Energy Potential of Greenhouse Plant Residue: The Cases of Turkey and Poland
Abstract
1. Introduction
2. Materials and Methods
2.1. Materials
2.2. Methods
2.2.1. Amount of Product Residual
2.2.2. Calculating the Amount of Energy That Can Be Obtained from Plant Residues
2.2.3. Converting the Energy That Can Be Obtained from Plant Residue into Electricity
2.2.4. Number of Houses Whose Electricity Needs Are Met
2.2.5. CO2 Emissions (Carbon Footprint)
2.2.6. Economic Effects Gain from Electricity Production
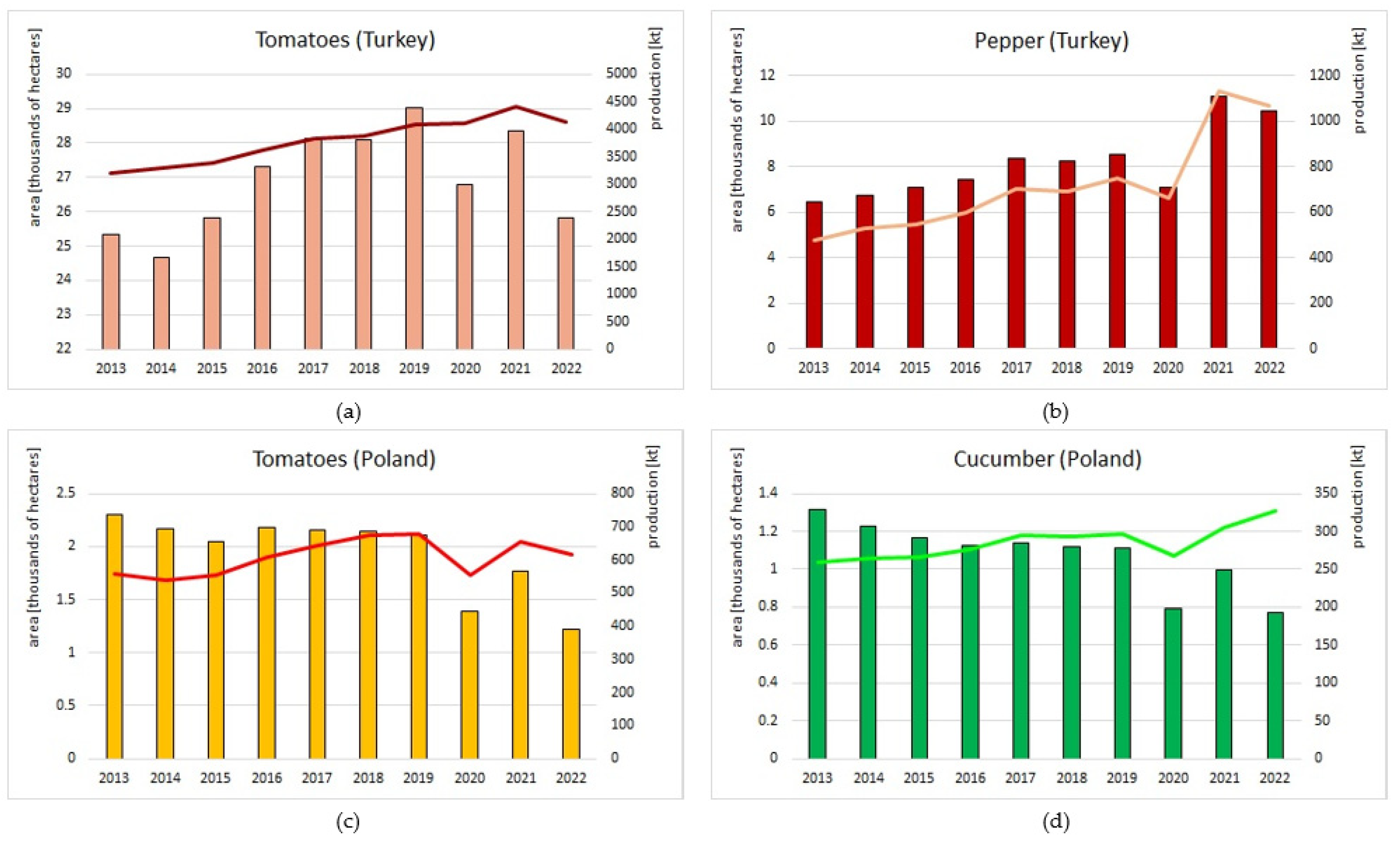
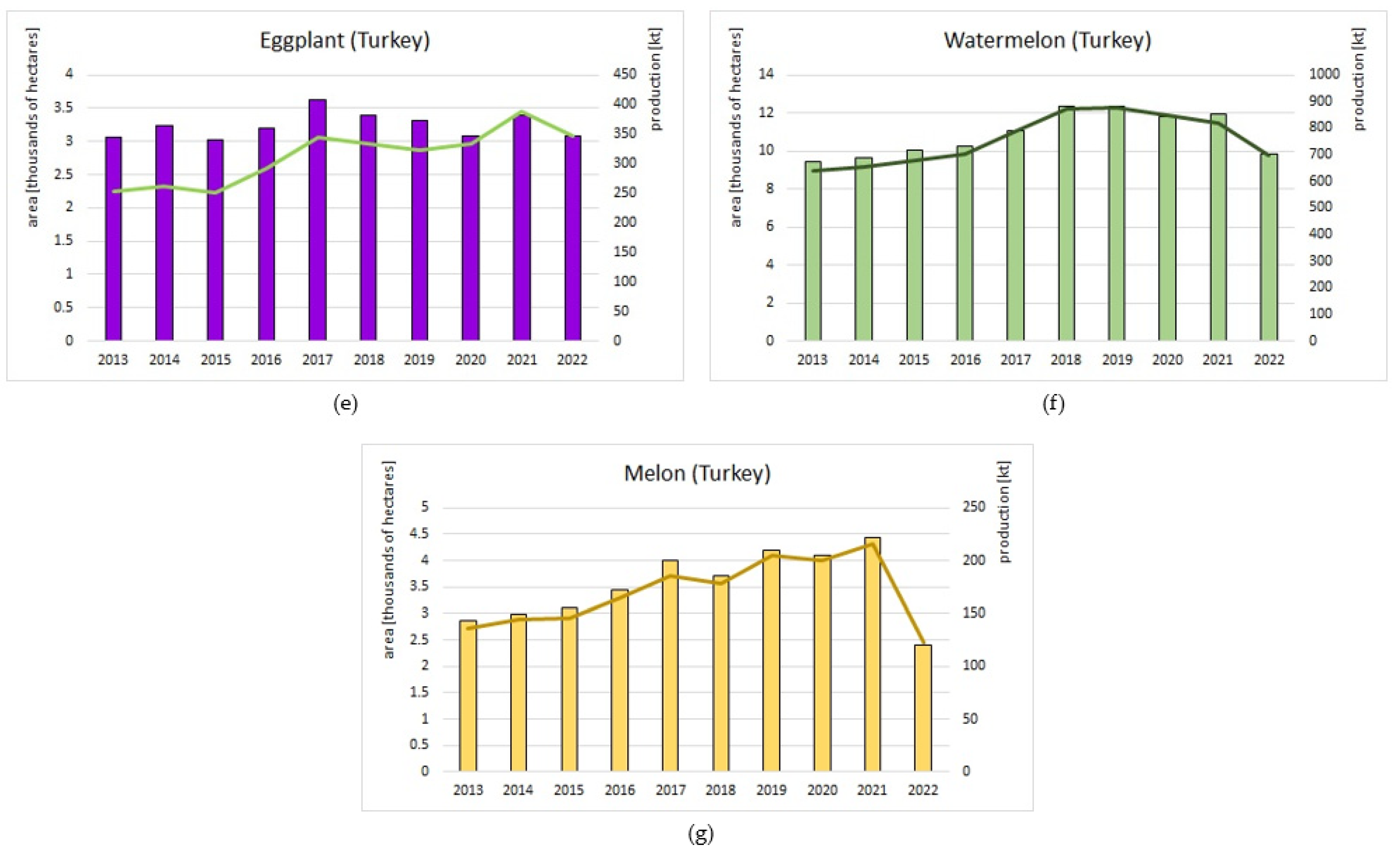
3. Results and Discussion
4. Conclusions
- The average yearly amount of vegetable residue is calculated as 463 thousand Mg in Turkey and 77 thousand Mg in Poland;
- The yearly average potential energy that could be obtained in Turkey is close to 430 GWh, while in Poland the potential is 80 GWh;
- The obtained amount of energy can cover approximately 0.18% of the country’s electricity demand in Turkey and less than 0.1% in Poland; however, nearly 187 thousand residences in Turkey and over 32 thousand Polish households can be supplied with this source of renewable energy;
- Total economic gain from this potential electricity is estimated as EUR 47.58 million in Turkey and EUR 4.25 million in Poland, which is conditional and depends on many macroeconomic variables;
- Taking into account the efficiency of the power generation process in a typical power plant, the real amount of electricity to be obtained is 0.46 MWh per Mg of waste in Turkey and 0.52 MWh in Poland;
- In addition to the economic advantages, it is noteworthy that energy obtained from biomass and organic waste from greenhouses can prevent CO2 emissions related to the combustion of fossil fuels (coal and natural gas);
- It was found out that the amount of avoided CO2 emissions is over 186 thousand Mg of CO2 in the case of natural gas and over 439 thousand Mg CO2 in case of coal in Turkey; in comparison, these values in Poland amount over 34 thousand Mg CO2 and 82 thousand Mg, respectively.
