friendly waste practices and ensuring the country’s energy security. This research aimed to valorize biomass and waste generated in greenhouses and to analyze the potential for electricity production from this waste. The [...] Read more.
The search for waste management opportunities is crucial for achieving environmentally friendly waste practices and ensuring the country’s energy security. This research aimed to valorize biomass and waste generated in greenhouses and to analyze the potential for electricity production from this waste. The analyses compared the situations in Turkey and Poland, where greenhouse production of vegetables is developing and constitutes an important link in agricultural activities, despite differences in climatic conditions. The cultivation of vegetables and flowers under cover is rapidly expanding in both countries and, with changing climatic conditions, is expected to shape the future of agriculture. In addition to estimating the energy that can be obtained, the study also evaluated the economic benefits of such a solution and the volume of avoided CO2 emissions from fossil fuels. The issue of utilizing these wastes is significant because current methods of their management do not lead to energy production, so their considerable energy potential is wasted, as highlighted in this study. Moreover, there is a lack of similar studies in the literature. The plant species chosen as materials in this study were tomatoes, peppers, eggplant, watermelon, and melon in the case of Turkey. For Poland, the analysis was conducted for tomatoes and greenhouse cucumbers. These crops represent the largest cultivated areas under cover in the respective countries. Results indicated that the average yearly amount of vegetable residue is approximately 463 thousand Mg in Turkey, and 77 thousand Mg in Poland. The estimated annual electricity potential is 430 GWh in Turkey and 80 GWh in Poland. Considering the efficiency of power generation in a typical power plant, the real amount of electricity to be obtained is 0.46 MWh per Mg of waste in Turkey and 0.52 MWh in Poland. Full article
Show Figures

Figure 1

18 pages, 3407 KB  
Article
Effects of Irrigation Amounts and Fertilizer Types on Seed Yield and Water-Use Efficiency of Lespedeza potaninii in Northwest China
by Lijun Chen, Fan Wu, Fukang Guo, Jingze Liu, Wanli Guo, Boyu Chu, Yuncan Qu and Jiyu Zhang
Agronomy 2025, 15(5), 1175; https://doi.org/10.3390/agronomy15051175 - 12 May 2025
Viewed by 1193
Abstract
Lespedeza potaninii is native to the Tengger Desert and exhibits a high degree of adaptation to arid conditions. It develops both chasmogamous (CH) and cleistogamous (CL) flowers with different morphologies and attachment positions. However, the manner in which the amount of irrigation and [...] Read more.
Lespedeza potaninii is native to the Tengger Desert and exhibits a high degree of adaptation to arid conditions. It develops both chasmogamous (CH) and cleistogamous (CL) flowers with different morphologies and attachment positions. However, the manner in which the amount of irrigation and the fertilizer type affect the reproductive allocation of L. potaninii is not well known. Field experiments on L. potaninii were performed using a split-plot design in both 2023 and 2024, with three irrigation amounts (I1, 100 mm; I2, 200 mm; I3, 300 mm) for the main plots and three fertilizer types (F1, control; F2, 90 kg/ha of P fertilizer; F3, organic fertilizer) for the sub-plots. The results revealed that irrigation amounts and fertilizer types significantly affected L. potaninii yield components, total seed yield, CH seed yield, CL seed yield, and water-use efficiency (WUE). The application of P fertilizer significantly (p < 0.05) enhanced CH seed yield by 7–11% compared with control or organic fertilizer. However, the impact of fertilizer type on the seed yield of CL varied under different irrigation amounts. The seed yield of the CL part was higher under a 100 mm of irrigation, while the seed yield of the CH part was higher under the I2 and I3 irrigation amounts. The maximum seed yields in 2023 and 2024 were 974 kg/ha (I2F2) and 1011 kg/ha (I3F2). Irrigation amounts had a positive and direct effect, and fertilizer types had a positive and indirect effect, on CH seed yield by positively affecting the number of racemes and pods and the thousand-seed weight of the CH part and the number of stems. Irrigation amounts and fertilizer types exhibited a positive and indirect effect on CL seed yield by positively affecting the number of stems, racemes, florets, and pods of the CL part. Treatment I2F2 resulted in relatively high WUE, IWUE, and PWUE compared with I1; and the I2 increased the WUE by 62.74% and 42.05%, on average, the IWUE by 31.05% and 27.60%, on average, and the PWUE by 162.00% and 155.21%, on average, in 2023 and 2024, respectively. Our research can further elucidate the relationship between CH or CL seed yield, on the one hand, and amount of irrigation or fertilizer type, on the other, and offer guidelines for conserving agricultural water resources and selecting fertilizer for the Lespedeza genus. Full article
(This article belongs to the Section Grassland and Pasture Science)
Show Figures