Author Contributions
Funding
Data Availability Statement
Acknowledgments
Conflicts of Interest
References
- Mazuela, P.; Urrestarazu, M.; Bastias, E. Vegetable waste compost used as substrate in soilless culture. In Crop Production Technologies; Sharma, P., Ed.; InTech: Toulon, France, 2012; pp. 179–198. [Google Scholar] [CrossRef]
- Reicosky, D.C.; Wilts, A.R. e Management. Hillel. D. Eds.; Encyclopedia of Soils in the Environment; Elsevier: Amsterdam, The Netherlands, 2005; pp. 334–338. [Google Scholar] [CrossRef]
- Bautista-Baños, S.; Hernández-Lauzardo, A.N.; Velázquez-del Valle, M.G.; Hernández López, M.; Ait Barka, E.; Bosquez-Molina, E.; Wilson, C.L. Chitosan as a potential natural compound to control pre and postharvest diseases of horticultural commodities. Crop Prot. 2006, 25, 108–118. [Google Scholar] [CrossRef]
- Duque-Acevedo, M.; Belmonte-Ureña, L.J.; Plaza-Úbeda, J.A.; Camacho-Ferre, F. The Management of Agricultural Waste Biomass in the Framework of Circular Economy and Bioeconomy: An Opportunity for Greenhouse Agriculture in Southeast Spain. Agronomy 2020, 10, 489. [Google Scholar] [CrossRef]
- Boyaci, S. Environmental problems caused by agricultural wastes resulting from greenhouse and high tunnel cultivation and solution suggestions. Fresenius Environ. Bull. 2018, 27, 2510–2517. [Google Scholar]
- Oleszek, M.; Tys, J.; Wiącek, D.; Król-Badziak, A.; Kuna, J. The possibility of meeting greenhouse energy and CO2 demands through utilisation of cucumber and tomato residues. BioEnergy Res. 2016, 9, 624–632. [Google Scholar] [CrossRef]
- Kulichkova, G.I.; Ivanova, T.S.; Köttner, M.; Volodko, O.I.; Spivak, S.I.; Tsygankov, S.P.; Blume, Y.B. Plant feedstocks and their biogas production potentials. Open Agric. J. 2020, 14, 219–234. [Google Scholar] [CrossRef]
- Vatsanidou, A.; Kavalaris, C.; Fountas, S.; Katsoulas, N.; Gemtos, T. A life cycle assessment of biomass production from energy crops in crop rotation using different tillage systems. Sustainability 2020, 12, 6978. [Google Scholar] [CrossRef]
- Sherwood, J. The Significance of Biomass in a Circular Economy. Bioresour. Technol. 2020, 300, 122755. [Google Scholar] [CrossRef]
- Dey, S.; Sreenivasulu, A.; Veerendra, G.T.N.; Rao, K.V.; Babu, P.S.S.A. Renewable Energy Present Status and Future Potentials in India: An Overview. Innov. Green Dev. 2022, 1, 100006. [Google Scholar] [CrossRef]
- Atilgan, A.; Oz, H.; Yilmaz, H.I.; Uzer, H. Determination of current status in the resulting of waste materials from production of greenhouse and its environmental interaction. Eng. Rural Dev. 2014, 29, 120–125. [Google Scholar]
- Boyacı, S.; Kartal, S. Determination of environmental problems caused by agricultural wastes in greenhouse enterprises and solution suggestions. MKU. Tar. Bil. Derg. 2019, 24, 51–60. [Google Scholar]
- Bilgin, S.; Ertekin, C.; Kürklü, A. Türkiye’deki sera bitkisel biyokütle atık miktarının belirlenmesi. In Proceedings of the 27 Tarımsal Mekanizasyon Ulusal Kongresi, Samsun, Turkey, 5–7 September 2012; pp. 499–508. [Google Scholar]
- Karaca, C.; Başçetinçelik, A. Defne yaprağının briketleme ve yanma özellikleri. In Enerji Tarımı ve Biyoyakıtlar 4. In Proceedings of the Ulusal Çalıştayı Bildiriler Kitabı, Samsun, Turkey, 28–29 May 2014; pp. 131–138. [Google Scholar]
- Callejón-Ferre, A.J.; Velázquez-Martí, B.; López-Martínez, J.A.; Manzano-Agugliaro, F. Greenhouse crop residues: Energy potential and models for the prediction of their higher heating value. Renew. Sustain. Energy Rev. 2011, 15, 948–955. [Google Scholar] [CrossRef]
- Ghosh, S.K. Biomass and bio-waste supply chain sustainability for bio-energy and bio-fuel production. Procedia Environ. Sci. 2016, 31, 31–39. [Google Scholar] [CrossRef]
- Yoldaş, F.; Çardakçi, Y.; Atilgan, A. Vegetative measures regarding animal manure management based water pollution; sustainable agricultural infrastructure and innovative strategies within the example of Küçük Menderes basin. Infrastrukt. i Ekol. Teren. Wiej. 2022, 17, 61–73. [Google Scholar]
- Atilgan, A.; Krakowiak-Bal, A.; Ertop, H.; Saltuk, B.; Malinowski, M. The Energy Potential of Waste from Banana Production: A Case Study of the Mediterranean Region. Energies 2023, 16, 5244. [Google Scholar] [CrossRef]
- Yılmaz, M. The energy potential of Turkey and its importance of renewable energy sources in terms of electricity production. Ankara Üniversitesi Çevre Bilimleri Dergisi 2021, 4, 33–54. [Google Scholar]
- Jiang, Y.; Havrysh, V.; Klymchuk, O.; Nitsenko, V.; Balezentis, T.; Streimikiene, D. Utilization of Crop Residue for Power Generation: The Case of Ukraine. Sustainability 2019, 11, 7004. [Google Scholar] [CrossRef]
- Tock, J.Y.; Lai, C.L.; Lee, K.T.; Tan, K.T.; Bhatia, S. Banana biomass as potential renewable energy resource: A Malaysian case study. Renew. Sustain. Energy Rev. 2010, 14, 798–805. [Google Scholar] [CrossRef]
- Callejón-Ferre, A.J.; Carreño-Sánchez, J.; Suárez-Medina, F.J.; Pérez-Alonso, J.; Velázquez-Martí, B. Prediction models for higher heating value based on the structural analysis of the biomass of plant remains from the greenhouses of Almería (Spain). Fuel 2014, 116, 377–387. [Google Scholar] [CrossRef]
- Karaca, C. Mapping of energy potential through annual crop residues in Turkey. Int. J. Agric. Biol. Eng. 2015, 8, 104–109. [Google Scholar]
- Karaca, C. Antalya’da seracılık biyokütle artıklarının potansiyelinin haritalanması ve enerji üretim amacıyla değerlendirilmesi. Mediterr. Agric. Sci. 2017, 30, 21–25. [Google Scholar]
- Boyacı, S.; Ertuğrul, Ö.; Özgünaltay Ertuğrul, G. Kırşehir ilinin örtü altı domates yetiştiriciliğinde bitkisel artık kaynaklı enerji potansiyelinin mekânsal olarak değerlendirilmesi. MKU. Tar. Bil. Derg. 2021, 26, 600–609. [Google Scholar] [CrossRef]
- Boyaci, S.; Abaci Bayar, A.; Başak, H. Evaluation of harvest waste in soilless agriculture tomato cultivation. Infrastrukt. i Ekol. Teren. Wiej. 2022, 17, 29–42. [Google Scholar]
- Strojny, J.; Krakowiak-Bal, A.; Knaga, J.; Kacorzyk, P. Energy Security: A Conceptual Overview. Energies 2023, 16, 5042. [Google Scholar] [CrossRef]
- Żarski, J.; Kuśmierek-Tomaszewska, R. Tendencje zmian klimatycznych wskaźników potrzeb nawadniania roślin w Polsce w latach 1991–2020. Infrastrukt. i Ekol. Teren. Wiej. 2023, 18, 88–103. [Google Scholar] [CrossRef]
- Toklu, E. Biomass energy potential and utilization in Turkey. Renew. Energy 2017, 107, 235–244. [Google Scholar] [CrossRef]