Figure 1

18 pages, 12445 KB  
Article
New Cannabinoids and Chlorin-Type Metabolites from the Flowers of Cannabis sativa L.: A Study on Their Neuroblastoma Activity
by Tuan-Quoc Nguyen, Hyo-Shin Park, Sun-Hyeong Choi, Da-Yun Hong, Jae-Yong Cheon, Young-Mi Lee, Chul-Min Kim, Jong-Ki Hong, Seo-Jeong Oh, Man-Soo Cho, Jang-Hoon Kim, Eun-Sol Lee, Jungwon Seo and Hyun-Ju Jung
Pharmaceuticals 2025, 18(4), 521; https://doi.org/10.3390/ph18040521 - 3 Apr 2025
Cited by 3 | Viewed by 9680
Abstract
Background/Objectives: Cannabis sativa has been utilized for medical purposes for thousands of years. It continues to be recognized as a plant with an extensive variety of medicinal and nutraceutical uses today. In this study, a chemical investigation of the flowers of C. [...] Read more.
Background/Objectives: Cannabis sativa has been utilized for medical purposes for thousands of years. It continues to be recognized as a plant with an extensive variety of medicinal and nutraceutical uses today. In this study, a chemical investigation of the flowers of C. sativa isolated by using a variety of chromatographic techniques led to the isolation of eleven compounds. These purified compounds were evaluated for antitumor activity against SK-N-SH neuroblastoma cells. Methods: The compounds were isolated by using chromatographic techniques. Their structures were identified by the examination of spectroscopic methods, including 1D (1H, 13C, and DEPT) and 2D (COSY, HSQC, HMBC, and NOESY) nuclear magnetic resonance (NMR) spectra and mass spectrum, together with the comparison to those reported previously in the literature. The evaluation of toxicity on SK-N-SH cells was performed by the MTT method. Results: Eleven compounds were isolated from the flowers of C. sativa, including two new compounds, namely cannabielsoxa (1), 132-hydroxypheophorbide c ethyl ester (2), and six known cannabinoids (611), together with the first isolation of chlorin-type compounds: pyropheophorbide A (3), 132-hydroxypheophorbide b ethyl ester (4), and ligulariaphytin A (5) from this plant. The results also demonstrated that cannabinoid compounds had stronger inhibitory effects on neuroblastoma cells than chlorin-type compounds. Conclusions: The evaluation of the biological activities of compounds showed that compounds 410 could be considered as the potential compounds for antitumor effects against neuroblastomas. This is also highlighted by using docking analysis. Additionally, the results of this study also suggest that these compounds have the potential to be developed into antineuroblastoma products. Full article
(This article belongs to the Special Issue Pharmacologically Active Compounds from Plants)
Show Figures