- Atılgan, A.; Saltuk, B.; Ertop, H.; Aksoy, E. Sera Atıklarından Biyogaz Enerji Potansiyelinin Belirlenerek Sayısal Haritalarının Oluşturulması: Antalya İli Örneği Determınıng The Bıogas Energy Potentıal From Greenhouse Wastes And Creatıng Maps: The Case Of Antalya Provınce. Euroasia J. Math. Eng. Nat. Med. Sci. 2020, 7, 19–30. [Google Scholar] [CrossRef]
- Niemiec, M.; Sikora, J.; Szeląg-Sikora, A.; Gródek-Szostak, Z.; Komorowska, M. Assessment of the Possibilities for the Use of Selected Waste in Terms of Biogas Yield and Further Use of Its Digestate in Agriculture. Materials 2022, 15, 988. [Google Scholar] [CrossRef]
- Golub, G.; Tsyvenkova, N.; Kukharets, S.; Holubenko, A.; Omarov, I.; Klymenko, O.; Mudryk, K.; Hutsol, T. European Green Deal: An Experimental Study of the Biomass Filtration Combustion in a Downdraft Gasifier. Energies 2023, 16, 7490. [Google Scholar] [CrossRef]
- Rymuza, K.; Radzka, E. Analysis of trait stability of soyabean cultitaed under various environmental conditions. J. Water Land Dev. 2023, 59, 1–7. [Google Scholar] [CrossRef]
- Wolny-Koładka, K.; Malinowski, M.; Zdaniewicz, M. Energy-related and microbiological evaluation of the effects of bulking agents on the brewery hot trub biodrying. Food Bioprod. Process. 2021, 127, 398–407. [Google Scholar] [CrossRef]
- Neugebauer, M.; Gołaszewski, J. Analysis of the potential of plant residues as a source of heat in hotbeds on a farm. Res. Rural Dev. 2023, 1, 204–207. [Google Scholar] [CrossRef]
- TUİK. Available online: https://biruni.tuik.gov.tr/medas/?kn=92&locale=tr (accessed on 1 November 2024).
- National Energy Balancing and Management Center (KOBiZE). 2023. Available online: https://www.kobize.pl (accessed on 1 September 2024).
- GUS. Crop Production Results in Poland (in Polish). In Zakład Wydawnictw Statystycznych. Warszawa.; 2024. Available online: https://stat.gov.pl (accessed on 1 February 2025).
- Ertop, H.; Atilgan, A.; Kocięcka, J.; Krakowiak-Bal, A.; Liberacki, D.; Saltuk, B.; Rolbiecki, R. Calculation of the Potential Biogas and Electricity Values of Animal Wastes: Turkey and Poland Case. Energies 2023, 16, 7578. [Google Scholar] [CrossRef]
- Omer. A.M. Biomass energy resources utilisation and waste management. Agric. Sci. 2012, 3, 124–145. [Google Scholar] [CrossRef]
- Gürel, B. Determination of current biomass potential in Turkey and calculation of sectoral and total combustion energy values for wastes which are a good alternative for energy production by combustion. Mühendislik Bilim. Ve Tasarım Derg. 2020, 8, 407–416. [Google Scholar] [CrossRef]
- Petryk, A.; Adamik, P. The guarantees of origin as a market-based energy transition mechanism in Poland. J. Water Land Dev. 2023, 58, 11–16. [Google Scholar] [CrossRef]
- Bauen, A.; Berndes, G.; Junginer, M.; Londo, M.; Vuille, F. Bioenergy—A Sustainable and Reliable Energy Source. IEA Bioenergy. 2009. Available online: www.ieabioenergy.com (accessed on 1 February 2025).
- Roszkowski, A. Energia z biomasy—Efektywność, sprawność i przydatność energetyczna. Cz. 2. Probl. Inżynierii Rol. 2013, 2, 55–68. [Google Scholar]
- Carbon Neutrality in the UNECE Region: Integrated Life-Cycle Assessment of Electricity Sources; ECE Energy Series; United Nations Economic Commission for Europe: Geneva, Switzerland, 2022. [CrossRef]
- Tesisat. Available online: http://www.tesisat.com.tr/yayin/yakit-fiyatlari/ (accessed on 1 November 2024).
- Bhatia, S.K.; Joo, H.S.; Yang, Y.H. Biowaste-to-bioenergy using biological methods-a mini-review. Energy Convers. Manag. 2018, 177, 640–660. [Google Scholar] [CrossRef]
- Koval, V.; Atstāja, D.; Filipishyna, L.; Udovychenko, V.; Kryshtal, H.; Gontaruk, Y. Sustainability Assessment and Resource Utilization of Agro-Processing Waste in Biogas Energy Production. Climate 2025, 13, 99. [Google Scholar] [CrossRef]
- Hurka, M.; Malinowski, M. Assessment of the use of EWA bioreactor in the process of bio-drying of undersize fraction manufactured from mixed municipal solid waste. Infrastruct. Ecol. Rural Areas 2014, IV/1, 1127–1136. [Google Scholar]
- Reinoso Moreno, J.V.; Pinna Hernández, M.G.; Fernández Fernández, M.D.; Sánchez Molina, J.A.; López Hernández, J.C.; Acién Fernández, F.G. Boiler Combustion Optimization of Vegetal Crop Residues from Greenhouses. Agronomy 2021, 11, 626. [Google Scholar] [CrossRef]
- Kabaş, Ö.; Ünal, İ.; Sözer, S.; Selvi, K.C.; Ungureanu, N. Quality Assessment of Biofuel Briquettes Obtained from Greenhouse Waste Using a Mobile Prototype Briquetting Machine with PTO Drive. Energies 2022, 15, 8371. [Google Scholar] [CrossRef]
- Tutar, H.; Atas, M. A Review on Turkey’s Renewable Energy Potential and its Usage Problems. Int. J. Energy Econ. Policy 2022, 12, 1–9. [Google Scholar] [CrossRef]
- Electricity. Available online: https://enerji.gov.tr/bilgi-merkezi-enerji-elektrik (accessed on 1 November 2024).
- Eurostat (Database). Available online: https://ec.europa.eu/eurostat/web/main/data/database (accessed on 1 November 2024).
- Kowalczyk, Z.; Twardowski, S.; Malinowski, M.; Kuboń, M. Life cycle assessment (LCA) and energy assessment of the production and use of windows in residential buildings. Sci. Rep. 2023, 13, 19752. [Google Scholar] [CrossRef] [PubMed]
- Wróbel, M.; Jewiarz, M.; Krilek, J.; Dmochowska-Kuc, L. Material Properties Changes Caused by High Temperature Drying—Corn Cobs Case Study. Materials 2025, 18, 2302. [Google Scholar] [CrossRef] [PubMed]
- Akdoğan, İ.; Kovancılar, B. Evaluation of Eco-Friendly Renewable Energy Policies in The European Union and Turkey in Terms of Incentive Types. Manag. Econ. 2022, 29, 69–91. [Google Scholar]
- Buko, J.; Duda, J.; Makowski, A. Food production security in times of a long-term energy shortage crisis: The example of Poland. Energies 2021, 14, 4725. [Google Scholar] [CrossRef]
- Wójcik, J. Wrapped_2024 od Forum Energii. 2025. Available online: https://www.forum-energii.eu/2024_wrapped (accessed on 1 March 2025).
- Nguyen, P.T.; Matsui, Y. An integrated approach for analysing. monitoring. and managing household solid waste. J. Environ. Sci. Sustain. Soc. 2023, 12, MR01_p1–MR01_p4. [Google Scholar] [CrossRef]
- Danevad, D.; Carlos-Pinedo, S. Exploring interactions between fruit and vegetable production in a greenhouse and an anaerobic digestion plant—Environmental implications. Front. Sustain. 2021, 2, 770296. [Google Scholar] [CrossRef]
- Szyba, M.; Mikulik, J. Produkcja energii z odpadów biodegradowalnych jako przykład gospodarki o obiegu zamkniętym. Energies 2022, 15, 1269. [Google Scholar] [CrossRef]
- Trypolska, G. Policies to stimulate the output and employment effects of bioenergy resources in Poland and Ukraine. Econ. Policy Energy Environ. 2023, 26, 99–128. [Google Scholar] [CrossRef]