Figure 1

18 pages, 5072 KB  
Article
Transcriptome and Weighted Gene Co-Expression Network Analysis to Characterize the Expression of Genes Related to Yield Traits in Yunnan Hulled Wheat
by Qianchao Wang, Chuanli Zhang, Yirui Guo, Junna Liu, Ping Zhang, Guofei Jiang and Peng Qin
Int. J. Mol. Sci. 2025, 26(6), 2542; https://doi.org/10.3390/ijms26062542 - 12 Mar 2025
Viewed by 1459
Abstract
Yunnan hulled wheat (YHW) is a wild ancestor of cultivated wheat and possesses rich genetic variation; however, there is limited research on teff at the molecular level. Therefore, in this study, two lines with large differences in kernel size were used as materials, [...] Read more.
Yunnan hulled wheat (YHW) is a wild ancestor of cultivated wheat and possesses rich genetic variation; however, there is limited research on teff at the molecular level. Therefore, in this study, two lines with large differences in kernel size were used as materials, and their kernels were sampled at 7, 21, 35, and 49 days after flowering; kernel surface area and thousand kernel weight were measured and analyzed; and transcriptome sequencing analysis was also performed, which showed that a total of 88,801 genes were annotated by Kyoto Encyclopedia of Genes and Genomes (KEGG); the functional annotation showed that the key pathways they involved in yield traits were mainly enriched in gycolysis/gluconeogenesis, pentose and glucuronate interconversions, amino sugar and nucleotide sugar metabolism, starch, and sucrose metabolism pathways, of which TraesCS5B02G356300, TraesCS7B02G375300, TraesCS7A02G473900, and TraesCS2B02G390700 differed significantly in different subgroups; and a significant difference was observed between the two pathways in different subgroups using weighted gene co-expression network analysis (WGCNA) associated with yield traits. Ten core genes were mined from the two modules with the highest correlation with the target traits. These results provide a theoretical reference basis for interpreting the expression patterns of yield trait-responsive genes in YHW, for further conservation and utilization of the germplasm resources of this rare wheat, and for the screening of high-yielding superior varieties. Full article
(This article belongs to the Section Molecular Plant Sciences)
Show Figures

Figure 1

17 pages, 11897 KB  
Article
Molecular Mechanisms of Gene Expression Regulation in Response to Heat Stress in Hemerocallis fulva
by Boyan Chu, Weixue Liu, Jinxia Li, Xiaofei Zhang and Ping Li
Plants 2025, 14(5), 690; https://doi.org/10.3390/plants14050690 - 24 Feb 2025
Cited by 1 | Viewed by 1832
Abstract
Hemerocallis fulva is one of the three major flowers in the world; its flower type and color are very rich, with high ornamental value and economic value. Heat stress severely limits the cultivation and geographical distribution of H. fulva. Genetic resources and [...] Read more.
Hemerocallis fulva is one of the three major flowers in the world; its flower type and color are very rich, with high ornamental value and economic value. Heat stress severely limits the cultivation and geographical distribution of H. fulva. Genetic resources and their underlying molecular mechanisms constitute the cornerstone of contemporary breeding technologies. However, research on the response of H. fulva to heat stress remains relatively scant. In this study, we used the heat-resistant ‘Dan Yang’ variety and heat-sensitive ‘Nuo Mi Lu’ variety with phenotypic expression as experimental materials to determine the changes in substance and gene expression levels, and used bioinformatics technology to study the molecular mechanisms and gene resource mining of H. fulva in response to heat stress. We identified several thousand differentially expressed genes (DEGs) in different comparison groups. At the same time, 1850 shared DEGs were identified in two H. fulva genotypes responding to heat stress. The dynamic cutting algorithm was used to cluster the genes, and 23 gene co-expression modules were obtained. The MEorangered, MElightpink, and MEmagenta modules were significantly correlated with physiological and biochemical traits. We identified ten key genes closely related to the response of H. fulva to heat stress, including plant–pathogen interactions, plant hormone signal transduction, oxidative transduction phosphorylation, and the plant hormone signal transduction pathway. This study not only analyzes the molecular mechanism of H. fulva response to heat stress, but also provides genetic resources for breeding H. fulva heat tolerance. Full article
(This article belongs to the Special Issue Physiological and Genetic Responses of Crops to Abiotic Stress)
Show Figures

Figure 1

Back to TopTop