| Plant Species | Production Area (ha) | Biomass Fresh Weight (Mg·ha−1) | Biomass Dry Weight (Mg·ha−1) | References |
|---|---|---|---|---|
| Turkey | ||||
| Tomatoes | 25,829.7 | 73.2 | 10.5 | [8] |
| Pepper | 8150.9 | 54.0 | 9.3 | [8] |
| Eggplant | 3240.3 | 54.2 | 9.0 | [8] |
| Watermelon | 1085.7 | 24.0 | 4.8 | [22] |
| Melon | 3526.5 | 33.0 | 6.6 | [22] |
| Poland | ||||
| Tomatoes | 1295.0 | 171.43 | 25.5 | own study |
| Cucumbers | 771.0 | 41.2 | 4.5 | own study |
| Plant Species | Ash Content (% d.m.) | High Heating Value on Dry Basis (MJ kg−1) | References |
|---|---|---|---|
| Turkey | |||
| Tomatoes | 7.67 | 15.36 | [5,27] |
| Pepper | 3.67 | 17.51 | [5] |
| Eggplant | 4.33 | 17.38 | [5] |
| Watermelon | 20.58 | 14.26 | [11,13] |
| Melon | 28.38 | 13.50 | [11,13] |
| Poland | |||
| Tomatoes | 3.14 | 17.56 | [6] |
| Cucumber | 2.98 | 16.62 | own studies |
| Year | Tomatoes (Mg) | Pepper (Mg) | Eggplant (Mg) | Watermelon (Mg) | Melon (Mg) | Total (Mg) |
|---|---|---|---|---|---|---|
| 2013 | 265,747.4 | 59,941.4 | 27,620.7 | 45,327.8 | 18,949.9 | 417,587.2 |
| 2014 | 258,587.9 | 62,371.8 | 29,239.0 | 46,135.7 | 19,659.4 | 415,993.8 |
| 2015 | 270,674.5 | 65,675.5 | 27,315.9 | 48,072.5 | 20,511.5 | 432,249.9 |
| 2016 | 286,616.2 | 69,255.7 | 28,912.5 | 49,016.2 | 22,770.0 | 456,570.5 |
| 2017 | 295,268.3 | 77,883.3 | 32,849.1 | 53,018.9 | 26,471.3 | 485,490.9 |
| 2018 | 294,564.4 | 76,499.7 | 30,742.4 | 59,100.0 | 24,447.7 | 485,354.2 |
| 2019 | 304,478.5 | 79,017.3 | 30,041.3 | 59,168.2 | 27,758.3 | 500,463.7 |
| 2020 | 281,030.2 | 65,604.0 | 27,832.4 | 56,570.9 | 27,037.6 | 458,075.1 |
| 2021 | 297,584.5 | 103,110.1 | 30,741.5 | 57,392.2 | 29,225.5 | 518,053.7 |
| 2022 | 270,953.6 | 97,045.6 | 27,805.3 | 47,334.2 | 15,915.2 | 459,053.9 |
| Average | 282,550.5 | 75,640.4 | 29,310.0 | 52,113.6 | 23,274.6 | 462,889.3 |
| Year | Tomatoes (Mg) | Cucumber (Mg) | Total (Mg) |
|---|---|---|---|
| 2013 | 58,675.3 | 33,587.3 | 92,262.6 |
| 2014 | 55,357.4 | 31,342.8 | 86,700.2 |
| 2015 | 52,185.5 | 29,810.8 | 81,996.3 |
| 2016 | 55,578.8 | 28,759.9 | 84,338.7 |
| 2017 | 54,832.4 | 29,058.5 | 83,890.9 |
| 2018 | 54,589.1 | 28,442.4 | 83,031.5 |
| 2019 | 53,617.3 | 28,324.6 | 81,941.9 |
| 2020 | 35,385.8 | 20,266.9 | 55,652.7 |
| 2021 | 44,981.2 | 25,451.0 | 70,432.2 |
| 2022 | 31,087.1 | 19,656.4 | 50,743.5 |
| Average | 49,629.0 | 27,470.1 | 77,099.1 |
| Year | Tomatoes (MWh) | Pepper (MWh) | Eggplant (MWh) | Watermelon (MWh) | Melon (MWh) | Potential Energy Amount (MWh) | Electricity Consumption in Turkey (GWh) |
|---|---|---|---|---|---|---|---|
| 2013 | 241,941 | 63,521 | 29,021 | 37,805 | 14,805 | 387,092 | 198,045 |
| 2014 | 235,423 | 66,097 | 30,721 | 38,478 | 15,359 | 386,078 | 207,375 |
| 2015 | 246,427 | 69,598 | 28,701 | 40,094 | 16,025 | 400,843 | 217,313 |
| 2016 | 260,940 | 73,392 | 30,378 | 40,881 | 17,789 | 423,380 | 231,204 |
| 2017 | 268,817 | 82,535 | 34,514 | 44,219 | 20,681 | 450,766 | 249,022 |
| 2018 | 268,176 | 81,068 | 32,301 | 49,291 | 19,100 | 449,936 | 258,232 |
| 2019 | 277,202 | 83,736 | 31,564 | 49,348 | 21,686 | 463,537 | 257,273 |
| 2020 | 255,855 | 69,522 | 29,243 | 47,182 | 21,123 | 422,925 | 262,702 |
| 2021 | 270,926 | 109,268 | 32,300 | 47,867 | 22,832 | 483,193 | 286,691 |
| 2022 | 246,681 | 102,841 | 29,215 | 39,478 | 12,434 | 430,649 | 284,841 |
| Average | 257,239 | 80,158 | 30,796 | 43,464 | 18,183 | 429,840 | 245,270 |
| Year | Tomatoes (MWh) | Cucumbers (MWh) | Potential Energy Amount (MWh) | Electricity Consumption in Poland (GWh) |
|---|---|---|---|---|
| 2013 | 62,383 | 33,517 | 95,901 | 149,789 |
| 2014 | 58,856 | 31,278 | 90,133 | 150,974 |
| 2015 | 55,483 | 29,749 | 85,232 | 150,312 |
| 2016 | 59,091 | 28,700 | 87,791 | 156,161 |
| 2017 | 58,298 | 28,998 | 87,295 | 159,024 |
| 2018 | 58,039 | 28,383 | 86,422 | 162,924 |
| 2019 | 57,006 | 28,266 | 85,271 | 160,977 |
| 2020 | 37,622 | 20,225 | 57,847 | 157,086 |
| 2021 | 47,824 | 25,398 | 73,222 | 163,997 |
| 2022 | 33,052 | 19,615 | 52,667 | 163,455 |
| Average | 52,765 | 27,413 | 80,178 | 157,470 |
| Country | Obtainable Electricity (MWh) | Unit Price * (EUR·MWh−1) | Total Economic Gain (EUR) | Households with Covered Electricity Needs (Number) |
|---|---|---|---|---|
| Turkey | 429,840 | 110.7 | 47,583,288 | 186,887 |
| Poland | 80,178 | 53.0 | 4,249,439 | 32,071 |
| Country | Obtainable Electricity (MWh) | Natural Gas (Mg CO2eq) | Coal (Mg CO2eq) |
|---|---|---|---|
| Turkey | 429,840 | 186,551 | 439,726 |
| Poland | 80,178 | 34,797 | 82,022 |
Disclaimer/Publisher’s Note: The statements, opinions and data contained in all publications are solely those of the individual author(s) and contributor(s) and not of MDPI and/or the editor(s). MDPI and/or the editor(s) disclaim responsibility for any injury to people or property resulting from any ideas, methods, instructions or products referred to in the content. |
© 2025 by the authors. Licensee MDPI, Basel, Switzerland. This article is an open access article distributed under the terms and conditions of the Creative Commons Attribution (CC BY) license (https://creativecommons.org/licenses/by/4.0/).
Share and Cite
Atılgan, A.; Boyacı, S.; Famielec, S.; Krakowiak-Bal, A.; Ziemiańczyk, U.; Kocięcka, J.; Kurpaska, S.; Rolbiecki, R.; Liberacki, D.; Malinowski, M. Energy Potential of Greenhouse Plant Residue: The Cases of Turkey and Poland. Energies 2025, 18, 3405. https://doi.org/10.3390/en18133405
Atılgan A, Boyacı S, Famielec S, Krakowiak-Bal A, Ziemiańczyk U, Kocięcka J, Kurpaska S, Rolbiecki R, Liberacki D, Malinowski M. Energy Potential of Greenhouse Plant Residue: The Cases of Turkey and Poland. Energies. 2025; 18(13):3405. https://doi.org/10.3390/en18133405
Chicago/Turabian StyleAtılgan, Atılgan, Sedat Boyacı, Stanisław Famielec, Anna Krakowiak-Bal, Urszula Ziemiańczyk, Joanna Kocięcka, Sławomir Kurpaska, Roman Rolbiecki, Daniel Liberacki, and Mateusz Malinowski. 2025. "Energy Potential of Greenhouse Plant Residue: The Cases of Turkey and Poland" Energies 18, no. 13: 3405. https://doi.org/10.3390/en18133405
APA StyleAtılgan, A., Boyacı, S., Famielec, S., Krakowiak-Bal, A., Ziemiańczyk, U., Kocięcka, J., Kurpaska, S., Rolbiecki, R., Liberacki, D., & Malinowski, M. (2025). Energy Potential of Greenhouse Plant Residue: The Cases of Turkey and Poland. Energies, 18(13), 3405. https://doi.org/10.3390/en18133405

